Numerical 2D-Modeling of Rain Runoff Transformation in the Drainage Basin of Gelendzhik City Taking into Account the Mountain Collector and Accumulating Reservoirs
- Authors: Belikov V.V.1, Borisova N.M.2
-
Affiliations:
- Water Problems Institute of RAS
- Water Problems Institute, Russian Academy of Sciences (WPI RAS), 119333, Moscow, Russia
- Issue: Vol 50, No 4 (2023)
- Pages: 385-394
- Section: МАТЕМАТИЧЕСКИЕ МОДЕЛИ В РЕШЕНИИ ЗАДАЧ ГИДРОЛОГИИ СУШИ
- URL: https://journals.rcsi.science/0321-0596/article/view/134866
- DOI: https://doi.org/10.31857/S0321059623040041
- EDN: https://elibrary.ru/QKDDZL
- ID: 134866
Cite item
Full Text
Abstract
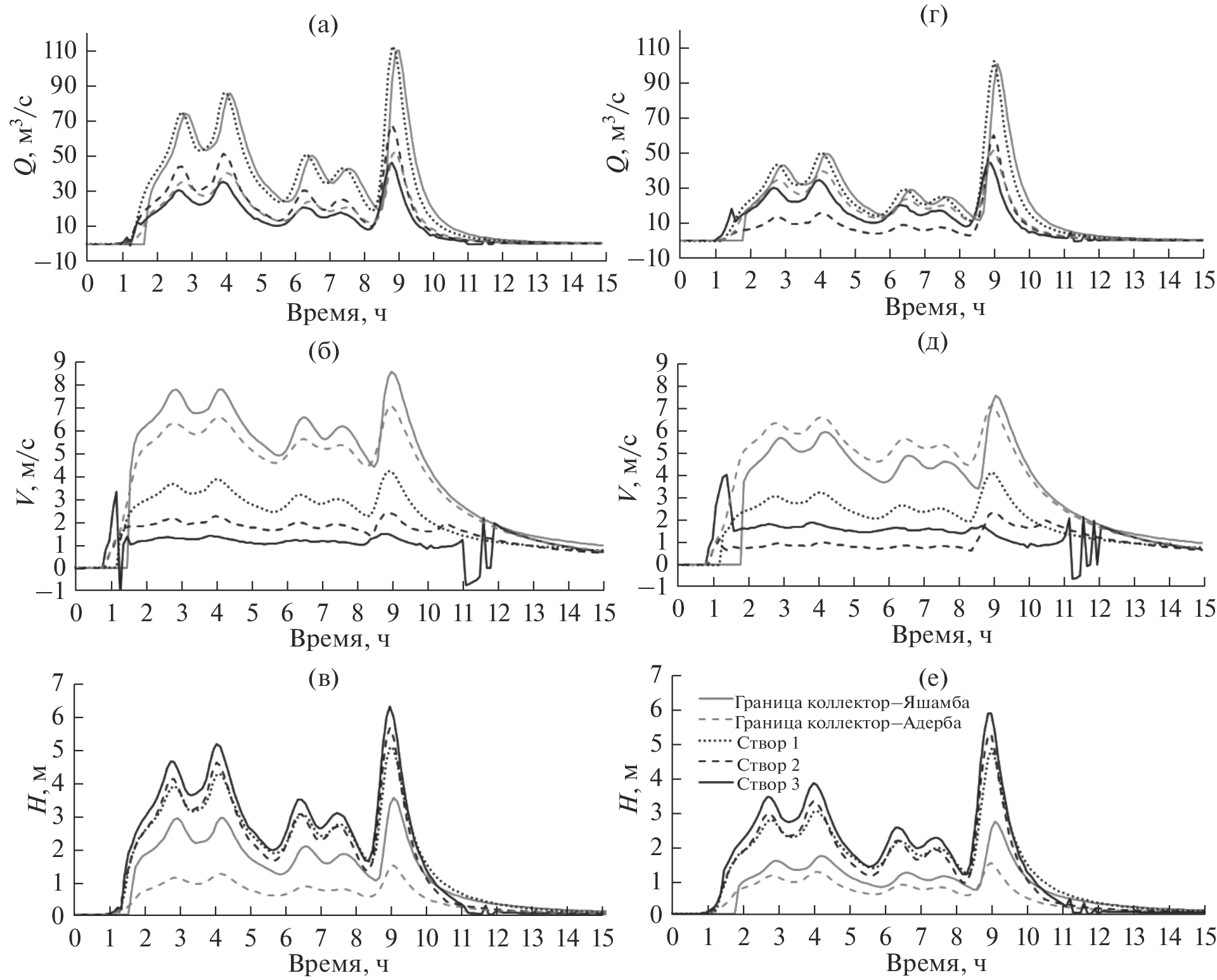
A digital relief model of a mountain cluster and location schemes of mountain collectors and reservoir dams were used to develop a numerical hydrodynamic 2D-model of the mountain part of the drainage basin of Gelendzhik City area and to perform variant calculations of rain flood waves, taking into account their transformations in mountain collectors and accumulation in reservoirs. The rains considered in the model were assumed to have the exceedance probability of 1% and the duration of 20 and 720 min (12 h) with a total rainfall depths of 51 and 206 mm, respectively. Conclusions were made that the carrying capacity of the collector should be calculated for the parameters of a short-time intense rain and that the accumulating hydraulic structures, for their efficient operation, should be designed to allow continuous regulation of discharge rates.
About the authors
V. V. Belikov
Water Problems Institute of RAS
Email: belvv@bk.ru
Moscow, 119333 Russia
N. M. Borisova
Water Problems Institute, Russian Academy of Sciences (WPI RAS), 119333, Moscow, Russia
Author for correspondence.
Email: borisovanm@mail.ru
Россия, 119333, Москва
References
- Алексюк А.И., Беликов В.В. Программный комплекс STREAM 2D CUDA для расчета течений, деформаций дна и переноса загрязнений в открытых потоках с использованием технологий Compute Unified Device Architecture (на графических процессорах NVIDIA). Свидетельство о гос. рег. программ для ЭВМ № 2 017 660 266 от 20.09.2017.
- Беликов В.В., Алексюк А.И. Модели мелкой воды в задачах речной гидродинамики. М.: РАН, 2020. 346 с.
- Курганов А.М. Таблицы параметров предельной интенсивности дождя для определения расходов в системах водоотведения. Справочное пособие. М.: Стройиздат, 1984. 111 с.
- Определение расчетных характеристик максимального за год слоя осадков различной продолжительности для г. Геленджик и г. Севастополь по данным наблюдений и моделирования. М.: Гидрометцентр России, 2022. Версия 30.03.2022. 63 с.
- СП 32.13330.2018 Канализация. Наружные сети и сооружения. Актуализированная редакция СНиП 2.04.03-85 (с Изменениями № 1, 2).
- Срибный М.Ф. Нормы сопротивления движению естественных водотоков и расчет отверстий больших мостов по способу бытовых морфологических характеристик. М.; Л.: Гострансиздат, 1932. 148 с.
- Штеренлихт Д.В. Гидравлика. М.: КолосС, 2004. 655 с.
- Aleksyuk A.I., Belikov V.V. Simulation of shallow water flows with shoaling areas and bottom discontinuities // Comput. Math. Math. Phys. 2017. V. 57. № 2. P. 318–339. https://doi.org/10.1134/S0965542517020026
- Aleksyuk A.I., Belikov V.V. The uniqueness of the exact solution of the Riemann problem for the shallow water equations with discontinuous bottom // J. Computational Physics. 2019. V. 390. P. 232–248. https://doi.org/10.1016/j.jcp.2019.04.001
- Aleksyuk A.I., Malakhov M.A., Belikov V.V. The exact Riemann solver for the shallow water equations with a discontinuous bottom // J. Computational Physics. 2022. V. 450. № 110801. https://doi.org/10.1016/j.jcp.2021.110801
- Vasilieva E., Belikov V. Numerical Modeling of a Hydrodynamic Accident at an Earth-and-Rockfill Dam on the Dyurso River // Power Technol. Engineering. 2020. V. 54. P. 326–331. https://doi.org/10.1007/s10749-020-01210-1
- Vasil’eva E.S., Belyakova P.A., Aleksyuk A.I., Selezneva N.V., Belikov V.V. Simulating Flash Floods in Small Rivers of the Northern Caucasus with the Use of Data of Automated Hydrometeorological Network // Water Resour. 2021. V. 48. P. 182–193. https://doi.org/10.1134/S0097807821020160
Supplementary files










