Current Hydrological Regime of the Volga Reservoirs
- Authors: Poddubnyi S.A.1, Zakonnova A.V.1, Tsvetkov A.I.1, Trofinmenko L.T.2, Shvets’ N.V.2
-
Affiliations:
- Papanin Institute of Inland Water Biology, Russian Academy of Sciences, 152742, Borok Settl., Yaroslavl oblast, Russia
- Russian Institute of Hydrometeorological Information–World Data Center, 249035, Obninsk, Russia
- Issue: Vol 50, No 3 (2023)
- Pages: 249-262
- Section: ВОДНЫЕ РЕСУРСЫ И РЕЖИМ ВОДНЫХ ОБЪЕКТОВ
- URL: https://journals.rcsi.science/0321-0596/article/view/134855
- DOI: https://doi.org/10.31857/S0321059623030100
- EDN: https://elibrary.ru/DCFTDU
- ID: 134855
Cite item
Full Text
Abstract
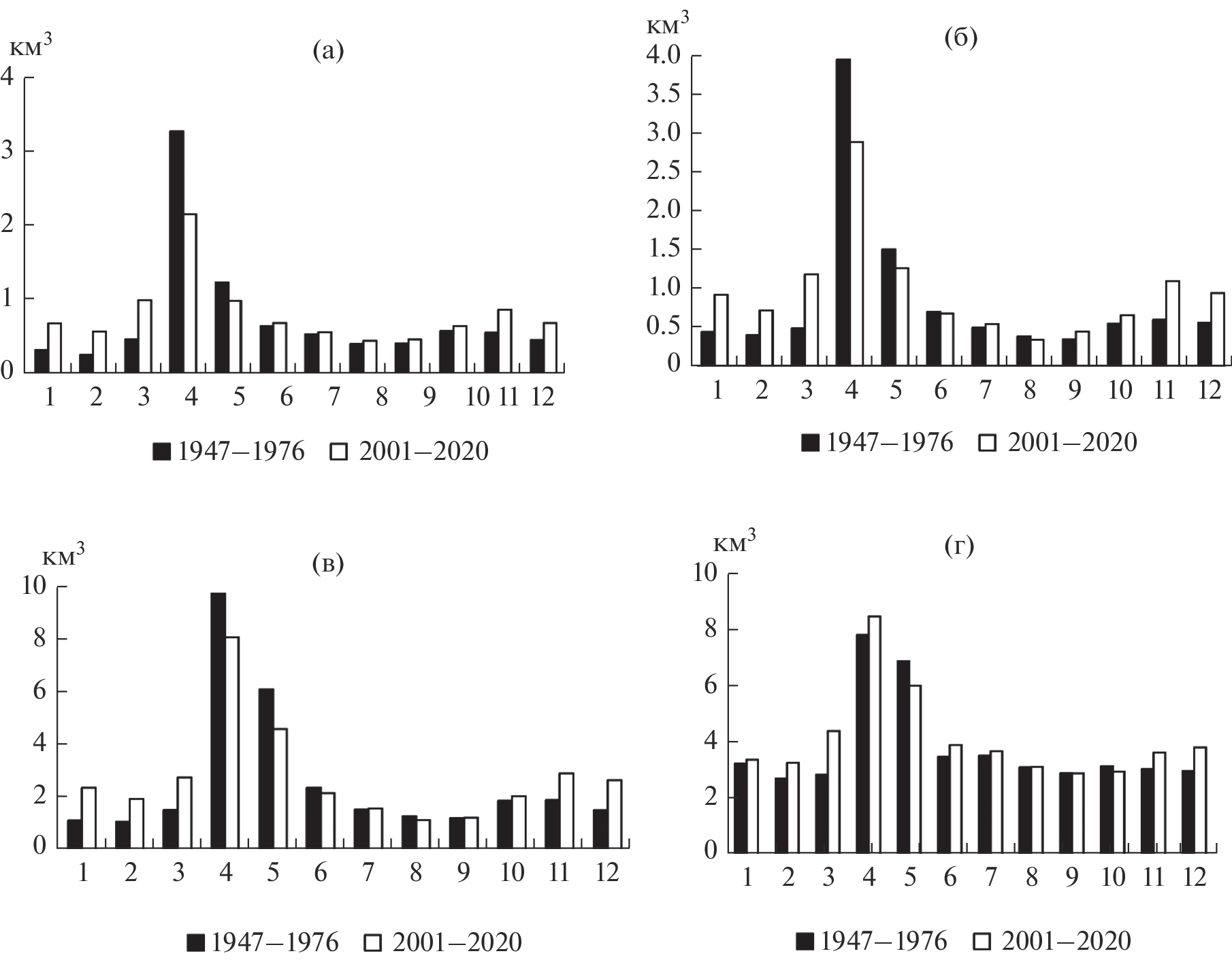
The study is focused on variations of air temperature in the basin of the Volga reservoirs, the total inflow into the water bodies, their water exchange, water level and temperature, and the heat content of water mass in open-water period under various climate conditions. The object of the analysis is the long-term series of hydrometeorological data processed by statistical methods. It is shown that the present-day air temperature has increased by 1.3‒1.8°C compared with the period before 1976. The rate of warming was on the average 0.50°C/10 years. The volume of annual inflow increased by 12.4%. Three low-water and 4 high-water phases were identified in the reservoirs of the Upper Volga, including 29–31 low-water, 25–31 high-water, and 8–16 medium-water years. During the low-water phases, the volume of inflow into the reservoirs is 10–28% less than the long-term average, while in high-water years, it is 4–20% higher. The coefficient of water exchange in the reservoirs decreased or increased by 5–13% relative to the values obtained earlier. An increase in the winter and a decrease in the spring inflow were recorded in the reservoirs of the Upper Volga and in the Kuibyshev Reservoir. A tendency toward an increase in the normal annual water level was observed in the reservoirs in the upper part of the Volga and in the Kuibyshev Reservoir, while in the lower Volga, the normal annual level somewhat decreased. In low-water phases, the reservoir levels were on the average 17 cm below and in the high-water phases, 10 cm above the normal annual value. An increase in air temperature during the warm season in the reservoir water areas, on the average by 1.2°C, led to a synchronous increase in the temperature of the water mass by 1.1°C. At the same time, the heat content of the water mass of the reservoirs increased, on the average, by 24% in the upper part of the Volga and by as little as 2–11% in its lower part
About the authors
S. A. Poddubnyi
Papanin Institute of Inland Water Biology, Russian Academy of Sciences, 152742, Borok Settl., Yaroslavl oblast, Russia
Email: spod@ibiw.ru
Россия, 152742, Ярославская обл., пос. Борок
A. V. Zakonnova
Papanin Institute of Inland Water Biology, Russian Academy of Sciences, 152742, Borok Settl., Yaroslavl oblast, Russia
Email: spod@ibiw.ru
Россия, 152742, Ярославская обл., пос. Борок
A. I. Tsvetkov
Papanin Institute of Inland Water Biology, Russian Academy of Sciences, 152742, Borok Settl., Yaroslavl oblast, Russia
Email: spod@ibiw.ru
Россия, 152742, Ярославская обл., пос. Борок
L. T. Trofinmenko
Russian Institute of Hydrometeorological Information–World Data Center, 249035, Obninsk, Russia
Email: spod@ibiw.ru
Россия, 249035, Обнинск
N. V. Shvets’
Russian Institute of Hydrometeorological Information–World Data Center, 249035, Obninsk, Russia
Author for correspondence.
Email: spod@ibiw.ru
Россия, 249035, Обнинск
References
- Второй оценочный доклад Росгидромета об изменениях климата и их последствиях на территории Российской Федерации: общее резюме. М.: Росгидромет, 2014. 60 с.
- Георгиади А.Г., Милюкова И.П., Кашутина Е.А. Гидрологические изменения в регионах русской равнины в теплые эпохи геологического прошлого и сценарного будущего // Изв. РАН. Сер. географ. 2018. № 5. С. 70–80. https://doi.org/10.1134/S2587556618050060
- Гидроэкологический режим водохранилищ Подмосковья (наблюдения, диагноз, прогноз) / Отв. редактор К.К. Эдельштейн. М.: Перо, 2015. 286 с.
- Глобальный климат в 2001–2010 годы. Десятилетие экстремальных климатических явлений // Изменение климата. Информ. бюл. 2014. № 47. С. 9–10.
- Горбаренко А.В., Варенцова Н.А., Киреева М.Б. Трансформация стока весеннего половодья и паводков в бассейне Верхней Волги под влиянием климатических изменений // Вод. хоз-во России: проблемы, технологии, управление. 2021. № 4. С. 6–28. https://doi.org/10.35567/1999-4508-2021-4-1
- Гречушникова М.Г. Результаты численного моделирования изменения режима Можайского и Истринского водохранилищ при реализации сценария А2 глобального потепления // Метеорология и гидрология. 2014. № 3. С. 86−97.
- Гречушникова М.Г., Эдельштейн К.К. Возможные изменения гидрологического режима Рыбинского водохранилища при потеплении климата // Вестн. Моск. ун-та. Сер. 5, География. 2012. № 6. С. 61‒67.
- Доклад об особенностях климата на территории Российской Федерации за 2020 год. М.: Росгидромет, 2021. 104 с.
- Евстигнеев В.М., Кислов А.В., Сидорова М.В. Влияние климатических изменений на годовой сток рек Восточно-Европейской равнины в XXI в. // Вестн. Моск. ун-та. Сер. 5, География. 2010. № 2. С. 3–10.
- Законнова А.В. Климатические изменения термического режима Рыбинского водохранилища // Тр. Института биологии внутренних вод РАН. 2021. Вып. 94 (97). С. 7–16. https://doi.org/10.47021/0320-3557-2021-94-7-16
- Кашутина Е.А., Ясинский С.В., Коронкевич Н.И. Весенний поверхностный склоновый сток на Русской равнине в годы различной водности // Изв. РАН. Сер. геогр. 2020. № 1. С. 37–46. https://doi.org/10.31857/S2587556620010100
- Кузин П.С. Циклические колебания стока рек северного полушария. Л.: Гидрометеоиздат, 1970. 180 с.
- Литвинов А.С. Гидрологические процессы и экологические условия в водохранилищах. Mauritius: LAP, 2018. 113 с.
- Литвинов А.С., Рощупко В.Ф. Термическая характеристика водохранилищ Волжского каскада // Формирование и динамика полей гидрологических и гидрохимических характеристик во внутренних водоемах и их моделирование. СПб.: Гидрометеоиздат, 1993. С. 3‒24.
- Научно-прикладной справочник: Многолетние характеристики притока воды в крупнейшие водохранилища РФ / Под ред. В.Ю. Георгиевского. М.: Офорт, 2017. 132 с.
- Научно-прикладной справочник: Многолетние колебания и изменчивость водных ресурсов и основных характеристик стока рек Российской Федерации. СПб.: РИАЛ, 2021. 190 с.
- Нестеров Е.С. Североатлантическое колебание: атмосфера и океан. М.: Триада, ЛДТ, 2013. 144 с.
- Панин Г.Н., Выручалкина Т.Ю., Гречушникова М.Г., Соломонова И.В. Особенности гидрологического режима Цимлянского водохранилища при климатических изменениях в бассейне Дона // Вод. ресурсы. 2016. Т. 43. № 2. С. 111–121. https://doi.org/10.7868/S0321059616020127
- Попова В.В., Георгиади А.Г. Спектральные оценки связи изменчивости стока волги и североатлантического колебания в 1882–2007 гг. // Изв. РАН. Сер. геогр. 2017. № 2. С. 47–59. https://doi.org/10.15356/0373-2444-2017-2-47-59
- Попова В.В., Бабина Е.Д., Георгиади А.Г. Климатические факторы изменчивости стока Волги во второй половине XX – начале XXI вв // Изв. РАН. Сер. геогр. 2019. № 4. С. 63–72. https://doi.org/10.31857/S2587-55662019463-72
- Центр регистра и кадастра. Информационная система по водным ресурсам и водному хозяйству бассейнов рек России. 2014. http://gis.vodinfo.ru/ (дата обращения: 13.01.2022)
- Шашуловский В.А., Мосияш С.С. Формирование биологических ресурсов Волгоградского водохранилища в ходе сукцессии его экосистемы. М.: Товарищество науч. изд. КМК, 2010. 250 с.
- Эдельштейн К.К. Водохранилища России: экологические проблемы, пути их решения. М.: ГЕОС, 1998. 277 с.
- Эдельштейн К.К. Гидрология озер и водохранилищ. Учебник для вузов. М.: Перо, 2014. 399 с.
- Экологические проблемы Верхней Волги / Отв. ред. А.И. Копылов. Ярославль: Изд-во ЯГТУ, 2001. 427 с.
- Adrian R., O’Reilly C.M., Zagarese H., Baines S.B., Hessen D.O., Keller W., Livingstone D.M., Sommaruga R., Straile D., Van Donk E., Weyhenmeyer G.A., Winder M. Lakes as sentinels of climate change // Limnol. Oceanogr. 2009. 54. 6. Pt 2. P. 2283–2297.
- Carvalho-Santos C., Monteiro A.T., Azevedo J.C., Honrado J.P., Nunes J.P. Climate Change Impacts on Water Resources and Reservoir Management: Uncertainty and Adaptation for a Mountain Catchment in Northeast Portugal // Water Resour. Manage. 2017. V. 31. P. 3355–3370.
- Fang X., Stefan H.G. Simulations of climate effects on water temperature, dissolved oxygen, and ice and snow covers in lakes of the contiguous United States under past and future climate scenarios // Limnol. Oceanogr. 2009. V. 54. 6. Pt 2. P. 2359–2370.
- Firoozi F., Roozbahani A., MassahBavani A.R. Developing a framework for assessment of climate change impacton thermal stratification of dam reservoirs // Int. J. Environ. Sci. Technol. 2020. V. 17. P. 2295–2310.
- Kryzhov V.N. Climate extremes of the 2019/2020 winter in Northern Eurasia: contributions by the climate trend and interannual variability related to the arctic oscillation // Russian Meteorol. Hydrol. 2021. T. 46. № 2. P. 61‒68.
- Kryzhov V.N., Gorelits O.V. The arctic oscillation and its impact on temperature and precipitation in Northern Eurasia in the 20th century // Russian Meteorol. Hydrol. 2015. T. 40. № 11. P. 711‒721.
- Rimmer A., Gal G., Opher T., Lechinsky Y., Yacobi Y.Z. Mechanisms of long-term variations in the thermal structure of a warm lake // Limnol. Oceanogr. 2011. V. 56. 3. P. 974–988.
- Williamson C.E, Saros J.E, Vincent W.F., Smol J.P. Lakes and reservoirs as sentinels, integrators, and regulators of climate change // Limnol. Oceanogr. 2009. V. 54. 6. Pt 2. P. 2273–2282.
- Williamson C.E., Brentrup J.A., Zhang J., Renwick W.H., Hargreaves B.R., Knoll L.B., Overholt E.P., Rose K.C. Lakes as sensors in the landscape: Optical metrics as scalable sentinel responses toclimate change // Limnol. Oceanogr. 2014. V. 59. 3. P. 840–850.
- Zhang Y., Wu Z., Liu M., He J., Shi K., Wang M., Yu Z. Thermal structure and response to long-term climatic changes in Lake Qiandaohu, a deep subtropical reservoir in China // Limnol. Oceanogr. 2014. V. 59. 4. P. 1193–1202.
Supplementary files







