Биологическая индикация загрязнения реки Урал по результатам исследования зообентоса летом 2022 г.
- Authors: Гончаров А.В.1, Палатов Д.М.1,2, Фролова Н.Л.1, Полянин В.О.3, Исаев В.A.4, Кудяков Э.Х.1
-
Affiliations:
- Московский государственный университет им. М.В. Ломоносова
- Институт проблем экологии и эволюции им А.Н. Северцова РАН
- Институт водных проблем РАН
- ООО “Яндекс.Технологии”
- Issue: Vol 51, No 2 (2024)
- Pages: 191-207
- Section: ГИДРОХИМИЯ, ГИДРОБИОЛОГИЯ, ЭКОЛОГИЧЕСКИЕ АСПЕКТЫ
- URL: https://journals.rcsi.science/0321-0596/article/view/263206
- DOI: https://doi.org/10.31857/S0321059624020056
- EDN: https://elibrary.ru/CIHFEA
- ID: 263206
Cite item
Full Text
Abstract
Представлены результаты обследования зообентоса р. Урал на участке от г. Верхнеуральска до г. Оренбурга (~1000 км) с отбором проб выше и ниже источников антропогенного воздействия: крупных городов, металлургических комбинатов, очистных сооружений, водохранилищ. Для оценки степени загрязнения использовали индексы Шеннона, ЕРТ, а также показатель, частично учитывающий два предыдущих – индекс Вудивисса. Показано, что ниже источников антропогенного воздействия рассматриваемые показатели снижаются, отражая уменьшение видового разнообразия донных биоценозов и уменьшение числа видов-индикаторов, чувствительных к загрязнению. Особенно сильное воздействие испытывают малые водотоки; плесы подвержены большей трансформации, чем перекаты. Предложен комплексный показатель качества воды по биологическим показателям. С его помощью проведено ранжирование всех обследованных участков по степени загрязненности. Показано, что 10 из 23 обследованных участков рек относятся к 1-му классу качества воды (условно чистые), 7 участков – ко 2-му классу (слабо загрязненные), 3 участка – к 4-му классу (грязные) и 3 участка – к 5-му классу (экстремально грязные). Это говорит о том, что, несмотря на множественные источники загрязнения, р. Урал обладает высокой самоочищающей способностью и большинство обследованных участков – достаточно чистые, благоприятные для обитания донных беспозвоночных.
Full Text
Введение
На р. Урал расположены крупные города – Магнитогорск, Орск, Оренбург, имеются крупнейшие предприятия металлургической промышленности. Поэтому можно ожидать, что сравнительно маловодная река в условиях сильного техногенного воздействия может сильно загрязняться [6, 30].
Действительно, по данным Росгидромета за 2021 г., вода более половины створов гидрохимического мониторинга на р. Урал отнесена к категориям “загрязненная” или “очень загрязненная”, а в отдельных пунктах – “грязная” и “очень грязная” [11].
В Росгидромете анализируется несколько десятков гидрохимических показателей. На самом деле в водных объектах содержится значительно большее число – сотни и тысячи – разнообразных веществ-загрязнителей [36]. Поэтому результаты проводимого гидрохимического мониторинга могут оказаться недостаточными для оценки загрязненности р. Урал. Кроме того, отбор проб для химического анализа проводится, как правило, ежедекадно или ежемесячно [11]; при столь редких наблюдениях легко пропустить случаи экстремального загрязнения.
В такой ситуации оказываются полезными биологические методы исследования, поскольку очевидно, что речные обитатели реагируют на многие вещества, которые находятся в воде, на все их комбинации и сочетания [35, 36]. Кроме того, если говорить о донных обитателях, то они в течение долгого времени находятся на данном участке реки и несут на себе отпечаток длительного воздействия – в отличие от эпизодических обследований в существующей системе мониторинга [32, 33].
В настоящее время для р. Урал имеются результаты исследований зообентоса, проводившихся в разные годы лишь на отдельных участках реки и ее притоков [8] – в районе Орска, Оренбурга, Илека [9, 13, 17]. Так, по результатам исследования р. Урал в районе Орска в 2007–2017 гг. в составе фауны донных беспозвоночных выявлено 70 видов и форм. Наиболее разнообразно представлены поденки и хирономиды, насчитывающие соответственно 13 и 12 видов и форм; сравнительно богаты видами ручейники и веснянки [13].
Ввиду слабой изученности зообентоса р. Урал, летом 2022 г. авторами статьи проведена экспедиция с целью определения загрязненности р. Урал на большом протяжении – от г. Верхнеуральска до г. Оренбурга (>1000 км) — по состоянию донных биоценозов. Такое исследование проводится впервые.
Объекты и методы исследования
Сбор натурных материалов проведен 16–24 августа 2022 г. на участке р. Урал от Верхнеуральска до Оренбурга (рис. 1; табл. 1) при одинаковых погодных условиях – без дождей и резких колебаний температуры воздуха. Уровень и расход воды соответствовали периоду летней межени, были несколько ниже своих средних многолетних значений. Температура воды в р. Урал менялась преимущественно в пределах 19–25°С (в зависимости от времени суток); ниже Ириклинского водохранилища она составляла 15°С (из-за сброса холодных вод с глубины ~30 м); в малых притоках температура воды могла снижаться до 13–14°С. Преобладали скорости течения 0.2–0.4 м/с. Наибольшее распространение в р. Урал имеют гравийно-галечные, галечно-песчаные отложения. Именно на таких грунтах отбирались пробы зообентоса, чтобы обеспечить сходство условий обитания донных беспозвоночных на сравниваемых участках рек (табл. 1). В местах значительного антропогенного воздействия (ниже очистных сооружений) донные отложения покрываются наилком.
Рис. 1. Картосхема расположения пунктов гидробиологического обследования р. Урал в августе 2022 г.
Таблица 1. Расположение пунктов гидробиологического обследования р. Урал в августе 2022 г. и их краткая характеристика (Vтеч – скорость течения)
№ станции | Точка | Географические координаты | Ширина, м | Глубина, м | Vтеч, м/с | Отложения | Тводы, °С |
1 | р. Урал выше г. Верхнеуральска | 53.88978 с.ш., 59.18214 в.д. | 20–25 | 0.5 | 0.1 | Гравий, галька и песок | 19.8 |
2 | Ниже сброса с ОС г. Верхнеуральска | 53.85793 с.ш., 59.19356 в.д. | 15-20 м | 0.8 | 0.2 | Гравий, галька и ил | 17.7 |
3 | Выше Верхнеуральского вдхр | 53.79884 с.ш., 59.11980 в.д. | 20 м | 0.55 | 0.3 | Гравий, галька и песок | 18.2 |
4 | Ниже Верхнеуральского вдхр | 53.53618 с.ш., 59.07705 в.д. | 30 м | 1–1.3 | 0.27 | Гравий, галька и ил | 20.8 |
5 | 1.5 км ниже Магнитогорского вдхр | 53.31045 с.ш., 59.08970 в.д. | 20 м | 0.3 | 0.4 | Гравий, галька и щебень | 21.6 |
6 | В пос. Янгельском | 53.12830 с.ш., 58.99304 в.д. | 20 м | 0.45 | 0.45 | Гравий, галька и песок | 20.9 |
7 | р. Карагайлы выше Старого Сибая | 52.70847 с.ш., 58.51396 в.д. | 1 м | 0.1 | 0.15 | Гравий, галька, щебень, валуны, ил | 20.8 |
8 | Ниже карьера г. Сибая | 52.70569 с.ш., 58.67975 в.д. | 2–3 м | 0.25 | 0.04 | Ил, песок и щебень (у уреза) | 15.3 |
9 | Сброс с ОС г. Сибая | 52.71187 с.ш., 58.71262 в.д. | 1.5 м | 0.15–0.2 | 0.2 | Ил и песок | 17.5 |
10 | р. Худолаз ниже водопада Гадельша | 52.75849 с.ш., 58.37877 в.д. | 1–2 м | 0.1-0.3 | 0.1 | Валуны, глыбы, щебень и ил | 13 |
11 | Ниже карьера | 52.70615 с.ш., 58.77409 в.д. | 4.5 м | 0.3 | 0.33 | Ил, гравий, щебень, валуны | 18.3 |
12 | р. Урал ниже пос. Пролетарка | 52.76303 с.ш., 58.91222 в.д. | 30–35 м | 0.5 | 0.13 | Гравий, галька, щебень и ил | 20.2 |
13 | Выше Ириклинского вдхр | 52.27630 с.ш., 58.90453 в.д. | 30 м | 0.3 | 0.6 | Гравий, галька и песок | 21.6 |
14 | Ниже Ириклинского вдхр | 51.63264 с.ш., 58.60962 в.д. | 70–90 м | 1–1.5 | 0.3 | Песок, щебень и галька | 15 |
15 | Выше г. Орска | 51.34453 с.ш., 58.74857 в.д. | 40–50 м | 1.5–2 | 0.35 | Песок, галька и щебень | 19.5 |
16 | На сбросе с очистных г. Орска | 51.19560 с.ш., 58.46916 в.д. | 40–50 м | 1.5–2 | 0.35 | Песок, галька, гравий | 22.2 |
17 | р. Блява выше г. Медногорска | 51.40651 с.ш., 57.74030 в.д. | 2–2.5 м | 0.15 | 0.3 | Гравий, галька, щебень и песок | 14.1 |
18 | Ниже г. Медногорска, перекат | 51.48715 с.ш., 57.54993 в.д. | 4–5 м | 0.2 | 0.4 | Гравий, галька, щебень, песок | 15.4 |
19 | Ниже г. Медногорска, плес | 51.48715 с.ш., 57.54993 в.д. | 7–5 м | 0.3 | 0.05 | Камни крупные под слоем ила | - |
20 | р. Урал ниже г. Орска | 51.23930 с.ш., 57.34245 в.д. | 70–80 м | 1.5–2 | 0.1 | Гравий, галька, щебень и песок | 22.3 |
21 | Выше г. Оренбурга | 51.71853 с.ш. 55.28884 в.д. | 50–60 м | 0.8 | 0.33 | Гравий, галька щебень, песок | 23.3 |
22 | Ниже ОС г. Оренбурга | 51.77134 с.ш., 55.02655 в.д. | 100–120 м | 1 | 0.24 | Заиленное дно, светло-коричневый | 25.6 |
23 | Ниже г. Оренбурга | 51.72985 с.ш., 54.64913 в.д. | 100–110 м | 1–1.5 | 0.25 | Гравий, галька, щебень и песок | 25.4 |
Пробы зообентоса отбирали, как правило, в нескольких километрах выше и ниже основных источников воздействия, кроме того – в непосредственной близости (в 50–100 м) от сброса с городских очистных сооружений в р. Урал в Верхнеуральске, Оренбурге; в Орске – в 1 км ниже сооружений (в связи с особенностями их расположения). Кроме того, обследовали несколько малых водотоков (реки Карагайлы, Худолаз, Блява) – выше и ниже источников загрязнения.
Работа на реке проводилась в соответствии с общепринятой методикой [16, 23] – с помощью гидробиологического сачка с основанием шириной 20 см. Учитывалась обловленная на каждой станции площадь дна реки, которая составляла 2–3 м2. Разборку проб и определение организмов проводили в лаборатории с использованием микроскопа и определителей [20, 22, 26].
Для оценки загрязненности рек использовали индексы Вудивисса [7, 41], Шеннона (видового разнообразия по численности) [19], ЕРТ (суммарное число видов реофильных беспозвоночных) [24]. При этом считается, что чем больше видовое разнообразие, тем лучше условия существования донных организмов, тем чище вода [2].
Индекс Вудивисса – широко известный показатель, учитывающий присутствие индикаторных (с точки зрения загрязнения) таксонов и одновременно – видовое богатство. В настоящей работе использовали расширенный вариант индекса Вудивисса [1, 42].
Индекс Шеннона, по существу, учитывает два параметра: видовое богатство (т. е. число видов) и выравненность сообщества, оцениваемую индексом Пиелу. Последний принимает наибольшее значение, если все особи сообщества относятся к разным видам, наименьшее – когда все особи принадлежат одному виду [18].
Индекс ЕРТ представляет собой суммарное число видов реофильных беспозвоночных – Ephemeroptera, Plecoptera, Trichoptera; многие из таких видов приспособлены к жизни на каменистом грунте в условиях значительной скорости течения, обеспечивающей перемешивание и насыщение воды кислородом.
Для однозначной оценки состояния водных объектов индексы Шеннона, Вудивисса и ЕРТ были преобразованы в один комплексный показатель [3, 5]. С этой же целью применен метод главных компонент [38]; в расчетах использована библиотека с открытым исходным кодом Scikit-learn [39].
Результаты и обсуждение
Состав биоценозов и основные рассматриваемые показатели зообентоса
Число найденных в августе 2022 г. видов донных беспозвоночных – 189 (на всех 23 обследованных участках без проб, собранных с растительности). В табл. 2 представлено распределение числа видов по основным систематическим группам организмов. Из таблицы видно, что почти на каждой станции встречаются хирономиды, поденки и брюхоногие моллюски (включающие в среднем по 8, 5, 3 вида на пробу соответственно). Обычны также ручейники, жуки, двустворчатые моллюски, пиявки (в среднем от 2 до 5 видов на пробу). Реже встречаются мошки, стрекозы, клопы, олигохеты, мокрецы, слепни.
Таблица 2. Распределение числа видов зообентоса по основным таксономическим группам, р. Урал, август 2022 г.
Таксон (по-русски) | Таксон | р. Урал выше Верхнеуральска | р. Урал, ниже ОС Верхнеуральск | р. Урал выше Верхнеуральского вдхр | р. Урал ниже Верхнеуральского вдхр | р. Урал ниже Магнитогорского вдхр | р. Урал пос. Янгельский | р. Карагайлы выше Старого Сибая | р. Карагайлы, ниже карьера | р. Карагайлы, сброс с ОС Сибая | р. Худолаз ниже водопада | р. Худолаз ниже карьера | р. Урал ниже п. Пролетарка | р. Урал выше Ириклинского вдхр | р. Урал ниже Ириклинского вдхр | р. Урал выше Орска | р. Урал ниже ОС Орска | р. Блява выше Медногорска | р. Блява ниже Медногорска, перекат | р. Блява ниже Медногорска, плес | р. Урал ниже Орска | р. Урал выше Оренбурга | р. Урал ниже ОС Оренбурга | р. Урал ниже Оренбурга |
1 | 2 | 3 | 4 | 5 | 6 | 7 | 8 | 9 | 10 | 11 | 12 | 13 | 14 | 15 | 16 | 17 | 18 | 19 | 20 | 21 | 22 | 23 | ||
Губки | PORIFERA | |||||||||||||||||||||||
Бадяги | Spongillidae | 1 | 1 | 1 | 1 | 1 | 1 | |||||||||||||||||
Кольчатые черви | ANNELIDA | |||||||||||||||||||||||
Олигохеты | Oligochaeta | 3 | 2 | 1 | 1 | 1 | 1 | 2 | 3 | 2 | 1 | 1 | ||||||||||||
Плоские пиявки | Glossi- phoniidae | 1 | 1 | 1 | 1 | 2 | 3 | 1 | 1 | 1 | 1 | 1 | 1 | |||||||||||
Глоточные пиявки | Erpobdellidae | 1 | 1 | 1 | 1 | 1 | 1 | 1 | 1 | |||||||||||||||
Моллюски | MOLLUSCA | |||||||||||||||||||||||
Двустворчатые моллюски | Bivalvia | 4 | 1 | 2 | 5 | 1 | 2 | 2 | 6 | 2 | 1 | 3 | 2 | 1 | 2 | 2 | 3 | |||||||
Брюхоногие моллюски | Gastropoda | 7 | 2 | 4 | 3 | 2 | 3 | 2 | 2 | 3 | 1 | 6 | 1 | 3 | 5 | 2 | 4 | 3 | 1 | 2 | ||||
Членистоногие: Ракообразные | ARTHRO- PODA: CRUSTACEA | |||||||||||||||||||||||
Мизиды | Mysidae | 1 | ||||||||||||||||||||||
Бокоплавы | Amphipoda | 1 | 2 | 2 | 1 | 1 | ||||||||||||||||||
Десятиногие ракообразные | Decapoda | 1 | ||||||||||||||||||||||
Членистоногие: Насекомые | ARTHRO- PODA: INSECTA | |||||||||||||||||||||||
Поденки | Epheme- roptera | 5 | 2 | 10 | 11 | 5 | 9 | 4 | 1 | 4 | 1 | 5 | 6 | 10 | 6 | 4 | 2 | 3 | 10 | 9 | ||||
Стрекозы | Odonata | 1 | 1 | 2 | 1 | 3 | 1 | 3 | 4 | 1 | 3 | 2 | 4 | 2 | ||||||||||
Веснянки | Plecoptera | 2 | 5 | 4 | 1 | 5 | 1 | |||||||||||||||||
Клопы | Heteroptera | 1 | 1 | 1 | 1 | 1 | 1 | 1 | 1 | 1 | 1 | 1 | ||||||||||||
Жуки | Coleoptera | 3 | 2 | 2 | 4 | 1 | 2 | 1 | 4 | 1 | 3 | 3 | 1 | 2 | 5 | 2 | 1 | 2 | ||||||
Вислокрылки | Megaloptera | 1 | 1 | 1 | 1 | |||||||||||||||||||
Сетчатокрылые | Neuroptera | 1 | ||||||||||||||||||||||
Ручейники | Trichoptera | 2 | 2 | 5 | 4 | 5 | 7 | 7 | 6 | 6 | 6 | 5 | 1 | 6 | 2 | 8 | 8 | 3 | 3 | |||||
Бабочки | Lepidoptera | 1 | ||||||||||||||||||||||
Комары-лимонииды | Limoniidae | 2 | 1 | 1 | ||||||||||||||||||||
Комары-болотницы | Pediciidae | 1 | 1 | 1 | 1 | 1 | ||||||||||||||||||
Комары-долгоножки | Tipulidae | 1 | 1 | |||||||||||||||||||||
Комары-звонцы | Chironomidae | 11 | 15 | 14 | 9 | 8 | 9 | 6 | 1 | 9 | 8 | 10 | 8 | 4 | 10 | 5 | 10 | 6 | 3 | 8 | 6 | 2 | 11 | |
Мокрецы | Cerato- pogonidae | 1 | 1 | 1 | 1 | 1 | 1 | 1 | 1 | 1 | ||||||||||||||
Мошки | Simuliidae | 1 | 2 | 2 | 1 | 1 | 1 | 1 | 1 | 1 | 3 | 1 | 2 | 1 | 2 | |||||||||
Толкунчики | Empididae | 1 | ||||||||||||||||||||||
Слепни | Tabanidae | 1 | 1 | 1 | 1 | 1 | 1 | 1 | ||||||||||||||||
Мухи настоящие | Muscidae | 1 | 1 | |||||||||||||||||||||
Мухи-атерициды | Athericidae | 1 | 1 | 1 | 1 |
Фауна донных беспозвоночных на обследованном участке р. Урал в целом характерна для крупных и средних рек Каспийского бассейна; наиболее близкий фаунистический аналог – среднее течение р. Оки [21]. На плотных грунтах обнаруживается характерный литореофильный комплекс с доминированием фильтрующих личинок ручейников Hydropsyche contubernalis McLachlan, 1865, Brachycentrus subnubilus Curtis, 1834, поденок-альгофагов Baetis buceratus Eaton, 1870, B. fuscatus (Linnaeus, 1761) и Potamanthus luteus (Linnaeus, 1767), мошек Wilhelmia equina (Linnaeus, 1758) и хищных клопов Aphelocheirus aestivalis (Fabricius, 1794). На мягких грунтах преобладают двустворчатые моллюски Euglesa supina (Schmidt, 1850) и Rivicoliana rivicola (Lamarck, 1818), роющие поденки Ephemera lineata Eaton, 1870, хирономиды Cladotanytarsus gr. mancus (Walker, 1856) и Polypedilum scalaenum (Schrank, 1803). В зоне зарослей наиболее обычны гастроподы Radix auricularia (Linnaeus, 1758) и Bithynia tentaculata (Linnaeus, 1758), поденки Labiobaetis atrebatinus (Eaton, 1870), стрекозы Calopteryx splendens (Harris, 1782) и др. На участках реки ниже Орска значительную роль в донных сообществах играют в целом эвритопные вселенцы каспийского происхождения – амфиподы Dikerogammarus haemobaphes (Eichwald, 1841) и Chelicorophium curvispinum (G.O. Sars, 1895), мизиды Paramysis intermedia (Czerniavsky, 1882), двустворчатые моллюски Dreissena polymorpha (Pallas, 1771). В составе фауны отмечены редкие и исчезающие виды водных беспозвоночных, характерные для крупных водотоков [26, 29], такие как веснянки Isogenus nubecula (Newman, 1833) или Xanthoperla apicalis (Newman, 1836).
В табл. 3 приведены подсчитанные на основе исходных данных значения показателей, используемых для оценки состояния р. Урал и нескольких малых рек. Видно, что параметры довольно различны на разных станциях; например, число видов – от 1 до 49, суммарное число видов поденок, веснянок, ручейников (индекс ЕРТ) – от 0 до 17, индекс Шеннона – от 0 до 4.59. Это свидетельствует о том, что условия обитания донных беспозвоночных сильно различаются на разных речных участках.
Таблица 3. Основные показатели, используемые для оценки состояния р. Урал и нескольких малых рек; август 2022 г. (N, экз/м2 – численность организмов)
Место | Станция | N, экз/м2 | Число видов | Индекс Шеннона | Индекс Пиелу | Индекс Вудивисса | ЕРТ |
р. Урал выше г. Верхнеуральска | 1 | 50 | 38 | 4.50 | 0.86 | 13 | 7 |
Ниже сброса с ОС г. Верхнеуральска | 2 | 168 | 29 | 4.18 | 0.86 | 11 | 4 |
Выше Верхнеуральского вдхр | 3 | 168 | 48 | 4.59 | 0.82 | 15 | 17 |
Ниже Верхнеуральского вдхр | 4 | 127 | 46 | 4.10 | 0.74 | 14 | 15 |
1.5 км ниже Магнитогорского вдхр | 5 | 126 | 28 | 3.65 | 0.76 | 11 | 10 |
В пос. Янгельском | 6 | 108 | 41 | 4.51 | 0.84 | 14 | 16 |
р. Карагайлы выше Старого Сибая | 7 | 269 | 31 | 3.78 | 0.76 | 13 | 16 |
Ниже карьера г. Сибай | 8 | 5 | 1 | 0.00 | 0.00 | 1 | 0 |
Сброс с ОС г. Сибай | 9 | 185 | 17 | 2.69 | 0.66 | 8 | 1 |
р. Худолаз ниже водопада Гадельша | 10 | 59 | 35 | 4.27 | 0.83 | 13 | 14 |
Ниже карьера | 11 | 1127 | 30 | 3.64 | 0.74 | 12 | 8 |
р. Урал ниже пос. Пролетарка | 12 | 615 | 46 | 4.28 | 0.77 | 14 | 11 |
Выше Ириклинского вдхр (правый рукав) | 13 | 528 | 27 | 3.42 | 0.72 | 11 | 11 |
Ниже Ириклинского вдхр | 14 | 1672 | 8 | 0.58 | 0.19 | 8 | 1 |
Выше г. Орска | 15 | 264 | 45 | 4.56 | 0.83 | 14 | 16 |
На сбросе с очистных г. Орска | 16 | 181 | 29 | 3.94 | 0.81 | 11 | 8 |
р. Блява выше г. Медногорска | 17 | 214 | 49 | 4.00 | 0.71 | 15 | 17 |
Ниже г. Медногорска, перекат | 18 | 1703 | 13 | 0.22 | 0.06 | 8 | 2 |
Ниже г. Медногорска, плес | 19 | 26 | 4 | 1.37 | 0.69 | 2 | 0 |
р. Урал ниже г. Орска | 20 | 48 | 38 | 4.54 | 0.87 | 14 | 11 |
Выше г. Оренбурга | 21 | 330 | 33 | 3.98 | 0.79 | 12 | 14 |
Ниже ОС г. Оренбурга | 22 | 50 | 3 | 0.42 | 0.27 | 2 | 0 |
Ниже г. Оренбурга | 23 | 152 | 34 | 4.08 | 0.80 | 12 | 12 |
Наибольшие значения | 4.59 | 15 | 17 |
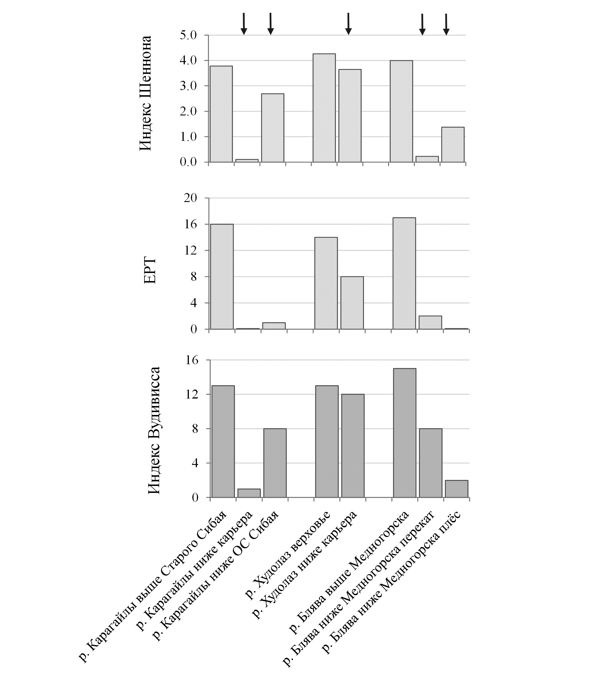
Полученные результаты отражены на диаграммах (рис. 2, 3) – отдельно для р. Урал и отдельно для малых водотоков (реки Худолаз, Карагайлы, Блява).
Рис. 2. Биологическая индикация р. Урал в августе 2022 г. (стрелками показаны места антропогенного воздействия).
Рис. 3. Биологическая индикация малых рек в августе 2022 г. (стрелками показаны места антропогенного воздействия).
Биологическая индикация р. Урал
На рис. 2 представлено последовательное изменение показателей зообентоса вниз по течению р. Урал от Верхнеуральска до Оренбурга. Стрелками показаны места наиболее значительного антропогенного воздействия. Видно, что именно в этих пунктах происходит снижение показателей. Первое заметное снижение происходит на ст. 2 – ниже очистных сооружений Верхнеуральска; но оно незначительное. Рассматриваемые биологические параметры достаточно велики: индекс Шеннона 4.18, индекс Вудивиса 11, ЕРТ 4 (встречены по 2 вида поденок и ручейников) (табл. 2, 3); т. е. существенного загрязнения здесь не наблюдается.
На вышерасположенной ст. 1 (которую исходно предполагали рассматривать в качестве “фоновой”) параметры зообентоса, в частности ЕРТ, не самые высокие. По всей вероятности, это связано с тем, что небольшой водоток с расходом воды ~1 м3/с (по данным во время обследования) испытывает воздействие небольших населенных пунктов и сельскохозяйственных угодий, расположенных выше на территории водосбора.
К ст. 3, расположенной в ~15 км ниже Верхнеуральска, происходит самоочищение реки и разбавление при существенном увеличении водности реки (по данным настоящего исследования – в 3 раза) за счет притоков. Это отражается на показателях зообентоса, которые значительно увеличиваются (рис. 2). Здесь наблюдаются наиболее высокие (из всех полученных на р. Урал) значения индексов Шеннона и Вудивиса. ЕРТ также достигает максимального значения – присутствует 10 видов поденок, 5 видов ручейников и 2 вида веснянок. Основу фауны составляют литореофильные оксифильные виды, такие как поденки Alainites muticus (Linnaeus, 1758), Baetis fuscatus, Heptagenia sulphurea (Müller, 1776), Serratella ignita (Poda, 1761), ручейники Hydropsyche contubernalis, H. pellucidula (Curtis, 1834), Psychomyia pusilla (Fabricius, 1781) и Brachycentrus subnubilus. Оба вида веснянок (Isogenus nubecula и Xanthoperla apicalis), обнаруженные на этой станции, считаются чувствительными к загрязнению и являются редкими [26].
Ниже Верхнеуральского водохранилища (на ст. 4) показатели зообентоса также достаточно велики, что свидетельствует о том, из водохранилища поступает вода высокого качества.
Следующее заметное снижение происходит на ст. 5, расположенной в 1.5 км ниже плотины Магнитогорского водохранилища. По сравнению с двумя предыдущими речными участками здесь уменьшается видовое разнообразие, ЕРТ, индекс Вудивисса. Из состава фауны выбывают многие активно плавающие личинки поденок (представители родов Baetis, Labiobaetis, Nigrobaetis, Potamanthus и др.), исчезают веснянки. Причиной этого могут быть сточные воды г. Магнитогорска, значительная часть которых поступает в приплотиную зону водохранилища и далее в реку. Косвенно это подтверждается наличием в составе фауны термофильных вселенцев, таких как Physella acuta (Draparnaud, 1805), населяющих в умеренных широтах водоемы-охладители, сточные и иные воды, испытывающие сильное термическое загрязнение [37]. Кроме того, во время обследования в водохранилище наблюдалось цветение воды сине-зелеными водорослями, которые могут выделять токсины. Поступление и накопление в донных отложениях реки большого количества органического вещества водорослей ухудшает кислородные условия донных обитателей. Бедные кислородом воды могут поступать в реку также из придонных слоев водохранилища через донный водоспуск.
На ст. 6, расположенной на 50 км ниже предыдущей точки (у пос. Янгельского), состояние донных биоценозов восстанавливается: индекс Вудивисса достигает 14, Шеннона – 4.51, число разных видов поденок составляет 9, а ручейников 7. Вновь практически в прежнем составе встречается комплекс оксифильных, активно плавающих и ползающих поденок – Baetis buceratus, B. fuscatus, Labiobaetis atrebatinus, Centroptilum luteolum (Müller, 1776) и Potamanthus luteus. В составе сообщества появляются ручейники семейства Leptoceridae (Athripsodes cinereus (Curtis, 1834) и Mystacides azureus (Linnaeus, 1761)), вновь появляются хищные литореофильные клопы Aphelocheirus aestivalis.
Перед Ириклинским водохранилищем (на ст. 13) параметры зообентоса несколько уменьшаются. Но наиболее существенное их снижение происходит ниже водохранилища на ст. 14 (рис. 2). Вода в реку здесь поступает из водохранилища с глубины ~30 м. Поэтому можно предположить, что в такой воде очень мало кислорода и возможно присутствие сероводорода. Эти факторы приводят к резкому снижению видового разнообразия, особенно представителей чистых вод. В табл. 2 видно, что зообентос здесь представлен всего восемью видами: 2 вида бокоплавов и по одному виду моллюсков, жуков, клопов, плоских и глоточных пиявок, ручейников. По показателям численности и биомассы здесь резко доминирует байкальский по происхождению бокоплав Gmelinoides fasciatus (Stebbing, 1899), ранее искусственно вселяемый в озера и водохранилища по всей территории бывшего СССР от Карелии до Средней Азии [40] в качестве объекта питания для молоди ценных видов рыб. Очевидно, этот вид находит здесь оптимальные условия для развития, демонстрируя очень большую биомассу (64 г/м2), почти в полтора раза большую, чем в озерах Карелии [4], при этом существенно теснит автохтонную фауну.
Через 60 км (на ст. 15) состояние биоценозов восстанавливается, а ниже очистных сооружений (ОС) Орска (на ст. 16) показатели снова снижаются. Однако уменьшение невелико, это связано с тем, что сточные воды ОС Орска не сразу поступают в р. Урал, а проходят чрез пруды-отстойники и затем еще ~1 км – по трубе к реке.
Оренбург – значительно более крупный город, чем Орск; от него в р. Урал поступает сточных вод 52.2 млн м3/год против 13.9 млн м3/год из Орска [11]. Поэтому влияние сточных вод на донные биоценозы здесь очень велико: число видов на ст. 22 снижается до 3, индекс Шеннона – до 0.42, Вудивисса – до 2, ЕРТ – до 0. В составе этой фауны вновь обнаруживаются термофильные вселенцы – физы Physella acuta, а также крайне устойчивые к разнообразным видам загрязнения лимнофильные личинки хирономид Chironomus pilicornis (Fabricius, 1787) и Polypedilum nubeculosum (Meigen, 1804). Влияние оказывают не только сами сточные воды, но и содержащиеся в них взвешенные частицы, которые, оседая, формируют слой иловых отложений на дне.
Вместе с тем самоочищающая способность реки достаточно велика, и уже в 40 км ниже Оренбурга на ст. 23 донные биоценозы восстанавливаются, достигая тех величин параметров, которые наблюдались выше города (рис. 2; табл. 3).
Биологическая индикация малых рек
Изучались загрязняемые малые реки Карагайлы, Худолаз (в районе г. Сибая) и Блява (в районе г. Медногорска). Здесь расположены крупнейшие предприятия цветной металлургии – медно-серные комбинаты. Пробы зообентоса отбирали выше и ниже источников загрязнения. На рис. 3 видно, что верхние участки рек по биологическим показателям можно охарактеризовать как достаточно чистые.
Так, на участке Карагайлы выше Сибая (ст. 7) индексы имеют следующие величины: видового разнообразия 3.78, Вудивисса 13, ЕРТ 16 (табл. 3). Здесь преобладают рео- и оксифильные виды, свойственные чистым и быстрым малым рекам [27]. Основу разнообразия составляют ручейники и веснянки. Из последних наиболее распространена Leuctra fusca (Linnaeus, 1758), встречаются также холодолюбивые виды Amphinemura borealis (Morton, 1894), Taeniopteryx nebulosa (Linnaeus, 1758), Arcynopteryx compacta (Mac Lachlan, 1872) и Isoperla difformis (Klapalek, 1909). Фауну ручейников также отличает наличие оксифилов, свойственных совершенно чистым водотокам, – обнаружены Sericostoma personatum (Kirby et Spence, 1826), Silo pallipes (Fabricius, 1781), Chaetopteryx villosa (Fabricius, 1798), Potamophylax latipennis (Curtis, 1834) и Rhyacophila nubila (Zetterstedt, 1840). Поденки представлены видом Baetis rhodani (Pictet, 1843), также населяющим чистые малые реки и родники [31].
В р. Карагайлы в г. Сибае на ст. 8 (рис. 4) зообентос почти исчезает, здесь найден только один вид – представитель хирономид Procladius choreus (Meigen, 1804) (табл. 2, 3). Это один из наиболее устойчивых к загрязнению видов пресноводных макробеспозвоночных, в норме населяющий бедные кислородом илы стоячих водоемов [22]. Ситуация объясняется тем, что на данном участке река проходит ~10 км вдоль отвалов горных пород крупнейшего Сибайского карьера. В реку поступают шахтные воды, а из отвалов вымываются загрязняющие вещества, в результате чего концентрации меди, марганца, цинка, кадмия могут возрастать в десятки и сотни раз [25]. По данным настоящего исследования, электропроводность воды в точке на ст. 8 повышена до 2105 мкСм/см против 236 мкСм/см на вышележащем участке. Загрязнению способствуют маловодность реки (расход <0.1 м3/с) и слабое течение (~0.04 м/с). Гравийно-галечные отложения на этом участке покрыты слоем светло-коричневого ила толщиной в несколько сантиметров. Это значительно ухудшает условия существования донных обитателей. Сходную ситуацию резкого обеднения донной фауны наблюдали в горной р. Модонкуль, протекающей в отвалах горных пород металлургического комбината г. Закаменска (Бурятия) [34].
Рис. 4. Пункты обследования (7–9) на р. Карагайлы в августе 2022 г.
На следующей точке (ст. 9) в 100 м ниже выпуска сточных вод ОС г. Сибая состояние реки, как ни парадоксально, улучшается; т. е. на предыдущем участке река была загрязнена так сильно, что приток очищенных сточных вод с ОС города способствует улучшению экологического состояния реки. Число видов увеличивается до 17, индекс Шеннона – 2.69, Вудивисса – 8, ЕРТ – 1. Это все еще достаточно загрязненный водоток: основу фауны (11 видов) составляют разнообразные виды пелофильных хирономид, не слишком чувствительных к загрязнению и выдерживающих дефицит кислорода. Здесь же вновь обнаруживаются термофильные вселенцы с воздушным дыханием – моллюски Ferrissia californica (Rowell, 1863) и Physella acuta, что говорит о тепловом загрязнении реки. Электропроводность воды здесь уменьшается в 1.7 раза по сравнению с расположенной выше точкой.
В 10 км к северо-западу от ст. 7 в отрогах хребта Ирендык – истоки р. Худолаз. Здесь на реке находится самый высокий в Башкортостане водопад Гадельша. Он подлежит охране как гидрологический памятник природы. Здесь отсутствуют заметные источники антропогенного воздействия. Дно на ст. 10 сложено валунами, глыбами, присутствуют щебень, местами – ил; скорость течения ~0.1 м/с. Показатели зообентоса достаточно высокие – суммарно обнаружено 35 видов. Вновь основу фауны составляют холодноводные литореофилы, неустойчивые к загрязнению, такие как поденки Baetis rhodani и Afghanurus joernensis Bengtsson, 1909, веснянки Leuctra fusca, Amphinemura borealis и Arcynopteryx compacta, ручейники Rhyacophila nubila, Plectrocnemia conspersa (Curtis, 1834) (встречающийся в родниках вид) [28], Silo pallipes (Fabricius, 1781) и др., хирономиды Diamesa sp. Для описанного в Норвегии Afghanurus joernensis это, вероятно, одна из самых южных находок в Европе [31].
Следующая ст. 11 на р. Худолаз расположена в Сибае после прохождения рекой ~3 км вдоль отвалов горных пород. Дно реки каменистое, скорость течения ~0.3 м/с; имеются участки замедленного течения, где на дне местами может присутствовать ил. Расход воды ~0.5 м3/с. Несмотря на близость горных разработок, состояние донных биоценозов удовлетворительное (рис. 3; табл. 3). Вновь отмечается резкое преобладание оксифильных и холодноводных видов. Обнаружены поденки, свойственные ручьям и малым рекам, – Baetis rhodani, Ephemera danica Müller, 1764, Heptagenia sulphurea (Müller, 1776) и др. По-прежнему сохраняется богатый комплекс литореофильных веснянок – выявлены Leuctra fusca, Amphinemura borealis, Taeniopteryx nebulosa, Arcynopteryx compacta и даже Isogenus nubecula. Среди ручейников преобладают оксифильные Rhyacophila nubila, Polycentropus flavomaculatus (Pictet, 1834), Chaetopteryx villosa и Silo pallipes. Этим ст. 11 сильно отличается от ст. 8 (на р. Карагайлы). На взгляд авторов статьи, причина такого отличия – не только меньшее внешнее воздействие на р. Худолаз, но и то, что на ст. 11 река более полноводна и имеет высокую скорость течения; т. е. имеются условия для разбавления загрязнений и самоочищения реки. Электропроводность на ст. 11 почти в 2 раза меньше, чем на ст. 8.
В верховьях р. Блява (ст. 17) протекает по малонаселенному району. Показатели зообентоса здесь достаточно высокие (обнаружено 49 видов), что свидетельствует о хорошем состоянии водотока (рис. 3; табл. 3). Богатый литореофильный комплекс включает в себя ряд очень чувствительных к загрязнению видов. Это поденки Baetis rhodani, Paraleptophlebia submarginata (Stephens, 1835) и достаточно редкие в Восточной Европе Ecdyonurus dispar (Curtis, 1834) [29, 31]; веснянки Leuctra fusca, Amphinemura borealis, Taeniopteryx nebulosa, Isoperla difformis; ручейники Rhyacophila nubila, Goera pilosa (Fabricius, 1775), Potamophylax latipennis.
Однако уже через 5 км – ниже Медногорского комбината – ситуация резко меняется, донные биоценозы оказываются в угнетенном состоянии (рис. 3; табл. 3). При этом расположенные друг за другом (на расстоянии 5 м) участки с быстрым (перекат) и медленным (плес) течением (ст. 18 и 19) по-разному реагируют на загрязнение. На перекате значительно больше видов (13 против 4), больше индекс Вудивиса (8 против 2), ЕРТ (2 против 0). Здесь присутствуют явно оксифильные виды (такие как Baetis fuscatus или Ecdyonurus dispar), однако встречаются они единично и, возможно, приносятся течением с верхних участков реки. По показателям численности здесь преобладают разнообразные личинки двукрылых, преимущественно хирономид и мошек. Это литореофильные группы, нуждающиеся в постоянном течении, такие как Rheocricotopus sp., Eukiefferiella gr. claripennis (Lundbeck, 1898). Очевидно, что здесь создаются более благоприятные кислородные условия и не происходит заиливание, как на плесе. Индекс Шеннона на перекате снижен из-за того, что здесь наблюдается доминирование Orthocladius sp. (относящегося к семейству Chironomidae). Он составляет 98% общей численности донных беспозвоночных на данной станции. Представители огромного и не до конца изученного транспалеарктического рода Orthocladius практически неразличимы на стадии личинок, однако известно, что почти все они – обитатели текучих вод и в значительной степени требовательны к количеству растворенного в воде кислорода [15].
Основной источник загрязнения р. Блявы в г. Медногорске – отвалы пустых пород и некондиционных руд медно-серного комбината. При прохождении через них атмосферных осадков и инфильтрации грунтовых вод образуются агрессивные высокоминерализованные поверхностные воды, содержащие тяжелые металлы (медь, железо, марганец, цинк) в концентрациях, в десятки и сотни раз превышающих ПДК [14]. Результаты наблюдений Росгидромета также дают основание считать, что Блява – одна из самых загрязненных малых рек в регионе [11].
Биотестирование [10, 12] показало, что вода Блявы ниже Медногорского медно-серного комбината обладает высокой мутагенной активностью – способна вызывать генетические изменения в живых организмах.
Комплексная оценка качества воды по биологическим показателям
Выше рассмотрены отдельные биологические показатели качества воды. Основной среди них, по мнению авторов статьи, – индекс Вудивисса, он включает в себя сразу две характеристики: видовое богатство (число видов) и индикаторные группы организмов. В то же время этот показатель не лишен недостатков. С одной стороны, в нем в упрощенной форме используется индикаторная значимость организмов, а с другой – представлено только число видов, а не видовое разнообразие, учитывающее еще и выровненность сообщества. Логическим дополнением к индексу Вудивисса могут быть индекс видового разнообразия Шеннона и показатель ЕРТ. Они позволяют уменьшить отмеченные выше недостатки индекса Вудивисса.
Поэтому предлагаем на основе этих трех индексов составить один комплексный показатель. Для этого значения параметров из табл. 3 выразим в долях (%) относительно их наибольших величин. Результаты по трем рассматриваемым параметрам представлены в табл. 4. Средние для каждой станции значения составят комплексный показатель качества воды (КПК).
Таблица 4. Основные показатели, выраженные в долях (%) от максимальных значений; р. Урал, август 2022 г.
Место | Станция | Индекс Шеннона | Индекс Вудивисса | ЕРТ | Среднее (КПК) |
р. Урал выше г. Верхнеуральска | 1 | 98 | 87 | 41 | 75 |
Ниже сброса с ОС г. Верхнеуральска | 2 | 91 | 73 | 24 | 63 |
Выше Верхнеуральского вдхр | 3 | 100 | 100 | 100 | 100 |
Ниже Верхнеуральского вдхр | 4 | 89 | 93 | 88 | 90 |
1.5 км ниже Магнитогорского вдхр | 5 | 80 | 73 | 59 | 71 |
В пос. Янгельском | 6 | 98 | 93 | 94 | 95 |
р. Карагайлы выше Старого Сибая | 7 | 93 | 87 | 82 | 87 |
Ниже карьера г. Сибая | 8 | 0 | 7 | 0 | 2 |
Сброс с ОС г. Сибая | 9 | 59 | 53 | 6 | 39 |
р. Худолаз ниже водопада Гадельша | 10 | 82 | 87 | 94 | 88 |
ниже карьера | 11 | 79 | 80 | 47 | 69 |
р. Урал ниже пос. Пролетарка | 12 | 93 | 93 | 65 | 84 |
выше Ириклинского вдхр (правый рукав) | 13 | 74 | 73 | 65 | 71 |
ниже Ириклинского вдхр | 14 | 13 | 53 | 6 | 24 |
Выше г. Орска | 15 | 99 | 93 | 94 | 95 |
На сбросе с очистных г. Орска | 16 | 86 | 73 | 47 | 69 |
р. Блява выше г. Медногорска | 17 | 87 | 100 | 100 | 96 |
Ниже г. Медногорска, перекат | 18 | 5 | 53 | 12 | 23 |
Ниже г. Медногорска, плес | 19 | 30 | 13 | 0 | 14 |
р. Урал ниже г. Орска | 20 | 99 | 93 | 65 | 86 |
Выше г. Оренбурга | 21 | 87 | 80 | 82 | 83 |
Ниже ОС г. Оренбурга | 22 | 9 | 13 | 0 | 7 |
Ниже г. Оренбурга | 23 | 89 | 80 | 71 | 80 |
На рис. 5 представлены ранжированные значения КПК. Вертикальными линиями отмечены границы классов качества воды, выделенные по аналогии с используемыми в Росгидромете [11]: 1-й класс – условно чистая, 2-й – слабо загрязненная, 3-й – загрязненная, 4-й – грязная, 5-й класс – экстремально грязная вода.
Рис. 5. Ранжирование изученных участков рек по степени загрязнения (по показателю КПК, %).
Видно, что 10 обследованных участков рек относятся к 1-му классу качества воды (условно чистые), 7 участков – ко 2-му (слабо загрязненные), 3 участка – к 4-му (грязные) и еще 3 участка – к 5-му классу (экстремально грязные). К последним относятся малые реки Карагайлы и Блява в районе медно-серных комбинатов, а также р. Урал ниже выпуска сточных вод ОС Оренбурга.
Использование метода главных компонент
Для интегральной оценки экологического состояния участков рек на основе рассмотренных выше индексов (табл. 4) использован стандартный способ – метод главных компонент [38]. Применение данного метода позволяет выделить небольшое количество независимых факторов (компонент), с помощью которых можно объяснить значительную часть вариаций исходных данных. Выделяемые таким образом факторы, как правило, хорошо увязываются с процессами, реально наблюдаемыми в природных системах. Перед проведением расчетов выполнялась нормализация данных.
Для рассматриваемого массива исходных данных первая компонента объясняет 90% дисперсии. Все три экологических индекса демонстрируют с ней отрицательную корреляцию Пирсона (рис. 6): индекс Шеннона — −0.58, индекс Вудивисса – −0.59, индекс ЕРТ – −0.57, – что позволяет охарактеризовать ее как показатель экологического неблагополучия: чем выше значения первой компоненты, тем ниже качество воды и тем выше степень ее загрязнения. Вторая по значимости компонента описывает лишь 6.5% вариации системы, поэтому ею можно пренебречь.
Рис. 6. Коэффициенты корреляции индексов качества воды с двумя главными компонентами (в скобках указаны величины наблюденной дисперсии).
В пространстве, заданном двумя главными компонентами на рис. 7, точки отбора проб группируются в два разных по размеру кластера: пять точек справа относятся к сильно загрязненным участкам рек (значения первой главной компоненты >2), тогда как остальные точки располагаются либо на чистых, либо на умеренно загрязненных участках (значения главной компоненты <0). Точка 9 занимает промежуточное положение между двумя кластерами.
Рис. 7. Положение станций отбора проб в пространстве первых двух главных компонент.
При сравнении рис. 7 и 5 можно видеть, что три крайние правые точки (8, 22, 19) на рис. 7 занимают три нижние строчки на рис. 5 – как наиболее загрязненные. Следующие три точки (19, 18, 14) на рис. 7 занимают три следующие строчки выше на рис. 5 и относятся к 4-му классу качества воды. Наоборот, точки, расположенные слева на рис. 7 (3, 17, 15), занимают верхнее положение на рис. 5 как наиболее чистые.
Таким образом, результаты оценки качества воды, полученные обоими методами (с помощью комплексного показателя КПК и методом главных компонент), дали очень близкие результаты. Коэффициент корреляции Спирмена составил 0.99 — между КПК и значением главной компоненты 1.
Выводы
В ходе исследования р. Урал летом 2022 г. выявлены отдельные речные участки, на которых донные биоценозы угнетены или подавлены. Это места ниже выпуска сточных вод ОС городов, ниже металлургических комбинатов, крупных или эвтрофируемых водохранилищ.
Особенно сильное воздействие испытывают обитатели малых водотоков; сообщества на плесах подвержены большей трансформации, чем на перекатах.
Вместе с тем р. Урал обладает высокой самоочищающей способностью, поэтому изученные участки в большинстве характеризуются как достаточно чистые, благоприятные для развития донных беспозвоночных.
About the authors
А. В. Гончаров
Московский государственный университет им. М.В. Ломоносова
Author for correspondence.
Email: mama15333@mail.ru
Russian Federation, 119992, Москва
Д. М. Палатов
Московский государственный университет им. М.В. Ломоносова; Институт проблем экологии и эволюции им А.Н. Северцова РАН
Email: mama15333@mail.ru
Russian Federation, 119992, Москва; 119071, Москва
Н. Л. Фролова
Московский государственный университет им. М.В. Ломоносова
Email: mama15333@mail.ru
Russian Federation, 119992, Москва
В. О. Полянин
Институт водных проблем РАН
Email: mama15333@mail.ru
Russian Federation, 119333, Москва
В. A. Исаев
ООО “Яндекс.Технологии”
Email: mama15333@mail.ru
Russian Federation, 119034, Москва
Э. Х. Кудяков
Московский государственный университет им. М.В. Ломоносова
Email: mama15333@mail.ru
Russian Federation, 119992, Москва
References
- Алексевнина М.С., Поздеев И.В. Санитарная гидробиология с основами водной токсикологии. Учеб. пособие. Пермь: Перм. гос. нац. исслед. ун-т, 2016. 205 с.
- Алимов А.Ф. Элементы теории функционирования водных экосистем. СПб.: Наука, 2000. 147 с.
- Баканов А.И. Использование комбинированных индексов для мониторинга пресноводных водоемов по зообентосу // Вод. ресурсы. 1999. Т. 26. № 1. С. 108–111.
- Барышев И.А., Сидорова А.И., Георгиев А.П., Калинкина Н.М. Биомасса популяции, продукция за вегетационный период и биоресурсное значение инвазивного Gmelinoides fasciatus (Crustacea: Amphipoda) в Онежском озере // Биология внутрен. вод. 2021. № 4. С.433–436. https://doi.org/10.31857/S0320965221040057
- Биоиндикация экологического состояния равнинных рек. М.: Наука, 2007. 402 с.
- Вода России. Речные бассейны. Екатеринбург: АКВА-ПРЕСС, 2000. 536 с.
- Вудивисс Ф. Биотический индекс реки Трент. Макробеспозвоночные и биологическое обследование // Научные основы контроля качества поверхностных вод по гидробиологическим показателям: Тр. совет.-англ. семинара. Л.: Гидрометеоиздат, 1977. С. 132–161.
- Гареев А.М., Фатхутдинова Р.Ш. Основные этапы изучения гидролого-экологических характеристик водотоков в бассейне реки Урал (в пределах Российской федерации) // Вод. хоз-во России. 2017. № 5. С. 4–15. https://doi.org/10.35567/1999-4508-2017-5-1
- Гидробиология реки Урал. Челябинск: Южно-Уральское кн. изд-во, 1971. 147 с.
- Жгарева Н.Н., Соловых Г.Н., Иванова И.Ю., Кольчугина Г.Ф. Некоторые гидрохимические и гидробиологические показатели антропогенного загрязнения реки Блява в районе г. Медногорска // Вестн. Оренбургского гос. ун-та. 2009. № 6. С. 124–128.
- Качество поверхностных вод Российской Федерации. Ежегодник. 2021. Ростов н/Д, 2022. 162 с.
- Кольчугина Г.Ф. Использование биотестирования в оценке потенциальной опасности генотоксичности водной среды: (на примере рек Блява и Кураганка) // Здоровье населения и среда обитания. 2013. № 6. С. 19–20.
- Крайнева Т.С., Паньков Н.Н. Фауна и сообщества донных беспозвоночных реки Урал в пределах Айтуарской степи (Оренбургский государственный степной заповедник) // Вестн. Пермского ун-та. Сер. Биология. 2021. № 4. С. 275–288. https://doi.org/10.17072/1994-9952-2021-4-275-288
- Куксанов В.Ф., Грошев И.В., Григорьева О.В. Эколого-гигиеническая характеристика воздействия тяжелых металлов на компоненты природной среды г. Медногорска // Вестн. ОГУ. 2006. № 5. С. 89–65.
- Макарченко Е.А., Макарченко М.А. Хирономиды // Определитель пресноводных беспозвоночных России и сопредельных территорий / Под ред. С.Я. Цалолихина. Т. 4. Высшие насекомые. Двукрылые. СПб.: Зоол. ин-т РАН, 1999. С. 210–295, 670–857.
- Методика изучения биогеоценозов внутренних водоемов. М., 1975. 239 с.
- Мумбаева С.С., Килякова Ю.В., Мирошникова Е.П., Аринжанов А.Е. Гидробиологическая характеристика реки Урал // Университетский комплекс как региональный центр образования, науки и культуры. Cб. материалов Всерос. науч.-методич. конф. Оренбург: ОГУ, 2022. С. 3524–3527.
- Мэгарран Э. Экологическое разнообразие и его измерение. М.: Мир, 1992. 181 с.
- Одум Ю. Экология. М., 1986. Т. 1. 328 с.
- Определитель пресноводных беспозвоночных России и сопредельных территорий / Под ред. С.Я. Цалолихина. СПб.: Наука, 1994–2004. Т. 1–6.
- Палатов Д.М., Новичкова А.А., Быков А.Д. Результаты гидробиологических исследований в среднем течении реки Оки // Тр. Окского гос. природ.биосфер. заповедника. 2019. Т. 38. С. 267–292.
- Панкратова В.Я. Личинки и куколки комаров подсемейств Pedonominae и Tanypodinae. Определитель по фауне СССР. Л.: Наука. 1977. Вып. 112. 154 с.
- Руководство по методам гидробиологического анализа поверхностных вод и донных отложений / Под ред. В.А. Абакумова. Л.: Гидрометеоиздат, 1983. 239 с.
- Семенченко В.П. Принципы и системы биоиндикации текучих вод. Минск: Орех, 2004. 125 с
- Смирнова Т.П. Роль химико-биологических факторов в формировании экологического состояния малых рек в зоне влияния горно-обогатительных комбинатов. Автореф… дис. кан. хим. наук. Казань: КНИТУ, 2009. 21 с.
- Тесленко В.А., Жильцова Л.А. Определитель веснянок (Insecta, Plecoptera) России и сопредельных стран. Имаго и личинки. Биол.-почв. ин-т ДО РАН. Владивосток: Дальнаука, 2009. 382 c.
- Чертопруд М.В. Разнообразие и классификация реофильных сообществ макробентоса средней полосы Европейской России // Журн. общей биологии. 2011. Т. 72. № 1. С. 51–73.
- Чертопруд М.В. Родниковые сообщества макробентоса Московской области // Журн. общей биологии. 2006. Т. 67. № 5. С. 376–384.
- Чертопруд М.В., Палатов Д.М. Фауна реофильных насекомых Московской области: отряды поденки (Ephemeroptera), веснянки (Plecoptera) и ручейники (Trichoptera) // Материалы V Всерос. симпоз. по амфибиотическим и водным насекомым. Ярославль, 2013. С. 236–242.
- Чибилев А.А. Бассейн Урала: история, география, экология. Екатеринбург: УрО РАН, 2008. 312 с.
- Bauernfeind E., Soldán T. The Mayflies of Europe. Ollerup: Apollo Books, 2012. 781 pp.
- Cairns J., Pratt J.R. A history of biological monitoring using benthic macroinvertebrates // Freshwater biomonitoring and benthic macroinvertebrates. NY.: Chapman Hall, 1993. P. 10–27.
- Friberg N., Bonada N., Bradley D.C., Dunbar M.J., Edwards F.K., Grey J., Hayes R.B., Hildrew A.G., Lamouroux N., Trimmer M., Woodward G. Biomonitoring of Human Impacts in Freshwater Ecosystems. The Good, the Bad and the Ugly // Advances Ecol. Res. 2011. V. 44. P. 1–68.
- Goncharov A.V., Baturina N.S., Maryinsky V.V., Chalov S.R. Ecological assessment of the Selenga River basin, the main tributary of Lake Baikal, using aquatic macroinvertebrate communities as bioindicators // J. Great Lakes Res. 2020. V. 46. № 1. P. 53–61. https://doi.org/10.1016/j.jglr.2019.11.005
- Kaufmann P.R., Hughe R.M., Paulse S.G., Peck D.V., Seeliger C.W., Weber M., Mitchell R.M. Physical habitat in the conterminous US streams and rivers, part 2: a quantitative assessment of habitat condition // Ecol. Indicat. 2022. https://doi.org/10.1016/j.ecolind.2022.109047
- Mason C.F. Biology of Freshwater Pollution. 4th ed. N.Y.: Prentice Hall, 2002. 400 p.
- Nekhaev I.O., Palatov D.M. From the Black sea to the White sea: the first record of the invasive mollusk Physella acuta in the extreme north of Europe // Russian J. Biol. Invasions. 2016. V. 7. № 4. P. 351–354. https://doi.org/10.1134/S2075111716040056
- Pearson K. On lines and planes of closest fit to systems of points in space // Philosophical Magazine. 1901. V. 2. P. 559–572.
- Pedregosa F., Varoquaux G., Gramfort A., Michel V., Thirion B., Grisel O. et al. Scikit-Learn: Machine Learning in Python // J. Machine Learning Res. 2011. V. 12. P. 2825–2830.
- Sidorov D.A., Gontcharov A.A., Palatov D.M. Unexpected finding of the invasive baikalian amphipod Gmelinoides fasciatus in a cold spring of the Southern Pamir mountains // Knowledge and Management of Aquatic Ecosystems. 2013. V. 411. № 12. P. 1–8.
- Woodiwiss F.S. Comparative study of biological-ecological water quality assessment methods // Summary Report. Commission of the European Communities. Severn Trent Water Authority. UK, Nottingham, 1978. 45 p.
- Woodiwiss F.S. The biological system of stream classification used by the Trent River Board // Chem. Industry. 1964.V. 11. P. 443.
Supplementary files









