Conductivity of Composites MeWO4–Al2O3 (Me = Ca, Sr)
- Autores: Guseva A.F.1, Pestereva N.N.1, Kuznetsov D.K.1, Boyarshinova A.A.1, Gardt V.A.1
-
Afiliações:
- Ural Federal University named after the First President of Russia B.N. Yeltsin
- Edição: Volume 59, Nº 4 (2023)
- Páginas: 208-215
- Seção: Articles
- URL: https://journals.rcsi.science/0424-8570/article/view/139262
- DOI: https://doi.org/10.31857/S0424857023040072
- EDN: https://elibrary.ru/AOGFGJ
- ID: 139262
Citar
Texto integral
Resumo
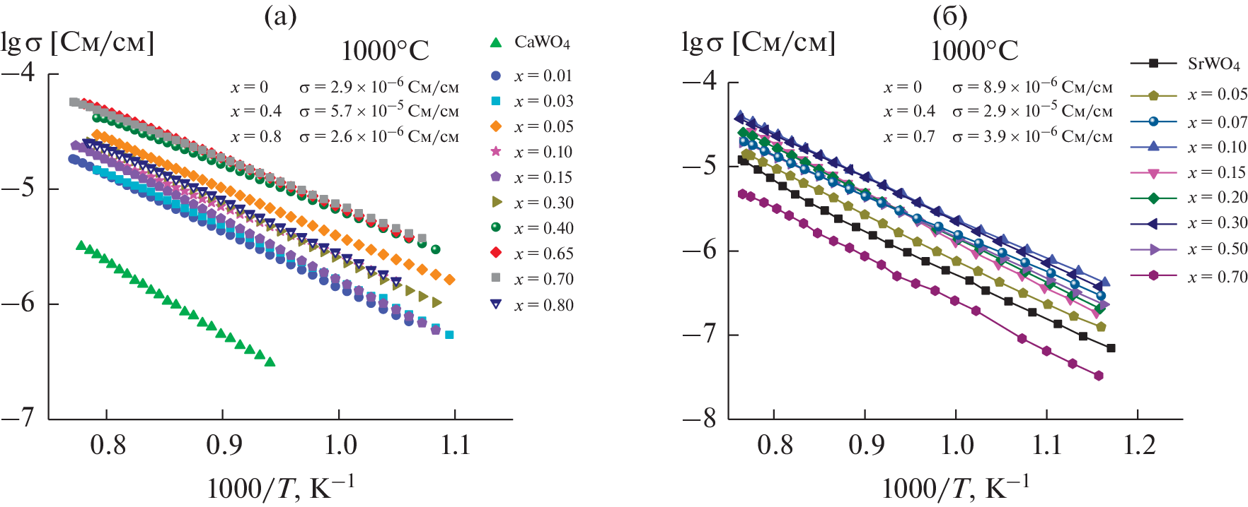
Composites (1 – x)MeWO4–xАl2O3 (Me = Ca, Sr) are synthesized by the solid-phase method. Their phase composition and thermodynamic stability are confirmed by the XRD and TG-DSC data, respectively. Their morphology is studied by the SEM-EDA method. The conductivity of composites is studied by the method of electrochemical impedance spectroscopy as a function of the temperature, the gas-phase oxygen pressure, and the content of added disperse Аl2O3. It is shown that composites (1 – x)MeWO4–xАl2O3 (Me = Ca, Sr) are ionic conductors and their conductivity is 4–12 times higher as compared with the corresponding tungstates.
Palavras-chave
Sobre autores
A. Guseva
Ural Federal University named after the First President of Russia B.N. Yeltsin
Email: Natalie.Pestereva@urfu.ru
Yekaterinburg, 620002 Russia
N. Pestereva
Ural Federal University named after the First President of Russia B.N. Yeltsin
Email: Natalie.Pestereva@urfu.ru
Yekaterinburg, 620002 Russia
D. Kuznetsov
Ural Federal University named after the First President of Russia B.N. Yeltsin
Email: Natalie.Pestereva@urfu.ru
Yekaterinburg, 620002 Russia
A. Boyarshinova
Ural Federal University named after the First President of Russia B.N. Yeltsin
Email: Natalie.Pestereva@urfu.ru
Yekaterinburg, 620002 Russia
V. Gardt
Ural Federal University named after the First President of Russia B.N. Yeltsin
Autor responsável pela correspondência
Email: Natalie.Pestereva@urfu.ru
Yekaterinburg, 620002 Russia
Bibliografia
- Нейман, А.Я., Пестерева, Н.Н., Чжоу, Ю., Нечаев, Д.О., Котенева, Е.А., Ванек, К., Хиггинс, Б., Волкова, Н.А., Корчуганова, И.Г. Электрохимия. 2013. Т. 49. С. 999. [Neiman, A.Ya., Pestereva, N.N., Zhou, Y., Nechayev, D.O., Koteneva, E.A., Vanec, K., Higgins, B., Volkova, N.A., and Korchuganova, I.G., Russ. J. Electrochem., 2013, vol. 49, p. 895.]
- Нейман, А.Я., Пестерева, Н.Н., Шарафутдинов, А.Р. и др. Проводимость и числа переноса метакомпозитов MeWO4–WO3 (Me – Ca, Sr, Ba). Электрохимия. 2005. Т. 41. С. 680. [Neiman, A.Ya., Pestereva, N.N., Sharafutdinov, A.R., et al., Conduction and transport numbers in metacomposites MeWO4-WO3 (Me – Ca, Sr, Ba), Russ. J. Electrochem., 2005, vol. 41, p. 598.]
- Пестерева, Н.Н., Жукова, А.Ю., Нейман, А.Я. Числа переноса носителей и ионная проводимость эвтектических метакомпозитов {MеWO4·хWO3} (Mе – Sr, Ba). Электрохимия. 2007. Т. 43. С. 1379. [Pestereva, N.N., Zhukova, A.Yu., and Neiman, A.Ya., Transport numbers and ionic conduction of eutectic methacomposites {MeWO4·xWO3} (Me – Sr, Ba), Russ. J. Electrochem., 2007, vol. 43, p. 1305.]
- Партин, Г.С., Пестерева, Н.Н., Корона, Д.В., Нейман, А.Я. Влияние состава композитов {(100 – ‒ x)CaWO4·xV2O5} и {(100 – x)LaVO4·xV2O5} на их электропроводность. Электрохимия. 2015. Т. 51. С. 1071. [Partin, G.S., Pestereva, N.N., Korona, D.V., and Neiman, A.Y., Russ. J. Electrochem., 2015, vol. 51, p. 945.]
- Котенёва, Е.А., Пестерева, Н.Н., Анимица, И.Е., Уваров, Н.Ф. Транспортные свойства метакомпозитов в эвтектических системах MAO4–V2O5 (M = Ca, Sr; A = W, MO). Электрохимия. 2017. Т. 53. С. 833. [Koteneva, E.A., Pestereva, N.N., Animitsa, I.E., and Uvarov, N.F., Transport properties of metacomposites in eutectic MAO4–V2O5 systems (M = Ca, Sr; A = W, MO), Russ. J. Electrochem., 2017, vol. 53, p. 739.]
- Guseva, A.F., Pestereva, N.N., Otcheskikh, D.D., and Kuznetsov, D.V., Electrical properties of CaWO4–SiO2 composites, Solid State Ionics, 2021, 364.
- Гусева, А.Ф., Пестерева, Н.Н., Отческих, Д.Д., Востротина, Е.Л. Электропроводность композитов Al2(WO4)3–WO3 и Al2(WO4)3–Al2O3. Электрохимия. 2019. Т. 55. С. 721. [Guseva, A.F., Pestereva, N.N., Otcheskikh, D.D., and Vostrotina, E.L., Conductivity of Al2(WO4)3–WO3 and Al2(WO4)3–Al2O3 composites, Russ. J. Electrochem., 2019, vol. 55, p. 544.]
- Knözinger, H. and Taglauer, E., Toward supported oxide catalyst via solid solid wetting, Catalysis, 1993, vol. 10, p.1.
- Чеботин, В.Н., Перфильев, М.В. Электрохимия твердых электролитов, М.: Химия, 1978. 312 с. [Chebotin, V.N. and Perfilev, M.V., Electrochemistry of solid electrolytes (in Russian), M.: Khimiya, 1978. 312 p.]
- Uvarov, N.F., Estimation of composites conductivity using a general mixing rule, Solid State Ionics, 2000, vol. 136–137, p. 1267.
- Уваров, Н.Ф. Композиционные твердые электролиты. Новосибирск: Изд-во СО РАН, 2008. 258 с. [Uvarov, N.F., Composite solid electrolytes (in Russian), Novosibirsk: ISSC SB RAS Publ., 2008. 259 p.]
- Запевалова, Е.С., Тренихин, М.В., Кряжев, Ю.Г. Синтез никель-углеродных нанокомпозитов с использованием механообработки поливинилхлорида в присутствии нитрата никеля и диэтиламина. Химия твердого топлива. 2021. № 6. С. 22. https://doi.org/10.31857/S0023117721060153
- Вадченко, С.Г., Рогачев, А.С., Ковалев, Д.Ю., Ковалев, И.Д., Мухина, Н.И. Формирование структуры многокомпонентных порошков TiZrNiCuAl при высокоэнергетической механической обработке. Тез. докл. Межд. конф. М.: ТОРУС ПРЕСС, 2018. 784 с. https://doi.org/10.30826/SCPM2018048
- Уваров, Н.Ф., Пономарёва, В.Г., Лаврова, Г.В. Композиционные твердые электролиты. Электрохимия. 2010. Т. 46. С. 772. [Uvarov, N.F., Ponomareva, V.G., and Lavrova, G.V., Composite solid electrolytes, Russ. J. Electrochem., 2010, vol. 46, p. 722.]
- Улихин, А.С., Уваров, Н.Ф. Ионная проводимость композиционых твердых электролитов (C4H9)4NBF4–AL2O3. Электрохимия. 2021. Т. 57. С. 608. [Ulihin, A.S. and Uvarov, N.F., Ionic Conductivity of Composite Solid Electrolytes (C4H9)4NBF4–Al2O3, Russ. J. Electrochem., 2021, vol. 57, p. 1015.]
Arquivos suplementares









