Distribution, Size-Morphological Structure and Production of Heterotrophic Bacterioplankton in Gorky Reservoir
- Authors: Kuznetsova E.V.1, Kosolapov D.B.1, Mikryakova I.S.1, Kosolapova N.G.1, Maslennikova T.S.1, Skopina M.Y.1
-
Affiliations:
- Papanin Institute for Biology of Inland Waters Russian Academy of Sciences
- Issue: No 1 (2023)
- Pages: 7-19
- Section: ВОДНАЯ МИКРОБИОЛОГИЯ
- URL: https://journals.rcsi.science/0320-9652/article/view/134879
- DOI: https://doi.org/10.31857/S0320965223010084
- EDN: https://elibrary.ru/KSONMB
- ID: 134879
Cite item
Full Text
Abstract
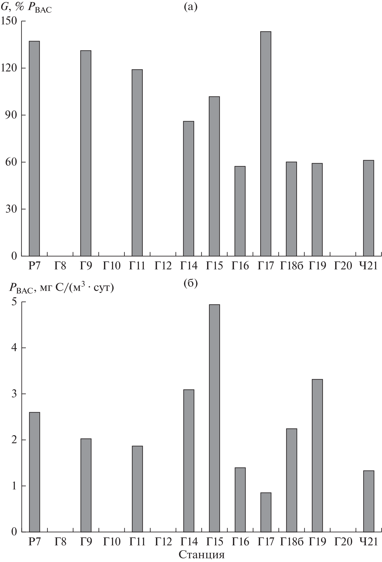
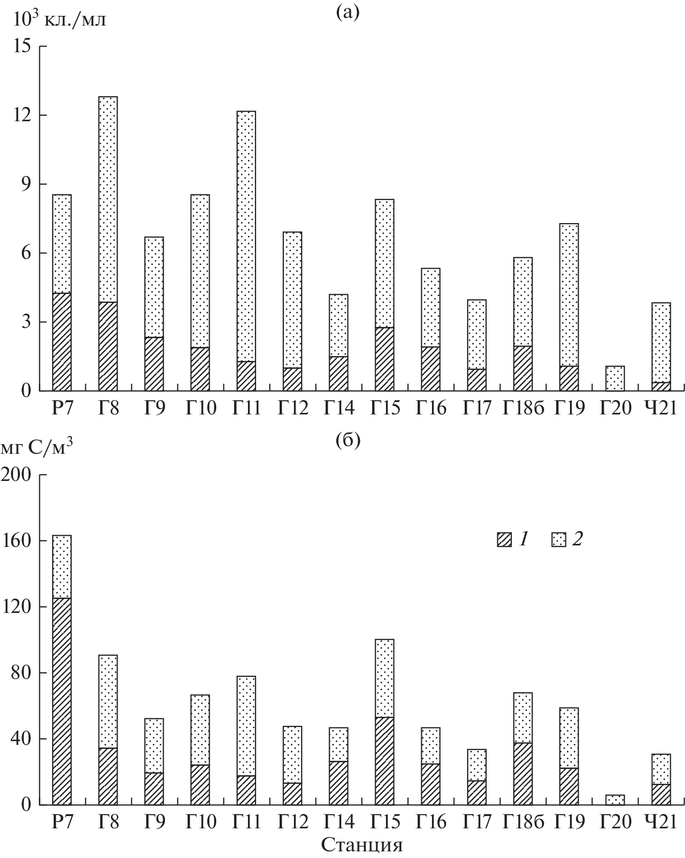
The abundance, biomass, size-morphological structure, growth rate and production of bacterioplankton, the intensity of primary phytoplankton production and dark fixation of CO2, as well as the abundance and biomass of heterotrophic nanoflagellates were determined in a large plain eutrophic reservoir (Gorky Reservoir, Middle Volga). The abundance, biomass, and production of bacterioplankton were relatively high and averaged 7.6 × 106 cells/mL, 117.9 mg C/m3, and 59.2 mg C/(m3 × day), respectively. Heterotrophic nanoflagellates reached a high level of quantitative development – 6.9 × 103 cells/mL, 47.9 mg C/m3. Their biomass averaged 41.6 ± 18.4% of the bacterioplankton biomass, which indicates that, in addition to bacteria, nanoflagellates used other food sources. Small rods and cocci dominated among the size-morphological bacterioplankton groups and accounted for 36.3 and 33.3% of its total abundance, respectively. Small rods averaged more than a half (56.2%) of the total biomass and were the most stable component of the community. The growth rate and production of bacterioplankton increased in those parts of the reservoir where the medium-sized cocci and coccobacilli accounted for from 18.2 to 29.3% of the total abundance. The highest bacterial activity was recorded in the area affected by the warm waste waters of the Volgorechensk State District Power Plant. Based on the data obtained, the reservoir divided on the upper river section and the lower lake section.
About the authors
E. V. Kuznetsova
Papanin Institute for Biology of Inland Waters Russian Academy of Sciences
Author for correspondence.
Email: kuzel@ibiw.ru
Russia, Nekouzskii raion, Yaroslavl oblast, Borok
D. B. Kosolapov
Papanin Institute for Biology of Inland Waters Russian Academy of Sciences
Email: kuzel@ibiw.ru
Russia, Nekouzskii raion, Yaroslavl oblast, Borok
I. S. Mikryakova
Papanin Institute for Biology of Inland Waters Russian Academy of Sciences
Email: kuzel@ibiw.ru
Russia, Nekouzskii raion, Yaroslavl oblast, Borok
N. G. Kosolapova
Papanin Institute for Biology of Inland Waters Russian Academy of Sciences
Email: kuzel@ibiw.ru
Russia, Nekouzskii raion, Yaroslavl oblast, Borok
T. S. Maslennikova
Papanin Institute for Biology of Inland Waters Russian Academy of Sciences
Email: kuzel@ibiw.ru
Russia, Nekouzskii raion, Yaroslavl oblast, Borok
M. Yu. Skopina
Papanin Institute for Biology of Inland Waters Russian Academy of Sciences
Email: kuzel@ibiw.ru
Russia, Nekouzskii raion, Yaroslavl oblast, Borok
References
- Дзюбан А.Н., Косолапов Д.Б., Кузнецова И.А. 2001. Микробиологические процессы в Горьковском водохранилище // Вод. ресурсы. 28. № 1. Р. 47.
- Копылов А.И., Косолапов Д.Б. 2007. Микробиологические индикаторы эвтрофирования пресных вод // Биоиндикация в мониторинге пресноводных экосистем: Сб. матер. междунар. конф. Санкт-Петербург: Изд-во “Лема”. С. 176.
- Копылов А.И., Косолапов Д.Б. 2008. Бактериопланктон водохранилищ Верхней и Средней Волги. Москва: Изд-во Соврем. гуманитар. ун-та.
- Копылов А.И., Косолапов Д.Б., Микрякова И.C. 2020а. Многолетняя динамика гетеротрофного бактериопланктона в крупном эвтрофном водохранилище // Биология внутр. вод. № 5. С. 469. https://doi.org/10.31857/S0320965220050046
- Копылов А.И., Лазарева В.И., Минеева Н.М., Заботкина Е.А. 2020б. Планктонное сообщество крупного эвтрофного водохранилища в период аномально высокой температуры воды // Биология внутр. вод. № 4. С. 315. https://doi.org/10.31857/S0320965220040099
- Корнева Л.Г. 2015. Фитопланктон водохранилищ бассейна Волги. Кострома: Костромской печатный дом.
- Корнева Л.Г., Соловьева В.В., Макарова О.С. 2016. Разнообразие и динамика планктонных альгоценозов водохранилищ Верхней и Средней Волги (Рыбинское, Горьковское, Чебоксарское) в условиях эвтрофирования и изменения климата // Тр. Ин-та биол. внутр. вод. им. И.Д. Папанина РАН. № 76(79). С. 35.
- Косолапов Д.Б., Косолапова Н.Г., Румянцева Е.В. 2014. Активность и эффективность роста гетеротрофных бактерий Рыбинского водохранилища // Изв. РАН. Сер. биол. № 4. С. 355.https://doi.org/10.1134/S1062359014040050
- Кузнецов С.И., Дубинина Г.А. 1989. Методы изучения водных микроорганизмов. Москва: Наука.
- Кузнецова Е.В., Суханова Е.В., Косолапов Д.Б. 2021. Таксономическое разнообразие и размерно-морфологическая структура бактериопланктона Рыбинского водохранилища // Микробиология. Т. 90. № 3. С. 315.
- Кузнецова Е.В., Косолапов Д.Б., Крылов А.И. 2022. Изменения размерно-морфологической структуры бактериопланктона в градиенте трофии пресных водоемов архипелага Шпицберген // Сиб. экол. журн. № 2. С. 176.
- Минеева Н.М. 2004. Растительные пигменты в воде волжских водохранилищ. Москва: Наука.
- Минеева Н.М., Макарова О.С. 2018. Содержание хлорофилла как показатель современного (2015–2016 гг.) трофического состояния водохранилищ Волги // Биология внутр. вод. № 3. С. 107. https://doi.org/10.1134/S0320965218030129
- Минеева Н.М., Семадени И.В., Макарова О.С. 2020. Содержание хлорофилла и современное трофическое состояние водохранилищ Волги (2017–2018 гг.) // Биология внутр. вод. № 2. С. 205. https://doi.org/10.31857/S0320965220020102
- Михайленко Л.Е. 1999. Бактериопланктон днепровских водохранилищ. Киев: Ин-т гидробиологии НАН Украины.
- Романенко В.И. 1985. Микробиологические процессы продукции и деструкции органического вещества во внутренних водоемах. Ленинград: Наука.
- Романенко В.И., Кузнецов С.И. 1974. Экология микроорганизмов пресных водоемов. Лабораторное руководство. Ленинград: Наука.
- Caron D.A. 1983. Technique for enumeration of heterotrophic and phototrophic nanoplankton, using epifluorescence microscopy, and comparison with other procedures // Appl. Environ. Microbiol. V. 46. № 2. P. 491.
- Caron D.A., Dam H.G., Kremer P. et al. 1995. The contribution of microorganisms to particulate carbon and nitrogen in surface waters of the Sargasso Sea near Bermuda // Deep-Sea Res. V. 42. P. 943.
- Cavicchioli R., Ripple W.J., Timmis K.N. et al. 2019. Scientists’ warning to humanity: microorganisms and climate change // Nat. Rev. Microbiol. V. 17. № 9. P. 569.
- Fenchel T. 1986. The ecology of heterotrophic microflagellates // Adv. Microb. Ecol. V. 9. P. 57.
- Gasol J.M., Vaqué D. 1993. Lack of coupling between heterotrophic nanoflagellates and bacteria: A general phenomenon across aquatic systems? // Limnol., Oceanogr. V. 38. № 3. P. 657.
- Gasol J.M., del Giorgio P.A., Massana R., Duarte C.M. 1995. Active versus inactive bacteria: size-dependence in a coastal marine plankton community // Mar. Ecol. Prog. Ser. V. 128. P. 91.
- Hagstrom A., Larsson U., Horstedt P., Normark S. 1979. Frequensy of dividing cells, a new approach to the determination of bacterial growth rates in aquatic environments // Appl. Environ. Microbiol. V. 37. P. 805.
- Kato K., Oh S.-W., Yamamoto H. et al. 1992. Enclosure experiment on the control mechanism of planktonic bacterial standing stock // Ecol. Res. V. 7. P. 267.
- Lind O.T. 2002. Microbial production and reservoir zone trophic states // Lake Reservoir Manage. V. 18. P. 129.
- Norland S. 1993. The relationship between biomass and volume of bacteria // Handbook of Methods in Aquatic Microbial Ecology. Boca Raton: Lewis Publ. P. 303.
- Pernthaler J. 2005. Predation on prokaryotes in the water column and its ecological implications // Nat. Rev. Microbiol. V. 3. P. 537.
- Porter K.G., Feig Y.S. 1980. The use DAPI for identifying and counting of aquatic microflora // Limnol., Oceanogr. V. 25. № 5. P. 943. https://doi.org/10.4319/lo.1980.25.5.0943
- Segovia B.T., Domingues C.D., Meira B.R. et al. 2016. Coupling Between Heterotrophic Nanoflagellates and Bacteria in Fresh Waters: Does Latitude Make a Difference? // Front. Microbiol. V. 7. Art. 114. https://doi.org/10.3389/fmicb.2016.00114
- Straškrabova V., Šimek K., Vrba J. 2005. Long-term development of reservoir ecosystems – changes in pelagic food webs and their microbial component // Limnetica. V. 24. № 1–2. P. 9.
- Thorpe A.P., Jones J.R. 2005. Bacterial abundance in Missouri (USA) reservoirs in relation to trophic state and global patterns // Verh. Int. Ver. Limnol. V. 29. P. 239.
- Tremaine A., Mills A. 1987. Inadequacy of eukaryote inhibitor cycloheximide in studies of protozoan grazing on bacteria at the freshwater – sediment interface // Appl. Environ. Microbiol. V. 53. P. 1969.
- Wieltschnig C., Kirschner A.K.T., Steitz A., Velimirov B. 2001. Weak coupling between hetero-trophic nanoflagellates and bacteria in a eutrophic freshwater environment // Microbiol. Ecol. V. 42. P. 159.
- Wikner J., Hagstrom A. 1988. Evidence for a tightly coupled nanoplanktonic predator-prey link regulating the bacterivores in the marine environment // Mar. Ecol. Prog. Ser. 1988. V. 50. P. 137.
Supplementary files









