Применение низкочастотных акустических сигналов для исследования подводных газовых факелов
- Авторы: Костеев Д.А.1,2, Богатов Н.А.1, Ермошкин А.В.1,2, Капустин И.А.1,2, Мольков А.А.1,2, Разумов Д.Д.1, Салин М.Б.1
-
Учреждения:
- Институт прикладной физики им. А.В. Гапонова-Грехова РАН
- Нижегородский государственный университет им. Н.И. Лобачевского
- Выпуск: Том 70, № 4 (2024)
- Страницы: 551-565
- Раздел: АКУСТИКА ОКЕАНА. ГИДРОАКУСТИКА
- URL: https://journals.rcsi.science/0320-7919/article/view/273830
- DOI: https://doi.org/10.31857/S0320791924040091
- EDN: https://elibrary.ru/XFIVCK
- ID: 273830
Цитировать
Полный текст
Аннотация
Гидроакустическое зондирование на частотах, близких к резонансным частотам колебаний пузырьков, является перспективным методом для обнаружения и изучения сипов, выхода газа (преимущественно метана) из морского дна при высвобождении газогидратов. Это соответствует снижению рабочей частоты, относительно традиционного метода изучения сипов высокочастотных гидролокаторов, поэтому предложенный метод будем относить к низкочастотным. Проведены оценки силы рассеяния с учетом коллективного взаимодействия. Продемонстрирована возможность применения низкочастотных гидроакустических систем для обнаружения сипов на примере результатов морского эксперимента с использованием имитационной пузырьковой струи. Предложен метод обработки данных для обнаружения нестационарных рассеивателей.
Полный текст
ВВЕДЕНИЕ
Изучение рассеяния звука на пузырьках является классической задачей, в рамках которой в последнее время стала актуальной новая область применения — изучение сипов (от англ. seep – просачивание) – явлений естественного выхода газов из морского дна (преимущественно метана) в виде пузырьковой струи. Газовые «факелы» (газовые выбросы, сипы) встречаются в различных частях Мирового океана [1], в том числе в Черном море, Охотском море и Арктических морях РФ. Практический интерес к изучению сипов связан и с особенностями промышленного освоения шельфа, и с учетом дополнительного выхода парниковых газов в климатических моделях. Перенос метана через пузырьки особенно важен в климатически чувствительном Северном Ледовитом океане, где региональные максимумы атмосферного метана в сочетании с сокращением площади морского льда, притоком теплых вод из других океанических бассейнов и высоким стоком великих сибирских рек ускоряют последствия изменения климата [2, 3].
Просачивания газа с морского дна можно разделить на выходящие на поверхность и находящиеся исключительно в водной толщи. В первом случае, при достаточной интенсивности сипов, они могут быть обнаружены оптическими методами на поверхности [1], последние результаты указывают также на применимость радиолокационных методов [4]. Радиолокация более привлекательна в этом плане, так как менее чувствительна к погодным условиям.
В случае, когда сипы не выходят на поверхность, обнаружение просачиваний и их изучение ведется, по большей части, с помощью высокочастотных (ВЧ) гидролокаторов, с рабочей частотой десятки–сотни кГц [5, 6]. Судовые эхолоты с вертикальным лучом и гидролокаторы бокового обзора, устанавливаемые на подводных аппаратах, позволяют не только обнаружить пузырьковый поток, но и оценить его параметры и, в конечном итоге, рассчитать поток метана. Для этого учитывается, что гидролокаторы работают на частотах, существенно выше резонансных частот пузырьков. В сформулированных ограничениях возможно решение обратной задачи рассеяния [7], и это является распространенным на настоящий день подходом к исследованию сипов. Иногда пузырьки детектируются по сигналу на разностной частоте, возникающему вследствие нелинейности процесса рассеяния. Существуют также работы, посвященные исследованию величины обратного рассеяния и собственных шумов пузырьковых скоплений, возникающих при переходе из грунта в воду [8] и в приповерхностном слое при обрушении волн [9]. Контактные методы измерения сипов дают более подробную и точную информацию [10], но сип предварительно должен быть обнаружен, чтобы судно подошло в нужную точку. Когда сипы отличаются постоянством, т.е. существуют круглогодично в одном и том же месте, то представляет интерес установка стационарных донных акустических станций для длительного мониторинга потока газа [11].
Возможность лоцирования сипов на более низких частотах, несомненно, представляет интерес, в первую очередь, за счет дальнего распространения звука в волноводе, а во-вторых, за счет возможного возникновения резонансных эффектов при рассеянии [12]. Если рассмотреть задачу о максимальном уровне рассеянного сигнала от произвольного объекта, в том числе от группы пузырей, то он будет соответствовать либо геометрическому поперечному сечению этой группы, либо квадрату длины волны, в зависимости от того, какая из величин оказывается больше [12].
Пузырек эффективно рассеивает звук, начиная со своей резонансной частоты, а для природных пузырьков резонансные частоты, исходя из их радиусов, составляют единицы килогерц — длины волн от дециметров до метра. Поэтому при гидролокации в этом диапазоне частот, сипы должны оказаться очень контрастными целями. Существуют определенные сложности технического плана для работы в этом диапазоне. Например, необходимо применять протяженные приемные системы для обеспечения достаточного коэффициента направленности, а также потребуется конструирование мощных низкочастотных (НЧ) излучателей [13].
Однако в литературе отмечается, что сложности при измерении резонансного рассеяния носят главным образом методический характер. Сила цели пузырька на резонансе формально составляет большую величину, но в действительности ограничивается рядом факторов: во-первых, наличием примесей (разный молекулярный состав, наличие нефтяных пленок на поверхности пузырька), что вносит заранее неизвестную поправку, и, во-вторых, коллективным взаимодействием пузырей [14]. По этим двум причинам ожидается, что результаты оценки массовой доли газа в сипе, полученные на околорезонансной частоте, будут менее стабильными или достоверными, по сравнению с ВЧ. Тем не менее, ниша применения НЧ гидроакустики видится как минимум в первичном обнаружении газовых выбросов на дальних дистанциях. Например, это позволит сокращать время проведения полигонной съемки при картографировании района с сипами.
Настоящая работа посвящена методическим основам локации пузырьковых струй гидроакустическими сигналами на частотах, близких к резонансным частотам пузырьков. Такие частоты являются низкими по отношению к традиционным акустическим методам обнаружения сипов. В краткой теоретической справке рассматривается вопрос об эффективном значении силы цели при локации короткими импульсами, т.е. при неустановившемся режиме колебаний, и при нахождении пузырька в составе достаточно плотной группы.
В части методов обработки сигналов предлагается метод, повышающий контрастность сипов на сонограммах. При обработке может использоваться факт движения струи пузырей, за счет которого, во-первых, возникает эффект Доплера, а во-вторых, рассеиватели перемешиваются, и эхосигнал теряет свои корреляционные свойства [15]. Предложенный метод будет востребован, когда энергетическая дальность обнаружения превосходит глубину места, и звук достигает цели, несколько раз взаимодействуя с дном и поверхностью. В этом случае фактическая дальность обнаружения будет определяться тем, как акустическая система сможет отличать сип от другого рода объектов, например, неоднородностей дна. Ситуация расположения газовых выбросов в мелководных районах очень характерна для Арктического шельфа РФ.
Теоретические оценки и алгоритмы обработки опробованы на основе модельного эксперимента, в котором струя пузырей в морской среде создавалась компрессором. Такая цель лоцировалась акустическим сигналами в диапазоне 1–3 кГц на дистанции порядка 100 м на открытой акватории с глубинами от 30 до 50 м. Для корректной интерпретации результатов акустических измерений привлекались результаты измерений другими средствами: радиолокатор кругового обзора, подводная стереосъемка, коммерческий высокочастотный акустический доплеровский профилограф течений (англ. ADCP — acoustic Doppler current profiler).
ТЕОРЕТИЧЕСКИЕ ОСНОВЫ
1.1. Объект исследования
Согласно сделанному литературному обзору, в наблюдаемых природных сипах [5, 6, 8] выход струи на поверхность занимает площадь от 100 до 10000 м2. Концентрация пузырей в толще может составлять до 1000 ед. в 1 м3. Для мелкого моря характерные скорости всплытия пузырьков составляют порядка 0.3 м/c. Пузырьки в сипах неоднородны по размерам. Радиус пузырьков, в среднем, лежит в диапазоне от 1 до 10 мм. Как отмечалось выше, рабочие частоты судовых эхолотов значительно выше резонансных частот пузырьков. Сделаем оценки силы рассеяния, учитывая особенности рассматриваемой, более низкочастотной, гидроакустической системы.
1.2. Оценка силы цели пузырька
Рабочие частоты рассматриваемой гидроакустической системы составляют единицы килогерц. В рамках общепринятого приближения существенными являются только сферически-симметричные колебания пузырька. Амплитуда монопольного рассеяния будет составлять [12, 16]:
. (1)
Здесь подразумевается квазинепрерывный режим излучения, a — радиус пузырька, f0 — резонансная частота пузырька [12], f — частота сигнала, δ — постоянная затухания, обусловленная излучением и теплообменом между водой и воздухом в пузырьке. Для рассматриваемой далее частоты 1090 Гц δ можно оценить по величине как δ ≈ 2ka [12], k = 2πf/c — волновое число, с — скорость звука. Знак плюс или минус перед iδ в (1) определяется по тому, какой знак выбран при записи комплексного временного процесса e±iωt.
Используемая в гидроакустике величина силы цели (англ. target strength, TS) одного пузырька при квазинепрерывном возбуждении будет составлять:
, (2)
где R0 = 1 м — необходимая размерная константа.
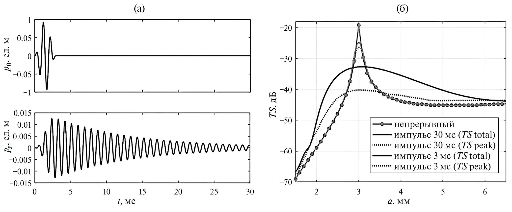
Авторы [17] отмечают, что при лоцировании коротким импульсом (для необходимого пространственного разрешения) важным фактором является неустановившийся режим колебаний. Короткий импульс, рассеянный на пузырьке, растягивается (см рис. 1а). Поэтому имеются разночтения, как ввести эффективную силу цели в этом случае [18, 19]. Основной подход к определению этой величины основан на отношении суммарных энергий падающего и рассеянного сигналов:
, (3)
где Gm — Фурье-образ пришедшего сигнала p0(t) в зависимости от номера частоты m, sm — обозначает величину s, вычисленную согласно (1) на равномерной частотной сетке fm.
Рис. 1. (а) — Пример неустановившихся колебаний (нестационарного рассеяния). (б) — Зависимость силы цели идеального пузырька при нормальном давлении от радиуса при фиксированной частоте 1090 Гц
Вместе с этим, гидролокаторы, работающие по пороговому принципу, могут реагировать на пиковое значение поля. В таких случаях эффективную силу цели правильнее определять в виде:
, (4)
где ps — искомый рассеянный сигнал, например, вычисленный путем обратного Фурье-преобразования от smGm, или с помощью аналитического решения, полученного в [17].
Для примера на рис. 1б построена частотная зависимость силы цели уединенного идеального пузыря, радиус a которого варьируется, в случае локации непрерывным тоном и тональными импульсами (радиоимпульсами) длительностью 30 мс и 3 мс с f0 = 1090 Гц, с огибающей в форме функции Ханна. На графике по оси абсцисс отложена частота заполнения, а под силой цели понимается введенная выше эффективная величина (3) или (4).
Из графиков следует, что снижение «добротности сигнала» (уменьшение числа периодов внутри импульса) оказывает такое же влияние на амплитудно-частотную характеристику (АЧХ), как снижение физической добротности осциллятора: резонансный пик расширяется и снижается по уровню. Из двух определений эффективной силы цели наиболее близким к «классическому», непрерывному режиму является интегральная энергетическая оценка TStotal (3).
Другим важным свойством является то, что после перевода дБ в интенсивность площади под сплошными кривыми на рис. 1 будут с хорошей точностью совпадать (разница менее 10%). Тогда представим, что производится локация группы пузырьков, функция распределения по радиусам которых g(a) равномерна в рассматриваемых пределах. От единицы объема среды будет получен одинаковый по энергии отклик во всех случаях: и когда возбуждается малая фракция пузырей с высокой амплитудой, и когда все фракции пузырей возбуждаются с более низкими амплитудами. Это обосновывает пригодность выбранного режима локации.
1.3. Оценка силы цели группы пузырьков
Для того чтобы учесть коллективное взаимодействие пузырьков, был использован подход на основе интегрального уравнения Гельмгольца [20], для численного решения которого применяется метод граничных элементов (МГЭ) [21]. Проведение расчетов по этому методу является довольно сложной вычислительной задачей, требовательной к ресурсам компьютера. Была использована созданная ранее оригинальная программная реализация описанного в литературе метода.
МГЭ позволяет решить самосогласованную задачу о нахождении поля в области, внешней по отношению к сложной поверхности. В данном случае рассеивающая поверхность представляла собой совокупность из N сфер радиуса a = 3 мм, распределённых случайным образом внутри куба со стороной 1 м. Каждая сфера создавалась из небольшого числа треугольных элементов. При генерации случайных координат центров обеспечивалось выполнение условия на непересечение сфер. Поскольку МГЭ обладает определенными ограничениями в части задания граничных условий на поверхности, то задача решалась в двух постановках:
- «импедансные сферы»: на поверхности каждой сферы задаются «классические» граничные условия, полученные линеаризацией уравнения адиабатического сжатия газа внутри нее [11]:
,
где p — локальное значение давления, vn — локальное значение нормальной колебательной скорости (по внешней нормали), P0 — постоянное давление, γ — постоянная адиабаты, δ'' — коэффициент внутренних потерь.
- «мягкие сферы»: граничное условие p = 0 позволяет получить контрольное значение уровня рассеяния.
Алгоритм настроен на вычисление обратного рассеяния на заданных частотах. Поскольку в группе пузырей хаотично образуются те или иные решетки, диаграмма направленности рассеянного поля может изменяться. Поэтому результаты усреднены по 3 случайным реализациям положений пузырей. В итоге, результаты расчета, полученные для различных концентраций, приведены на рис. 2. Вертикальными линиями показаны диапазоны значений 3-х реализаций для каждой кривой. Для сравнения на рис. 2 также построены линейные зависимости («имп.»/«мягк. лин.»).
Рис. 2. Сила цели 1 м3 (сила рассеяния) объема жидкости с пузырьками a = 3 мм, оцененная МГЭ: на резонансной частоте (f0 = 1087 Гц), вблизи резонанса (df = 100 Гц) и в рамках модели мягких сфер
Построенные величины являются силой цели 1 м3 водного объема с пузырьками, или силой (объемного) рассеяния. На графиках можно наблюдать два эффекта. Во-первых, рассеяние группы резонансных пузырьков имеет тенденцию к насыщению. На резонансе, для концентраций более 102 наблюдается перекрывание сечений рассеяния и, конечно, линейное суммирование индивидуальных сечений рассеяния, справедливое в Борновском приближении, перестает здесь работать. Стоит отметить, что при высоких концентрациях резонансная частота группы пузырьков будет отличаться от частоты одиночного пузырька, что также может влиять на возникновения эффекта насыщения. Во-вторых, уровень рассеяния на «мягких сферах», хоть и ниже резонансного рассеяния, но при больших концентрациях, наоборот, превышает свою линейную зависимость. Таким образом, из-за волновых эффектов решетка из мягких сфер становится эффективно более плотно заполненной.
Рассмотрим такую ситуацию, что в эксперименте была измерена интенсивность эхосигнала от сипа, соответствующая геометрической площади поперечного сечения этого объекта (забегая вперед, скажем, что именно такая ситуация и реализовалась в эксперименте, описанном ниже). Перед исследователем стоит задача интерпретировать результаты измерения. Опираясь на описанную теорию, он может принять две гипотезы:
- сип содержит фракцию резонансных пузырей в значительном количестве, и для концентрации таких пузырей можно получить оценку снизу. Более высокие концентрации приведут к той же интенсивности рассеянного сигнала из-за описанного выше насыщения;
- сип состоит из нерезонансных пузырей, т.е. их радиусы превосходят резонансный. В этом случае исследователю доступно оценить суммарную поперечную площадь всех пузырей.
Дополнительные измерения или другие наблюдения обычно позволяют разделить эти две гипотезы.
1.4. Алгоритм обработки сигналов для выделения эха от сипа
В данной работе рассматриваются результаты эксперимента, в котором в качестве источника звука использовался всенаправленный пьезокерамический излучатель, в качестве приемников — кабельная гидроакустическая антенна. Синхронизированные сигналы со всех гидрофонов поступают в компьютер.
Первым этапом обработки является формирование диаграммы направленности антенны. Для этого, следуя [22], вычисляется оконное Фурье-преобразование от сигнала по каждому гидрофону. Комплексные значения спектров умножаются на амплитудные и фазовые множители в зависимости от частоты, координаты гидрофона и направления фазирования. После этого комплексные данные по каналам складываются и выполняется обратное Фурье-преобразование. Результаты последовательности окном объединяются и принимаются меры для обеспечения плавности полученной в результате функции.
Далее сигнал по каждому направлению фазирования рассматривается независимо. В базовом варианте обработки, при излучении тональных импульсов выполняется фильтрация в полосе сигнала и вычисление огибающей с временем осреднения, равным половине длительности импульса. В случае применения линейных частотно-модулированных (ЛЧМ) сигналов выполняется корреляционная обработка — свертка с аналитически-заданным исходным сигналом [22].
Для более точной идентификации сипов, например, если по итогам базовой обработки возникает вопрос, действительно ли яркий объект на сонограмме является сипом или нет, применяется модифицированная версия метода межимпульсного вычитания, описанная ниже. Поскольку сип является потоком пузырьков, то ожидается, что тонкая структура его эхосигнала будет изменяться случайным образом во времени. Для импульсов, не идущих друг за другом, в элемент разрешения попадают различные пузыри, или те же пузыри, но смещенные неравномерным образом относительно друг друга в группе. Выполняется следующая специализированная обработка, нацеленная на то, чтобы подавить сигналы, которые являются коррелированными в смысле повторяемости в соседних циклах излучения.
Обозначим через — комплексный спектр, вычисленный в l-ом цикле измерения, в окне [tn, tn+Tw], считая за 0 момент очередного излучения импульса; индекс m определяет частоту. Задача найти такое преобразование предшествующего (или еще более отстающего) импульса, которое минимизирует остаточную энергию после его вычитания из текущего импульса:
, (5)
, (6)
где A, B, C — коэффициенты, ∆l — сдвиг между сравниваемыми циклами (здесь алгоритм опробовался с ∆l = 1, 2, 3), аргумент tn опускается, так как вычисления ведутся в каждом окне независимо. Суммирование в (6) ведется по тем индексам m, которые отвечают частотам fm внутри полосы сигнала.
Набор коэффициентов A, B, C позволяет адаптироваться к таким ситуациям, когда из-за нестабильности работы излучающей системы она может создать импульс другой амплитуды или в результате сбоя синхронизации сдвинется фаза записанного сигналa, а также, если медленные флуктуации среды изменят времена распространения сигналов для неподвижных объектов. Таким образом, эхо-сигнал, который от цикла к циклу усиливается, ослабляется или сдвигается по времени без изменения формы, будет подавлен операциями (5) и (6). Эхо-сигнал от сипа, за счет изменения своей формы, будет минимально подвержен действию этих операций. Коэффициенты A, B, C, минимизирующие (6), вычисляются методом наименьших квадратов. Окно Tw следует выбирать порядка 3–5 длительностей исходного импульса. На выходе описанной обработки получается огибающая модифицированного сигнала:
.
НАТУРНЫЙ ЭКСПЕРИМЕНТ
2.1. Общие сведения
В работе анализируются результаты натурного эксперимента, проведенного в 2021 г. на шельфе в северной части Черного моря, с использованием океанографической платформы. Объектом исследования в данном эксперименте являлся поток воздушных пузырьков, создаваемый компрессором, который поднимался от дна к поверхности. Номинальная производительность компрессора – 130 л/мин. Характеристики сипа (так будем называть искусственный поток) исследовались с помощью акустических сигналов в низком диапазоне частот (1–3 кГц). Эксперимент состоял из двух отдельных серий, первая (основная) была посвящена дистанционному зондированию сипа как акустическими, так и радиолокационными методами, вторая (вспомогательная) серия была посвящена исследованиям сипа с применением «близкодействующих» методов. На рис. 3 представлены схемы экспериментов основной и вспомогательных серий. В основной части эксперимента (рис. 3а) выход пузырьков производился с глубины 40 м на удалении 100 м от платформы.
Рис. 3. (а) — Схема натурного эксперимента — дистанционное зондирование: 1 — гидрофонная антенна, 2 — гидроакустический излучатель, 3 — компрессор, 4 — генерируемый сип, 5 — радар. (б) — Схема натурного эксперимента — близкодействующие методы: 6 — стереокамера, 7 — ADCP. (в) — Фото сипа, полученное на одну камеру стереопары
На вспомогательном этапе эксперимента, изображенном на рис. 3б, выход пузырькового потока был организован в непосредственной близости с платформой на глубине 25 м. Для измерения скорости течений в рассматриваемом эксперименте использовался ADCP "WorkHorse Monitor 1200 kHz RDI Teledyne", который размещался в приповерхностном слое, непосредственно над заглубленным концом шланга компрессора, и был ориентирован вертикально вниз (рис. 3б).
На рис. 4 представлены измерения вертикальной скорости пузырькового потока с помощью ADCP с размером ячейки 0.25 м. На графике белые области соответствуют некорректным данным, которые отбрасываются автоматически. Черным пунктиром обозначен интервал генерации сипа. Средняя скорость, измеренная ADCP, лежит в диапазоне 0.2–0.4 м/с, что соотносится с характерной скоростью всплытия отдельных пузырьков в реальных сипах для мелкого моря. Пиковые измеренные значения вертикальной скорости составляют порядка 0.7 м/с, такие значения скорости всплытия характерны для цепочек пузырьков и пузырьковых потоков [23].
Рис. 4. Измерение вертикальной скорости ADCP во время генерации сипа
Параллельно проводилась видеосъемка с использованием погружной синхронизированной стереопары, составленной из двух подводных видеокамер "GoPro". Стойка с камерами погружалась в воду на некотором удалении от сипа. По данным стреовидеосъемки с помощью библиотеки Open CV (https://opencv.org/) были определены характеристики пузырьков для выборки, состоящей из 150 штук.
Различимые на видео пузырьки имеют радиусы, превышающие ожидаемые средние размеры пузырьков в 2–3 мм, а значит, рабочие частоты гидролокатора лежали выше значений резонансных частот для наблюдаемых пузырьков. Но это не исключает возможность присутствия более мелких неоднородностей.
Зависимость вертикальной скорости пузырьков от радиуса для данной выборки приведена на рис. 5. Каждое значение на графике соответствует отдельному, отслеженному по кадрам пузырьку. Вертикальные скорости пузырьков, полученные с помощью стереосъемки, согласуются с данными, полученными ADCP: основная масса сосредоточена в диапазоне 0.3–0.4 м/с, пиковое значение составляет порядка 0.7 м/с.
Рис. 5. Зависимость вертикальной скорости от радиуса пузырька
В основной фазе эксперимента, параллельно с применением гидролокатора, был задействован когерентный радиолокатор кругового обзора, который был установлен на крыше платформы (рис. 3а). Подтверждена возможность обнаружения сипов, выходящих на поверхность, на радиолокационных изображениях, описанная в работе [4]. Пример радиолокационной картины с наблюдаемым сипом представлен на рис. 6.
Рис. 6. Радиолокационная картина выхода пузырьковой струи на поверхность
На радиолокационных изображениях морской поверхности во всех случаях генерации наблюдаются характерные сигнатуры проявления газового выхода над областью генерации, более подробно рассмотренные в статье [24]. Анализ полученных радиолокационных изображений позволил определить координаты сипа в приповерхностном слое в каждом эпизоде, которое хорошо совпадает с дистанцией, определяемой акустическими методами (о чем будет сказано ниже).
2.2. Акустические исследования
Размещение гидроакустической системы показано на рис. 3а. Лоцирующий гидроакустический сигнал создавался всенаправленным пьезокерамическим излучателем, установленным на глубине 14 м под платформой (глубина места 25 м). Рассеянный сигнал регистрировался приемной 32-х элементной гидрофонной антенной, удаленной от излучателя на 10 м. Антенна располагалась вертикально, с центром на глубине 6 м. Расстояние между приемными элементами антенны равно 20 см, что позволяло работать с заполненной апертурой до частоты ~ 3.7 кГц. Каждый датчик имеет ровный отклик в рабочем диапазоне частот 5–12000 Гц и чувствительность около 5 мВ/Па. Обеспечена разница чувствительности всех датчиков менее 3 дБ. Излучающая и приемная системы размещались в водной толще на заданных глубинах с помощью тросов с закрепленным балластом, который позволял снизить влияние течений и поверхностного волнения на положение приборов.
Гидрофоны пьезокерамического типа были снабжены предусилителями и объединены общим многожильным кабелем. По этому кабелю сигналы поступали на общий 32-канальный аналого-цифровой преобразователь (АЦП), расположенный в небольшой герметичной емкости на конце антенны под водой. АЦП с сопутствующим электронным блоком передавал данные по стандарту Ethernet по кабелю на поверхность. Такая схема позволяла снизить влияние электрических наводок, однако дальность стабильной передачи информации по Ethernet-кабелю составляет 50 м. В данном эксперименте увеличения дистанции не требовалось, но в случае такой необходимости в кабельной линии, работающей по такому стандарту, должны устанавливаться повторители сигнала.
Фазирование регистрируемых данных позволило разделить принимаемый сигнал по секторам шириной θ = 10°, как описано в разделе 1.4. Например, при синфазном сложении сигнала формировалась диаграмма направленности с осью, параллельной поверхности. В данной геометрии единичный импульсный объем имел форму тора, т.е. отсутствовало разрешение по азимуту.
Возбуждение акустического излучателя производилось сигналами:
- тональные сигналы на частотах 1500, 2000, … 3000 Гц, длительностью 3 мс каждый, следующие друг за другом с интервалом 200 мс и повторяющиеся в цикле по 1 с (промежуток времени, за который излучались импульсы на всех частотах);
- ЛЧМ 1500−2500 Гц (Δf = 1 кГц), длительность t = 100 мс (Δf/t = 104 1/с2), цикл 5 с.
Сигналы генерировались цифро-аналоговым преобразователем внешней звуковой карты и усиливались концертным усилителем "Cerwin-Vega CXA-10" номинальной мощностью 3 кВт. Для согласования выхода усилителя класса AB с емкостной нагрузкой использовался сильноточный дроссель, т.е. схемотехническое решение было таково, что образовывался последовательный резонансный контур: излучатель–дроссель–усилитель. Амплитуда излучаемых сигналов на 1 м составляла порядка 1 кПа на частоте 2 кГц.
РЕЗУЛЬТАТЫ АКУСТИЧЕСКОГО ЭКСПЕРИМЕНТА
3.1. Базовая обработка
Типовые спектры импульсов, генерируемых в тональном режиме, построены на рис. 7а. Как видно, наиболее эффективная генерация происходила на частотах 2000 и 2500 Гц. Это связано как с механическим резонансом излучателя, так и с резонансом образованного колебательного контура. Однако ширина спектра излученных импульсов соответствует заданной (кроме частоты 1000 Гц) и, таким образом, излучающая система не является излишне резонансной, т.е. на всех частотах спектр импульсов достаточно узкий, чтобы не происходило резонансного воздействия на большое количество фракций пузырей.
Рис. 7. Спектральные характеристики сигналов, зарегистрированных в эксперименте: (а) — прямой сигнал, (б) — рассеянный на сипе сигнал, (в) — ненормированные уровни рассеяния и (г) — пример формы импульса прямого сигнала на частоте 2000 Гц. Значения (а), (б) и (г) соответствуют уровням сигнала на элементах приемной антенны
При текущей геометрии, сектор, направленный горизонтально после выполнения фазирования, захватывал рассеянный сигнал части пузырькового потока высотой 17 м. Развертка сигнала по этому сектору построена на рис. 8. Использована форма представления быстрое–медленное время, когда вертикальная ось соответствует номеру импульса, горизонтальная ось соответствует времени внутри цикла. Слева направо можно видеть: прямой сигнал, отражения от поверхности, дна и опор платформы (сливающиеся по времени), реверберационный «хвост», образованный диффузным отражением от дна и поверхности под косыми углами, и позднее всех — отражение от сипа (ограничено пунктирными линиями). Что касается первых двух сигналов, несмотря на то, что приемная система является направленной и эти сигналы приходят с другого направления, они все равно проявляются на графике из-за того, что исходно обладают высокой интенсивностью.
Рис. 8. Временные развертки сигналов, принимаемых антенной, фазированной в направлении на сип: (а) — ЛЧМ-сигнал с применением корреляционной обработки. Белым пунктиром обозначены интервалы времени, которые содержали рассеянный сипом сигнал. (б) — Тональный сигнал 2000 Гц с применением фильтра, согласованного со спектром сигнала
Когда мы говорим про отражение от сипа, мы уверены в его правильной идентификации, потому что эксперимент был построен так, что поток воздуха включался и отключался в определенные заданные моменты времени. А именно, на рис. 8а можно видеть появление сигнала в районе 150 импульса, а на рис. 8б — прекращение (700 импульс). Для исследовательских целей будем пользоваться такой аргументацией, очевидно, что для природных сипов она не подойдет, и другие признаки сипа будем обсуждать в следующих разделах.
Время, на котором проявляется рассеянный сигнал от сипа, соответствует дистанции 100 м, что совпадает с радиолокационными измерениями и схемой эксперимента.
На рис. 7б построены спектры сигналов от сипа для всех 5 компонент тональной посылки. В действительности, характеристики рассеяния можно анализировать только в тех случаях, где уровень рассеянного сигнала превосходит пунктирную линию как порог. Для таких точек на рис. 7в построен общий спектр рассеяния, составленный по частям из сигналов разных частот и вычисленный как разность между кривыми на рис. 7б и 7а (без компенсации расходимости поля). График на рис. 7в показывает, что в потоке отсутствуют какие-либо доминирующие резонансные частоты, т.е. пузыри распределены по радиусам достаточно равномерно.
Для оценки концентрации газа в сипе и подтверждения достоверности измерений необходимо выполнить правильное нормирование рассеянного сигнала. Найдем силу рассеяния в пузырьковом потоке, выражаемую из формулы [18]:
, (7)
здесь ps — амплитуда акустического давления, регистрируемая приемной системой в сигнале, рассеянном на сипе, pi — амплитуда сферической волны, расходящейся от излучателя (условная амплитуда акустического давления на расстоянии 1 м от него), r — расстояние до объема, содержащего неоднородности, величина имеет размерность 1/м и соответствующая ей логарифмическая величина — сила объемного рассеяния (сила цели единичного объема). Реверберирующий объем V можно оценить так:
, (8)
где rseep – радиус цилиндрического объема, содержащего сип.
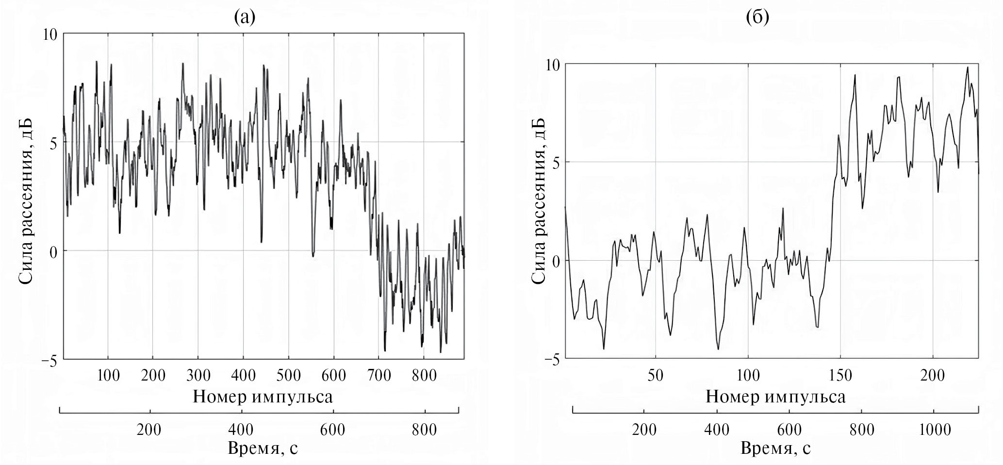
Объемная сила рассеяния построена на рис. 9 в виде зависимости от времени. График еще раз показывает, что для той частоты, где уровень сигнала был наиболее высокий, соотношение сигнал-шум проведенных измерений составило 6 дБ.
Рис. 9. Сила рассеяния пузырькового столба от времени (номера импульса), лоцирующий сигнал: (а) — тональный сигнал f = 2000 Гц, (б) — ЛЧМ-сигнал f = 1500−2500 Гц
Среднее значение силы рассеяния сипа составляет 5 дБ. Исходя из теории, развитой в разделе 1.3: если принять гипотезу 1 — рассеяние происходит на резонансных пузырьках и в режиме насыщения. Тогда концентрация резонансных пузырьков (1.5–3 мм) должна превосходить 50 м–3. Альтернативная гипотеза 2 — такую же силу рассеяния мог создать, например, поток пузырьков с радиусами 20 мм в концентрации порядка 8×103 м–3. Тогда бы объемная доля газа в среде составила 25%. В условиях данного эксперимента, развитые методы пока не позволяют получить более точное распределение.
3.2. Обработка модифицированным методом межимпульсного вычитания
Из графиков на рис. 8 можно заключить, что эхосигнал от сипа является нестабильным. Согласно [15] будет полезным исследование корреляционных свойств эхосигнала. Из записей акустических сигналов, подвергнутых процедуре фазирования и полосовой фильтрации, выбирались фрагменты длительностью 40 мс, идущие последовательно и занимающие одно и то же положение по времени в каждом цикле. Результаты вычисления значений корреляционной функции попарно между этими фрагментами представлены на рис. 10. Здесь и далее для упрощения рассматривается только тональный тип сигнала. Верхний ряд графиков демонстрирует то, что излучающая система воспроизводила в каждом цикле исходный сигнал с высокой степенью точности. Коэффициент корреляции эхосигналов от сипа, полученных в различные моменты времени, варьируется в пределах от 0.4 до 0.6. Другими словами рассеиватель изменяется уже по прошествии 1 с.
Рис. 10. Корреляционная функция сигналов, полученных в 1-ом цикле и в последующих циклах. Первый столбец — автокорреляции. (а) — Прямые сигналы, (б) — эхосигналы от сипа. Частота сигнала 2.5 кГц, частота дискретизации 24 кГц
Опираясь на этот факт, можно заключить, что будет полезным применение модифицированного метода межимпульсного вычитания, описанного в разделе 1.4. На самом деле этот метод рассчитан на то, чтобы удалять из сигнала компоненту, коррелированную с предыдущим циклом. Пример результата такой обработки представлен на рис. 11а. Пунктирная кривая получена методом базовой обработки, аналогично рис. 5, и фактически соответствует одной строчке пикселей из того рисунка. Сплошная кривая получена по формулам (13)–(15) с длиной окна Tw = 12 мс и значением запаздывания ∆l = 2 цикла.
Рис. 11. Сравнение результатов базовой обработки и описанного метода межимпульсного вычитания, частота 2500 Гц, (а) — уровень фазированного сигнала, (б) — уровень фазированного сигнала, скорректированный по дальности
Алгоритм более чем на 10 дБ ослабил прямой сигнал (обозначено 1), на 6 дБ сторонние отражения и практически не затронул искомый сигнал от сипа (2 — начало временного отрезка, содержащего сигнал, рассеянный сигнал). На рис. 11б построен тот же график, но с применением типичной для гидролокаторов поправки уровня:
,
где аргумент логарифма доставляется в метрах и rnear = 10 м. С такой поправкой пик от далекого объекта еще более заметен. В итоге, на основании того, что сигнал должен быть одновременно интенсивным и слабокоррелированым, можно предложить критерий для выделения сипов на сонограммах.
Рассмотрим аналог круговой диаграммы, которая получается при фазировании приемной антенны по всем углам от 0 до 180° в вертикальной плоскости (см. рис. 12). Использована введенная выше корректировка по дальности. На графике можно выделить следующие характерные особенности: приход прямого сигнала, отражение от поверхности, диффузное рассеяния на поверхности и на неровностях дна, изучаемый сип и шумовая дорожка. Сип можно увидеть в 3 единицах углового разрешения, т.е. ±10° от горизонта. Межипмульсное вычитание подчеркивает сип и поверхностную реверберацию — нестационарные процессы в море.
Рис. 12. Сонограмма в зависимости от вертикального угла, усредненная по 8 импульсам, на частоте 2500 Гц с применением метода межимпульсного вычитания. Уровни принимаемого сигнала в дБ относительно условной единицы с корректировкой по дальности соответствуют уровням контрастности
Характерной особенностью такого рода сонограмм является также шум моря и дальнего судоходства, который принимается под углами, близкими к оси канала (шумовая дорожка). И когда порог отрисовки активного гидролокатора таков, что на нем отображаются шумы, они усиливаются при больших значениях по шкале времени (или дальности).
Отношение сигнал-шум в рассмотренном эксперименте, при выбранной конфигурации гидроакустического оборудования и параметрах работы излучающего тракта, при базовой обработке составило порядка 10 дБ, при использовании межимпульсного вычитания — 15 дБ. В эксперименте излучающий тракт не использовался на предельной мощности из-за небольшой дистанции до пузырькового столба. Аппаратура допускала усиление сигнала более чем в 3 раза по интенсивности, т.е. на 10 дБ. Учитывая это, можно провести оценку дальности обнаружения неоднородностей, имеющих силу рассеяния, эквивалентную рассматриваемому имитационному сипу, и она составит порядка 700 м. Использование одновременно вертикальной и горизонтальной фазированных антенн позволит получать пеленга и дальности до сипов в радиусе 700 м от судна. Таким образом, решение задачи первичного обнаружения газовых факелов будет занимать значительно меньше по времени, чем при полигонной съемке высокочастотными гидролокаторами.
ЗАКЛЮЧЕНИЕ
В данной работе проведено численное моделирование рассеяния акустических волн на группе пузырьков с помощью метода граничных элементов. В результате можно сделать вывод о существовании эффекта насыщения силы цели объема, содержащего рассеиватели, при увеличении их концентрации. В рамках натурного эксперимента опробована методика лоцирования газовых факелов НЧ акустическими сигналами в случае, когда рабочие частоты соответствуют резонансным частотам колебаний пузырьков, которые имеют неустановившийся характер. Предложен модифицированный метод межимпульсного вычитания, позволяющий выделить рассеяный сигнал от объектов, которые носят нестационарный характер (волнение, пузырьковая струя). Использованная экспериментальная аппаратура является перспективной схемой первичного обнаружителя газовых сипов.
Авторы выражают искреннюю благодарность сотрудникам ИПФ РАН: А. В. Купаеву и О. А. Даниличевой за содействие в проведении экспериментальных исследований, а также студенту ННГУ А. В. Витальскому за обработку видеоизображений.
Постановка и проведение модельного эксперимента, теоретическое моделирование (разд. 1.1–1.3, 2.1) выполнено в рамках госзадания ННГУ (тема № 0729-2020-0037). Акустические исследования (разд. 2.2, 3) выполнены за счет гранта Российского научного фонда № 20-77-10081, https://rscf.ru/project/20-77-10081/.
Акустическое оборудование предоставлено и разработка новых методов обработки выполнена (разд. 1.4) в рамках Программы фундаментальных исследований Государственных академий наук, проект № FFUF-2024-0040.
Об авторах
Д. А. Костеев
Институт прикладной физики им. А.В. Гапонова-Грехова РАН; Нижегородский государственный университет им. Н.И. Лобачевского
Автор, ответственный за переписку.
Email: dkosteev@ipfran.ru
Россия, Нижний Новгород; Нижний Новгород
Н. А. Богатов
Институт прикладной физики им. А.В. Гапонова-Грехова РАН
Email: dkosteev@ipfran.ru
Россия, Нижний Новгород
А. В. Ермошкин
Институт прикладной физики им. А.В. Гапонова-Грехова РАН; Нижегородский государственный университет им. Н.И. Лобачевского
Email: dkosteev@ipfran.ru
Россия, Нижний Новгород; Нижний Новгород
И. А. Капустин
Институт прикладной физики им. А.В. Гапонова-Грехова РАН; Нижегородский государственный университет им. Н.И. Лобачевского
Email: dkosteev@ipfran.ru
Россия, Нижний Новгород; Нижний Новгород
А. А. Мольков
Институт прикладной физики им. А.В. Гапонова-Грехова РАН; Нижегородский государственный университет им. Н.И. Лобачевского
Email: dkosteev@ipfran.ru
Россия, Нижний Новгород; Нижний Новгород
Д. Д. Разумов
Институт прикладной физики им. А.В. Гапонова-Грехова РАН
Email: dkosteev@ipfran.ru
Россия, Нижний Новгород
М. Б. Салин
Институт прикладной физики им. А.В. Гапонова-Грехова РАН
Email: mikesalin@ipfran.ru
Россия, Нижний Новгород
Список литературы
- Бондур В. Г., Кузнецова Т. В. Исследования естественных нефте- и газопроявлений на морской поверхности по космическим изображениям // Аэрокосмический мониторинг объектов нефтегазового комплекса, Научный мир, 2012. С. 272.
- Shakhova N., Semiletov I. Methane release and coastal environment in the East Siberian Arctic shelf // J. Marine Systems. 2007. V. 66. P. 227–243. https:// doi.org/10.1016/J.JMARSYS.2006.06.006
- James R. H., Bousquet P., Bussmann I., Haeckel M., Kipfer R., Leifer I., Niemann H., Ostrovsky I., Piskozub J., Rehder G., Treude T., Vielstadte L., Greinert J. Effects of climate change on methane emissions from seafloor sediments in the Arctic Ocean: A review // Limnology and Oceanography. 2016. V. 61(S1). P. S283–S299. https://doi.org/10.1002/lno.10307
- Ermoshkin A., Molkov A. High-Resolution Radar Sensing Sea Surface States During AMK-82 Cruise // IEEE Journal of selected topics in applied earth observations and remote sensing. 2022. V. 15. P. 2660−2666. https://doi.org/10.1109/JSTARS.2022.3161119
- Shakova N., Semiletov I., Serienko V., Lobkovsky L. et al. The East Siberian Arctic Shelf: towards further assessment of permafrost-related methane fluxes and role of sea ice // Philosophical Transactions of The Royal Society A Mathematical Physical and Engineering Sciences. 2015. V. 373. № 2052. https://doi.org/10.1098/rsta.2014.0451
- Weidner E., Weber T. C., Mayer L., Jakobssn M., Chernykh D., Semiletov I. A wideband acoustic method for direct assessment of bubble-mediated methane flux // Continental Shelf Research, 2019. V. 173. P. 104. https://doi.org/10.1016/j.csr.2018.12.005
- Greinert J., Nutzel B. Hydroacoustic experiments to establish a method for the determination of methane bubble fluxes at cold seeps // Geo-Marine Letters. 2004. V. 24. № 2. P. 75−84. https://doi.org/10.1007/s00367-003-0165-7
- Li J., White P. R., Bull J. M., Leighton T. G., Roche B., Davis J. W. Passive acoustic localization of undersea gas seeps using beamforming. // Int. J. of Greenhouse Gas Control. 2021. V. 108. Article Number 103316.
- Prosperetti A., Lu N. Q., Kim H. S. Active and passive acoustic behavior of bubble clouds at the ocean’s surface // J. Acoust. Soc. Am. 1993. V. 93. № 6. P. 3117–3127.
- Razaz M., Iorio D. D., Wang B., Daneshgar S., Thurnherr A. M. Variability of a natural hydrocarbon seep and its connection to the ocean surface // Scientific Reports. 2020. V. 10. Article No. 12654. https://doi.org/10.1038/s41598-020-68807-4
- Муякшин С. И., Заутер Э. Дистанционный акустический метод определения производительности подводного источника газовых пузырьков // Океанология. 2010. Т. 50. № 6. С. 1045–1051.
- Бреховских Л. М., Лысанов Ю. П. Теоретические основы акустики океана. Л.: Гидрометиздат, 1982.
- Бритенков А. К., Норкин М. С., Захаров С. Б., Травин Р. В., Стуленков А. В. Сравнительные исследования вибромеханических характеристик компактных гидроакустических преобразователей продольно-изгибного типа со сложной формой излучающей оболочки // Акуст. журн. 2023. Т. 69. № 6. С. 808−816.
- Salin M. B., Suvorov A. S. Application of energy relations at modeling scattering by FEM on resonant frequencies // Proc. Meetings on Acoust. 2013. V. 17. Article No. 070081. https://doi.org/10.1121/1.4790418
- Вьюгин П. Н., Грязнова И. Ю., Курин В. В., Кустов Л. М. Экспериментальное исследование прямого и обратного рассеяния акустических волн на тонком пузырьковом слое // Акуст. журн. 2006. Т. 52. № 5. С. 636−640.
- Акуличев В. А., Буланов В. А. Акустические исследования мелкомасштабных неоднородностей в морской среде. Владивосток: ТОИ ДВО РАН, 2017.
- Буланов В. А., Соседко Е. В. Особенности нестационарного и нелинейного рассеяния звука на пузырьках и возможности их спектроскопии // Акуст. журн. 2022. Т. 68. № 4. С. 373−384. https://doi.org/10.31857/S0320791922040025
- Урик Р. Д. Основы гидроакустики (пер. с англ. Гусева Н. М.). Л.: Судостроение, 1978.
- Bjorno L. Chapter 5 − Scattering of Sound. In Applied Underwater Acoustics. Neighbors T.H.; Bradley D., Eds. Elsevier: Amsterdam, The Netherlands, 2017. P. 302.
- Шендеров Е. Л. Излучение и рассеяние звука. Л.: Судостроение, 1989.
- Kirkup S. The Boundary Element Method in Acoustics. Integrated Sound Software, 1998/2007. (http://www.cad-cam-cae.com/blog/Kirkup98TBEMIAW.htm)
- Салин Б. М., Салин М. Б. Методы измерения бистатических характеристик рассеяния звука дном и поверхностью // Акуст. журн. 2016. Т. 62. № 5. С. 573−581. https://doi.org/10.7868/S0320791916050166
- Бялко А. В. Ламинарные цепочки пузырьков: логарифмически точное решение // Докл. Акад. наук. 2011. Т. 436. № 6. С. 747−752.
- Ermoshkin A. V., Kapustin I. A., Molkov A. A., Semiletov I. P. Manifestation of gas seepage from bottom sediments on thesea surface: theoretical model and experimental observations // Remote Sensing. 2024. V. 16. № 2. Art. No. 408. https://doi.org/10.3390/rs16020408
Дополнительные файлы















