Self-sustaining conducting state and bipolar ionizing Gunn domains in pulse avalanche GaAs diodes
- Authors: Rozhkov А.V.1, Ivanov M.S.1, Rodin P.B.1
-
Affiliations:
- Ioffe Physical-Technical Institute of the Russian Academy of Sciences
- Issue: Vol 87, No 6 (2023)
- Pages: 873-878
- Section: Articles
- URL: https://journals.rcsi.science/0367-6765/article/view/135412
- DOI: https://doi.org/10.31857/S036767652370151X
- EDN: https://elibrary.ru/VMNICK
- ID: 135412
Cite item
Full Text
Abstract
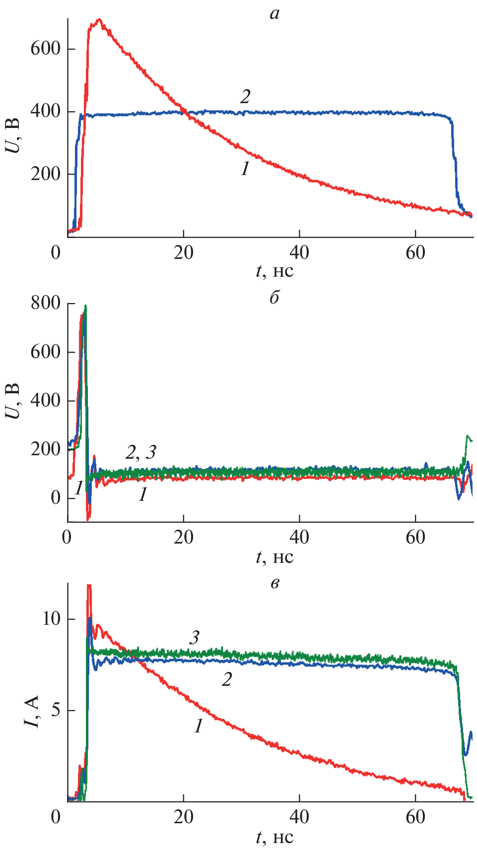
Domain instability in nonequilibrium electron-hole plasma leads to the formation of narrow moving regions of the ionizing electric field—collapsing Gunn domains. In pulse power electronics devices based on gallium arsenide, impact ionization in collapsing domains acts as an efficient mechanism for the generation of nonequilibrium carriers at low voltages and weak average electric fields.
About the authors
А. V. Rozhkov
Ioffe Physical-Technical Institute of the Russian Academy of Sciences
Email: rodin@mail.ioffe.ru
Russia, 194021, St. Petersburg
M. S. Ivanov
Ioffe Physical-Technical Institute of the Russian Academy of Sciences
Email: rodin@mail.ioffe.ru
Russia, 194021, St. Petersburg
P. B. Rodin
Ioffe Physical-Technical Institute of the Russian Academy of Sciences
Author for correspondence.
Email: rodin@mail.ioffe.ru
Russia, 194021, St. Petersburg
References
- Gunn J.B. // Solid State Commun. 1963. V. 1. No. 4. P. 88.
- Kroemer R. // Proc. IEEE. 1964. V. 52. P. 1736.
- Гельмонт Б.Л., Шур М.С. // ЖЭТФ. 1971. Т. 33. № 6. С. 305.
- Vainshtein S.N., Yuferev V.S., Kostamovaara J.T. // J. Appl. Phys. 2005. V. 97. Art. No. 024502.
- Vainshtein S., Kostomovaara J., Yuferev V.S. et al. // Phys. Rev. Lett. 2007. V. 99. Art. No. 176601.
- Hu L., Su J., Ding Z. et al. // J. Appl. Phys. 2014. V. 115. Art. No. 094503.
- Chowdhury A.R., Dickens J.C., Neuber A.A. et al. // J. Appl. Phys. 2018. V. 123. Art. No. 085703.
- Prudaev I.A., Oleinik V.L., Smirnova T.E. et al. // IEEE Trans. Electron. Dev. 2018. V. 65. No. 8. P. 3339.
- Иванов М.С., Рожков А.В., Родин П.Б. // Письма в ЖТФ. 2022. Т. 48. № 20. С. 31.
- Vainshtein S.N., Duan G., Yuferev V.S. et al. // Appl. Phys. Lett. 2019. V. 115. No. 12. Art. No. 123501.
- Ivanov M.S., Brylevskiy V.I., Smirnova I.A. et al. // J. Appl. Phys. 2022. V. 131. Art. No. 014502.
- Алферов Ж.И., Грехов И.В., Ефанов В.М. и др. // Письма в ЖТФ. 1987. Т. 13. № 18. С. 1089.
- Levinshtein M., Vainshtein S., Kostomovaara J. Breakdown phenomena in semiconductors and semiconductor devices. New Jersey: World Scientific, 2005.
- Brylevskiy V.I., Smirnova I.A., Rozhkov A.V. et al. // IEEE Trans. Plasma Sci. 2016. V. 44. No. 10. P. 1941.
- Хлудков С.С., Толбанов О.П., Корецкий А.В. // Изв. вузов. Физика. 1986. Т. 29. № 4. С. 54.
- Schoell E. Nonlinear spatio-temporal dynamics and chaos in semiconductors. Cambridge: Cambridge Univ. Press, 2001.
Supplementary files







