Theoretical study of antihydrogen formation reactions in the three body \({{e}^{ + }}{{e}^{ - }}\bar {p}\) system via Faddeev–Merkuriev equations in total orbital momentum representation
- Authors: Gradusov V.A.1, Roudnev V.A.1, Yarevsky E.A.1, Yakovlev S.L.1
-
Affiliations:
- St. Petersburg State University, Department of Computational Physics
- Issue: Vol 87, No 8 (2023)
- Pages: 1191-1197
- Section: Articles
- URL: https://journals.rcsi.science/0367-6765/article/view/135471
- DOI: https://doi.org/10.31857/S0367676523702137
- EDN: https://elibrary.ru/ZDIOXK
- ID: 135471
Cite item
Full Text
Abstract
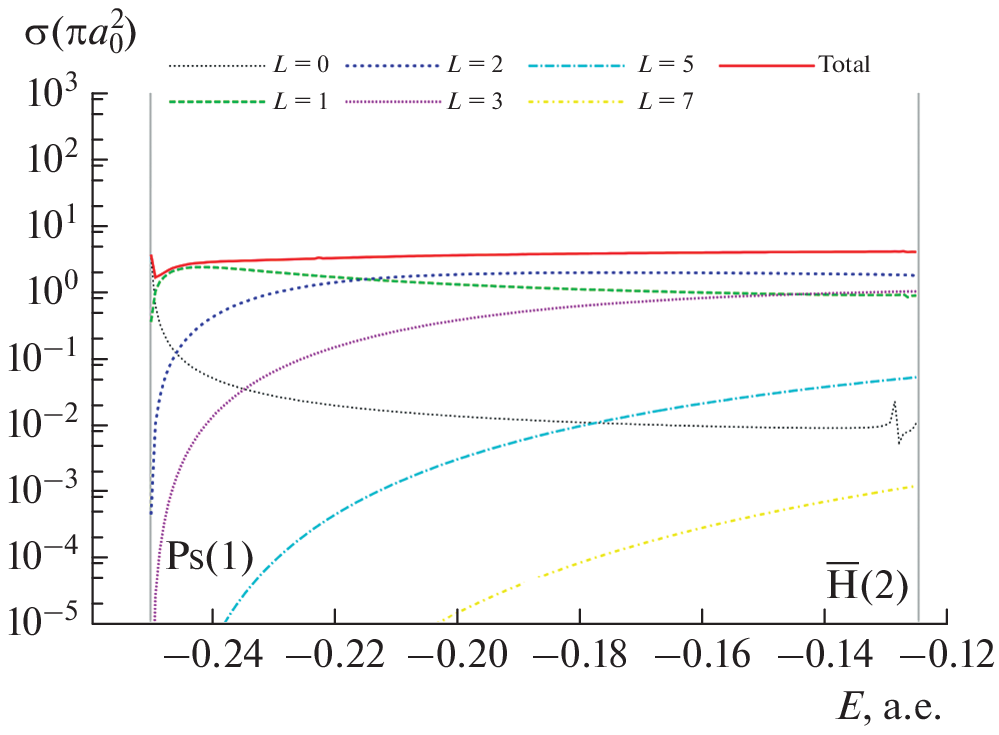
The results of calculations of low-energy reaction in the three body \({{e}^{ + }}{{e}^{ - }}\bar {p}\) system with the emphasis on the process of the antihydrogen formation from the ground and excited states of the positronium are presented. This reaction is important for some of the current antimatter experiments. The multi-channel scattering calculations are based on a new highly efficient method of solving the Faddeev–Merkuriev equations in total orbital momentum representation. We discuss the effects that originate from the long-range dipole interaction between the excited atom and the spectator particle.
About the authors
V. A. Gradusov
St. Petersburg State University, Department of Computational Physics
Author for correspondence.
Email: v.gradusov@spbu.ru
Russia, 199034, St Petersburg
V. A. Roudnev
St. Petersburg State University, Department of Computational Physics
Email: v.gradusov@spbu.ru
Russia, 199034, St Petersburg
E. A. Yarevsky
St. Petersburg State University, Department of Computational Physics
Email: v.gradusov@spbu.ru
Russia, 199034, St Petersburg
S. L. Yakovlev
St. Petersburg State University, Department of Computational Physics
Email: v.gradusov@spbu.ru
Russia, 199034, St Petersburg
References
- Меркурьев С.П., Яковлев С.Л. // ТМФ. 1983. Т. 56. № 1. С. 60.
- Меркурьев С.П., Фаддеев Л.Д. Квантовая теория рассеяния для систем нескольких частиц. М.: Наука, 1985.
- Яковлев С.Л. // Письма в ЖЭТФ. 2022. Т. 116. № 4. С. 260; Yakovlev S.L. // JETP Lett. 2022. V. 116. No. 4. P. 268.
- Merkuriev S.P., Gignoux C., Laverne A. // Ann. Phys. 1976. V. 99. P. 30.
- Kostrykin V.V., Kvitsinsky A.A., Merkuriev S.P. // Few-Body Syst. 1989. V. 6. P. 97.
- Gradusov V.A., Roudnev V.A., Yarevsky E.A. et al. // Commun. Comput. Phys. 2021. V. 30. P. 255.
- Testera G., Aghion S., Amsler C. et al. (AEgIS Collaboration) // Hyperfine Interact. 2015. V. 233. P. 13.
- Perez P., Banerjee D., Biraben F. et al. // Hyperfine Interact. 2015. V. 233. P. 21.
- Kadyrov A.S., Bray I., Charlton M. et al. // Nature Commun. 2017. V. 8. P. 1544.
- Krasnicky D., Testera G., Zurlo N. // J. Physics B. 2019. V. 52. Art. No. 115202.
- Гайлитис М., Дамбург Р. // ЖЭТФ. 1963. Т. 44. С. 1644; Gailitis M., Damburg R. // Sov. Phys. JETP. 1963. V. 17. P. 1107.
- Merkuriev S.P. // Ann. Phys. 1980. V. 130. P. 395.
- Gradusov V.A., Roudnev V.A., Yarevsky E.A. et al. // J. Physics B. 2019. V. 52. Art. No. 055202.
- Яковлев С.Л., Папп З. // ТМФ. 2010. Т. 163. С. 314; Yakovlev S.L., Papp Z. // Theor. Math. Phys. 2010. V. 163. P. 666.
- Варшалович Д.А., Москалев А.Н., Херсонский В.К. Квантовая теория углового момента. Л.: Наука, 1975.
- Биденхарн Л., Лаук Дж. Угловой момент в квантовой физике. Т. 1. М.: Мир, 1984.
- Scrinzi A. // J. Physics B. 1996. V. 29. P. 6055.
- http://dlmf.nist.gov.
- Мессиа А. Квантовая механика. Т. 1. М.: Наука, 1978.
- Schellingerhout N.W., Kok L.P., Bosveld G.D. // Phys. Rev. A. 1989. V. 40. P. 5568.
- Bialecki B., Fairweather G., Karageorghis A. // Numer. Algor. 2011. V. 56. P. 253.
- Hu C.-Y. // J. Physics B. 1999. V. 32. P. 3077.
- Gien T.T. // Phys. Rev. A. 1997. V. 56. P. 1332.
- Hu C.-Y., Caballero D., Hlousek Z. // J. Physics B. 2001. V. 34. P. 331.
- Hu C.-Y., Caballero D. // J. Physics B. 2002. V. 35. P. 3879.
- Ho Y.K., Yan Z.-C. // Phys. Rev. A. 2004. V. 70. Art. No. 032716.
- Varga K., Mitroy J., Mezei J. Zs. et al. // Phys. Rev. A. 2008. V. 77. Art. No. 044502.
- Yu R.-M., Cheng Y.-J., Jiao L.-G. et al. // Chin. Phys. Lett. 2012. V. 29. Art. No. 053401.
- Umair M., Jonsell S. // J. Physics B. 2014. V. 47. Art. No. 225001.
- Gailitis M. // J. Physics B. 1976. V. 9. P. 843.
Supplementary files






