Formation of a Spray of Conducting Liquid under High Voltage and Electrical Discharge Plasma
- Authors: Saveliev A.S.1
- 
							Affiliations: 
							- Joint Institute for High Temperatures, Russian Academy of Sciences
 
- Issue: Vol 49, No 11 (2023)
- Pages: 1237-1246
- Section: LOW TEMPERATURE PLASMA
- URL: https://journals.rcsi.science/0367-2921/article/view/233153
- DOI: https://doi.org/10.31857/S0367292123600966
- EDN: https://elibrary.ru/AGTPGU
- ID: 233153
Cite item
Full Text
Abstract
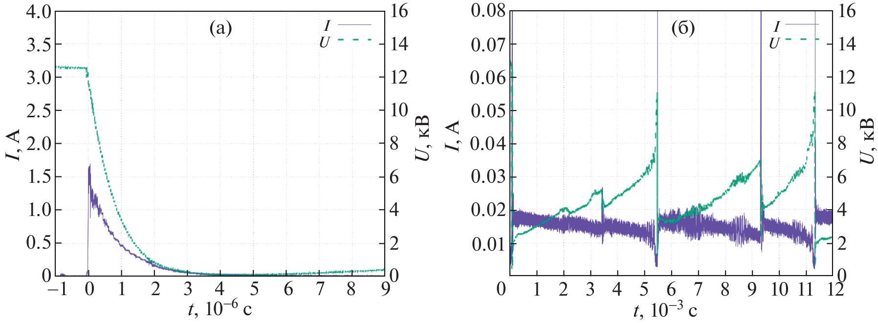
The joint impact of an electrical discharge and a gas–droplet flow of a conducting liquid created by a centrifugal nozzle is studied. In the experiment, the electrical parameters of the discharge are recorded, and the local characteristics of the spray, namely, the droplet diameter distributions of the number of droplets and the components of their velocity vector are measured. The measurements are carried out using double shadow microphotography. The effect of a spray of a conducting liquid on the time-averaged electrical parameters of the discharge, as well as changes in the properties of the spray under the influence of high voltage and current, are studied. Additionally, the spray characteristics are measured when a high voltage of pre-breakdown value is applied. High-speed photography of a discharge in the presence of droplets of conducting liquid is carried out.
About the authors
A. S. Saveliev
Joint Institute for High Temperatures, Russian Academy of Sciences
							Author for correspondence.
							Email: fisteh@mail.ru
				                					                																			                												                								125412, Moscow, Russia						
References
- Locke B.R. and Shih K.-Y. // Plasma Sources Sci. Technol. 2011. V. 20. 034006
- Thagard S.M. and Locke B.R. Electrical discharge plasma for water treatment / Advanced Oxidation Processes for Water Treatment. Ed. by Stefan M.I. London: IWA Publishing. 2018. Chapter 12. P. 493.
- Li Z., Zhang X., Qi M., Zhao X., Qu Z., Wang X., Li W., Xu D. // J. Appl. Phys. 2023. V. 134. 093301.
- Malik M.A. // Plasma Chem. Plasma Process. 2010. V. 30 (1) P. 21.
- Saveliev A.S. // Plasma Phys. Rep. 2023. V. 49 (5). P. 626.
- Савельев А.С. // Вестник Объединенного института высоких температур. 2019. Т. 2. С. 69.
- De Cock N., Massinon M., and Lebeau F. Agricultural spray measurement by high-speed shadow imagery / Proc. of the International Advances in Pesticide Application, Oxford, United Kingdom, 2014. p. 122.
- Widodo C.S., Sela H., and Santosa D.R. // AIP Conf. Proc. 2018. V. 2021 (1). 050003.
- Rao S.M., and Thyagaraj T. // Appl. Clay Sci. 2007. V. 38. P. 113.
- Акишев Ю.С., Апонин Г.И., Грушин М.Е., Караль-ник В.Б., Панькин М.В., Петряков А.В., Труш-кин Н.И. // Физика плазмы. 2008. № 4. С. 347.
Supplementary files
 
				
			 
					 
						 
						 
						 
						 
				
 
  
  
  Email this article
			Email this article 








