Модель стока FCM для малых рек с дождевым питанием 2. Параметризация и верификация
- Авторы: Гарцман Б.И.1,2, Губарева Т.С.3,4, Шамов В.В.4,5, Лупаков С.Ю.2
-
Учреждения:
- Институт водных проблем, Российская академия наук
- Тихоокеанский институт географии, Дальневосточное отделение, Российская Академия наук
- Институт водных проблем РАН
- Тихоокеанский институт географии ДВО РАН
- Институт мерзлотоведения им. П.И. Мельникова СО РАН
- Выпуск: Том 50, № 4 (2023)
- Страницы: 407-422
- Раздел: МАТЕМАТИЧЕСКИЕ МОДЕЛИ В РЕШЕНИИ ЗАДАЧ ГИДРОЛОГИИ СУШИ
- URL: https://journals.rcsi.science/0321-0596/article/view/134868
- DOI: https://doi.org/10.31857/S0321059623040090
- EDN: https://elibrary.ru/QKPSUG
- ID: 134868
Цитировать
Полный текст
Аннотация
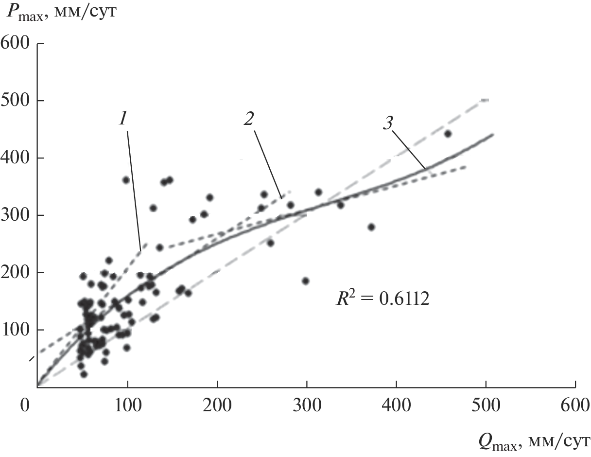
Проведены анализ специфики параметризации и верификации модели FCM, систематизация ранее опубликованных данных, а также оригинальных результатов авторских натурных наблюдений. Описаны алгоритмы параметризации и результаты тестирования модели, которое проводилось в разных регионах с преобладанием дождевых паводков в режиме рек. Обсуждены основания и эмпирические подтверждения некоторых основных гипотез FCM, рассмотрен так называемый эффект бассейнового контррегулирования. Это наиболее яркое проявление сильной нелинейности экстремального стокоформирования представляет собой хотя и редкий, но принципиально важный феномен при формировании экстраординарных дождевых паводков.
Об авторах
Б. И. Гарцман
Институт водных проблем, Российская академия наук; Тихоокеанский институт географии, Дальневосточное отделение, Российская Академия наук
Email: gartsman@inbox.ru
Россия, Москва; Россия, Владивосток
Т. С. Губарева
Институт водных проблем РАН; Тихоокеанский институт географии ДВО РАН
Email: tgubareva@bk.ru
Россия, 119333, Москва; Россия, 690041, Владивосток
В. В. Шамов
Тихоокеанский институт географии ДВО РАН; Институт мерзлотоведения им. П.И. Мельникова СО РАН
Email: vlshamov@yandex.ru
Россия, 690041, Владивосток; Россия, 677010, Якутск
С. Ю. Лупаков
Тихоокеанский институт географии, Дальневосточное отделение, Российская Академия наук
Автор, ответственный за переписку.
Email: gartsman@inbox.ru
Россия, Владивосток
Список литературы
- Василенко Н.Г. Гидрология рек зоны БАМ: экспедиционные исследования. СПб.: Нестор-История, 2013. 672 с.
- Васильева Е.С., Белякова П.А., Алексюк А.И., Селезнева Н.В., Беликов В.В. Моделирование быстроразвивающихся паводков на малых реках Северного Кавказа с использованием современных данных автоматизированной гидрометеорологической сети // Вод. ресурсы. 2021. Т. 48. № 2. С. 135–146.
- Гарцман Б.И. Дождевые наводнения на реках юга Дальнего Востока: методы расчетов, прогнозов, оценок риска. Владивосток: Дальнаука, 2008. 223 с.
- Гарцман Б.И. Модель стока FCM для малых рек с дождевым питанием 1. Концепция и алгоритмы // Вод. ресурсы. 2023. Т. 50. № 4. С. 395–406.
- Гарцман Б.И., Губарева Т.С., Лупаков С.Ю. и др. Формы линейной организации склонового стока в среднегорье (на примере Сихотэ-Алиня) // Вод. ресурсы. 2020. Т. 47. № 2. С. 123–132.
- Гарцман Б.И., Губарева Т.С., Шамов В.В. Речные системы Дальнего Востока России: четверть века исследований. Владивосток: Дальнаука, 2015. 492 с.
- Ли К.Т., Чен Н.К., Гарцман Б.И., Бугаец А.Н. Современная версия модели единичного гидрографа и ее применение в Тайване и России // География и природ. ресурсы. 2009. № 1. С. 144–151.
- Михайлов В.М. Пойменные талики Северо-Востока России. Новосибирск: Гео, 2013. 244 с.
- Найденов В.И. Нелинейная динамика поверхностных вод суши. М.: Наука, 2004. 318 с.
- Шамов В.В., Шекман Е.А., Губарева Т.С. и др. Характеристики и условия формирования предпочтительных водопроводящих путей на склонах долин малых горных рек // Гидросфера. Опасные процессы и явления. 2021. Т. 3. № 3. С. 275–296.
- Belyakova P.A., Gartsman B.I. Possibilities of flood forecasting in the West Caucasian rivers based on FCM model // Water Resour. 2018. T. 45. № S1. C. S50–S58.
- Beven K.J. Rainfall-runoff Modelling: The Primer. Chichester: Wiley&Sons, 2001. 488 p.
- Bloeschl G. 133 Rainfall-runoff Modelling of Ungauged Catchments // Encyclopedia of Hydrol. Sci. / Eds M.G. Anderson, J.J. McDonnell. New York: John Wiley, 2005. P. 2061–2080. https://doi.org/10.1002/0470848944.hsa140
- Gartsman B.I., Lupakov S.Yu. Changes in the maximum runoff regime in the Ussuri River Basin: the methodological aspects of forecasting based on dynamic-stochastic simulation // Water Resour. 2018. T. 45. № 1. P. 79–89.
- Gonchukov L.V., Bugaets A.N., Gartsman B.I., Lee K.T. Weather radar data for hydrological modelling: an application for south of Primorye region, Russia // Water Resour. 2019. T. 46. № 2. P. 25–30.
- Mathematical models of small watershed hydrology // Eds V.P. Singh, D.K. Frevert. Highlands Ranch: Water Resour. Publ., 2001. 972 p.
- Tromp-van Meerveld H.J., McDonnell J.J. Threshold relations in subsurface stormflow: 1. A 147-storm analysis of the Panola hillslope // Water Resour. Res. 2006. V. 42. W02410. https://doi.org/10.1029/2004WR003778
- van Meerveld H.J.I., Kirchner J.W., Vis M.J.P., Assendelft R.S., Seibert J. Expansion and contraction of the flowing stream network alter hillslope flowpath lengths and the shape of the travel time distribution // Hydrol. Earth Syst. Sci. 2019. V. 23. P. 4825–4834. https://doi.org/10.5194/hess-23-4825-2019
- Wagener T., Wheater H.S., Gupta H.V. Ranfall-runoff Modelling in gauged and ungauged catchments. London: Imperial College Press, 2004. 332 p.
Дополнительные файлы














