Ионный (O2– и H+) транспорт в кислород-дефицитных перовскитах La2Me+3ZnO5.5
- Авторы: Егорова А.В.1,2, Белова К.Г.1,2, Лакиза Н.В.2, Анимица И.Е.1,2
-
Учреждения:
- Институт высокотемпературной электрохимии УрО РАН
- Уральский федеральный университет им. Первого Президента Б.Н. Ельцина
- Выпуск: Том 59, № 4 (2023)
- Страницы: 200-207
- Раздел: Статьи
- URL: https://journals.rcsi.science/0424-8570/article/view/139259
- DOI: https://doi.org/10.31857/S0424857023040059
- EDN: https://elibrary.ru/AOCERQ
- ID: 139259
Цитировать
Полный текст
Аннотация
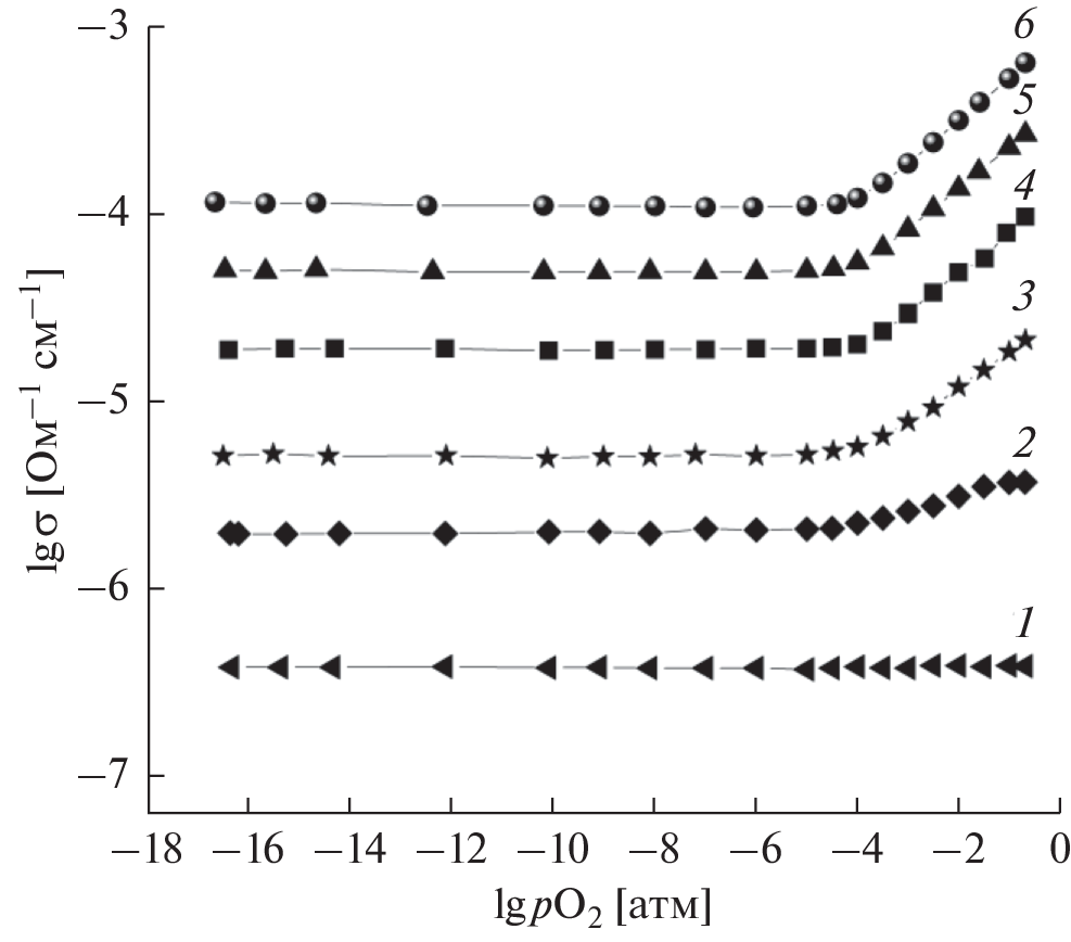
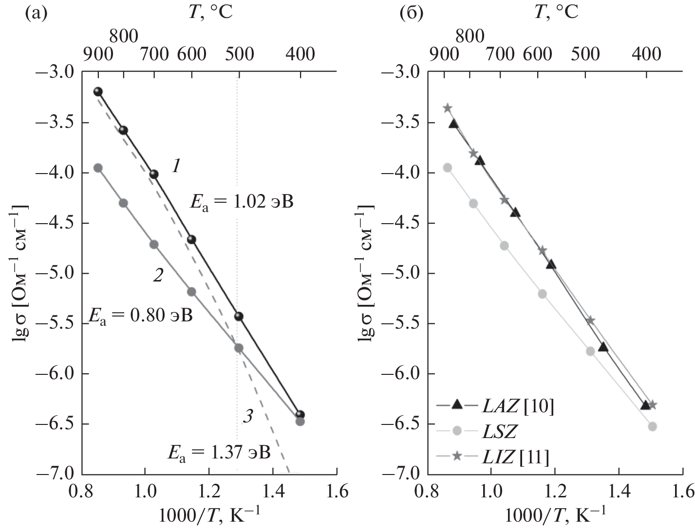
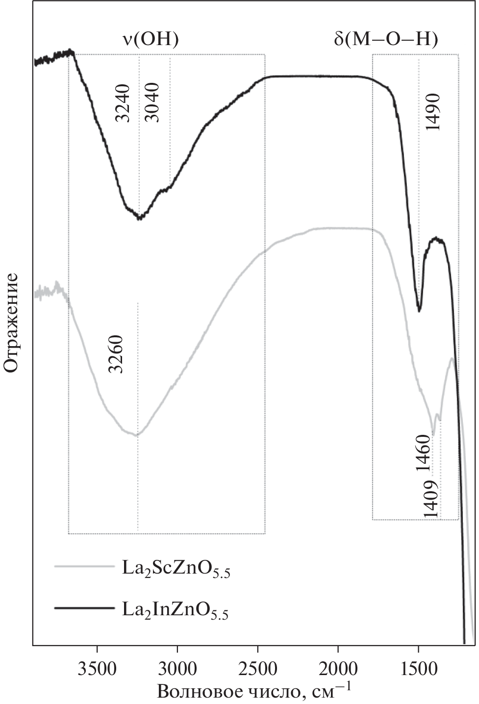
Настоящая работа посвящена исследованию природы проводимости перовскитных фаз состава La2Me+3ZnO5.5 (Me+3 = Al3+, Sc3+, In3+). Фазы были синтезированы по керамической технологии в температурном режиме 700–1400°С. Структура образцов La2InZnO5.5 и La2ScZnO5.5 – ромбическая, в то время как образец La2AlZnO5.5 кристаллизуется в кубической сингонии. Изучена электропроводность образцов La2Me+3ZnO5.5 (Me+3 = Al3+, Sc3+, In3+) как функция температуры (200–900°С), парциального давления кислорода и влажности воздуха. Установлено, что на воздухе сложные оксиды обладают смешанным типом проводимости, электронный вклад (р-тип проводимости) увеличивается с увеличением температуры. При температурах ниже 500°С фазы проявляют доминирующий кислород-ионный транспорт. Во влажной атмосфере Sc3+- и In3+-образцы способны к диссоциативному растворению воды из газовой фазы и формированию протонных дефектов. В образце La2AlZnO5.5 значимый протонный перенос не реализуется. Проведено обсуждение парциальных проводимостей \({{\sigma }_{{{{{\text{{Н}}}}^{{\text{ + }}}}}}},\) \({{\sigma }_{{{{{\text{{О}}}}^{{2 - }}}}}},\) σh в широкой области температур и рО2.
Ключевые слова
Об авторах
А. В. Егорова
Институт высокотемпературной электрохимии УрО РАН; Уральский федеральный университет им. Первого Президента Б.Н. Ельцина
Email: OAV-hn@yandex.ru
Россия, Екатеринбург; Россия, Екатеринбург
К. Г. Белова
Институт высокотемпературной электрохимии УрО РАН; Уральский федеральный университет им. Первого Президента Б.Н. Ельцина
Email: OAV-hn@yandex.ru
Россия, Екатеринбург; Россия, Екатеринбург
Н. В. Лакиза
Уральский федеральный университет им. Первого Президента Б.Н. Ельцина
Email: OAV-hn@yandex.ru
Россия, Екатеринбург
И. Е. Анимица
Институт высокотемпературной электрохимии УрО РАН; Уральский федеральный университет им. Первого Президента Б.Н. Ельцина
Автор, ответственный за переписку.
Email: OAV-hn@yandex.ru
Россия, Екатеринбург; Россия, Екатеринбург
Список литературы
- Schober, T., Protonic conduction in BaIn0.5Sn0.5O2.75, Solid State Ionics, 1998, vol. 109(1–2), p. 1. https://doi.org/10.1016/S0167-2738(98)00112-X
- Murugaraj, P., Kreuer, K., He, T., Schober, T., and Maier, J., High proton conductivity in barium yttrium stannate Ba2YSnO5.5, Solid State Ionics, 1997, vol. 98, p. 1. https://doi.org/10.1016/S0167-2738(97)00102-1
- Tarasova, N.A., Galisheva, A.O., and Animitsa, I.E., Hydration Processes and State of Oxygen-Hydrogen Groups in Fluorine-Substituted Perovskites Based on Ba4In2Zr2O11, Russ. J. Phys. Chem. A, 2019, vol. 93(7), p. 1281. https://doi.org/10.1134/S0036024419070276
- Baliteau, S., Mauvy, F., Fourcade, S., and Grenier, J., Investigation on double perovskite Ba4Ca2Ta2O11, Solid State Sci., 2009, vol. 11, p. 1572. https://doi.org/10.1016/j.solidstatesciences.2009.06.023
- Sazinas, R., Bernuy-Lopez, C., Einarsrud, M.-A., and Grande T., Effect of CO2 exposure on the chemical stability and mechanical properties of BaZrO3-ceramics, J. Amer. Ceram. Soc., 2016, vol. 99, p. 3685. https://doi.org/10.1111/jace.14395
- Kasyanova, A.V., Rudenko, A.O., Lyagaeva, Y.G., and Medvedev, D.A., Lanthanum-Containing Proton-Conducting Electrolytes with Perovskite Structures, Membranes and Membrane Technol., 2021, vol. 3(2), p. 73. https://doi.org/10.1134/S2517751621020050
- Okuyama, Y., Kozai, T., Ikeda, S., Matsuka, M., Sakai, T., and Matsumoto, H., Incorporation and conduction of proton in Sr-doped LaMO3 (M = Al, Sc, In, Yb, Y), Electrochim. Acta, 2014, vol. 125, p. 443. https://doi.org/10.1016/j.electacta.2014.01.113
- Nomura, K., Takeuchi, T., Tanase, S., Kageyama, H., Tanimoto, K., and Miyazaki, Y., Proton conduction in (La0.9Sr0.1)MIIIO3 – δ (MIII = Sc, In, and Lu) perovskites, Solid State Ionics, 2002, vols. 154–155, p. 647. https://doi.org/10.1016/S0167-2738(02)00512-X
- Belova, K., Egorova, A., Pachina, S., and Animitsa, I., Crystal Structure, Electrical Conductivity and Hydration of the Novel Oxygen-Deficient Perovskite La2ScZnO5.5, Doped with MgO and CaO, Appl. Sci. (Switzerland), 2022, vol. 12(3), 1181. https://doi.org/10.3390/app12031181
- Egorova, A.V., Belova, K.G., and Animitsa, I.E., New Oxygen-Deficient Perovskite La(Al0.5Zn0.5)O2.75: Synthesis, Structure, and Transport Properties, Russ. J. Phys. Chem. A, 2020, vol. 94(12), p. 2488. https://doi.org/10.1134/S0036024420120092
- Egorova, A.V., Morkhova, Y.A., Kabanov, A.A., Belova, K.G., Animitsa, I.E., Blatov, V. A., Pimenov, A.A., and Korona, D.V., Oxygen ionic transport in LaInO3 and LaIn0.5Zn0.5O2.75 perovskites: Theory and experiment, Solid State Ionics, 2021, vol. 372, 115790. https://doi.org/10.1016/j.ssi.2021.115790
- Bakiz, B., Guinneton, F., Arab, M., Benlhachemi, A., Villain, S., Satre, P., and Gavarri, J.-R., Carbonatation and Decarbonatation Kinetics in the La2O3–La2O2CO3 System under CO2 Gas Flows, Advances in Mater. Sci. and Engineering, 2010, vol. 2010, Article ID 360597, 6 p. https://doi.org/10.1155/2010/360597
- Lybye, D., Poulsen, F.W., and Mogensen, M., Conductivity of A- and B-site doped LaAlO3, LaGaO3, LaScO3 and LaInO3 perovskites, Solid State Ionics, 2000, vol. 128, p. 91. https://doi.org/10.1016/S0167-2738(99)00337-9
- Benam, M.R., Abdoshahi, N., and Sarmazdeh, M.M., Ab initio study of the effect of pressure on the structural and electronic properties of cubic LaAlO3 by density function theory using GGA, LDA and PBEsol exchange correlation potentials, Physica B, 2014, vol. 446, p. 32. https://doi.org/10.1016/j.physb.2014.04.006
- Van Grotthus, C.J.D., Sur la décomposition de l’eau et des corps qu’elle tient en dissolution à l’aide de l’électricité galvanique, Annali di Chimica, 1806, vol. 58, p. 54.
Дополнительные файлы












