Oxygen-Ionic Conductivity in Isovalent-Doped Layered BaLaInO4-Based Perovskites
- Authors: Bedarkova A.O.1,2, Cheremisina P.V.1,2, Abakumova E.V.1,2, Fedorova I.S.2, Davletbaev K.G.1,2, Tarasova N.A.1,2, Animitsa I.E.1,2
-
Affiliations:
- Institute of High-Temperature Electrochemistry, Ural Branch, Russian Academy of Science
- Ural Federal University named after the first President of Russia B.N. Eltsin
- Issue: Vol 59, No 4 (2023)
- Pages: 193-199
- Section: Articles
- URL: https://journals.rcsi.science/0424-8570/article/view/139258
- DOI: https://doi.org/10.31857/S0424857023040035
- EDN: https://elibrary.ru/ANZTXH
- ID: 139258
Cite item
Full Text
Abstract
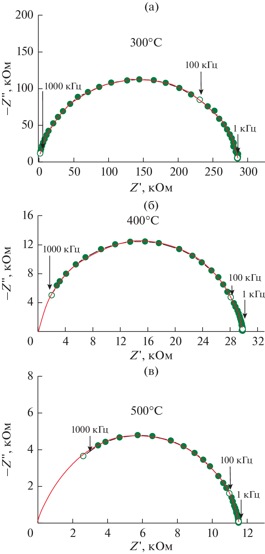
The oxygen-ionic conductivity of isovalent-doped complex oxides characterized by the Ruddlesden–Popper structure is studied. The BaLa0.9Nd0.1InO4 sample was obtained for the first time by substitution in the La sublattice, and its transport properties are studied. A comparing of the results with the data for samples obtained earlier by isovalent substitution in the In-sublattice of BaLaInO4 is presented. The introducing of a dopant is shown to lead to increase in the contribution from oxygen-ionic conductivity and also in the total conductivity by ~2 orders of magnitude.
About the authors
A. O. Bedarkova
Institute of High-Temperature Electrochemistry, Ural Branch, Russian Academy of Science; Ural Federal University named after the first President of Russia B.N. Eltsin
Email: a.o.galisheva@urfu.ru
Yekaterinburg, Russia; Yekaterinburg, Russia
P. V. Cheremisina
Institute of High-Temperature Electrochemistry, Ural Branch, Russian Academy of Science; Ural Federal University named after the first President of Russia B.N. Eltsin
Email: a.o.galisheva@urfu.ru
Yekaterinburg, Russia; Yekaterinburg, Russia
E. V. Abakumova
Institute of High-Temperature Electrochemistry, Ural Branch, Russian Academy of Science; Ural Federal University named after the first President of Russia B.N. Eltsin
Email: a.o.galisheva@urfu.ru
Yekaterinburg, Russia; Yekaterinburg, Russia
I. S. Fedorova
Ural Federal University named after the first President of Russia B.N. Eltsin
Email: a.o.galisheva@urfu.ru
Yekaterinburg, Russia
K. G. Davletbaev
Institute of High-Temperature Electrochemistry, Ural Branch, Russian Academy of Science; Ural Federal University named after the first President of Russia B.N. Eltsin
Email: a.o.galisheva@urfu.ru
Yekaterinburg, Russia; Yekaterinburg, Russia
N. A. Tarasova
Institute of High-Temperature Electrochemistry, Ural Branch, Russian Academy of Science; Ural Federal University named after the first President of Russia B.N. Eltsin
Email: a.o.galisheva@urfu.ru
Yekaterinburg, Russia; Yekaterinburg, Russia
I. E. Animitsa
Institute of High-Temperature Electrochemistry, Ural Branch, Russian Academy of Science; Ural Federal University named after the first President of Russia B.N. Eltsin
Author for correspondence.
Email: a.o.galisheva@urfu.ru
Yekaterinburg, Russia; Yekaterinburg, Russia
References
- Tarutin, A., Gorshkov, Yu., Bainov, A., Vdovin, G., Vylkov, A., Lyagaeva, J., and Medvedev, D., Barium-doped nickelates Nd2 – xBaxNiO4 + δ as promising electrode materials for protonic ceramic electrochemical cells, Ceramics Int., 2020, vol. 46, p. 24355.
- Tarutin, A., Lyagaeva, J., Farlenkov, A., Plaksin, S., Vdovin, G., Demin, A., and Medvedev, D., A Reversible Protonic Ceramic Cell with Symmetrically Designed Pr2NiO4 + δ-Based Electrodes: Fabrication and Electrochemical Features, Materials, 2019, vol. 12, p. 118.
- Bassat, J.M., Burriel, M., Wahyudi, O., Castaing, R., Ceretti, M., Veber, P., Weill, I., Villesuzanne, A., Grenier, J.C., and Paulus, W., Anisotropic oxygen diffusion properties in Pr2NiO4 + δ and Nd2NiO4 + δ single crystals, J. Phys. Chem. C, 2013, vol. 117, p. 26466.
- Lee, D., Grimaud, A., Crumlin, E.J., Mezghani, K., Habib, M.A., Feng, Z.X., Hong, W.T., Biegalski, M.D., Christen, H.M., and Shao-Horn, Y., Strain influence on the oxygen electrocatalysis of the (100)-oriented epitaxial La2NiO4 + δ thin films at elevated temperatures, J. Phys. Chem. C, 2013, vol. 117, p. 18789.
- Boehm, E., Bassat, J.M., Dordor, P., Mauvy, F., Grenier, J.C., and Stevens, P., Oxygen diffusion and transport properties in non-stoichiometric Ln2 – xNiO4 + δ oxides, Solid State Ionics, 2005, vol. 176, p. 2717.
- Troncoso, L., Alonso, J.A., and Aguadero, A., Low activation energies for interstitial oxygen conduction in the layered perovskites La1 + xSr1 – xInO4 + δ, J. Mater. Chem. A, 2015, vol. 3, p. 17797.
- Troncoso, L., Mariño, C., Arce, M.D., and Alonso, J.A., Dual Oxygen Defects in Layered La1.2Sr0.8 – xBaxInO4 + δ (x = 0.2, 0.3) Oxide-Ion Conductors: A Neutron Diffraction Study, Materials, 2019, vol. 12, p. 1624.
- Kato, S., Ogasawara, M., Sugai, M., and Nakata, Sh., Synthesis and oxide ion conductivity of new layered perovskite La1 – xSr1 + xInO4 – d, Solid State Ionics, 2002, vol. 149, p. 53.
- Troncoso, L., Alonso, J.A., Fernández-Díaz, M.T., and Aguadero, A., Introduction of interstitial oxygen atoms in the layered perovskite LaSrIn1 – xBxO4 + δ system (B = Zr, Ti), Solid State Ionics, 2015, vol. 282, p. 82.
- Troncoso, L., Arce, M.D., Fernández-Díaz, M.T., Mogni, L.V., and Alonso, J.A., Water insertion and combined interstitial-vacancy oxygen conduction in the layered perovskites La1.2Sr0.8 – xBaxInO4 + d, New J. Chem., 2019, vol. 43, p. 6087.
- Fujii, K., Esaki, Y., Omoto, K., Yashima, M., Hoshikawa, A., Ishigaki, T., and Hester, J.R., New Perovskite-Related Structure Family of Oxide-Ion Conducting Materials NdBaInO4, Chem. Mater., 2014, vol. 26, p. 2488.
- Fujii, K., Shiraiwa, M., and Esaki, Y., Improved oxide-ion conductivity of NdBaInO4 by Sr doping, J. Mater. Chem. A, 2015, vol. 3, p. 11985.
- Ishihara, T., Yan, Yu, Sakai, T., and Ida, Sh., Oxide ion conductivity in doped NdBaInO4, Solid State Ionics, 2016, vol. 288, p. 262.
- Yang, X., Liu, Sh., Lu, F., Xu, J., and Kuang, X., Acceptor Doping and Oxygen Vacancy Migration in Layered Perovskite NdBaInO4‑Based Mixed Conductors, J. Phys. Chem. C, 2016, vol. 120, p. 6416.
- Fujii, K. and Yashima, M., Discovery and development of BaNdInO4 – A brief review, J. Ceram. Soc. JAPAN, 2018, vol. 126, p. 852.
- Zhou, Yu, Shiraiwa, M., Nagao, M., Fujii, K., Tanaka, I., Yashima, M., Baque, L., Basbus, J.F., Mogni, L.V., and Skinner, S.J., Protonic Conduction in the BaNdInO4 Structure Achieved by Acceptor Doping, Chem. Mater., 2021, vol. 33, p. 2139.
- Korona, D.V., Obrubova, A.V., Kozlyuk, A.O., and Animitsa, I.E., Hydration and Proton Transport in BaCaxLa1 – xInO4 – 0.5x (x = 0.1 and 0.2) Phases with Layered Structure, Russ. J. Phys. Chem. A, 2018, vol. 92, p. 1727.
- Tarasova, N., Animitsa, I., Galisheva, A., and Korona, D., Incorporation and Conduction of Protons in Ca, Sr, Ba-Doped BaLaInO4 with Ruddlesden–Popper Structure, Materials, 2019, vol. 12, p. 1668.
- Tarasova, N., Animitsa, I., and Galisheva, A., Electrical properties of new protonic conductors Ba1 + xLa1 – xInO4 – 0.5x with Ruddlesden–Popper structure, J. Solid State Electrochem., 2020, vol. 24, p. 1497.
- Tarasova, N., Galisheva, A., and Animitsa, I., Improvement of oxygen-ionic and protonic conductivity of BaLaInO4 through Ti doping, Ionics, 2020, vol. 26, p. 5075.
- Tarasova, N., Animitsa, I., and Galisheva, A., Effect of acceptor and donor doping on the state of protons in block-layered structures based on BaLaInO4, Solid State Comm., 2021, vol. 323, p. 14093.
- Tarasova, N.A., Galisheva, A.O., Animitsa, I.E., and Lebedeva, E.L., Oxygen-ion and proton transport in Sc-doped layered perovskite BaLaInO4, Russ. J. Electrochem., 2021, vol. 57, p. 1008.
- Tarasova, N., Galisheva, A., Animitsa, I., Anokhina, I., Gilev, A., and Cheremisina, P., Novel mid-temperature Y3+ → In3+ doped proton conductors based on the layered perovskite BaLaInO4, Ceramics Int., vol. 48, p. 15677.
- Shannon, R.D., Revised effective ionic radii and systematic studies of interatomic distances in halides and chalcogenides, Acta Cryst., 1976, vol. A32, p. 751.
- Tarasova, N. and Animitsa, I., Materials AIILnInO4 with Ruddlesden–Popper structure for electrochemical applications: relationship between ion (oxygen-ion, proton) conductivity, water uptake and structural changes, Materials, 2022, vol. 15, p. 114.
Supplementary files








