Sulfonated Anthraquinone-Based Ionic Complexes as a Promising Organic Negolyte for Redox-Flow Batteries
- Authors: Petrov M.M.1, Chikin D.V.1, Kryuchkov A.D.2, Abunaeva L.Z.1, Antipov A.E.1, Scorb E.V.2
-
Affiliations:
- SEL EMCPS, Mendeleev University of Chemical Technology of Russia
- Infochemistry Research Center, ITMO University
- Issue: Vol 59, No 4 (2023)
- Pages: 235-246
- Section: Articles
- URL: https://journals.rcsi.science/0424-8570/article/view/139266
- DOI: https://doi.org/10.31857/S0424857023040114
- EDN: https://elibrary.ru/AQQIYM
- ID: 139266
Cite item
Full Text
Abstract
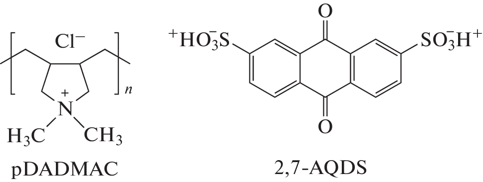
Due to its high solubility and fast kinetics of redox reactions, anthraquinone-2,7-disulfonic acid is a promising electroactive molecule for redox-flow-battery electrolytes and other energy applications. However, its widespread use is currently limited, primarily due to its tendency to chemical side-reactions and the formation of quinhydrone complexes between the molecule’s different redox-forms. The possibility of overcoming these shortcomings by using a simple anthraquinone-2,7-disulfonic acid functionalization with the poly(diallyldimethylammonium) polycation is studied. The ionic complexes are shown to be formed in this mixture, which leads to the suppression of the quinhydrone compound formation. At the same time, the poly(diallyldimethylammonium)/anthraquinone-2,7-disulfonic acid mixtures retain their redox activity and can be used as a negolyte in anthraquinone–bromine redox flow batteries, while all key characteristics of such a battery are comparable with those of anthraquinone–bromine redox flow batteries which used anthraquinone-2,7-disulfonic acid without any additives. The poly(diallyldimethylammonium)/anthraquinone- 2,7‑disulfonic acid-based battery (0.1 M anthraquinone-2,7-disulfonic acid) has the power density of 105 and 65 mW/cm2 for the battery state-of-charge values 100% and 50%, respectively; the energy efficiency for five charging–discharging cycles, 57.4%. In the future, the composition of the poly(diallyldimethylammonium)/anthraquinone-2,7-disulfonic acid ionic complexes can be optimized, in order to maintain good kinetics and solubility of anthraquinone-2,7-disulfonic acid and at the same time reduce the intensity of chemical side-reactions, including quinhydrone-complexes formation.
About the authors
M. M. Petrov
SEL EMCPS, Mendeleev University of Chemical Technology of Russia
Email: mikepetrovm@gmail.com
Moscow, Russia
D. V. Chikin
SEL EMCPS, Mendeleev University of Chemical Technology of Russia
Email: mikepetrovm@gmail.com
Moscow, Russia
A. D. Kryuchkov
Infochemistry Research Center, ITMO University
Email: mikepetrovm@gmail.com
Saint-Petersburg, Russia
L. Z. Abunaeva
SEL EMCPS, Mendeleev University of Chemical Technology of Russia
Email: mikepetrovm@gmail.com
Moscow, Russia
A. E. Antipov
SEL EMCPS, Mendeleev University of Chemical Technology of Russia
Email: mikepetrovm@gmail.com
Moscow, Russia
E. V. Scorb
Infochemistry Research Center, ITMO University
Author for correspondence.
Email: mikepetrovm@gmail.com
Saint-Petersburg, Russia
References
- Sánchez-Díez, E., Ventosa, E., Guarnieri, M., Trovò, A., Flox, C., Marcilla, R., Soavi, F., Mazur, P., Aranzabe, E., and Ferret, R., Redox flow batteries: Status and perspective towards sustainable stationary energy storage, J. Power Sources, 2021, vol. 481, p. 228804.
- Петров, М.М., Модестов, А.Д., Конев, Д.В., Антипов, А.Е., Локтионов, П.А., Пичугов, Р.Д., Карташова, Н.В., Глазков, А.Т., Абунаева, Л.З., Андреев, В.Н., Воротынцев М.А. Проточные редокс-батареи: место в современной структуре электроэнергетики и сравнительные характеристики основных типов. Успехи химии. 2021. № 90(6). С. 677. [Petrov, M.M., Modestov, A.D., Konev, D.V., Antipov, A.E., Loktionov, P.A., Pichugov, R.D., Kartashova, N.V., Glazkov, A.T., Abunaeva, L.Z., Andreev, V.N., and Vorotyntsev, M.A., Redox flow batteries: role in modern electric power industry and comparative characteristics of the main types, Russ. Chem. Rev., 2021, vol. 90, no. 6, p. 677.]
- Winsberg, J., Hagemann, T., Janoschka, T., Hager, M., and Schubert, U., Redox-Flow Batteries: From Metals to Organic Redox-Active Materials, Angew. Chemie, 2017, vol. 56, no. 3, p. 686.
- Minke, C., Kunz, U., and Turek, T., Techno-economic assessment of novel vanadium redox flow batteries with large-area cells, J. Power Sources, 2017, vol. 361, p. 105.
- Huskinson, B., Marshak, M., Suh, C., Er, S., Gerhardt, M., Galvin, C., Chen, X., Aspuru-Guzik, A., Gordon, R., and Aziz, M., A metal-free organic-inorganic aqueous flow battery, Nature, 2014, vol. 505, no. 7482, p. 195.
- Chen, Q., Gerhardt, M., Hartle, L., and Aziz, M., A Quinone-Bromide Flow Battery with 1 W/cm2 Power Density, J. Electrochem. Soc., 2016, vol. 163, no. 1, p. A5010.
- Chen, Q., Eisenach, L., and Aziz, M.J., Cycling Analysis of a Quinone-Bromide Redox Flow Battery, J. Electrochem. Soc., 2016, vol. 163, no. 1, p. A5057.
- Lee, W., Permatasari, A., Kwon, B., and Kwon, Y., Performance evaluation of aqueous organic redox flow battery using anthraquinone-2,7-disulfonic acid disodium salt and potassium iodide redox couple, Chem. Eng. J., 2019, vol. 358, p. 1438.
- Lee, W., Permatasari, A., and Kwon, Y., Neutral pH aqueous redox flow batteries using an anthraquinone-ferrocyanide redox couple, J. Mater. Chem. C, 2020, vol. 8, no. 17, p. 5727.
- Cao, J., Zhu, Z., Xu, J., Tao, M., and Chen, Z., Nitrogen-doped porous graphene as a highly efficient cathodic electrocatalyst for aqueous organic redox flow battery application, J. Mater. Chem. A, 2017, vol. 5, no. 17, p. 7944.
- Ruan, W., Mao, J., and Chen, Q., Redox flow batteries toward more soluble anthraquinone derivatives, Curr. Opin. Electrochem., 2021, vol. 29, p. 100748.
- Martinez, C.M., Zhu, X., and Logan, B.E., AQDS immobilized solid-phase redox mediators and their role during bioelectricity generation and RR2 decolorization in air-cathode single-chamber microbial fuel cells, Bioelectrochemistry, 2017, vol. 118, p. 123.
- Santos, M.S.S., Peixoto, L., Azevedo, J., Monteiro, R.A.R., Dias-Ferreira, C., Alves, M.M., and Mendes, A., Microbially-charged electrochemical fuel for energy storage in a redox flow cell, J. Power Sources, 2020, vol. 445, p. 227307.
- Wei, Z., Almakrami, H., Lin, G., Agar, E., and Liu, F., An organic-inorganic hybrid photoelectrochemical storage cell for improved solar energy storage, Electrochim. Acta, 2018, vol. 263, p. 570.
- Li, W., Fu, H.-C., Li, L., Cabán-Acevedo, M., He, J.-H., and Jin, S., Integrated Photoelectro-chemical Solar Energy Conversion and Organic Redox Flow Battery Devices, Angew. Chemie, 2016, vol. 55, no. 42, p. 13104.
- Kwabi, D.G., Ji, Y., and Aziz, M.J., Electrolyte Lifetime in Aqueous Organic Redox Flow Batteries: A Critical Review, Chem. Rev., 2020, vol. 120, no. 14, p. 6467.
- Goulet, M.A., Tong, L., Pollack, D.A., Tabor, D.P., Odom, S.A., Aspuru-Guzik A., Kwan, E.E., Gordon, R.G., and Aziz, M.J., Extending the lifetime of organic flow batteries via redox state management, J. Amer. Chem. Soc., 2020, vol. 141, no. 20, p. 8014.
- Carney, T.J., Collins, S.J., Moore, J.S., and Brushett, F.R., Concentration-Dependent Dimerization of Anthraquinone Disulfonic Acid and Its Impact on Charge Storage, Chem. Mater., 2017, vol. 29, no. 11, p. 4801.
- Wiberg, C., Carney, T., Brushett, F., Ahlberg, E., and Wang, E., Dimerization of 9,10-anthraquinone-2,7-Disulfonic acid (AQDS), Electrochim. Acta, 2019, vol. 317, p. 478.
- Chai, J., Wang, X., Lashgari, A., Williams, C., and Jiang, J., A pH-Neutral, Aqueous Redox Flow Battery with a 3600-Cycle Lifetime : Micellization-Enabled High Stability and Crossover Suppression, ChemSusChem, 2020, vol. 13, no. 1, p. 4069.
- Kozhunova, E.Y., Gvozdik, N.A., Motyakin, M.V., Vyshivannaya, O.V., Stevenson, K.J., Itkis, D.M., and Chertovich, A.V., Redox-Active Aqueous Microgels for Energy Storage Applications, J. Phys. Chem. Lett., 2020, vol. 11, p. 10561.
- Korshunov, A., Gibalova, A., Grünebaum, M., Ravoo, B., Winter, M., and Cekic-Laskovic, I., Host-Guest Interactions Enhance the Performance of Viologen Electrolytes for Aqueous Organic Redox Flow Batteries, Batteries & Supercaps, 2021, vol. 4, p. 923.
- Montoto, E.C., Nagarjuna, G., Hui, J., Burgess, M., Sekerak, N.M., Hernández-Burgos, K., Wei, T.-S., Kneer, M., Grolman, J., Cheng, K.J., Lewis, J.A., Moore, J.S., and Rodríguez-López, J., Redox Active Colloids as Discrete Energy Storage Carriers, J. Amer. Chem. Soc., 2016, vol. 138, p. 13230.
- Ivanov, A.S., Pershina, L.V., Nikolaev, K.G., and Skorb, E.V., Recent Progress of Layer-by-layer Assembly, Free-Standing Film and Hydrogel Based on Polyelectrolytes, Macromolecular Bioscience, vol. 21, p. 2100117.
- Конев, Д.В., Антипов, А.Е., Воротынцев, М.А., Шиндарова, Ю.А., Векшина, Ю.В., Пичугов, Р.Д. Способ получения бромата лития и его моногидрата. Пат. 2703618 (Россия), 2018. [Konev, D.V., Antipov, A.E., Vorotyntsev, M.A., Shindarova, Y.A., Vekshina, Y.V., and Pichugov, R.D., Method for producing lithium bromate and its monohydrate, Patent 2703618 (Russia), 2018.]
- Антипов, А.Е., Воротынцев, М.В., Глазков, А.Т., Конев, Д.В., Петров, М.М., Пичугов, Р.Д., Царьков, И.О. Устройство спектрофотометрической проточной кюветы. Пат. 186501 (Россия), 2019. [Antipov, A.E., Vorotyntsev, M.A., Glazkov, A.T., Konev, D.V., Petrov, M.M., Pichugov, R.D., and Tsarkov, I.O., Spectrophotometric flow cell design, Patent 186501 (Russia), 2019.]
- Batchelor-McAuley, C., Li, Q., Dapin, S., and Compton, R., Voltammetric characterization of DNA intercalators across the full pH range: Anthraquinone-2,6-disulfonate and anthraquinone-2-sulfonate, J. Phys. Chem. B, 2010, vol. 114, no. 11, p. 4094.
- Gerhardt, M.R., Tong, L., Gómez-Bombarelli, R., Chen, Q., Marshak, M.P., Galvin, C.J., Aspuru-Guzik, A., Gordon, R.G., and Aziz, M.J., Anthraquinone Derivatives in Aqueous Flow Batteries, Adv. Energy Mater., 2017, vol. 7, no. 8, p. 1601488.
- Compton, R.G. and Banks, C.E., Understanding Voltammetry (2Nd Edition), Manchester: World Scientific Publ., 2010. 444 p.
- Kwabi, D.G., Wong, A.A., and Aziz, M.J., Rational Evaluation and Cycle Life Improvement of Quinone-Based Aqueous Flow Batteries Guided by In-Line Optical Spectrophotometry Rational Evaluation and Cycle Life Improvement of Quinone-Based Aqueous Flow Batteries Guided by In-Line Optical Spectrophotometry, J. Electrochem. Soc., 2018, vol. 165, no. 9, p. A1770.
- Tong, L., Chen, Q., Wong, A., Gómez-Bombarelli, R., Aspuru-Guzik, A., Gordon, R.G., and Aziz, M.J., UV-Vis spectrophotometry of quinone flow battery electrolyte for: In situ monitoring and improved electrochemical modeling of potential and quinhydrone formation, Phys. Chem. Chem. Phys., 2017, vol. 19, no. 47, p. 31684.
- Yang, B., Hoober-Burkhardt L., Wang, F., Surya Prakash, G., and Narayanan, S., An Inexpensive Aqueous Flow Battery for Large-Scale Electrical Energy Storage Based on Water-Soluble Organic Redox Couples, J. Electrochem. Soc., 2014, vol. 161, no. 9, p. A1371.
- Huskinson, B., Marshak, M., Gerhardt, M., and Aziz, M., Cycling of a Quinone-Bromide Flow Battery for Large-Scale Electrochemical Energy Storage, ECS Trans., 2014, vol. 61, no. 37, p. 27.
- Li, G., Jia, Y., Zhang, S., Li, X., Li, J., and Li, L., The crossover behavior of bromine species in the metal-free flow battery, J. Appl. Electrochem., 2017, vol. 47, no. 2, p. 261.
Supplementary files









