Estimation of Coordinates of Mobile Marine Robots Using Vector-Scalar Antennas Permanently Installed in a Waveguide
- Authors: Glebova G.M.1, Zhbankov G.A.1, Kuznetsov G.N.2
 - 
							Affiliations: 
							
- Southern Federal University
 - A.M. Prokhorov General Physics Institute, Russian Academy of Sciences
 
 - Issue: Vol 70, No 2 (2024)
 - Pages: 206-216
 - Section: АКУСТИКА ОКЕАНА. ГИДРОАКУСТИКА
 - URL: https://journals.rcsi.science/0320-7919/article/view/261551
 - DOI: https://doi.org/10.31857/S0320791924020085
 - EDN: https://elibrary.ru/YNJADV
 - ID: 261551
 
Cite item
Full Text
Abstract
An experimental verification of the possibility of estimating the coordinates of a mobile marine robot using small-sized vector-scalar antennas spaced apart in space, a broadband emitter placed on board the robot, and a remote polyharmonic permanently installed emitter – a “beacon”, which is used to eliminate bearing shifts caused by rotation receiving antennas under the action of underwater currents. It is shown that the use of technical means installed in the waveguide makes it possible to solve the triangulation problem and determine the horizontal coordinates of the robot, while taking into account the ray structure provides an estimate of the depth.
Full Text
ВВЕДЕНИЕ
Последние десятилетия в различных странах ведутся интенсивные исследования и разработки вариантов построения автономных обитаемых и необитаемых подводных аппаратов, в частности, морских роботов (МР), предназначенных для выполнения самых разных работ. К ним относятся, например, роботы, выполняющие технологический осмотр, а при необходимости – ремонт подводных трубопроводов, гидротехнических сооружений, оснований мостов и т. д. [1]. Одна из актуальных задач – поиск и обследование затонувших объектов [1, 2]. Не менее важной представляется задача очистки и обеспечение безопасности фарватеров и шельфовой зоны, в том числе поиск и ликвидация мин и затонувших химических отходов и боеприпасов [3, 4]. Решение поставленных задач может успешно выполняться только при условии, что координаты расположения и перемещения МР известны и контролируются во времени с достаточно высокой точностью. Но, как известно, это самостоятельная и не простая задача, требующая применения, в том числе акустических средств, выполняющих подводное наблюдение. В частности, в [5] рекомендуется применять для оценки координат пассивные и активные гидроакустические системы. Однако эффективность применения пассивных систем не велика из-за низких уровней шумности малогабаритных МР, а активных методов – из-за небольшой отражательной способности и появления многочисленных “ложников”, если МР работают вблизи дна или в зоне обследуемых объектов. В такой ситуации может представлять интерес вариант оценки координат МР, выполняющих при движении свои стандартные функции, но одновременно излучающих широкополосные или полигармонические сигналы с использованием установленных на борту малогабаритных излучателей. Это могут быть, например, импульсные сигналы, подобные сигналам связи или сигналам подводных акустических маяков (АМ) [6, 7].
Если в зоне выполнения работ с использованием МР или АНПА установить несколько разнесенных в пространстве автономных или неавтономных приемных систем, то групповая обработка принятых искусственных звуковых сигналов позволит определить координаты перемещения МР в каждый момент времени и, в случае необходимости, построить траекторию движения. Как известно, это одна из сложных задач гидроакустики.
МЕТОДЫ ОЦЕНКИ КООРДИНАТ И УСЛОВИЯ ЭКСПЕРИМЕНТОВ
Классический метод решения такой задачи – выполнение согласованной фильтрации, основанной на использовании адекватных модовой или лучевой моделей передаточной функции волновода (ПФВ) [8–10]. В этом случае с использованием ПФВ одновременно выполняется обнаружение и оценка координат – пеленга, дальности и глубины. Но для построения модели ПФВ требуется детальная информация о свойствах грунта, рельефе придонной зоны волновода, а для средних и высоких частот – зависимость от расстояния вертикального распределения скорости звука (ВРСЗ). Как правило, такая информация или отсутствует, или ее недостаточно. Как следствие, необходимо искать методы, более простые и устойчивые к вариации свойств среды – это особенно актуально для МР, которые могут работать в произвольно выбранных районах.
Один из таких методов позволяет оценить дальность и глубину источника с использованием уравнения, позволяющего рассчитать зависимость от времени задержки между прямым и отраженным от свободной поверхности лучами. При такой обработке акустическая калибровка волновода и оценка характеристик грунта не требуются, что упрощает задачу. Но в этом случае для оценки двух неизвестных – дальности и глубины – требуется, как минимум, два независимых уравнения, связывающих оцениваемые параметры. В [11] такая задача решена с применением обработки, обеспечивающей независимую оценку дальности до источника по заданному пеленгу. В [12] для независимой оценки расстояния используется голографическая обработка. Это позволило замкнуть обратную задачу и с использованием измеренной задержки между лучами определить глубину источника. Как следствие, удалось [12] рассчитать сложную и непрерывную траекторию движения имитатора шума, включая зоны с циркуляцией.
В [13] для трехмерной оценки координат рекомендуется предварительно выполнить пеленгование движущегося источника разнесенными в пространстве антеннами, после чего по двум–трем пеленгам с использованием триангуляции оценить его координаты в горизонтальной плоскости, а затем, применяя лучевую модель, рассчитать глубину источника. Это позволяет при известных координатах антенн получить данные о всех географических координатах объекта наблюдения (робота).
Рекомендации, предложенные в [13], в настоящей статье существенно доработаны и проверены экспериментально в одном из районов Северного ледовитого океана.
- Выполнена векторно-скалярная обработка сигналов, что, несмотря на малый диаметр применяемых антенн (10 см), позволило получить высокую точность и однозначность пеленгования даже на частотах, для которых длина волны больше диаметра антенны [14].
 - Для отработки технологии оценки глубины движущегося источника выполнена предварительная оценка координат источника шума в контролируемых (известных) условиях с применением стационарного излучателя – “маяка”. Одновременно этот маяк с известными координатами использован для устранения возможных смещений пеленгов, которые возникают под действием подводных течений [15].
 - Для повышения шумности (акустической “контрастности”) робота на его корпусе был установлен малогабаритный автономный источник широкополосных сигналов.
 - В соответствии с разработанной методикой сигналы от “маяка” и излучателя, установленного на роботе, принимались и регистрировались в цифровом виде тремя установленными в районе работ разнесенными в пространстве автономными модулями с приемными многоканальными цилиндрическими антеннами, установленными стационарно на заданных (известных) глубинах.
 
После эксперимента модули извлекались из воды, сигналы, записанные в цифровой памяти, вводились в компьютер для дальнейшей обработки.
Географические координаты каждого приемного модуля и импульсного излучателя (“маяка”) после морской постановки определялись по приемникам GPS. Движение носителя излучателя (МР) производилось по прямолинейным галсам. Глубины МР и приемных антенн регистрировались датчиками глубины.
В итоге, задача сводилась к обнаружению и получению последовательно трех пеленгов на маяк и одновременно на движущийся источник, вычислению координат источника в горизонтальной плоскости и далее – после определения расстояний между исследуемым источником и приемными модулями – оценки глубины движущегося источника по акустическим сигналам, принятым каждой антенной.
ХАРАКТЕРИСТИКИ ПРИЕМНЫХ АНТЕНН
В экспериментах использованы три идентичные автономные приемные системы, включающие 48-канальные антенны, аналого-цифровые усилительные блоки и цифровые системы регистрации сигналов от приемников антенны, а также датчиков глубины установки, температуры воды и ориентации антенны в вертикальной плоскости. Каждая антенна включает две звукопрозрачные подрешетки (рис. 1): цилиндрической антенны с диаметром 0.1 м и высотой 0.6 м, включающей 7 колец по 6 гидрофонов (номера 7–48) и линейной антенны из 6 гидрофонов (номера 1–6) с такой же длиной. Оптимальный рабочий частотный диапазон приемной антенны от 0.7 до 7 кГц. Особенностью таких антенн является возможность в зависимости от способа суммирования и накопления мощности сигналов от соседних гидрофонов выполнять скалярную, векторно-скалярную или “потоковую” обработку.
Рис. 1. (а) – Объемная геометрическая схема цилиндрической ВСА, (б) – схема формирования векторных приемников в виде градиентов давления в горизонтальной плоскости и (в) – схема установки трех разнесенных в пространстве векторно-скалярных антенн (ВСА-1, ВСА-2, ВСА-3), акустического маяка (АМ) и робота (МР) в горизонтальной плоскости.
Способ формирования векторных приемников показан на примере одного горизонтального кольца (рис. 1б). В вертикальной плоскости векторные приемники формируются аналогичным образом: из соседних скалярных элементов отдельно для каждой пары гидрофонов и для каждой вертикальной нити [14]. В сконструированной таким образом векторно-скалярной антенне (ВСА) общее число приемных каналов равно 132. Из них 48 – исходные скалярные приемники, образующие скалярную антенну, 42 – векторные приемники, оси которых расположены в горизонтальной плоскости, и 42 векторных приемника, оси которых расположены в вертикальной плоскости.
Схема морской постановки в месте проведения работ приемных антенн и стационарного излучателя импульсных сигналов (“маяка”) представлена на рис. 1в. Отметим еще раз, что сигналы “маяка” использовались как для отработки алгоритма и программного обеспечения в контролируемых условиях, так и для проверки точности оценки глубины излучателя при заданном (известном) расстоянии между излучателем и ВСА. Сигналы от “маяка” также необходимы для определения пеленгов на движущийся источник в географической системе координат (ось у направлена на север, ось х – на восток). Причина в том, что приемные модули подвешивались на фале и в процессе длительного эксперимента вращались вокруг вертикальной оси. Для устранения связанных с вращением ВСА смещений непрерывно регистрировался пеленг на стационарный излучатель “маяк”. Поэтому сигналы широкополосного излучателя “маяк” (рис. 2) включены в общую схему обработки в качестве опорных для учета при пеленговании движущегося робота.
Рис. 2. (а) – Осциллограмма и (б) – спектр сигнала “маяка” на первом канале приемного модуля ВСА-2 после низкочастотной фильтрации, а также (в) – оценки по акустическим сигналам направлений на “маяк” антеннами ВСА-1, ВСА-2 и ВСА-3.
Направление на движущийся источник сигналов в системе координат, совмещенной с географическими координатами, рассчитывалось как разность между направлением на “маяк”, местоположение которого при проведении эксперимента известно, и найденным в собственной системе координат направлением на робота. Так как координаты маяка и антенн известны, то определялись и координаты робота.
На рис. 2 изображены временная реализация опорного сигала (рис. 2а) и его спектр на одиночном приемнике (рис. 2б). На рис. 2в представлены оценки направления на “маяк” приемными антеннами ВСА-1, 2 и 3 в зависимости от времени наблюдения. Видно, что в принятых сигналах на фоне помех отчетливо выделяется ЛЧМ-сигнал “маяка” в полосе частот 6.0–6.5 кГц длительностью 30 мс, с интервалом между импульсами 0.9 с.
Оценки направлений на “маяк” и движущийся источник выполнены независимо в собственных системах координат каждой из трех приемных систем. Это позволяет для каждого модуля отдельно установить наличие вращательного движения модулей вокруг вертикальной оси и учитывать его при пеленговании движущегося источника. Видно, что все модули подвержены вращению, однако характер этих процессов различен, возможно, из-за различия подводных течений в разных точках постановки или некоторого различия схемы подвески и амортизации антенн. Модуль ВСА-1 и по большей части ВСА-3 в процессе работы в период с 08:20 по 10:00 монотонно, с замедлением вращались вокруг своей оси. Далее вращение прекращалось. Вращение модуля ВСА-2 имеет скорее хаотический характер с достаточно большим разбросом.
МОДЕЛИ СИГНАЛОВ И АЛГОРИТМЫ ОБРАБОТКИ
Сигналы, принимаемые ВСА, состоящей из M векторно-скалярных модулей, представим в виде вектора-строки:
(1)
где P, Vx, Vy, Vz – векторы размерностью M, компоненты которых соответствуют сигналам, принимаемым ВСА. Для звукового давления это P = (P1, P2, …, PМ). Для Vi – это сигналы, пропорциональные соответствующей проекции колебательной скорости, выраженные в эквивалентных единицах давления плоской звуковой волны путем домножения значений колебательной скорости на волновое сопротивление среды [14].
Будем считать, что измеряемые сигналы представляют собой широкополосные стационарные случайные процессы, распределенные по нормальному закону. Как известно, для гауссовых процессов с нулевым математическим ожиданием статистика измерений полностью определяется матрицей ковариаций K = <UU*>, имеющей блочный вид и размерность 4M × 4M:
(2)
Здесь символ “*” означает эрмитово сопряжение. Каждый из четырех диагональных блоков этой матрицы описывает ковариационные зависимости между одноименными компонентами ВСА, а недиагональные блоки – их взаимную ковариацию. Размерность матрицы равна М = 133, а размерность отдельных диагональных блоков определяется числом соответствующих скалярных и векторных приемных каналов в приемной антенне.
Для оценки направления на источник рассчитывался пространственный спектр известным методом Бартлетта [16]
(3)
где B(θ) – сканирующий вектор, компоненты которого обеспечивают когерентное сложение сигнала, представляющего собой плоскую волну, – оценка ковариационной матрицы принимаемых сигналов, полученная на последовательности реализаций конечной длины, когда наблюдение можно считать квазистационарным.
В данной работе сравнивались три метода обработки. Стандартный метод обработки применялся для скалярной цилиндрической приемной антенны – регистрировались сигналы только от приемников давления (метод P). В данном случае матрица ковариаций имеет вид , а сканирующий вектор определяется как
(4)
В векторно-скалярном методе обработки (методе PV) по аналогии с традиционно используемым подходом для скалярных антенн блочная матрица ковариаций для векторно-скалярной приемной антенны, состоящей из M векторно-скалярных модулей, строится в виде , где вектор U определяется соотношением (1) и имеет размерность 4M × 4M. В этом случае сканирующие вектора задаются в виде
(5)
Рассмотрен также метод, который использует только компоненты, построенные по потоку акустического поля (метод W). Матрица ковариаций преобразуется таким образом, что в ней присутствуют только компоненты потока (r = х, у, z):
(6)
Символ “” обозначает прямую сумму квадратных матриц. Пространственный спектр для данного подхода рассчитывался как
(7)
Блок-схема алгоритма обработки входных сигналов представлена на рис. 3. На рисунке видно, что все три способа обработки выполняются по одним и тем же временным реализациям сигналов, принятых векторно-скалярной антенной.
Рис. 3. Блок-схема алгоритмов обработки входных сигналов тремя методами.
ОЦЕНКА КООРДИНАТ ДВИЖУЩЕГОСЯ РОБОТА
Предварительная оценка глубины стационарного излучателя “Маяк”
Как отмечалось выше, на первом этапе эксперимента проверялась точность метода оценки глубины. Причем проверка производилась путем перебора только по глубине, поскольку расстояние между излучателем “маяк” и ВСА-2 было известно по данным высокоточного позиционирования с использованием GPS. Для обработки использовались сигналы “маяка”, который кроме ЛЧМ-сигнала через каждые 5 с излучал полигармонический сигнал длительностью 0.03 с (рис. 4а), состоящий из 10 гармоник (рис. 4б), в той же полосе частот (6013, 6103, 6229, 6311, 6397, 6475 Гц и др.). Его обработка позволила при известной дальности (1140 м) определить глубину излучателя – 32 м, что практически совпадает с истинной глубиной постановки излучателя “маяка” (30 м). Эта глубина соответствует первому максимуму автокорреляционной функции на 24 тиках (рис. 4в).
Рис. 4. (а) – Реализация, (б) – спектр и (в) – автокорреляционная функция полигармонического сигнала.
При оценке глубины использовалась информация о вертикальном распределении скорости звука (ВРСЗ) и лучевой структуре звуковых сигналов в районе работ (рис. 5). На рис. 5 хорошо видно, что при проведении экспериментов в зимних условиях наблюдается ярко выраженный приповерхностный канал. Донными отражениями при малых глубинах приема и излучения можно пренебречь, что упрощает оценку глубины и АМ, и МР.
Рис. 5. (а) – Зависимость ВРСЗ от глубины в месте проведения экспериментальных работ и (б) – пример лучевой структуры сигнала.
Оценка координат излучателя движущегося робота
При регистрации сигналов от движущегося робота через заданные промежутки времени всеми антеннами принимаются широкополосные сигналы. На рис. 6 представлены выборочные осциллограммы на двух временных интервалах (рис. 6а, 6в, 6д) и спектры сигналов (рис. 6б, 6г, 6е) на трех приемных модулях.
Рис. 6. Осциллограммы сигналов в полосе от 500 до 5000 Гц и их спектры на первом приемном элементе для антенн (а), (б) – ВСА-1, (в), (г) – ВСА-2 и (д), (е) – ВСА-3.
На рис. 7 представлены пространственные спектры, рассчитанные методом Бартлетта, при суммарном воздействии окружающих помех и сигналов от “маяка” или движущегося МР. Пространственные спектры нормируются на максимальное значение выходного спектра для каждого из методов обработки и приведены в географической системе координат антенны с использованием оценки пеленга на “маяк” (формулы (3)–(7)).
Рис. 7. Примеры оценки направлений на источники сигналов приемными модулями (а), (б) – ВСА-1, (в), (г) – ВСА-2, (д), (е) – ВСА-3: (а), (в), (д) – направления на “маяк” и (б), (г), (е) – на источник МР.
Из анализа пространственных спектров видно, что метод, работающий только с компонентами потока акустического поля (метод W), позволяет добиться наименьшей ширины главного лепестка, соответствующего направлению на движущийся источник, и наибольшего превышения уровня главного лепестка над уровнем бокового фона. Кроме того, этот метод, в отличие от методов, работающих только со скалярной компонентой поля (метод P) или работающим со всеми скалярными и векторными компонентами (метод PV), совсем не имеет бокового поля и даже слабых лепестков, которые могут быть классифицированы как ложные цели. Как следствие, в исследуемые моменты наблюдения за роботом обеспечивается однозначность пеленгования и целеуказания, что существенно упрощает идентификацию и оценку координат источника. Видно также, что скалярные антенны обладают меньшей направленностью (рис. 7б, 7г, 7е).
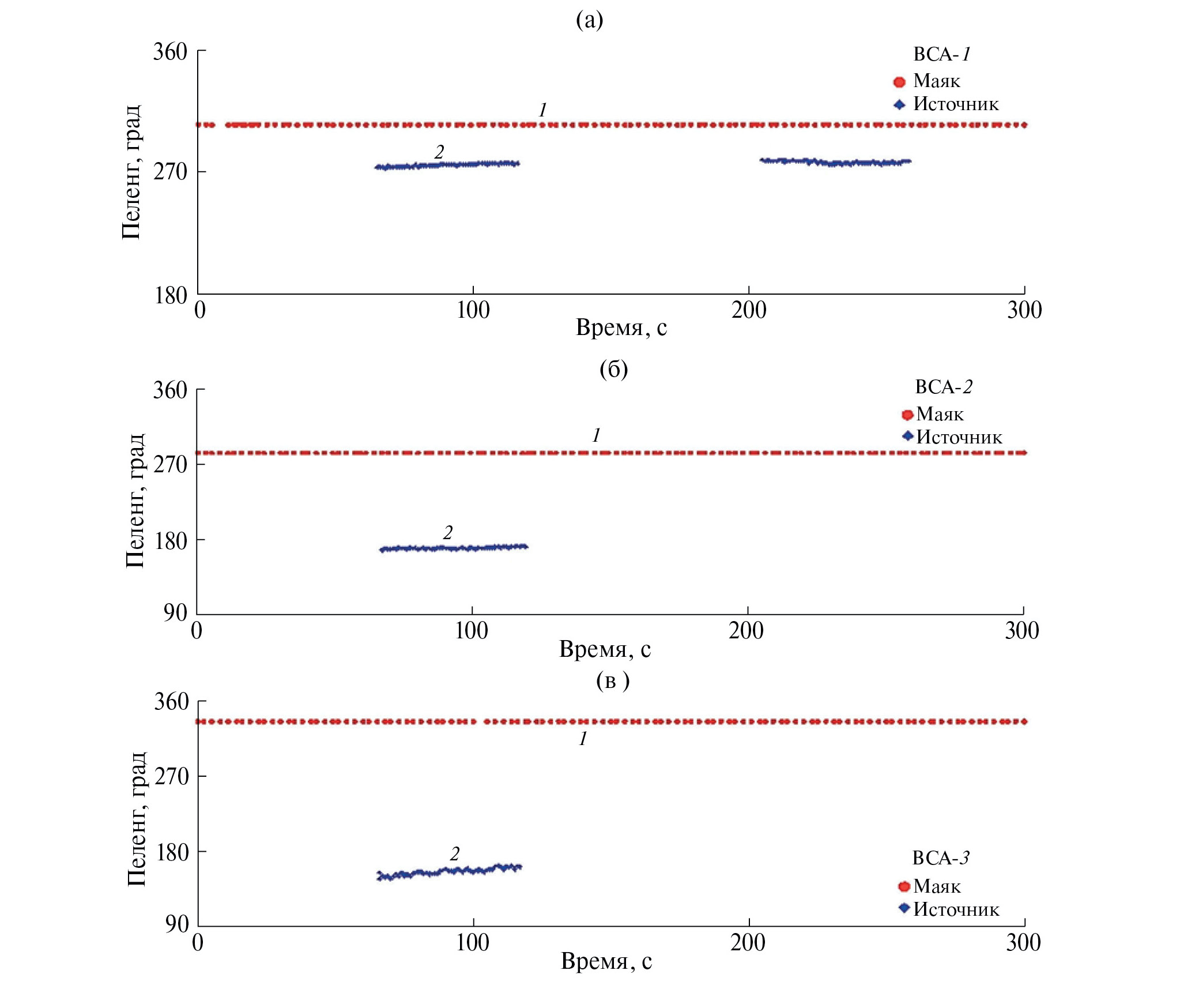
Результаты расчетов по формулам (3)–(7) направлений во время движения источника для каждой антенны представлены на рис. 8 двумя короткими отрезками траекторий, соответствующими интервалам излучения сигналов излучателем, установленным на роботе. Для сравнения точками показаны направления на “маяк” (непрерывные прямые).
Рис. 8. Направления на источники сигналов, измеренные приемными модулями (а) – ВСА-1, (б) – ВСА-2, (в) – ВСА-3.
Изменяющиеся во времени координаты робота в горизонтальной плоскости с учетом вращения антенн определялись методом триангуляции в каждый момент времени рассматриваемых интервалов. Пример такого расчета представлен на рис. 9. Отметим, что каждый модуль работал автономно и определял пеленг в своей системе координат. Объединение информации происходило для каждого измеренного пеленга на движущийся робот с учетом оценок пеленга на неподвижный “маяк”, что позволяло внести поправки при наличии вращения антенн.
Рис. 9. Схематичное расположение приемно-излучающей аппаратуры и координаты движущегося источника в период наблюдения в зоне 220 с.
На рис. 8 и 9 заметно плавное изменение пеленга за период наблюдения, особенно это видно на рис. 8в для антенны ВСА-3, которая ближе всего расположена к движущемуся и излучающему объекту (роботу).
Можно также отметить, что на рис. 6 хорошо видно, что на ВСА-3 – самой близко расположенной к роботу (см. рис. 9) антенне – уровень принятого сигнала максимальный.
ОПРЕДЕЛЕНИЕ ГЛУБИНЫ ДВИЖУЩЕГОСЯ РОБОТА
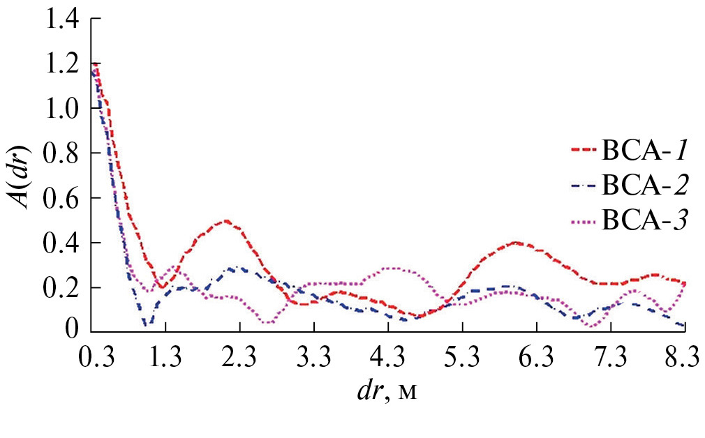
Анализ показал, что периоды интерференции сигнала для выбранных частот и временных интервалов, но на разных антеннах, различаются. Это объясняется тем, что в эти интервалы времени расстояния от МР до разных приемных антенн различны. На рис. 10 представлены огибающие автокорреляционной функции на первых приемных элементах для модулей ВСА-1, ВСА-2 и ВСА-3. На рисунках для автокорреляционной функции по оси ОХ показано смещение, которое при расчетах задавалось в “тиках”, а затем пересчитывалось в метры (dr), исходя из частоты квантования (19520 Гц) и средней скорости распространения звука в среде на глубинах волновода до 200 м (около 1445.6 м/с).
Рис. 10. Зависимости автокорреляционной функции от смещения задержек между лучами для ВСА-1, ВСА-2 и ВСА-3.
По положениям первых максимумов автокорреляционной функции определены разности хода сигналов, приходящих по прямому и отраженному от свободной поверхности лучам, которые в среднем равны 2.27, 2.3 и 1.32 м для антенн ВСА-1, ВСА-2 и ВСА-3 соответственно. С учетом расстояний от источника до приемных модулей (рис. 8 и 9) и для двухлучевой модели распространения сигнала такая разность хода соответствует источнику, находящемуся на глубинах 103–104 м (по измерениям на антеннах ВСА-1 и ВСА-2) и 107 м (антенна ВСА-3). Оценки глубин получены путем усреднения за время наблюдения по всем приемникам и оказались достаточно устойчивыми во времени и близкими к реальной глубине размещения и движения робота – в заданных условиях проведения морского эксперимента около 90–95 м.
ЗАКЛЮЧЕНИЕ
Для определения направления на источник сигнала использовался метод Бартлетта, реализация которого выполнялась во временной области, что намного упростило его техническую реализацию. В рамках данного метода наилучшее разрешение, минимальный уровень шумового фона и отсутствие боковых лепестков показал метод обработки, использующий компоненты потока акустической мощности. Векторно-скалярная обработка также позволяет выполнить оценку пеленга на движущийся источник с достаточной точностью. Причем, также производится однозначная оценка пеленга – без бокового поля и “заднего лепестка”, характерного на низких частотах для скалярных антенн.
Если известны географические координаты разнесенных в пространстве приемных антенн, то координаты робота в горизонтальной плоскости определяются достаточно просто – с использованием триангуляционного метода. Но для устранения вероятных смещений пеленга и координат использовался опорный сигнал, излучаемый внешним излучателем (“маяком”), координаты которого также были известными.
В глубоком море, когда отраженные от дна сигналы приходят ослабленными, а локальные наклоны отражающей донной поверхности не известны, рассчитать погружение источника, находящегося в ближней освещенной акустической зоне, можно с учетом только разности прихода сигналов по прямым водным лучам и лучу, отраженному от свободной поверхности. Относительная задержка сигнала, приходящего по отраженному от поверхности лучу, определяется по кепстру или по смещению максимумов автокорреляционной функции [10, 12, 13]. А сама автокорреляционная функция может рассчитываться по временным задержкам, что упрощает ее вычисление.
Таким образом, в работе показана принципиальная возможность определения трех пространственных координат движущегося робота с использованием искусственного излучателя, установленного на корпусе, и разнесенных в пространстве векторно-скалярных антенн. Использованы и рекомендуются алгоритмы обработки, которые не требуют больших вычислительных затрат, что делает их приемлемыми для систем непрерывного сопровождения роботов в процессе выполнения ими практических работ. Но для оценки координат и сопровождения МР в реальном времени сигналы, принятые каждой антенной после оцифровки под водой, необходимо обрабатывать также под водой – в автономном процессоре. Формализованные результаты обработки должны в реальном времени передаваться по радио- или гидроакустическому каналу на единый пункт сбора информации, где производится групповая обработка и строится траектория движения робота. Для реализации такого варианта обработки под водой следует разработать “автономный подводный автомат” и использовать высокопроизводительную систему передачи информации. В автомате могут применяться разработанные алгоритмы.
Полученные в статье результаты позволяют надеяться на успешность решения этой задачи и целесообразность разработки указанных выше технических средств.
Работа выполнена при финансовой поддержке программы “Акустика мелкого моря, нелинейная акустическая диагностика, нелинейная динамика волн” (номер гос. регистрации AAAA-A18-118021390174-1).
About the authors
G. M. Glebova
Southern Federal University
							Author for correspondence.
							Email: skbmortex@mail.ru
				                					                																			                												                	Russian Federation, 							Rostov-on-Don						
G. A. Zhbankov
Southern Federal University
														Email: skbmortex@mail.ru
				                					                																			                												                	Russian Federation, 							Rostov-on-Don						
G. N. Kuznetsov
A.M. Prokhorov General Physics Institute, Russian Academy of Sciences
														Email: skbmortex@mail.ru
				                					                																			                												                	Russian Federation, 							Moscow						
References
- Агеев М.Д., Киселев Л.В., Матвиенко Ю.В. и др. Автономные подводные роботы. Системы и технологии / Под ред. акад. Агеева М. Д. М.: Наука, 2005. 398 с.
 - Сиденко К.С., Илларионов Г.Ю. Автономные необитаемые подводные аппараты – техника двойного назначения // Двойные технологии. 2008. № 4. С. 16–27.
 - Илларионов Г.Ю. Противоминные необитаемые подводные аппараты. Владивосток: Изд-во ДВГУ, 1991. 118 с.
 - Securing Ports with Underwater Robots, Ocean News and Technology, May–June 2004.
 - Инюкина А.М., Шейнман Е.Л. Оценка координат и параметров движения объектов, обнаруженных различными средствами подводного наблюдения // Гидроакустика. 2021. Вып. 45. № 1. С. 34–40.
 - Захаров Ю.В., Коданев В.П. Экспериментальные исследования акустической системы передачи информации с шумоподобными сигналами / Акуст. журн. 1994. Т. 40. № 5. С. 799–808.
 - Курьянов Б.Ф., Пенкин М.М. Цифровая акустическая связь в мелком море для океанологических применений // Акуст. журн. 2010. Т. 56. № 2. С. 245–255.
 - Baggeroer A.B. Why did applications of MFP fail, or did we not understand how to apply MFP? // Proc. 1st Int. Conf. and Exhib. Underwater Acoustics / Eds. Papadakis J.S., Bjorno I., Corfu Island, Greece, 2013.
 - Сазонтов А.Г., Малеханов А.И. Согласованная пространственная обработка сигналов в подводных звуковых каналах (обзор) // Акуст. журн. 2015. Т. 61. № 2. С. 233–253.
 - Какалов В.А. О реализации согласованной со средой обработки гидроакустического сигнала от источника // Гидроакустика. 2021. Вып. 45. № 1. С. 68–76.
 - Kuznetsov G.N., Kuz’kin V.M., Pereselkov S.A., Prosovetskiy D.Yu. Wave method for estimating the sound source depth in an oceanic waveguide // Phys. Wave Phenom. 2016. V. 24. № 4. P. 310–316.
 - Пересёлков С.А., Кузькин В.М., Кузнецов Г.Н., Просовецкий Д.Ю., Ткаченко С.А. Интерференционный метод оценки координат движущегося шумового источника в мелком море с использованием высокочастотных сигналов // Акуст. журн. 2020. Т. 66. № 4. С. 437–445. https://doi.org/10.31857/S0320791920040085
 - Кузнецов Г.Н. Проблемы оценки приведенной шумности движущихся объектов в мелком море // Труды Всероссийской научно-технической конференции “Метрология гидроакустических измерений” (25–27 сентября 2013 г., Менделеево). Менделеево: ФГУП “ВНИИФТРИ”, 2013. Т. 1. С. 57–74.
 - Гордиенко В.А. Векторно-фазовые методы в акустике. М.: Физматлит, 2007. 480 с.
 - Белова Н.И., Кузнецов Г.Н. Пеленгование широкополосных источников в мелком море с использованием результатов оценки координат скалярной антенны и ориентации векторно-скалярных приемников // Гидроакустика. 2015. Вып. 22. № 2. С. 32–42.
 - Марпл С.Л. Цифровой спектральный анализ и его приложения. М.: Мир, 1990. 584 с.
 
Supplementary files
				
			
					
						
						
						
						
				











