ДИАГНОСТИКА ПЛАЗМЫ В ДИВЕРТОРНОЙ ОБЛАСТИ ТОКАМАКА ГЛОБУС-М2 МЕТОДОМ ТОМСОНОВСКОГО РАССЕЯНИЯ
- Авторы: Ермаков Н.В.1, Жильцов Н.С.1, Курскиев Г.С.1, Мухин Е.Е.1, Толстяков С.Ю.1, Ткаченко Е.Е.1, Соловей В.А.1, Бочаров И.В.1, Долгова К.В.2, Кавин А.А.3, Коваль А.Н.1, Николаенко К.О.1, Новохацкий А.Н.1, Петров Ю.В.1, Рожанский В.А.2, Сахаров Н.В.1, Сениченков И.Ю.2
-
Учреждения:
- Физико-технический институт им. А.Ф. Иоффе РАН
- Санкт-Петербургский политехнический университет Петра Великого
- Научно-исследовательский институт электрофизической аппаратуры им. Д.В. Ефремова (НИИЭФА)
- Выпуск: Том 49, № 12 (2023)
- Страницы: 1271-1281
- Раздел: ТОКАМАКИ
- URL: https://journals.rcsi.science/0367-2921/article/view/233130
- DOI: https://doi.org/10.31857/S036729212360098X
- EDN: https://elibrary.ru/CFQPRJ
- ID: 233130
Цитировать
Полный текст
Аннотация
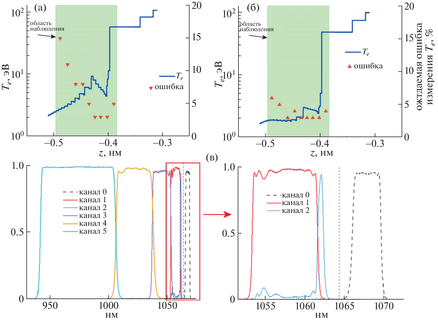
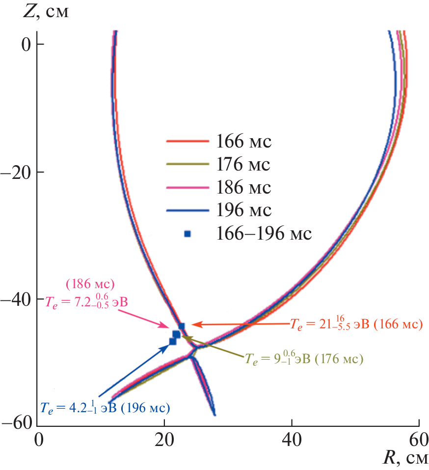
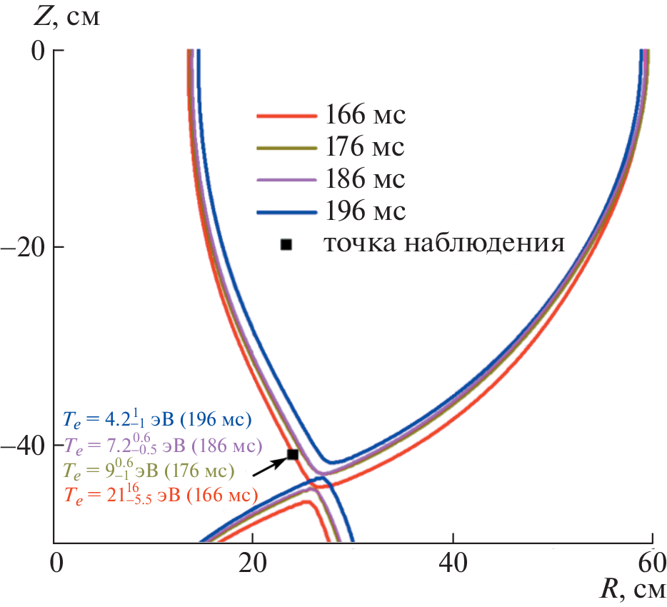
Представлены первые измерения параметров плазмы с помощью диагностики томсоновского рассеяния (ТР), работающей в области нижнего дивертора токамака Глобус-М2. Диагностика ТР предназначена для локальных измерений электронной температуры \({{T}_{e}}\left( {z,t} \right)\) плазмы в диапазоне 1–100 эВ и ее плотности \({{n}_{e}}\left( {z,t} \right)\) в диапазоне от ~1017–1020 м–3. Источником зондирующего излучения является лазер Nd:YAG 1064 нм/2 Дж/100 Гц/3 нс. Вертикальная R = 24 см хорда зондирования располагается в области внутренней диверторной ноги. Рассеянное излучение собирается из 9 пространственных точек, вдоль хорды длиной 110 мм. Спектрально-аналитический комплекс собран на базе фильтровых полихроматоров.
Ключевые слова
Об авторах
Н. В. Ермаков
Физико-технический институт им. А.Ф. Иоффе РАН
Email: ermafin@gmail.com
Россия, Санкт-Петербург
Н. С. Жильцов
Физико-технический институт им. А.Ф. Иоффе РАН
Email: ermafin@gmail.com
Россия, Санкт-Петербург
Г. С. Курскиев
Физико-технический институт им. А.Ф. Иоффе РАН
Email: ermafin@gmail.com
Россия, Санкт-Петербург
Е. Е. Мухин
Физико-технический институт им. А.Ф. Иоффе РАН
Email: ermafin@gmail.com
Россия, Санкт-Петербург
С. Ю. Толстяков
Физико-технический институт им. А.Ф. Иоффе РАН
Email: ermafin@gmail.com
Россия, Санкт-Петербург
Е. Е. Ткаченко
Физико-технический институт им. А.Ф. Иоффе РАН
Email: ermafin@gmail.com
Россия, Санкт-Петербург
В. А. Соловей
Физико-технический институт им. А.Ф. Иоффе РАН
Email: ermafin@gmail.com
Россия, Санкт-Петербург
И. В. Бочаров
Физико-технический институт им. А.Ф. Иоффе РАН
Email: ermafin@gmail.com
Россия, Санкт-Петербург
К. В. Долгова
Санкт-Петербургский политехнический университет Петра Великого
Email: ermafin@gmail.com
Россия, Санкт-Петербург
А. А. Кавин
Научно-исследовательский институт электрофизической аппаратуры им. Д.В. Ефремова (НИИЭФА)
Email: ermafin@gmail.com
Россия, Санкт-Петербург
А. Н. Коваль
Физико-технический институт им. А.Ф. Иоффе РАН
Email: ermafin@gmail.com
Россия, Санкт-Петербург
К. О. Николаенко
Физико-технический институт им. А.Ф. Иоффе РАН
Email: ermafin@gmail.com
Россия, Санкт-Петербург
А. Н. Новохацкий
Физико-технический институт им. А.Ф. Иоффе РАН
Email: ermafin@gmail.com
Россия, Санкт-Петербург
Ю. В. Петров
Физико-технический институт им. А.Ф. Иоффе РАН
Email: ermafin@gmail.com
Россия, Санкт-Петербург
В. А. Рожанский
Санкт-Петербургский политехнический университет Петра Великого
Email: ermafin@gmail.com
Россия, Санкт-Петербург
Н. В. Сахаров
Физико-технический институт им. А.Ф. Иоффе РАН
Email: ermafin@gmail.com
Россия, Санкт-Петербург
И. Ю. Сениченков
Санкт-Петербургский политехнический университет Петра Великого
Автор, ответственный за переписку.
Email: ermafin@gmail.com
Россия, Санкт-Петербург
Список литературы
- Bakharev N.N., Balachenkov I.M., Chernyshev F.V. // Plasma Phys. Reports. 2020. V. 46. P. 675–682. https://doi.org/10.1134/S1063780X20070016
- Stangeby P.S. // Nucl. Fusion 1993. V 33. № 11. P. 1695. https://doi.org/10.1088/0029-5515/33/11/I10
- Kurzan B. // JINST. 2021. V. 16. P. C09012 https://doi.org/10.1088/1748-0221/16/09/C09012
- Glass F., Carlstrom T.N. et al. // Rev Sci Instrum. 2016 Nov. V. 87. № 11. P. 11E508. https://doi.org/10.1063/1.4955281
- Hawke J. // JINST. 2013. V. 8. https://doi.org/10.1088/1748-0221/8/11/C11010
- Петров Ю.В., Багрянский П.А., Балаченков И.М., Бахарев Н.Н., Брунков П.Н., Варфоломеев В.И., Во-ронин А.В., Гусев В.К., Горяинов В.А., Дьяченко В.В., Ермаков Н.В., Жилин Е.Г., Жильцов Н.С., Иванен-ко С.В., Ильясова М.В., Кавин А.А., Киселев Е.О., Коновалов А.Н., Крикунов С.В., Курскиев Г.С. и др. // Физика плазмы. 2023. Т. 49. № 12. С.
- Mukhin E.E. // JINST. 2012. № 7. C. 02063. https://doi.org/10.1088/1748-0221/7/02/C02063
- Kurskiev G., Chernakov Al.P., Solovey V.A., Tolstya-kov S.Yu., Mukhin E.E., Koval A.N., Bazhenov A.N., Aleksandrov S.E., Zhiltsov N.S., Senichenkov V.A., Lukoyanova A.V., Chernakov P.V., Varfolomeev V.I., Gu-sev V.K., Kiselev E.O., Petrov Yu.V., Sakharov N.V.,. Minaev V.B, Novokhatsky A.N., Patrov Yu.V., Bel’bas I.S. // Nucl. Instrum. Methods Phys. Res. A. 2020. V. 963. P. 163734. https://doi.org/10.1016/j.nima.2020.163734
- Dolgova K., Vekshina E., Rozhansky V. // Plasma Phys. Control. Fusion. 2023. to be published
- LabSphere Variable Modular HELIOS System. https://www.labsphere.com/product/helios-plus-v-family/
- Официальный сайт производителя, URL https://www.leukos-laser.com/our-products/electro-visir/
- Penney Carl M., // J. Opt. Soc. Am. 1969. 59. P. 34
- Solokha V.V., Kurskiev G.S., Mukhin E.E. // Phys. Atom. Nuclei. 2018. V. 81. P. 1053. https://doi.org/10.1134/S1063778818070116
- Vasiliev V.I., Kostsov Yu.A., Lobanov K.M., Makarova L.P., Mineev A.B., Gusev V.K., Levin R.G., Petrov Yu.V. and Sakharov N.V. // Nucl. Fusion. 2006. V. 46. № 8. P. S625. https://doi.org/10.1088/0029-5515/46/8/S08
Дополнительные файлы



















