Биологические параметры осетровых рыб р. Урала на территории Республики Казахстан по данным незаконного, несообщаемого и нерегулируемого вылова
- Авторы: Микодина Е.В.1,2, Рубан Г.И.3, Шалгимбаева Г.М.4
-
Учреждения:
- Московский Государственный университет технологий и управления им. К.Г. Разумовского (Первый казачий университет)
- Университет МГУ-ППИ
- Институт проблем экологии и эволюции им. А.Н. Северцова Российской академии наук
- Научно-производственный центр рыбного хозяйства
- Выпуск: Том 17, № 4 (2024)
- Страницы: 633-639
- Раздел: ИХТИОЛОГИЯ
- URL: https://journals.rcsi.science/0320-9652/article/view/269876
- DOI: https://doi.org/10.31857/S0320965224040116
- EDN: https://elibrary.ru/YJEBKO
- ID: 269876
Цитировать
Полный текст
Аннотация
В работе проанализирована динамика встречаемости четырех видов рыб семейства осетровых (Acipenseridae): русского осетра Acipenser gueldenstaedtii, стерляди A. ruthenus, севрюги A. stellatus, белуги Huso huso в браконьерских уловах из р. Урал (Жайык) в границах Республики Казахстан. Приведены данные о величине изъятого контрафакта (ННН – незаконный, несообщаемый и нерегулируемый вылов) в период 2012–2018 гг., демонстрирующие флуктуацию объемов ННН-вылова осетровых в данной реке, а также доминирование самцов их популяциях. Оценены биологические показатели рыб, изымаемых ННН-выловом, – соотношение полов, возраст, масса и длина тела.
Ключевые слова
Полный текст
ВВЕДЕНИЕ1
В связи с мораторием на вылов осетровых рыб в пресных водах Волжско-Каспийского (с 2005 г.) и Урало-Каспийского (с 2010 г.) бассейнов, а также в международных морских водах (с 2016 г.) Каспийского моря (Исбеков и др., 2018) основным источником сведений по их биологии в последующие годы, как правило, были данные мониторинга, полученные в рамках научного лова (Металлов и др., 2016). К сожалению, существует и ННН-вылов (ННН – незаконный, несообщаемый и нерегулируемый) осетровых, который известен в р. Урал вблизи с. Каракия, городов Мангистау, Актау, Атырау и других местах, выше г. Атырау осетровые рыбы не встречаются (Pueppke et al., 2003). В р. Урал незаконный вылов осетровых столь велик, что его объем близок к величине разрешенного изъятия (Рубан и др., 2015). При наличии данных о ННН-вылове осетровых некоторая часть конфиската незаконно выловленных осетровых рыб из р. Урал (казахское Жайык) может быть использована как дополнительный источник неучтенных мониторингом сведений по биологическим параметрам обитающих в ней осетровых рыб.
Цель настоящей работы – дать анализ видового состава ННН-вылова осетровых в р. Урал и ряда биологических параметров русского осетра из этих уловов.
МАТЕРИАЛ И МЕТОДЫ ИССЛЕДОВАНИЯ
Исследованный материал – конфискат ННН-вылова, полученный в 2015–2018 гг. Он представлен четырьмя видами осетровых рыб: белугой Acipenser (Huso) huso (L., 1758), русским осетром Acipenser gueldenstaedtii Brandt et Ratzeburg, 1833, севрюгой A. stellatus Pallas, 1771, стерлядью A. ruthenus L., 1758, изъятых на местах отлова в нижнем течении р. Урал (Жайык) ставными жаберными сетями c ячеей 100 мм в течение конца апреля–начале июня.
Проведен биологический анализ нежизнеспособных (снулых) рыб (табл. 1) с определением пола, соотношения полов, массы, длины и возраста. Рыб взвешивали безменом с точностью до 0.1 кг, длину TL измеряли с помощью мерной доски с точностью до 1 см. Пол устанавливали при вскрытии. Возраст определяли по спилам маргинальных лучей грудного плавника. Статистическую обработку материалов проводили с помощью программ Statistica v. 10 и Excel в составе пакета Microsoft Office 16.
Таблица 1. Исследованный материал из р. Урала
Вид | Годы вылова | n |
Севрюга | 2015–2018 | 57 |
Русский осетр | 2012–2019 | 89 |
Белуга | 2012–2018 | 20 |
Стерлядь | 2017 | 4 |
Всего | 170 | |
Примечание. n – число рыб, экз.
Официальные данные по общему допустимому улову и промысловому освоению лимитов вылова осетровых рыб в Урало-Каспийском бассейне за период 2012–2017 гг. предоставлены Жайык-Каспийской межобластной бассейновой инспекцией рыбного хозяйства, а также взяты из отчетов ТОО “Казахстанское агентство прикладной экологии” за 2012–2017 гг. (Отчет ТОО “Казахстанское …”, 2013, 2014, 2015).
РЕЗУЛЬТАТЫ И ИХ ОБСУЖДЕНИЕ
Известно, что в пресных, солоновато-водных и морских водоемах Казахстана обитают шесть видов осетровых рыб из сем. Acipenseridae: белуга, русский осетр, персидский осетр A. persicus Borodin 1896, севрюга, шип A. nudiventris Lovetsky 1828, стерлядь (Рыбы…, 1986), занесенных в Красную книгу Международного союза охраны природы (МСОП) (IUCN Red List of Threatened Species) и Республики Казахстан (Ќазаќстан Республикасыныњ…, 2010) находящиеся, как и другие виды осетровых (Микодина, Рубан, 2022), под угрозой исчезновения. Все они обитают в предустьевом пространстве и нижнем течении р. Урал, которая для осетровых в этой стране служит репродуктивным водотоком (Судакова и др., 2018; Assylbekova et al., 2022; Shalgimbaeva et al., 2022).
Наблюдения показывают, что численность осетровых не только катастрофически низкая, но и флуктуирует. Так, в научно-исследовательских уловах продолжают уменьшаться уловы севрюги, что свидетельствует о продолжающейся деградации популяции этого вида (Сафаралиев и др., 2019). В то же время, в ННН-уловах увеличивается численность русского осетра. Персидский осетр и шип редки, в 2010 г. впервые за ряд лет в научно-исследовательских уловах отмечена белуга (Pueppke et al., 2023). Среди выловленных в районе исследования рыб молоди осетровых не обнаружено, по-видимому, скатившись в море, она еще не достигла размеров, при которых могла попасть в использованные орудия лова. В целом состояние популяций осетровых рыб Казахстана считают не только неудовлетворительным, но даже катастрофическим, о чем свидетельствуют малые объемы общих допустимых уловов и еще более низкие величины вылова (табл. 2).2
Таблица 2. ОДУ и вылов осетровых рыб в казахстанском секторе Каспийского моря в 2012–2017 гг.
ОДУ | Вылов, т | % освоения | Период вылова |
0.535 | 0.05 | 9.30 | 2012 г. (10 мес.) |
0.748 | 0.056 | 7.49 | 2013 г. (10 мес.) |
0.793 | 0.771 | 97.2 | 2014 г. (9 мес.) |
0.727 | 0 | 0 | 15.02.2015–15.02.2016 гг. |
0.727 | 0 | 0 | 15.02.2016–15.02.2017 гг. |
Примечание. ОДУ – общий допустимый улов, т.; приведен по:(Биологическое обоснование. …, 2013, 2014, 2015)
Среди изъятых за 8 лет 170 контрафактных рыб 50% приходилось на русского осетра, 1/3 – на севрюгу, до 1/8 – на белугу, стерлядь встречалась единично (табл. 3). Таким образом, в исследованный период ежегодная встречаемость русского осетра среди всех изученных видов была неожиданно велика и в структуре уловов относительно устойчива. Если ранее р. Урал считали севрюжьей рекой (Баймуканов и др., 2006; Камелов, 2007; Бокова, 2008), то, по-видимому, видовая структура стада уральских осетровых изменилась в сторону преобладания русского осетра, который присутствовал в уловах в 2012–2014 г. и позднее; севрюга в эти годы не встречалась или была в незначительном количестве. С 2015 г. вплоть до 2018 г. севрюгу снова отмечали в уловах, наибольшее число этих рыб было выловлено в 2018 г. (табл. 3). Вызывает интерес, что по нашим данным, отсутствующая ранее в уловах из р. Урал белуга уральской популяции (молодь) вновь стала попадаться с 2010 г. и продолжала и далее встречаться в уловах (в основном единичные экземпляры, за исключением 2014 г.). По-видимому, этому способствовала деятельность по искусственному воспроизводству Урало-Арытауского осетрового рыбоводного завода Казахстана, где белуга – один из объектов разведения (Судакова и др., 2018). По нашим данным, белугу и позднее ловили единично, за исключением 2014 г., что, возможно, совпало с пиком нерестовой миграции диких особей в этом году.
Таблица 3. Видовая структура изъятых сотрудниками рыбоохраны нелегальных уловов осетровых рыб из р. Урала, экз.
Год | Русский осетр | Севрюга | Белуга | Стерлядь |
2012 | 6 | – | 1 | – |
2013 | 10 | – | – | – |
2014 | 9 | – | 15 | – |
2015 | 22 | 4 | 1 | – |
2016 | 21 | 5 | 1 | – |
2017 | 8 | 3 | 1 | 4 |
2018 | 8 | 45 | 1 | – |
2019 | 5 | – | – | – |
Всего | 89 | 57 | 20 | 4 |
В улове, % | 52 | 33.5 | 11.9 | 2.6 |
Примечание. “–” – отсутствие в улове.
В исследованном материале наиболее многочисленными были выборки русского осетра и севрюги (табл. 3), что дало возможность описать и статистически оценить данные по их биологическим параметрам, включая возраст.
В выборках конфиската соотношение полов (самцы: самки) у севрюги в июне 2018 г. было 2 : 1, у русского осетра – в июне за период 2013–2018 гг. варьировало от 1.3 : 1 (2014, 2017, 2018 гг.) до 4.5 : 1 (2015 г.). Выявленное нарушение естественного соотношения полов в р. Урале согласуется с данными О. Л. Журавлевой (2012) о доминировании самцов в Волго-Каспийском бассейне и является следствием селективного ННН-вылова, преимущественно изымающего самок (Ruban et al., 2019).
Русский осетр в нижнем течении р. Урала Казахстанского сектора наиболее многочислен среди осетровых видов рыб. В браконьерских уловах зарегистрировано 89 экз. русского осетра, возрастная структура самцов и самок была различна (табл. 4, рис. 1). Самцы и самки русского осетра в исследуемой выборке достоверно различались по длине, массе тела и возрасту по критерию Манна–Уитни с вероятностью p ≤0.001. У севрюги различия по длине тела по этому критерию были достоверны при p ≤0.1, по массе тела и возрасту – при p ≤0.05.
Таблица 4. Биологические показатели севрюги и русского осетра уральского стада из конфиската 2012–2019 гг.
Параметр | Севрюга | Русский осетр | ||
♀♀ (n = 13) | ♂♂ (n = 25) | ♀♀ (n =20) | ♂♂ (n = 51) | |
Масса, кг | 8.10 ± 1.10 3.0–14.0 | 5.00 ± 0.34 3.0–10.0 | 20.4 ± 1.97 7.0–35.0 | 7.7 ± 0.52 2.7–20.0 |
Длина, см | 112.80 ± 5.27 89.0–142.0 | 101.90 ± 2.28 80.0–128.0 | 128.9 ± 4.56 100.0–180.0 | 100.2 ± 1.93 82.0–160.0 |
Возраст, лет | 12.70 ± 0.28 8.0–16.0 | 7.7 ± 0.46 4.0–12.0 | 17.10 ± 1.23 4–23 | 12.1 ± 0.55 6–24 |
*Примечание. n – число особей. Над чертой – среднее ± ошибка среднего, под чертой – пределы варьирования.
Рис. 1. Распределение частот встречаемости русского осетра по возрасту из ННН-уловов в нижнем течении р. Урал: а – самки, б – самцы.
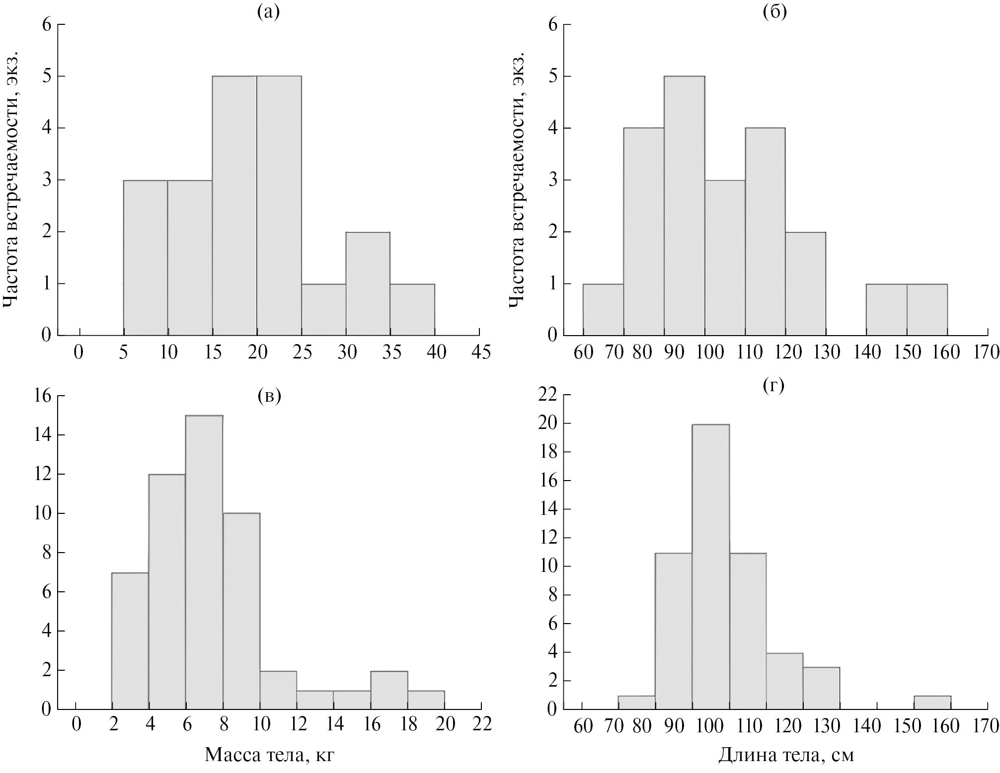
Несмотря на малочисленность исследованных рыб разных возрастных классов у самок преобладали особи 12 лет, у самцов выявлено два пика: 8 и 13 лет (рис. 2). Это подтверждает распределение русского осетра по массе и длине как у самок, так и у самцов (рис. 2).
Рис. 2. Распределение частоты встречаемости самок (a, б) и самцов (в, г) русского осетра по массе (а, в) и длине (б, г) в ННН-уловах р. Урал.
Среди различных взаимоотношений биометрических параметров у рыб исследователи наиболее часто используют соотношение длины и массы тела как функциональный инструмент, применяемый в различных исследованиях: рыбохозяйственных, экологии, популяционной динамики и оценке запасов (Pauly, 1993; Erzini, 1994; King, 1995; Petrakis and Stergiou, 1995; Ferreira et al., 2008). Это соотношение считается важным параметром в ихтиологических исследованиях, поскольку может дать информацию о состоянии популяций, коэффициентах упитанности, темпе роста, морфологических различиях, половой зрелости и репродуктивном потенциале, различных аспектах динамики популяций рыб и их общем благополучии (Le Cren, 1951; Bagenal and Tesch, 1978; Martin-Smith, 1996; Froese, 1998, 2006; Gonçalves, et al., 1997; Sutton et al., 2000; Santos et al., 2012; Torres et al., 2012; Meerbeek and Crane, 2017; Maurya et al., 2018). Это соотношение также используют для определения массы тела рыб при определенной длине их тела (Sarkar et al., 2009; Nazir and Khan, 2017).
Анализ соотношения длины и массы тела русского осетра в выборке из р. Урал (рис. 3а) показал, что оно аппроксимируется уравнением (1):
y = 0.0019 x3.2941 , (1)
где y – масса тела в граммах, x – длина тела, см.
Рис. 3. Соотношение длины и массы тела русского осетра (а) и севрюги (б) из р. Урала.
Показатель степени в полученном уравнении немного выше, чем у русского осетра в южной части Каспийского моря, где он равен 3.21 (Fazli, Moghim, 2014). Это различие можно объяснить более высоким темпом массового роста русского осетра в более продуктивной северной части моря.
Анализ соотношения длины и массы тела севрюги в выборке из р. Урала (рис. 3б) показал, что оно аппроксимируется уравнением (2):
y = 0.0099x2.8454, (2)
Показатель степени в полученном уравнении немного ниже, чем у севрюги из юго-западной части Каспийского моря, где он равен 2.99 (Fazli, Moghim, 2014), и выше, чем в юго-восточной части моря – 2.780 (Fazli, Moghim, 2014). Это различие свидетельствует о более высоком темпе роста массы у севрюги в юго-западной части моря и наиболее низком – в юго- восточной части. Севрюга из р. Урал по этому показателю занимает промежуточное положение.
В целом полученные диаграммы и уравнения (рис. 3) свидетельствуют, что при одинаковых линейных размерах масса тела у русского осетра превышает таковую у севрюги. Это различие соответствует различию в форме тела исследуемых рыб – у севрюги оно более прогонистое, чем у русского осетра.
ЗАКЛЮЧЕНИЕ
В период 2012–2019 гг. в р. Урале в ННН-уловах попадались только четыре вида осетровых: русский осетр, севрюга, белуга и стерлядь. Впервые установлено изменение видовой структуры уловов осетровых рыб в р. Урале, где вместо преобладавшей ранее севрюги лидирующее место занял русский осетр. Возраст русского осетра варьировал от 2 до 28 лет, причем модальная группа самцов была 7 лет, самок – 13. Среди самок встречали как неполовозрелых (масса 6–8 кг), так и половозрелых (масса 12–14 кг) особей. Относительно небольшая доля самок демонстрирует результат многолетнего селективного ННН-промысла русского осетра (Ruban et al., 2019). Соотношение длины и массы тела у исследованных видов неодинаково в разных частях Каспийского бассейна и, по-видимому, отражает трофические условия в местах обитания. Материалы по биологическим параметрам осетровых рыб из ННН-уловов в Урало-Каспийском районе дополняют данные мониторинга в практическом отношении (прогнозы общего допустимого улова и режимы рыболовства в условиях имеющихся запретов).
ФИНАНСИРОВАНИЕ
Работа проведена при поддержке государственного задания “Экология и биоразнообразие водных сообществ”, тема № АААА-А18-118042490059-5.
1 Сокращения: ННН – незаконный, несообщаемый и нерегулируемый вылов.
2 Биологическое обоснование. Проведение комплексных морских исследований по оценке состояния биологических ресурсов казахстанской части Каспийского моря. Алматы: 2013–2015.
Об авторах
Е. В. Микодина
Московский Государственный университет технологий и управления им. К.Г. Разумовского (Первый казачий университет); Университет МГУ-ППИ
Автор, ответственный за переписку.
Email: georgii-ruban@mail.ru
Россия, Москва; Шэньчжэнь, Китай
Г. И. Рубан
Институт проблем экологии и эволюции им. А.Н. Северцова Российской академии наук
Email: georgii-ruban@mail.ru
Россия, Москва
Г. М. Шалгимбаева
Научно-производственный центр рыбного хозяйства
Email: georgii-ruban@mail.ru
Казахстан, Алматы
Список литературы
- Баймуканов М.Т., Бокова Е.Б., Койшыбаева С.К. и др. 2006. О некоторых результатах изучения генофонда уральской нерестовой группы севрюги (Acipenser stellatus) // Тр. ВНИРО. С. 183.
- Бокова Е.Б. 2008. Условия естественного воспроизводства осетровых р. Урал // Рыбохозяйственные исследования на Каспии. Астрахань: КаспНИРХ. С. 225.
- Журавлева О.Л. 2012. Закономерности формирования численности и структуры популяции русского осетра Acipenser gueldenstaedtii Brandt под воздействием промысла, воспроизводства и условий обитания: Автореф. дис. … докт. биол. наук. Петрозаводск. 45 с.
- Исбеков К.Б., Камелов А.К., Асылбекова С.Ж. и др. 2018. Современное состояние естественного воспроизводства осетровых рыб (Acipenseridae) в реке Урал // Вестн. Астрахан. гос. техн. ун-та. Сер. Рыбн. хоз-во. № 2. С. 81. https://doi.org/10.24143/2073-5529-2018-2-81-88
- Камелов А.К. 2007. Динамика размерно-возрастной структуры нерестовой популяции севрюги р. Урал // Матер. 2-й Междунар. науч.-практ. конф. “Проблемы сохранения экосистемы Каспийского моря в условиях освоения нефтегазовых месторождений”, Астрахань, 28–30 августа 2007. Астрахань. С. 58.
- Металлов Г.Ф., Гераскин П.П., Аксeнов В.П., Левина О.А. 2016. Многолетний мониторинг физиологического состояния основных видов каспийских осетровых рыб // Вестн. Астрахан. гос. техн. ун-та. Сер. Рыбн. хоз-во. № 1. Р. 88.
- Микодина Е.В., Рубан Г.И. 2022. Современные сведения по биологии сахалинского осетра Acipenser mikadoi (Acipenseridae, Acipenseriformes) (обзор) // Биол. внутр. вод. № 1. С. 71. https://doi.org/10.31857/S0320965221060115
- Рубан Г.И., Ходоревская Р.П., Кошелев В.Н. 2015. О состоянии осетровых в России // Астрахан. вестн. экологического образования. № 1(31). С. 42.
- Рыбы Казахстана. 1986. Алма-Ата. Т. 1. 268 с.
- Сафаралиев И.А., Рубан Г.И., Булгакова Т.И. 2019. Каспийская севрюга: распределение, оценка запаса и сценарии восстановления волжской популяции. М.: ВНИРО.
- Судакова Н.В., Микодина Е.В., Васильева Л.М. 2018. Смена парадигмы искусственного воспроизводства осетровых рыб (Acipenseridae) в Волжско-Каспийском бассейне в условиях дефицита производителей естественных генераций (обзор) // Сельскохозяйственная биология. Т. 53. № 4. С. 698. https://doi.org/10.15389/agrobiology.2018.4.698rus
- Ќазаќстан Республикасыныњ Ќызыл кітабы. 4-басылым, ќайта μњделген жєне толыќтырылѓан (Красная книга Республики Казахстан). 2010. Т. 1. Жануарлар; 1-бөлім: Омыртқалылар. (авторлар ұжымы). Алматы: “DPS”. 324 бет.
- Assylbekova S.Zh., Mikodina E.V., Isbekov K.B., Shalgimbaeva G.M. 2022. Experience, principles and parameters in the sturgeon quality assessment by anomalies in early ontogenesis (A Review) // Biology. V. 11. Is. 8. P. 1240. https://doi.org/10.3390/biology11081240
- Bagenal T.B., Tesch F.W. 1978. Age and growth // Methods for assessment of fish production in freshwaters. IBP Handbook. № . 3. Oxford: Blackwell Sci. Publ. Р. 101.
- Erzini K. 1994. An empirical study of variability in length-at-age of marine fishes // J. Appl. Ichthyol. V. 10. Р. 17.
- Fazli H., Moghim M. 2014. Length-weight relationships of five species of sturgeon in the Iranian waters of the Caspian Sea // J. Survey in Fisheries Sci. V. 1(1). Р. 56.
- Ferreira S., Sousa R.J., Carvalho D.T. 2008. Weight–length relationships for demersal fish species caught off the Madeira archipelago (eastern-central Atlantic) // J. Appl. Ichthyol. V. 24(1). Р. 93.
- Froese R. 1998. Length-weight relationships for 18 less-studied fish species // J. Appl. Ichthyol. V. 14. Р. 117.
- Froese R. 2006. Cube law, condition factor and weight–length relationships: history, metaanalysis and recommendations // J. Appl. Ichthyol. V. 22. Р. 241.
- Gonçalves J.M.S., Bentes L., Lino P.G. et al. 1997. Weight-length relationships for selected fish species of the small-scale demersal fisheries of the south and south-west coast of Portugal // Fish Res. V. 30. Р. 253.
- King M. 1995. Fisheries biology, assessment and management // Fishing News Books. Oxford: England. P. 107.
- Le Cren E.D. 1951. The length-weight relationship and seasonal cycle in gonad weight and condition in the perch (Perca fluviatilis) // J. Anim. Ecol. V. 20. P. 201.
- Martin-Smith K.M. 1996. Length/weight relationships of fishes in a diverse tropical freshwater community, Sabah, Malaysia // J. Fish Biol. V. 49. Р. 731.
- Maurya A., Prasad L., Gautam R. 2018. Length–weight relationship and condition factor of Anabas testudineus (Bloch, 1792) from Rudrasagar Lake (A Ramsar site), Tripura // J. Pharmacognosy and Phytochem. V. 7. Р. 1395.
- Meerbeek J.R., Crane D.P. 2017. A comparison of Muskellunge weight estimation equations to a modified length-girth technique. Muskellunge management fifty years of cooperation among anglers, scientist, and fisheries biologists // Amer. Fish Soc. Symposium. V. 85. P. 539.
- Nazir A., Khan M.A. 2017. Length–weight and length–length relationships of Cirrhinus mrigala (Cyprinidae) and Xenentodon cancila (Belonidae) from the River Ganga // J. Appl. Ichthyol. V. 57. Р. 787.
- Pauly D. 1993. Fishbyte section editorial. V. 16. Naga, ICLARM, Quart, ICLARM, Naga, Philippines 16. P. 26.
- Petrakis G., Stergiou K.I. 1995. Weight–length relationships for 33 fish species in Greek waters // Fish Res. V. 21. Р. 465.
- Pueppke S.G., Nurtazin S.T., Murzashev T.K. et al. 2003. Re-Establishing Naturally Reproducing Sturgeon Populations in the Caspian Basin: A Wicked Problem in the Ural River // Water. № 15(19). V. 3399. https://doi.org/10.3390/w15193399
- Ruban G.I., Khodorevskaya R.P., Shatunovskii M.I. 2019. Factors influencing the natural reproduction decline in the beluga (Huso huso, Linnaeus, 1758), Russian sturgeon (Acipenser gueldenstaedtii, Brandt & Ratzeburg, 1833), and stellate sturgeon (A. stellatus, Pallas, 1771) of the Volga–Caspian basin // J. Appl. Ichthyol. V. 35. P. 387. https://doi.org/ 10.1111/jai.13885
- Sarkar U.K., Deepak P.K., Negi R.S. 2009. Length–weight relationship of clown knifefish, Chitala chitala (Hamilton, 1822) from the river Ganga basin, India // J. Appl. Ichthyol. V. 25. Р. 232.
- Santos M., Lemos J., Pereira C. еt al. 2012. Length–weight relationships of four ornamental fish species from the Brazilian Negro River basin // J. Appl. Ichthyol. V. 28. Р. 148.
- Sutton S.G., Bult T.P., Haedrich R.L. 2000. Relationships among fat weight, body weight, water weight, and condition factors in wild Atlantic salmon parr // Trans. Amеr. Fish Soc. V. 129. Р. 527.
- Shalgimbaeva G.M., Mugue N.S., Isbekov K.B. et al. 2022. Ural (Zhayik) River Spawning Grounds of Sturgeon (Acipenseridae) in the Republic of Kazakhstan: Modern Situation // J. Ichthyol. V. 62. № 7. P. 1439. https://doi.org/10.1134/S0032945222060273
- Torres M., Ramos F., Sobrino I. 2012. Length–weight relationships of 76 fish species from the Gulf of Cadiz (SW Spain) // Fish Res. V. 128. P. 171.
Дополнительные файлы





