Sound intensity fluctuations caused by the motion of internal wave solitons in the ASIAEX experiment
- Authors: Grigoriev V.А.1,2
- 
							Affiliations: 
							- Voronezh State University
- A.M. Prokhorov General Physics Institute of the Russian Academy of Sciences
 
- Issue: Vol 70, No 6 (2024)
- Pages: 844-864
- Section: АКУСТИКА ОКЕАНА. ГИДРОАКУСТИКА
- URL: https://journals.rcsi.science/0320-7919/article/view/277511
- DOI: https://doi.org/10.31857/S0320791924060059
- EDN: https://elibrary.ru/JTVOVT
- ID: 277511
Cite item
Abstract
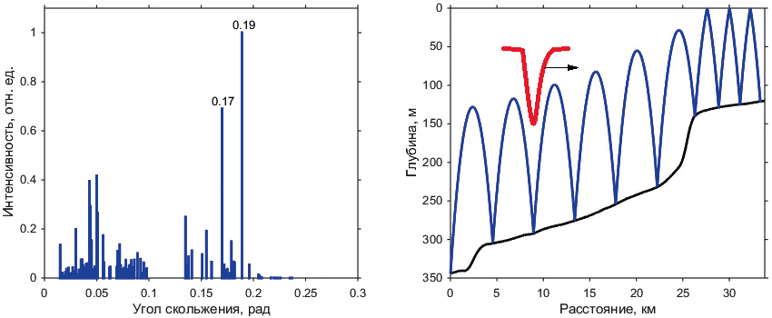
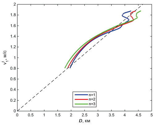
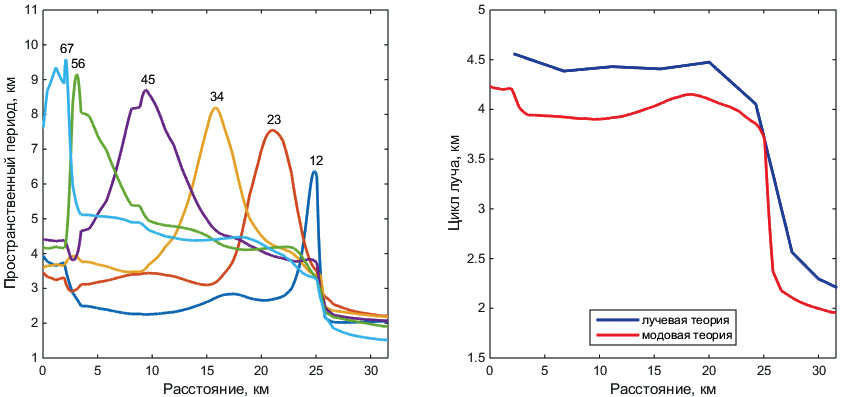
One of the episodes of the ASIAEX 2001 experiment (South China Sea) is considered, in which a large soliton of internal waves moved along two stationary acoustic paths 32 and 19 km long, and associated fluctuations in the intensity of low-frequency sound (224 and 300 Hz) were observed. During the study, the phenomenon of constancy of the dominant frequency of fluctuations over time was discovered. For example, during a six-hour soliton motion along a long path, where the sea depth changed three times (from 350 to 120 m), and the soliton velocity – two times (from 2 to 1 m / s), the dominant frequency of fluctuations remained approximately constant and equal to 1.5 c / h with an accuracy of 10%. The paper analyzes the causes of this phenomenon. For this purpose, the soliton is considered within the framework of a two-layer model of the aquatic environment, and sound propagation – within the framework of the mode and ray theories. According to the ray theory, the dominant frequency of fluctuations is determined by the ratio of the soliton velocity to the ray cycle responsible for the dominant fluctuations. In the mode theory, a similar expression is obtained, where the role of the ray cycle is played by a combination of spatial beat periods of several pairs of modes. It is shown that with a change in the sea depth, the soliton velocity and the ray cycle change almost proportionally, as a result of which the dominant frequency of fluctuations remains constant. The described phenomenon may be universal and not limited to the ASIAEX water area. The constancy of the dominant frequency allows, in particular, to determine the variable soliton velocity as a function of time or distance, which is successfully demonstrated in the work and can be used for acoustic monitoring of solitons.
Full Text
 
												
	                        About the authors
V. А. Grigoriev
Voronezh State University; A.M. Prokhorov General Physics Institute of the Russian Academy of Sciences
							Author for correspondence.
							Email: grig4@yandex.ru
				                					                																			                												                	Russian Federation, 							394018, Universitetskaya sq. 1, Voronezh; 119991, st. Vavilova 38, Moscow						
References
- Newhall A., Costello L., Duda T., Dunn J., Gawarkiewicz G., Irish J., Kemp J., McPhee N., Liberatore S., Lynch J., Ostrom W., Schroeder T., Trask R., Keith von der Heydt. Preliminary acoustic and oceanographic observations from the ASIAEX 2001 South China Sea experiment // Woods Hole Oceanog. Inst. 2001. Tech. Rep. WHOI-2001–12.
- Apel J.R., Ostrovsky L.A., Stepanyants Y.A., Lynch J.F. Internal solitons in the ocean // Woods Hole Oceanog. Inst. 2006. Tech. Rep. WHOI-2006–04.
- Jackson C.R., Apel J.R. An atlas of internal solitary-like waves and their properties. Global Ocean Associates. 2nd Edition. 2004. http://www.internalwaveatlas.com
- Duda T.F., Lynch J.F., Irish J.D., Beardsley R.C., Ramp S.R., Chiu C.-S., Tang T.Y., Yang Y.-J. Internal tide and nonlinear internal wave behavior at the continental slope in the northern South China Sea // IEEE J. Oceanic Eng. 2004. V. 29. № 4. P. 1105–1130.
- Huang X., Zhao W., Tian J., Yang Q. Mooring observations of internal solitary waves in the deep basin west of Luzon Strait // Acta Oceanol. Sin. 2014. V. 33. № 3. P. 82–89.
- Серебряный А.Н. Исследование особенностей внутренних волн в проливе Лусон Южно-Китайского моря по их поверхностным проявлениям с помощью судового радиолокатора // Шестая всероссийская открытая ежегодная конференция “Современные проблемы дистанционного зондирования Земли из космоса”. Москва, ИКИ РАН, 10–14 ноября 2008. http://d33.infospace.ru/d33_conf/2008_conf_pdf/L/Serebreniu.pdf
- Ramp S.R., Yang Y.J., Bahr F.L. Characterizing the nonlinear internal wave climate in the northeastern South China Sea // Nonlin. Processes Geophys. 2010. V. 17. № 5. P. 481–498.
- Ramp S.R., Tang T.Y., Duda T.F., Lynch J.F., Liu A.K., Chiu C.-S., Bahr F.L., Kim H.-R., Yang Y.-J. Internal solitons in the northeastern South China Sea. Part I: sources and deep water propagation // IEEE J. Oceanic Eng. 2004. V. 29. № 4. P. 1157–1181.
- Кацнельсон Б.Г., Переселков С.А. Горизонтальная рефракция низкочастотного звукового поля, вызванная солитонами внутренних волн в мелководном волноводе // Акуст. журн. 2000. Т. 46. № 6. С. 779–788.
- Кацнельсон Б.Г., Бади М., Линч Дж. Горизонтальная рефракция звука в мелком море и ее экспериментальные наблюдения // Акуст. журн. 2007. Т. 53. № 3. С. 362–376.
- Grigorev V.A., Katsnelson B.G., Lynch J.F. Bottom attenuation estimation using sound intensity fluctuations due to mode coupling by nonlinear internal waves in shallow water // J. Acoust. Soc. Am. 2016. V. 140. № 5. P. 3980–3994.
- Katsnelson B., Grigorev V., Lynch J.F. Intensity fluctuations of mid-frequency sound signals passing through moving nonlinear internal waves // J. Acoust. Soc. Am. 2008. V. 124. № 3. Pt. 2. P. EL78–EL84.
- Katsnelson B.G., Grigorev V., Badiey M., Lynch J.F. Temporal sound field fluctuations in the presence of internal solitary waves in shallow water // J. Acoust. Soc. Am. 2009. V. 126. № 1. P. EL41–EL48.
- Григорьев В.А., Кацнельсон Б.Г. Флуктуации интенсивности высокочастотных акустических импульсов, вызванные движением солитонов внутренних волн в мелком море // Акуст. журн. 2009. Т. 55. № 1. С. 47–55.
- Григорьев В.А., Кацнельсон Б.Г., Lynch J.F. Угловая зависимость флуктуаций интенсивности высокочастотных сигналов, пересекающих фронт движущихся интенсивных внутренних волн // Доклады XII научной школы-семинара им. акад. Л.М. Бреховских “Акустика океана”, совмещенной с XXI сессией Российского Акустического Общества. М.: ГЕОС, 2009. С. 63–66.
- Григорьев В.А., Кацнельсон Б.Г., Lynch J.F. Флуктуации энергии высокочастотных звуковых сигналов в мелком море в присутствии нелинейных внутренних волн // Акуст. журн. 2013. Т. 59. № 4. С. 485–493.
- Григорьев В.А., Кацнельсон Б.Г. Флуктуации звука, обусловленные взаимодействием мод на движущихся нелинейных внутренних волнах в мелком море // Акуст. журн. 2014. Т. 60. № 3. С. 262–271.
- Григорьев В.А., Кацнельсон Б.Г., Lynch J.F. Флуктуации интенсивности звука, обусловленные взаимодействием мод на движущихся нелинейных внутренних волнах в мелком море // Ученые записки физического факультета МГУ. 2014. № 6. 146333.
- Jiang Y., Grigorev V., Katsnelson B. Sound field fluctuations in shallow water in the presence of moving nonlinear internal waves // J. Mar. Sci. Eng. 2022, 10(1), 119.
- Katsnelson B., Grigorev V., Jiang Y. Intensity fluctuations due to mode coupling in the presence of moving internal waves in shallow water and estimation of bottom parameters // Proc. of the 29th Int. Congress on Sound and Vibration. Edited by Eleonora Carletti. Prague, 9–13 July 2023. P. 1–5.
- Apel J.R., Badiey M., Ching-Sang Chiu, Finette S., Headrick R., Kemp J., Lynch J.F., Newhall A., Orr M.H., Pasewark B.H., Tielbuerger D., Turgut A., Keith von der Heydt, Wolf S. An overview of the 1995 SWARM shallow-water internal wave acoustic scattering experiment // IEEE J. Oceanic Eng. 1997. V. 22. № 3. P. 465–500.
- Newhall A.E., Duda T.F., Keith von der Heydt, Irish J.D., Kemp J.N., Lerner S.A., Liberatore S.P., Ying-Tsong Lin, Lynch J.F., Maffei A.R., Morozov A.K., Shmelev A., Sellers C.J., Witzell W.E. Acoustic and oceanographic observations and configuration information for the WHOI moorings from the SW06 experiment // Woods Hole Oceanog. Inst. 2007. Tech. Rep. WHOI-2007–04.
- Vincenty T. Direct and inverse solutions of geodesics on the ellipsoid with application of nested equations // Survey Review. 1975. V. 23. № 176. P. 88–93. http://www.movable-type.co.uk/scripts/latlong-vincenty.html
- Pelinovsky E., Talipova T., Didenkulova I., Didenkulova (Shurgalina) E. Interfacial long traveling waves in a two-layer fluid with variable depth // Stud. Appl. Math. 2018. P. 1–15.
Supplementary files
 
				
			 
					 
						 
						 
						 
						 
				
 
  
  
  Email this article
			Email this article 
 Open Access
		                                Open Access Access granted
						Access granted












