🔧На сайте запланированы технические работы
25.12.2025 в промежутке с 18:00 до 21:00 по Московскому времени (GMT+3) на сайте будут проводиться плановые технические работы. Возможны перебои с доступом к сайту. Приносим извинения за временные неудобства. Благодарим за понимание!
🔧Site maintenance is scheduled.
Scheduled maintenance will be performed on the site from 6:00 PM to 9:00 PM Moscow time (GMT+3) on December 25, 2025. Site access may be interrupted. We apologize for the inconvenience. Thank you for your understanding!

 

Correlation Iteration Method of Acoustic Tomography with Incoherent Field Sources

Resumo

A method is proposed for reconstructing the acoustic parameters of a medium by iterative processing of the coherence matrices of the acoustic field of random sources, for some of which their power density is known. The possibilities of increasing the stability and accelerating the convergence of the method are discussed. The reconstruction results are compared with the functional-analytical approach based on the processing of the scattering amplitude.

Texto integral

1. Введение

Пассивная акустическая томография – это метод определения свойств исследуемой среды, не использующий активные источники звука. Он основан на регистрации и последующей обработке акустического излучения от присутствующих в среде источников. Задачи такого рода возникают, например, в медицинской томографии [1–3], где акустическое поле порождается тепловым движением частиц; в геоакустике [4, 5], где его источниками служат микросейсмы; в гидроакустике [6, 7], где оно включает естественные и антропогенные шумы различной природы, в гелиосейсмологии [8, 9]. Отсутствие активных источников звука, во-первых, существенно удешевляет такие исследования, а во-вторых, является более предпочтительным с точки зрения вопросов экологии (в гео- и гидроакустике) или уменьшения воздействия на организм (в медицине). Вместе с тем, методы пассивной томографии оказываются сложнее, чем методы активной томографии. Это связано с необходимостью оценки не только искомых свойств среды, но и описания создающих акустическое поле источников. Такая комбинированная обратная задача излучения-рассеяния представляется сильно недоопределенной, и для ее успешного решения целесообразно наложить те или иные дополнительные ограничения на класс возможных источников поля и допустимые диапазоны свойств среды.

Одним из методов пассивной акустической томографии является метод шумовой интерферометрии. В его основе лежит предположение о том, что акустическое поле создается некогерентными источниками, пространственная плотность мощности которых изотропна по отношению к системе наблюдения. Тогда корреляционная функция сигналов, зарегистрированных в двух точках среды, оказывается пропорциональной разности запаздывающей и опережающей функций Грина этой среды с аргументами в виде координат выбранных двух точек. Корреляционную функцию можно определить на основе экспериментальных данных. Далее она используется для постановки и решения обратной задачи рассеяния. В качестве недостатка метода шумовой интерферометрии можно указать ограничения, накладываемые на область его применимости. Первым ограничивающим фактором является требование инвариантности описывающих среду уравнений по отношению к преобразованию обращения времени, которое нарушается в присутствии течений или поглощения звука. Эти вопросы обсуждались в работах [10–12]. Второй фактор связан с тем, что метод перестает работать, если мощность шума, приходящего с некоторого направления, выше, чем с других. Поскольку такая анизотропия шума встречается часто, это требует осторожности при практическом применении.

В случае, когда анизотропия шумового поля вызвана наличием небольшого числа (по сравнению с числом элементов приемной антенной решетки) дополнительных источников, удается “восстановить” работоспособность метода шумовой интерферометрии [13]. Для этого корреляционной обработке подвергаются все доступные в эксперименте пары сигналов, в результате чего в каждой относительно узкой полосе частот вычисляются их матрицы когерентности. Для каждой из них осуществляется корректировка максимальных собственных чисел так, чтобы минимизировать дисперсию диагональных элементов итоговых матриц после коррекции. Схожая процедура описывалась в [14, 15], где она использовалась для улучшения видимости слабых источников сигнала на фоне более мощных. Физически ее применение означает такую фазировку приемной антенной решетки, при которой сигналы из области пространственной локализации дополнительных источников, создающих анизотропную часть шумового поля, подавляются до среднего уровня шумов. В результате получается набор корреляционных функций, близких по значениям к искомым разностям функций Грина.

В случае, когда число дополнительных источников соизмеримо или превосходит количество элементов приемной антенной решетки, описанная процедура коррекции собственных чисел не приводит к успеху. Тогда предлагается отказаться от использования метода шумовой интерферометрии и рассмотреть задачу акустической томографии в следующей постановке, которая является предметом настоящей статьи. Предполагается, что шумовое поле в среде создается стационарными фоновыми источниками с неизвестной пространственной плотностью мощности I (0) (r). MathType@MTEF@5@5@+= feaahGart1ev3aqatCvAUfeBSjuyZL2yd9gzLbvyNv2Caerbov2D09 MBdbqedmvETj2BSbqeduuDJXwAKbYu51MyVXgarqqr1ngBPrgifHhD YfgasaacHOWxh9vrFfeu0dXdh9vqqj=hEeeu0xXdbba9frFj0=OqFf ea0dXdd9vspGe9FjuP0=fs0xXdbba9pGe9xq=Jbba9suk9fr=xfr=x frpeWZqaaeaabiGaaiaadaqabeaabeqacqaaaOqaaiaadMeadaahaa WcbeqaaiaacIcacaaIWaGaaiykaaaakiaacIcacaWHYbGaaiykaiaa c6caaaa@3EA4@  Дополнительно к ним в среде могут появляться независимые контролируемые некогерентные источники с известной пространственной плотностью мощности I (n) (r). MathType@MTEF@5@5@+= feaahGart1ev3aqatCvAUfeBSjuyZL2yd9gzLbvyNv2Caerbov2D09 MBdbqedmvETj2BSbqeduuDJXwAKbYu51MyVXgarqqr1ngBPrgifHhD YfgasaacHOWxh9vrFfeu0dXdh9vqqj=hEeeu0xXdbba9frFj0=OqFf ea0dXdd9vspGe9FjuP0=fs0xXdbba9pGe9xq=Jbba9suk9fr=xfr=x frpeWZqaaeaabiGaaiaadaqabeaabeqacqaaaOqaaiaadMeadaahaa WcbeqaaiaacIcacaWGUbGaaiykaaaakiaacIcacaWHYbGaaiykaiaa c6caaaa@3EDD@  Термин “контролируемые” понимается в том смысле, что в эксперименте доступны как сигналы, записанные при наличии лишь фоновых источников I (0) (r), MathType@MTEF@5@5@+= feaahGart1ev3aqatCvAUfeBSjuyZL2yd9gzLbvyNv2Caerbov2D09 MBdbqedmvETj2BSbqeduuDJXwAKbYu51MyVXgarqqr1ngBPrgifHhD YfgasaacHOWxh9vrFfeu0dXdh9vqqj=hEeeu0xXdbba9frFj0=OqFf ea0dXdd9vspGe9FjuP0=fs0xXdbba9pGe9xq=Jbba9suk9fr=xfr=x frpeWZqaaeaabiGaaiaadaqabeaabeqacqaaaOqaaiaadMeadaahaa WcbeqaaiaacIcacaaIWaGaaiykaaaakiaacIcacaWHYbGaaiykaiaa cYcaaaa@3EA2@  так и сигналы, записанные при наличии источников обоих типов, т.е. с пространственной плотностью мощности I (0) (r)+ I (n) (r). MathType@MTEF@5@5@+= feaahGart1ev3aqatCvAUfeBSjuyZL2yd9gzLbvyNv2Caerbov2D09 MBdbqedmvETj2BSbqeduuDJXwAKbYu51MyVXgarqqr1ngBPrgifHhD YfgasaacHOWxh9vrFfeu0dXdh9vqqj=hEeeu0xXdbba9frFj0=OqFf ea0dXdd9vspGe9FjuP0=fs0xXdbba9pGe9xq=Jbba9suk9fr=xfr=x frpeWZqaaeaabiGaaiaadaqabeaabeqacqaaaOqaaiaadMeadaahaa WcbeqaaiaacIcacaaIWaGaaiykaaaakiaacIcacaWHYbGaaiykaiab gUcaRiaadMeadaahaaWcbeqaaiaacIcacaWGUbGaaiykaaaakiaacI cacaWHYbGaaiykaiaac6caaaa@452B@  Верхний индекс n, MathType@MTEF@5@5@+= feaahGart1ev3aqatCvAUfeBSjuyZL2yd9gzLbvyNv2Caerbov2D09 MBdbqedmvETj2BSbqeduuDJXwAKbYu51MyVXgarqqr1ngBPrgifHhD YfgasaacHOWxh9vrFfeu0dXdh9vqqj=hEeeu0xXdbba9frFj0=OqFf ea0dXdd9vspGe9FjuP0=fs0xXdbba9pGe9xq=Jbba9suk9fr=xfr=x frpeWZqaaeaabiGaaiaadaqabeaabeqacqaaaOqaaiaad6gacaGGSa aaaa@3A29@ , который в дальнейшем будет называться ракурсом облучения, при этом означает номер пространственной конфигурации контролируемых некогерентных источников, и при n=0 MathType@MTEF@5@5@+= feaahGart1ev3aqatCvAUfeBSjuyZL2yd9gzLbvyNv2Caerbov2D09 MBdbqedmvETj2BSbqeduuDJXwAKbYu51MyVXgarqqr1ngBPrgifHhD YfgasaacHOWxh9vrFfeu0dXdh9vqqj=hEeeu0xXdbba9frFj0=OqFf ea0dXdd9vspGe9FjuP0=fs0xXdbba9pGe9xq=Jbba9suk9fr=xfr=x frpeWZqaaeaabiGaaiaadaqabeaabeqacqaaaOqaaiaad6gacqGH9a qpcaaIWaaaaa@3B39@  такие источники отсутствуют.

В некоторых случаях описанная постановка задачи может быть формально отнесена к пассивной томографии. Например, в приложениях гидроакустики может рассматриваться акустическое поле в акватории, по которой перемещаются суда, причем их координаты и мощность создаваемого шума известны. Изменение положения судов с течением времени обеспечивает перебор ракурсов облучения; при этом предполагается, что свойства среды за время наблюдений меняются слабо. В других случаях контролируемые источники могут быть созданы специально, что отвечает задаче активной или активно-пассивной томографии. Например, в медицине может идти речь о использовании собственного теплового акустического излучения биологических сред совместно с некогерентным излучением дополнительной “подсветки” [2, 3]. Сделав такое замечание, дальнейшее рассмотрение можно вести независимо от природы контролируемых источников.

2. Корреляционный итерационный метод

Рассматривается рассеяние акустического поля на неоднородности, занимающей внутри всего координатного пространства IR d MathType@MTEF@5@5@+= feaahGart1ev3aqatCvAUfeBSjuyZL2yd9gzLbvyNv2Caerbov2D09 MBdbqedmvETj2BSbqeduuDJXwAKbYu51MyVXgarqqr1ngBPrgifHhD YfgasaacHOWxh9vrFfeu0dXdh9vqqj=hEeeu0xXdbba9frFj0=OqFf ea0dXdd9vspGe9FjuP0=fs0xXdbba9pGe9xq=Jbba9suk9fr=xfr=x frpeWZqaaeaabiGaaiaadaqabeaabeqacqaaaOqaaiaabMeacGGyag OuamacIbihaaWcbKGyagacIbOaiigGdsgaaaaaaa@3FCF@  размерности d MathType@MTEF@5@5@+= feaahGart1ev3aqatCvAUfeBSjuyZL2yd9gzLbvyNv2Caerbov2D09 MBdbqedmvETj2BSbqeduuDJXwAKbYu51MyVXgarqqr1ngBPrgifHhD YfgasaacHOWxh9vrFfeu0dXdh9vqqj=hEeeu0xXdbba9frFj0=OqFf ea0dXdd9vspGe9FjuP0=fs0xXdbba9pGe9xq=Jbba9suk9fr=xfr=x frpeWZqaaeaabiGaaiaadaqabeaabeqacqaaaOqaaiaadsgaaaa@396F@  область MathType@MTEF@5@5@+= feaahGart1ev3aqatCvAUfeBSjuyZL2yd9gzLbvyNv2Caerbov2D09 MBdbqedmvETj2BSbqeduuDJXwAKbYu51MyVXgarqqr1ngBPrgifHhD YfgasaacHOWxh9vrFfeu0dXdh9vqqj=hEeeu0xXdbba9frFj0=OqFf ea0dXdd9vspGe9FjuP0=fs0xXdbba9pGe9xq=Jbba9suk9fr=xfr=x frpeWZqaaeaabiGaaiaadaqabeaabeqacqaaaOqaaiabgYricdaa@3A11@  конечных размеров. Вне MathType@MTEF@5@5@+= feaahGart1ev3aqatCvAUfeBSjuyZL2yd9gzLbvyNv2Caerbov2D09 MBdbqedmvETj2BSbqeduuDJXwAKbYu51MyVXgarqqr1ngBPrgifHhD YfgasaacHOWxh9vrFfeu0dXdh9vqqj=hEeeu0xXdbba9frFj0=OqFf ea0dXdd9vspGe9FjuP0=fs0xXdbba9pGe9xq=Jbba9suk9fr=xfr=x frpeWZqaaeaabiGaaiaadaqabeaabeqacqaaaOqaaiabgYricdaa@3A11@  находится однородная фоновая среда. Предполагается, что сигналы сосредоточены в узкой полосе частот с центральной частотой ω 0 MathType@MTEF@5@5@+= feaahGart1ev3aqatCvAUfeBSjuyZL2yd9gzLbvyNv2Caerbov2D09 MBdbqedmvETj2BSbqeduuDJXwAKbYu51MyVXgarqqr1ngBPrgifHhD YfgasaacHOWxh9vrFfeu0dXdh9vqqj=hEeeu0xXdbba9frFj0=OqFf ea0dXdd9vspGe9FjuP0=fs0xXdbba9pGe9xq=Jbba9suk9fr=xfr=x frpeWZqaaeaabiGaaiaadaqabeaabeqacqaaaOqaaiabeM8a3naaBa aaleaacaaIWaaabeaaaaa@3B39@ , и временнáя зависимость выбирается в виде ~exp(i ω 0 t) MathType@MTEF@5@5@+= feaahGart1ev3aqatCvAUfeBSjuyZL2yd9gzLbvyNv2Caerbov2D09 MBdbqedmvETj2BSbqeduuDJXwAKbYu51MyVXgarqqr1ngBPrgifHhD YfgasaacHOWxh9vrFfeu0dXdh9vqqj=hEeeu0xXdbba9frFj0=OqFf ea0dXdd9vspGe9FjuP0=fs0xXdbba9pGe9xq=Jbba9suk9fr=xfr=x frpeWZqaaeaabiGaaiaadaqabeaabeqacqaaaOqaaiaac6haciGGLb GaaiiEaiaacchacaGGOaGaeyOeI0IaamyAaiabeM8a3naaBaaaleaa caaIWaaabeaakiaadshacaGGPaaaaa@434D@ . Координатные зависимости скорости звука c(r) MathType@MTEF@5@5@+= feaahGart1ev3aqatCvAUfeBSjuyZL2yd9gzLbvyNv2Caerbov2D09 MBdbqedmvETj2BSbqeduuDJXwAKbYu51MyVXgarqqr1ngBPrgifHhD YfgasaacHOWxh9vrFfeu0dXdh9vqqj=hEeeu0xXdbba9frFj0=OqFf ea0dXdd9vspGe9FjuP0=fs0xXdbba9pGe9xq=Jbba9suk9fr=xfr=x frpeWZqaaeaabiGaaiaadaqabeaabeqacqaaaOqaaiaadogacaGGOa GaaCOCaiaacMcaaaa@3BC2@  и амплитудного коэффициента поглощения α(r) MathType@MTEF@5@5@+= feaahGart1ev3aqatCvAUfeBSjuyZL2yd9gzLbvyNv2Caerbov2D09 MBdbqedmvETj2BSbqeduuDJXwAKbYu51MyVXgarqqr1ngBPrgifHhD YfgasaacHOWxh9vrFfeu0dXdh9vqqj=hEeeu0xXdbba9frFj0=OqFf ea0dXdd9vspGe9FjuP0=fs0xXdbba9pGe9xq=Jbba9suk9fr=xfr=x frpeWZqaaeaabiGaaiaadaqabeaabeqacqaaaOqaaiabeg7aHjaacI cacaWHYbGaaiykaaaa@3C79@  описываются с помощью комплексного волнового числа k(r)ω/ c(r) +iα(r) MathType@MTEF@5@5@+= feaahGart1ev3aqatCvAUfeBSjuyZL2yd9gzLbvyNv2Caerbov2D09 MBdbqedmvETj2BSbqeduuDJXwAKbYu51MyVXgarqqr1ngBPrgifHhD YfgasaacHOWxh9vrFfeu0dXdh9vqqj=hEeeu0xXdbba9frFj0=OqFf ea0dXdd9vspGe9FjuP0=fs0xXdbba9pGe9xq=Jbba9suk9fr=xfr=x frpeWZqaaeaabiGaaiaadaqabeaabeqacqaaaOqaaiaadUgacaGGOa GaaCOCaiaacMcacqGHHjIUdaWcgaqaaiabeM8a3bqaaiaadogacaGG OaGaaCOCaiaacMcaaaGaey4kaSIaamyAaiabeg7aHjaacIcacaWHYb Gaaiykaaaa@4875@ . Снаружи неоднородности, т.е. внутри фоновой среды, оно известно: k(r) k 0 MathType@MTEF@5@5@+= feaahGart1ev3aqatCvAUfeBSjuyZL2yd9gzLbvyNv2Caerbov2D09 MBdbqedmvETj2BSbqeduuDJXwAKbYu51MyVXgarqqr1ngBPrgifHhD YfgasaacHOWxh9vrFfeu0dXdh9vqqj=hEeeu0xXdbba9frFj0=OqFf ea0dXdd9vspGe9FjuP0=fs0xXdbba9pGe9xq=Jbba9suk9fr=xfr=x frpeWZqaaeaabiGaaiaadaqabeaabeqacqaaaOqaaiaadUgacaGGOa GaaCOCaiaacMcacqGHHjIUcaWGRbWaaSbaaSqaaiaaicdaaeqaaaaa @3F69@  при r IR d \ MathType@MTEF@5@5@+= feaahGart1ev3aqatCvAUfeBSjuyZL2yd9gzLbvyNv2Caerbov2D09 MBdbqedmvETj2BSbqeduuDJXwAKbYu51MyVXgarqqr1ngBPrgifHhD YfgasaacHOWxh9vrFfeu0dXdh9vqqj=hEeeu0xXdbba9frFj0=OqFf ea0dXdd9vspGe9FjuP0=fs0xXdbba9pGe9xq=Jbba9suk9fr=xfr=x frpeWZqaaeaabiGaaiaadaqabeaabeqacqaaaOqaaiaahkhacqGHii IZcaqGjbGaiigGbkfadGGyaYbaaSqajigGbGGyakacIb4GKbaaaOGa iWcGcYfacWalaAihHimaaa@462B@ . Кроме этого, считается известной функция k a (r) MathType@MTEF@5@5@+= feaahGart1ev3aqatCvAUfeBSjuyZL2yd9gzLbvyNv2Caerbov2D09 MBdbqedmvETj2BSbqeduuDJXwAKbYu51MyVXgarqqr1ngBPrgifHhD YfgasaacHOWxh9vrFfeu0dXdh9vqqj=hEeeu0xXdbba9frFj0=OqFf ea0dXdd9vspGe9FjuP0=fs0xXdbba9pGe9xq=Jbba9suk9fr=xfr=x frpeWZqaaeaabiGaaiaadaqabeaabeqacqaaaOqaaiaadUgadaWgaa WcbaGaaeyyaaqabaGccaGGOaGaaCOCaiaacMcaaaa@3CE4@ , которая равна k 0 MathType@MTEF@5@5@+= feaahGart1ev3aqatCvAUfeBSjuyZL2yd9gzLbvyNv2Caerbov2D09 MBdbqedmvETj2BSbqeduuDJXwAKbYu51MyVXgarqqr1ngBPrgifHhD YfgasaacHOWxh9vrFfeu0dXdh9vqqj=hEeeu0xXdbba9frFj0=OqFf ea0dXdd9vspGe9FjuP0=fs0xXdbba9pGe9xq=Jbba9suk9fr=xfr=x frpeWZqaaeaabiGaaiaadaqabeaabeqacqaaaOqaaiaadUgadaWgaa WcbaGaaGimaaqabaaaaa@3A5C@  вне неоднородности, а внутри нее выражает априорную оценку свойств этой неоднородности. Такое предположение не снижает общность рассмотрения, т.к. в отсутствие дополнительной информации можно положить k a (r) k 0 MathType@MTEF@5@5@+= feaahGart1ev3aqatCvAUfeBSjuyZL2yd9gzLbvyNv2Caerbov2D09 MBdbqedmvETj2BSbqeduuDJXwAKbYu51MyVXgarqqr1ngBPrgifHhD YfgasaacHOWxh9vrFfeu0dXdh9vqqj=hEeeu0xXdbba9frFj0=OqFf ea0dXdd9vspGe9FjuP0=fs0xXdbba9pGe9xq=Jbba9suk9fr=xfr=x frpeWZqaaeaabiGaaiaadaqabeaabeqacqaaaOqaaiaadUgadaWgaa WcbaGaaeyyaaqabaGccaGGOaGaaCOCaiaacMcacqGHHjIUcaWGRbWa aSbaaSqaaiaaicdaaeqaaaaa@4083@  во всем пространстве.

Потенциал φ(r) MathType@MTEF@5@5@+= feaahGart1ev3aaatCvAUfeBSjuyZL2yd9gzLbvyNv2Caerbov2D09 MBdbqedmvETj2BSbqeduuDJXwAKbYu51MyVXgarqqr1ngBPrgifHhD YfgasaacHOWxh9vrFfeu0dXdh9vqqj=hEeeu0xXdbba9frFj0=OqFf ea0dXdd9vspGe9FjuP0=fs0xXdbba9pGe9xq=Jbba9suk9fr=xfr=x frpeWZqaaeaabiGaaiaadaqabeaabeqacqaaaOqaaiabeA8aQjaacI cacaWHYbGaaiykaaaa@3C96@  акустического поля удовлетворяет уравнению Гельмгольца:

Δφ(r)+ k 2 (r)φ(r)=F(r), MathType@MTEF@5@5@+= feaahGart1ev3aqatCvAUfeBSjuyZL2yd9gzLbvyNv2Caerbov2D09 MBdbqedmvETj2BSbqeduuDJXwAKbYu51MyVXgarqqr1ngBPrgifHhD YfgasaacHOWxh9vrFfeu0dXdh9vqqj=hEeeu0xXdbba9frFj0=OqFf ea0dXdd9vspGe9FjuP0=fs0xXdbba9pGe9xq=Jbba9suk9fr=xfr=x frpeWZqaaeaabiGaaiaadaqabeaabeqacqaaaOqaaiabfs5aejabeA 8aQjaacIcacaWHYbGaaiykaiabgUcaRiaadUgadaqhaaWcbaaabaGa aGOmaaaakiaacIcacaWHYbGaaiykaiabeA8aQjaacIcacaWHYbGaai ykaiabg2da9iaadAeacaGGOaGaaCOCaiaacMcacaGGSaaaaa@4BFC@   r IR d , MathType@MTEF@5@5@+= feaahGart1ev3aqatCvAUfeBSjuyZL2yd9gzLbvyNv2Caerbov2D09 MBdbqedmvETj2BSbqeduuDJXwAKbYu51MyVXgarqqr1ngBPrgifHhD YfgasaacHOWxh9vrFfeu0dXdh9vqqj=hEeeu0xXdbba9frFj0=OqFf ea0dXdd9vspGe9FjuP0=fs0xXdbba9pGe9xq=Jbba9suk9fr=xfr=x frpeWZqaaeaabiGaaiaadaqabeaabeqacqaaaOqaaiaahkhacqGHii IZcaqGjbGaiigGbkfadGGyaYbaaSqajigGbGGyakacIb4GKbaaaOGa aiilaaaa@4308@ (1)

где F(r) MathType@MTEF@5@5@+= feaahGart1ev3aqatCvAUfeBSjuyZL2yd9gzLbvyNv2Caerbov2D09 MBdbqedmvETj2BSbqeduuDJXwAKbYu51MyVXgarqqr1ngBPrgifHhD YfgasaacHOWxh9vrFfeu0dXdh9vqqj=hEeeu0xXdbba9frFj0=OqFf ea0dXdd9vspGe9FjuP0=fs0xXdbba9pGe9xq=Jbba9suk9fr=xfr=x frpeWZqaaeaabiGaaiaadaqabeaabeqacqaaaOqaaiaadAeacaGGOa GaaCOCaiaacMcaaaa@3BA5@  – источники поля. Его решение, с учетом условия излучения на бесконечности, имеет вид

φ(r)= IR d G(r, r )F( r )d r , MathType@MTEF@5@5@+= feaahGart1ev3aqatCvAUfeBSjuyZL2yd9gzLbvyNv2Caerbov2D09 MBdbqedmvETj2BSbqeduuDJXwAKbYu51MyVXgarqqr1ngBPrgifHhD YfgasaacHOWxh9vrFfeu0dXdh9vqqj=hEeeu0xXdbba9frFj0=OqFf ea0dXdd9vspGe9FjuP0=fs0xXdbba9pGe9xq=Jbba9suk9fr=xfr=x frpeWZqaaeaabiGaaiaadaqabeaabeqacqaaaOqaaiabeA8aQjaacI cacaWHYbGaaiykaiabg2da9maapefabaGaam4raiaacIcacaWHYbGa aiilaiqahkhagaqbaiaacMcacaWGgbGaaiikaiqahkhagaqbaiaacM cacaWGKbGabCOCayaafaaaleaacaqGjbGaiigGbkfadGGyaYbaaWqa jigGbGGyakacIb4GKbaaaaWcbeqdcqGHRiI8aOGaaiilaaaa@51E8@   r, r IR d , MathType@MTEF@5@5@+= feaahGart1ev3aqatCvAUfeBSjuyZL2yd9gzLbvyNv2Caerbov2D09 MBdbqedmvETj2BSbqeduuDJXwAKbYu51MyVXgarqqr1ngBPrgifHhD YfgasaacHOWxh9vrFfeu0dXdh9vqqj=hEeeu0xXdbba9frFj0=OqFf ea0dXdd9vspGe9FjuP0=fs0xXdbba9pGe9xq=Jbba9suk9fr=xfr=x frpeWZqaaeaabiGaaiaadaqabeaabeqacqaaaOqaaiaahkhacaGGSa GabCOCayaafaGaeyicI4SaaeysaiacIbyGsbWaiigGCaaaleqcIbya iigGcGGyaoizaaaakiaacYcaaaa@44BF@ (2)

где G(r, r ) MathType@MTEF@5@5@+= feaahGart1ev3aqatCvAUfeBSjuyZL2yd9gzLbvyNv2Caerbov2D09 MBdbqedmvETj2BSbqeduuDJXwAKbYu51MyVXgarqqr1ngBPrgifHhD YfgasaacHOWxh9vrFfeu0dXdh9vqqj=hEeeu0xXdbba9frFj0=OqFf ea0dXdd9vspGe9FjuP0=fs0xXdbba9pGe9xq=Jbba9suk9fr=xfr=x frpeWZqaaeaabiGaaiaadaqabeaabeqacqaaaOqaaiaadEeacaGGOa GaaCOCaiaacYcaceWHYbGbauaacaGGPaaaaa@3D5D@  – запаздывающая функция Грина рассматриваемой неоднородной среды. Аналогичное уравнение Гельмгольца можно записать для поля φ a (r) MathType@MTEF@5@5@+= feaahGart1ev3aqatCvAUfeBSjuyZL2yd9gzLbvyNv2Caerbov2D09 MBdbqedmvETj2BSbqeduuDJXwAKbYu51MyVXgarqqr1ngBPrgifHhD YfgasaacHOWxh9vrFfeu0dXdh9vqqj=hEeeu0xXdbba9frFj0=OqFf ea0dXdd9vspGe9FjuP0=fs0xXdbba9pGe9xq=Jbba9suk9fr=xfr=x frpeWZqaaeaabiGaaiaadaqabeaabeqacqaaaOqaaiabeA8aQnaaBa aaleaacaqGHbaabeaakiaacIcacaWHYbGaaiykaaaa@3DB1@ , которое создают те же самые источники в среде с волновым числом k a (r) MathType@MTEF@5@5@+= feaahGart1ev3aqatCvAUfeBSjuyZL2yd9gzLbvyNv2Caerbov2D09 MBdbqedmvETj2BSbqeduuDJXwAKbYu51MyVXgarqqr1ngBPrgifHhD YfgasaacHOWxh9vrFfeu0dXdh9vqqj=hEeeu0xXdbba9frFj0=OqFf ea0dXdd9vspGe9FjuP0=fs0xXdbba9pGe9xq=Jbba9suk9fr=xfr=x frpeWZqaaeaabiGaaiaadaqabeaabeqacqaaaOqaaiaadUgadaWgaa WcbaGaaeyyaaqabaGccaGGOaGaaCOCaiaacMcaaaa@3CE4@ :

Δ φ a (r)+ k a 2 (r) φ a (r)=F(r), MathType@MTEF@5@5@+= feaahGart1ev3aqatCvAUfeBSjuyZL2yd9gzLbvyNv2Caerbov2D09 MBdbqedmvETj2BSbqeduuDJXwAKbYu51MyVXgarqqr1ngBPrgifHhD YfgasaacHOWxh9vrFfeu0dXdh9vqqj=hEeeu0xXdbba9frFj0=OqFf ea0dXdd9vspGe9FjuP0=fs0xXdbba9pGe9xq=Jbba9suk9fr=xfr=x frpeWZqaaeaabiGaaiaadaqabeaabeqacqaaaOqaaiabfs5aejabeA 8aQnaaBaaaleaacaqGHbaabeaakiaacIcacaWHYbGaaiykaiabgUca RiaadUgadaqhaaWcbaGaaeyyaaqaaiaaikdaaaGccaGGOaGaaCOCai aacMcacqaHgpGAdaWgaaWcbaGaaeyyaaqabaGccaGGOaGaaCOCaiaa cMcacqGH9aqpcaWGgbGaaiikaiaahkhacaGGPaGaaiilaaaa@4F14@   r IR d . MathType@MTEF@5@5@+= feaahGart1ev3aqatCvAUfeBSjuyZL2yd9gzLbvyNv2Caerbov2D09 MBdbqedmvETj2BSbqeduuDJXwAKbYu51MyVXgarqqr1ngBPrgifHhD YfgasaacHOWxh9vrFfeu0dXdh9vqqj=hEeeu0xXdbba9frFj0=OqFf ea0dXdd9vspGe9FjuP0=fs0xXdbba9pGe9xq=Jbba9suk9fr=xfr=x frpeWZqaaeaabiGaaiaadaqabeaabeqacqaaaOqaaiaahkhacqGHii IZcaqGjbGaiigGbkfadGGyaYbaaSqajigGbGGyakacIb4GKbaaaOGa aiOlaaaa@430A@ (3)

В этом случае вводится запаздывающая функция Грина G a (r, r ) MathType@MTEF@5@5@+= feaahGart1ev3aqatCvAUfeBSjuyZL2yd9gzLbvyNv2Caerbov2D09 MBdbqedmvETj2BSbqeduuDJXwAKbYu51MyVXgarqqr1ngBPrgifHhD YfgasaacHOWxh9vrFfeu0dXdh9vqqj=hEeeu0xXdbba9frFj0=OqFf ea0dXdd9vspGe9FjuP0=fs0xXdbba9pGe9xq=Jbba9suk9fr=xfr=x frpeWZqaaeaabiGaaiaadaqabeaabeqacqaaaOqaaiaadEeadaWgaa WcbaGaaeyyaaqabaGccaGGOaGaaCOCaiaacYcaceWHYbGbauaacaGG Paaaaa@3E77@ , и решение уравнения (3) имеет вид φ a (r)= IR d G a (r, r ) F( r )d r MathType@MTEF@5@5@+= feaahGart1ev3aqatCvAUfeBSjuyZL2yd9gzLbvyNv2Caerbov2D09 MBdbqedmvETj2BSbqeduuDJXwAKbYu51MyVXgarqqr1ngBPrgifHhD YfgasaacHOWxh9vrFfeu0dXdh9vqqj=hEeeu0xXdbba9frFj0=OqFf ea0dXdd9vspGe9FjuP0=fs0xXdbba9pGe9xq=Jbba9suk9fr=xfr=x frpeWZqaaeaabiGaaiaadaqabeaabeqacqaaaOqaaiabeA8aQnaaBa aaleaacaqGHbaabeaakiaacIcacaWHYbGaaiykaiabg2da9maapefa baGaam4ramaaBaaaleaacaqGHbaabeaakiaacIcacaWHYbGaaiilai qahkhagaqbaiaacMcaaSqaaiaabMeacGGyagOuamacIbihaaadbKGy agacIbOaiigGdsgaaaaaleqaniabgUIiYdGccaWGgbGaaiikaiqahk hagaqbaiaacMcacaWGKbGabCOCayaafaaaaa@536C@ . Если добавить в обе части уравнения (1) слагаемое ε(r)φ(r) MathType@MTEF@5@5@+= feaahGart1ev3aqatCvAUfeBSjuyZL2yd9gzLbvyNv2Caerbov2D09 MBdbqedmvETj2BSbqeduuDJXwAKbYu51MyVXgarqqr1ngBPrgifHhD YfgasaacHOWxh9vrFfeu0dXdh9vqqj=hEeeu0xXdbba9frFj0=OqFf ea0dXdd9vspGe9FjuP0=fs0xXdbba9pGe9xq=Jbba9suk9fr=xfr=x frpeWZqaaeaabiGaaiaadaqabeaabeqacqaaaOqaaiabew7aLjaacI cacaWHYbGaaiykaiaaykW7cqaHgpGAcaGGOaGaaCOCaiaacMcaaaa@421D@ , где ε(r) k a 2 (r) k 2 (r) MathType@MTEF@5@5@+= feaahGart1ev3aqatCvAUfeBSjuyZL2yd9gzLbvyNv2Caerbov2D09 MBdbqedmvETj2BSbqeduuDJXwAKbYu51MyVXgarqqr1ngBPrgifHhD YfgasaacHOWxh9vrFfeu0dXdh9vqqj=hEeeu0xXdbba9frFj0=OqFf ea0dXdd9vspGe9FjuP0=fs0xXdbba9pGe9xq=Jbba9suk9fr=xfr=x frpeWZqaaeaabiGaaiaadaqabeaabeqacqaaaOqaaiabew7aLjaacI cacaWHYbGaaiykaiabggMi6kaadUgadaqhaaWcbaGaaeyyaaqaaiaa ikdaaaGccaGGOaGaaCOCaiaacMcacqGHsislcaWGRbWaa0baaSqaaa qaaiaaikdaaaGccaGGOaGaaCOCaiaacMcaaaa@4889@  – функция рассеивателя относительно среды с волновым числом k a (r), MathType@MTEF@5@5@+= feaahGart1ev3aqatCvAUfeBSjuyZL2yd9gzLbvyNv2Caerbov2D09 MBdbqedmvETj2BSbqeduuDJXwAKbYu51MyVXgarqqr1ngBPrgifHhD YfgasaacHOWxh9vrFfeu0dXdh9vqqj=hEeeu0xXdbba9frFj0=OqFf ea0dXdd9vspGe9FjuP0=fs0xXdbba9pGe9xq=Jbba9suk9fr=xfr=x frpeWZqaaeaabiGaaiaadaqabeaabeqacqaaaOqaaiaadUgadaWgaa WcbaGaaeyyaaqabaGccaGGOaGaaCOCaiaacMcacaGGSaaaaa@3D94@  получится уравнение (3) с источниками поля, равными F(r)+ε(r)φ(r) MathType@MTEF@5@5@+= feaahGart1ev3aqatCvAUfeBSjuyZL2yd9gzLbvyNv2Caerbov2D09 MBdbqedmvETj2BSbqeduuDJXwAKbYu51MyVXgarqqr1ngBPrgifHhD YfgasaacHOWxh9vrFfeu0dXdh9vqqj=hEeeu0xXdbba9frFj0=OqFf ea0dXdd9vspGe9FjuP0=fs0xXdbba9pGe9xq=Jbba9suk9fr=xfr=x frpeWZqaaeaabiGaaiaadaqabeaabeqacqaaaOqaaiaadAeacaGGOa GaaCOCaiaacMcacqGHRaWkcqaH1oqzcaGGOaGaaCOCaiaacMcacaaM c8UaeqOXdOMaaiikaiaahkhacaGGPaaaaa@461E@ . Его формальное решение с помощью функции Грина приводит к хорошо известному в квантовой теории поля уравнению Липпмана–Швингера [16]. Оно часто служит основой для решения обратных задач и в акустике [17, 18]:

φ(r)= φ a (r)+ G a (r, r )ε( r )φ( r )d r , MathType@MTEF@5@5@+= feaahGart1ev3aqatCvAUfeBSjuyZL2yd9gzLbvyNv2Caerbov2D09 MBdbqedmvETj2BSbqeduuDJXwAKbYu51MyVXgarqqr1ngBPrgifHhD YfgasaacHOWxh9vrFfeu0dXdh9vqqj=hEeeu0xXdbba9frFj0=OqFf ea0dXdd9vspGe9FjuP0=fs0xXdbba9pGe9xq=Jbba9suk9fr=xfr=x frpeWZqaaeaabiGaaiaadaqabeaabeqacqaaaOqaaiabeA8aQjaacI cacaWHYbGaaiykaiabg2da9iabeA8aQnaaBaaaleaacaqGHbaabeaa kiaacIcacaWHYbGaaiykaiabgUcaRmaapefabaGaam4ramaaBaaale aacaqGHbaabeaakiaacIcacaWHYbGaaiilaiqahkhagaqbaiaacMca cqaH1oqzcaGGOaGabCOCayaafaGaaiykaiabeA8aQjaacIcaceWHYb GbauaacaGGPaGaamizaiqahkhagaqbaaWcbaGaeyihHimabeqdcqGH RiI8aOGaaiilaaaa@583E@   

r IR d , MathType@MTEF@5@5@+= feaahGart1ev3aqatCvAUfeBSjuyZL2yd9gzLbvyNv2Caerbov2D09 MBdbqedmvETj2BSbqeduuDJXwAKbYu51MyVXgarqqr1ngBPrgifHhD YfgasaacHOWxh9vrFfeu0dXdh9vqqj=hEeeu0xXdbba9frFj0=OqFf ea0dXdd9vspGe9FjuP0=fs0xXdbba9pGe9xq=Jbba9suk9fr=xfr=x frpeWZqaaeaabiGaaiaadaqabeaabeqacqaaaOqaaiaahkhacqGHii IZcaqGjbGaiigGbkfadGGyaYbaaSqajigGbGGyakacIb4GKbaaaOGa aiilaaaa@4308@   r . MathType@MTEF@5@5@+= feaahGart1ev3aqatCvAUfeBSjuyZL2yd9gzLbvyNv2Caerbov2D09 MBdbqedmvETj2BSbqeduuDJXwAKbYu51MyVXgarqqr1ngBPrgifHhD YfgasaacHOWxh9vrFfeu0dXdh9vqqj=hEeeu0xXdbba9frFj0=OqFf ea0dXdd9vspGe9FjuP0=fs0xXdbba9pGe9xq=Jbba9suk9fr=xfr=x frpeWZqaaeaabiGaaiaadaqabeaabeqacqaaaOqaaiqahkhagaqbai abgIGiolabgYriclaac6caaaa@3D4E@   (4)

Это уравнение отражает тот факт, что полное поле источника φ(r) MathType@MTEF@5@5@+= feaahGart1ev3aqatCvAUfeBSjuyZL2yd9gzLbvyNv2Caerbov2D09 MBdbqedmvETj2BSbqeduuDJXwAKbYu51MyVXgarqqr1ngBPrgifHhD YfgasaacHOWxh9vrFfeu0dXdh9vqqj=hEeeu0xXdbba9frFj0=OqFf ea0dXdd9vspGe9FjuP0=fs0xXdbba9pGe9xq=Jbba9suk9fr=xfr=x frpeWZqaaeaabiGaaiaadaqabeaabeqacqaaaOqaaiabeA8aQjaacI cacaWHYbGaaiykaaaa@3C97@  складывается из падающего поля φ a (r) MathType@MTEF@5@5@+= feaahGart1ev3aqatCvAUfeBSjuyZL2yd9gzLbvyNv2Caerbov2D09 MBdbqedmvETj2BSbqeduuDJXwAKbYu51MyVXgarqqr1ngBPrgifHhD YfgasaacHOWxh9vrFfeu0dXdh9vqqj=hEeeu0xXdbba9frFj0=OqFf ea0dXdd9vspGe9FjuP0=fs0xXdbba9pGe9xq=Jbba9suk9fr=xfr=x frpeWZqaaeaabiGaaiaadaqabeaabeqacqaaaOqaaiabeA8aQnaaBa aaleaacaqGHbaabeaakiaacIcacaWHYbGaaiykaaaa@3DB1@ , которое он создавал бы в среде с волновым числом k a (r) MathType@MTEF@5@5@+= feaahGart1ev3aqatCvAUfeBSjuyZL2yd9gzLbvyNv2Caerbov2D09 MBdbqedmvETj2BSbqeduuDJXwAKbYu51MyVXgarqqr1ngBPrgifHhD YfgasaacHOWxh9vrFfeu0dXdh9vqqj=hEeeu0xXdbba9frFj0=OqFf ea0dXdd9vspGe9FjuP0=fs0xXdbba9pGe9xq=Jbba9suk9fr=xfr=x frpeWZqaaeaabiGaaiaadaqabeaabeqacqaaaOqaaiaadUgadaWgaa WcbaGaaeyyaaqabaGccaGGOaGaaCOCaiaacMcaaaa@3CE4@ , и рассеянного поля, выраженного интегралом по области неоднородности MathType@MTEF@5@5@+= feaahGart1ev3aqatCvAUfeBSjuyZL2yd9gzLbvyNv2Caerbov2D09 MBdbqedmvETj2BSbqeduuDJXwAKbYu51MyVXgarqqr1ngBPrgifHhD YfgasaacHOWxh9vrFfeu0dXdh9vqqj=hEeeu0xXdbba9frFj0=OqFf ea0dXdd9vspGe9FjuP0=fs0xXdbba9pGe9xq=Jbba9suk9fr=xfr=x frpeWZqaaeaabiGaaiaadaqabeaabeqacqaaaOqaaiabgYricdaa@3A11@ , где функция ε(r) MathType@MTEF@5@5@+= feaahGart1ev3aqatCvAUfeBSjuyZL2yd9gzLbvyNv2Caerbov2D09 MBdbqedmvETj2BSbqeduuDJXwAKbYu51MyVXgarqqr1ngBPrgifHhD YfgasaacHOWxh9vrFfeu0dXdh9vqqj=hEeeu0xXdbba9frFj0=OqFf ea0dXdd9vspGe9FjuP0=fs0xXdbba9pGe9xq=Jbba9suk9fr=xfr=x frpeWZqaaeaabiGaaiaadaqabeaabeqacqaaaOqaaiabew7aLjaacI cacaWHYbGaaiykaaaa@3C81@  отлична от нуля. Учитывая, что (4) выполнено при любой конфигурации источников поля, и полагая F(r)=δ(r r ) MathType@MTEF@5@5@+= feaahGart1ev3aqatCvAUfeBSjuyZL2yd9gzLbvyNv2Caerbov2D09 MBdbqedmvETj2BSbqeduuDJXwAKbYu51MyVXgarqqr1ngBPrgifHhD YfgasaacHOWxh9vrFfeu0dXdh9vqqj=hEeeu0xXdbba9frFj0=OqFf ea0dXdd9vspGe9FjuP0=fs0xXdbba9pGe9xq=Jbba9suk9fr=xfr=x frpeWZqaaeaabiGaaiaadaqabeaabeqacqaaaOqaaiaadAeacaGGOa GaaCOCaiaacMcacqGH9aqpcqaH0oazcaGGOaGaaCOCaiabgkHiTiqa hkhagaGbaiaacMcaaaa@4299@  при произвольном r MathType@MTEF@5@5@+= feaahGart1ev3aqatCvAUfeBSjuyZL2yd9gzLbvyNv2Caerbov2D09 MBdbqedmvETj2BSbqeduuDJXwAKbYu51MyVXgarqqr1ngBPrgifHhD YfgasaacHOWxh9vrFfeu0dXdh9vqqj=hEeeu0xXdbba9frFj0=OqFf ea0dXdd9vspGe9FjuP0=fs0xXdbba9pGe9xq=Jbba9suk9fr=xfr=x frpeWZqaaeaabiGaaiaadaqabeaabeqacqaaaOqaaiqahkhagaGbaa aa@398E@ , можно записать такое же по форме уравнение относительно функции Грина G(r, r ) MathType@MTEF@5@5@+= feaahGart1ev3aqatCvAUfeBSjuyZL2yd9gzLbvyNv2Caerbov2D09 MBdbqedmvETj2BSbqeduuDJXwAKbYu51MyVXgarqqr1ngBPrgifHhD YfgasaacHOWxh9vrFfeu0dXdh9vqqj=hEeeu0xXdbba9frFj0=OqFf ea0dXdd9vspGe9FjuP0=fs0xXdbba9pGe9xq=Jbba9suk9fr=xfr=x frpeWZqaaeaabiGaaiaadaqabeaabeqacqaaaOqaaiaadEeacaGGOa GaaCOCaiaacYcaceWHYbGbauaacaGGPaaaaa@3D5D@ :

G(r, r )= G a (r, r )+ G a (r, r )ε( r )G( r , r )d r , MathType@MTEF@5@5@+= feaahGart1ev3aqatCvAUfeBSjuyZL2yd9gzLbvyNv2Caerbov2D09 MBdbqedmvETj2BSbqeduuDJXwAKbYu51MyVXgarqqr1ngBPrgifHhD YfgasaacHOWxh9vrFfeu0dXdh9vqqj=hEeeu0xXdbba9frFj0=OqFf ea0dXdd9vspGe9FjuP0=fs0xXdbba9pGe9xq=Jbba9suk9fr=xfr=x frpeWZqaaeaabiGaaiaadaqabeaabeqacqaaaOqaaiaadEeacaGGOa GaaCOCaiaacYcaceWHYbGbauaacaGGPaGaeyypa0Jaam4ramaaBaaa leaacaqGHbaabeaakiaacIcacaWHYbGaaiilaiqahkhagaqbaiaacM cacqGHRaWkdaWdrbqaaiaadEeadaWgaaWcbaGaaeyyaaqabaGccaGG OaGaaCOCaiaacYcaceWHYbGbayaacaGGPaGaeqyTduMaaiikaiqahk hagaGbaiaacMcacaaMc8Uaam4raiaacIcaceWHYbGbayaacaGGSaGa bCOCayaafaGaaiykaiaadsgaceWHYbGbayaaaSqaaiabgYricdqab0 Gaey4kIipakiaacYcaaaa@5C1F@

r, r IR d , MathType@MTEF@5@5@+= feaahGart1ev3aqatCvAUfeBSjuyZL2yd9gzLbvyNv2Caerbov2D09 MBdbqedmvETj2BSbqeduuDJXwAKbYu51MyVXgarqqr1ngBPrgifHhD YfgasaacHOWxh9vrFfeu0dXdh9vqqj=hEeeu0xXdbba9frFj0=OqFf ea0dXdd9vspGe9FjuP0=fs0xXdbba9pGe9xq=Jbba9suk9fr=xfr=x frpeWZqaaeaabiGaaiaadaqabeaabeqacqaaaOqaaiaahkhacaGGSa GabCOCayaafaGaeyicI4SaaeysaiacIbyGsbWaiigGCaaaleqcIbya iigGcGGyaoizaaaakiaacYcaaaa@44BF@   r . MathType@MTEF@5@5@+= feaahGart1ev3aqatCvAUfeBSjuyZL2yd9gzLbvyNv2Caerbov2D09 MBdbqedmvETj2BSbqeduuDJXwAKbYu51MyVXgarqqr1ngBPrgifHhD YfgasaacHOWxh9vrFfeu0dXdh9vqqj=hEeeu0xXdbba9frFj0=OqFf ea0dXdd9vspGe9FjuP0=fs0xXdbba9pGe9xq=Jbba9suk9fr=xfr=x frpeWZqaaeaabiGaaiaadaqabeaabeqacqaaaOqaaiqahkhagaGbai abgIGiolabgYriclaac6caaaa@3D4F@ (5)  

Его можно использовать для вычисления функции G(r, r ) MathType@MTEF@5@5@+= feaahGart1ev3aqatCvAUfeBSjuyZL2yd9gzLbvyNv2Caerbov2D09 MBdbqedmvETj2BSbqeduuDJXwAKbYu51MyVXgarqqr1ngBPrgifHhD YfgasaacHOWxh9vrFfeu0dXdh9vqqj=hEeeu0xXdbba9frFj0=OqFf ea0dXdd9vspGe9FjuP0=fs0xXdbba9pGe9xq=Jbba9suk9fr=xfr=x frpeWZqaaeaabiGaaiaadaqabeaabeqacqaaaOqaaiaadEeacaGGOa GaaCOCaiaacYcaceWHYbGbauaacaGGPaaaaa@3D5D@ , если известна функция G a (r, r ) MathType@MTEF@5@5@+= feaahGart1ev3aqatCvAUfeBSjuyZL2yd9gzLbvyNv2Caerbov2D09 MBdbqedmvETj2BSbqeduuDJXwAKbYu51MyVXgarqqr1ngBPrgifHhD YfgasaacHOWxh9vrFfeu0dXdh9vqqj=hEeeu0xXdbba9frFj0=OqFf ea0dXdd9vspGe9FjuP0=fs0xXdbba9pGe9xq=Jbba9suk9fr=xfr=x frpeWZqaaeaabiGaaiaadaqabeaabeqacqaaaOqaaiaadEeadaWgaa WcbaGaaeyyaaqabaGccaGGOaGaaCOCaiaacYcaceWHYbGbauaacaGG Paaaaa@3E77@ . В свою очередь, функцию G a (r, r ) MathType@MTEF@5@5@+= feaahGart1ev3aqatCvAUfeBSjuyZL2yd9gzLbvyNv2Caerbov2D09 MBdbqedmvETj2BSbqeduuDJXwAKbYu51MyVXgarqqr1ngBPrgifHhD YfgasaacHOWxh9vrFfeu0dXdh9vqqj=hEeeu0xXdbba9frFj0=OqFf ea0dXdd9vspGe9FjuP0=fs0xXdbba9pGe9xq=Jbba9suk9fr=xfr=x frpeWZqaaeaabiGaaiaadaqabeaabeqacqaaaOqaaiaadEeadaWgaa WcbaGaaeyyaaqabaGccaGGOaGaaCOCaiaacYcaceWHYbGbauaacaGG Paaaaa@3E77@  можно определить из того же уравнения (5), выполнив замену переменных и рассматривая теперь в качестве априорной оценки однородную среду с волновым числом k 0 MathType@MTEF@5@5@+= feaahGart1ev3aqatCvAUfeBSjuyZL2yd9gzLbvyNv2Caerbov2D09 MBdbqedmvETj2BSbqeduuDJXwAKbYu51MyVXgarqqr1ngBPrgifHhD YfgasaacHOWxh9vrFfeu0dXdh9vqqj=hEeeu0xXdbba9frFj0=OqFf ea0dXdd9vspGe9FjuP0=fs0xXdbba9pGe9xq=Jbba9suk9fr=xfr=x frpeWZqaaeaabiGaaiaadaqabeaabeqacqaaaOqaaiaadUgadaWgaa WcbaGaaGimaaqabaaaaa@3A5C@  и функцией Грина G 0 (r, r ) MathType@MTEF@5@5@+= feaahGart1ev3aqatCvAUfeBSjuyZL2yd9gzLbvyNv2Caerbov2D09 MBdbqedmvETj2BSbqeduuDJXwAKbYu51MyVXgarqqr1ngBPrgifHhD YfgasaacHOWxh9vrFfeu0dXdh9vqqj=hEeeu0xXdbba9frFj0=OqFf ea0dXdd9vspGe9FjuP0=fs0xXdbba9pGe9xq=Jbba9suk9fr=xfr=x frpeWZqaaeaabiGaaiaadaqabeaabeqacqaaaOqaaiaadEeadaWgaa WcbaGaaeimaaqabaGccaGGOaGaaCOCaiaacYcaceWHYbGbauaacaGG Paaaaa@3E46@ :

G a (r, r )= G 0 (r, r )+ G 0 (r, r ) ε a ( r ) G a ( r , r )d r , MathType@MTEF@5@5@+= feaahGart1ev3aqatCvAUfeBSjuyZL2yd9gzLbvyNv2Caerbov2D09 MBdbqedmvETj2BSbqeduuDJXwAKbYu51MyVXgarqqr1ngBPrgifHhD YfgasaacHOWxh9vrFfeu0dXdh9vqqj=hEeeu0xXdbba9frFj0=OqFf ea0dXdd9vspGe9FjuP0=fs0xXdbba9pGe9xq=Jbba9suk9fr=xfr=x frpeWZqaaeaabiGaaiaadaqabeaabeqacqaaaOqaaiaadEeadaWgaa WcbaGaaeyyaaqabaGccaGGOaGaaCOCaiaacYcaceWHYbGbauaacaGG PaGaeyypa0Jaam4ramaaBaaaleaacaqGWaaabeaakiaacIcacaWHYb GaaiilaiqahkhagaqbaiaacMcacqGHRaWkdaWdrbqaaiaadEeadaWg aaWcbaGaaeimaaqabaGccaGGOaGaaCOCaiaacYcaceWHYbGbayaaca GGPaGaeqyTdu2aaSbaaSqaaiaabggaaeqaaOGaaiikaiqahkhagaGb aiaacMcacaaMc8Uaam4ramaaBaaaleaacaqGHbaabeaakiaacIcace WHYbGbayaacaGGSaGabCOCayaafaGaaiykaiaadsgaceWHYbGbayaa aSqaaiabgYricdqab0Gaey4kIipakiaacYcaaaa@5F0B@

r, r IR d , MathType@MTEF@5@5@+= feaahGart1ev3aqatCvAUfeBSjuyZL2yd9gzLbvyNv2Caerbov2D09 MBdbqedmvETj2BSbqeduuDJXwAKbYu51MyVXgarqqr1ngBPrgifHhD YfgasaacHOWxh9vrFfeu0dXdh9vqqj=hEeeu0xXdbba9frFj0=OqFf ea0dXdd9vspGe9FjuP0=fs0xXdbba9pGe9xq=Jbba9suk9fr=xfr=x frpeWZqaaeaabiGaaiaadaqabeaabeqacqaaaOqaaiaahkhacaGGSa GabCOCayaafaGaeyicI4SaaeysaiacIbyGsbWaiigGCaaaleqcIbya iigGcGGyaoizaaaakiaacYcaaaa@44BF@   r . MathType@MTEF@5@5@+= feaahGart1ev3aqatCvAUfeBSjuyZL2yd9gzLbvyNv2Caerbov2D09 MBdbqedmvETj2BSbqeduuDJXwAKbYu51MyVXgarqqr1ngBPrgifHhD YfgasaacHOWxh9vrFfeu0dXdh9vqqj=hEeeu0xXdbba9frFj0=OqFf ea0dXdd9vspGe9FjuP0=fs0xXdbba9pGe9xq=Jbba9suk9fr=xfr=x frpeWZqaaeaabiGaaiaadaqabeaabeqacqaaaOqaaiqahkhagaGbai abgIGiolabgYriclaac6caaaa@3D4F@ (6)

Здесь ε a (r) k 0 2 k a 2 (r) MathType@MTEF@5@5@+= feaahGart1ev3aqatCvAUfeBSjuyZL2yd9gzLbvyNv2Caerbov2D09 MBdbqedmvETj2BSbqeduuDJXwAKbYu51MyVXgarqqr1ngBPrgifHhD YfgasaacHOWxh9vrFfeu0dXdh9vqqj=hEeeu0xXdbba9frFj0=OqFf ea0dXdd9vspGe9FjuP0=fs0xXdbba9pGe9xq=Jbba9suk9fr=xfr=x frpeWZqaaeaabiGaaiaadaqabeaabeqacqaaaOqaaiabew7aLnaaBa aaleaacaqGHbaabeaakiaacIcacaWHYbGaaiykaiabggMi6kaadUga daqhaaWcbaGaaeimaaqaaiaaikdaaaGccqGHsislcaWGRbWaa0baaS qaaiaabggaaeaacaaIYaaaaOGaaiikaiaahkhacaGGPaaaaa@4802@  – функция рассеивателя для априорной оценки k a (r) MathType@MTEF@5@5@+= feaahGart1ev3aqatCvAUfeBSjuyZL2yd9gzLbvyNv2Caerbov2D09 MBdbqedmvETj2BSbqeduuDJXwAKbYu51MyVXgarqqr1ngBPrgifHhD YfgasaacHOWxh9vrFfeu0dXdh9vqqj=hEeeu0xXdbba9frFj0=OqFf ea0dXdd9vspGe9FjuP0=fs0xXdbba9pGe9xq=Jbba9suk9fr=xfr=x frpeWZqaaeaabiGaaiaadaqabeaabeqacqaaaOqaaiaadUgadaWgaa WcbaGaaeyyaaqabaGccaGGOaGaaCOCaiaacMcaaaa@3CE4@  относительно фоновой среды. Функция Грина G 0 (r, r ) MathType@MTEF@5@5@+= feaahGart1ev3aqatCvAUfeBSjuyZL2yd9gzLbvyNv2Caerbov2D09 MBdbqedmvETj2BSbqeduuDJXwAKbYu51MyVXgarqqr1ngBPrgifHhD YfgasaacHOWxh9vrFfeu0dXdh9vqqj=hEeeu0xXdbba9frFj0=OqFf ea0dXdd9vspGe9FjuP0=fs0xXdbba9pGe9xq=Jbba9suk9fr=xfr=x frpeWZqaaeaabiGaaiaadaqabeaabeqacqaaaOqaaiaadEeadaWgaa WcbaGaaeimaaqabaGccaGGOaGaaCOCaiaacYcaceWHYbGbauaacaGG Paaaaa@3E46@  известна аналитически [2, 17–19]. Например, в двумерном случае ( d=2 MathType@MTEF@5@5@+= feaahGart1ev3aqatCvAUfeBSjuyZL2yd9gzLbvyNv2Caerbov2D09 MBdbqedmvETj2BSbqeduuDJXwAKbYu51MyVXgarqqr1ngBPrgifHhD YfgasaacHOWxh9vrFfeu0dXdh9vqqj=hEeeu0xXdbba9frFj0=OqFf ea0dXdd9vspGe9FjuP0=fs0xXdbba9pGe9xq=Jbba9suk9fr=xfr=x frpeWZqaaeaabiGaaiaadaqabeaabeqacqaaaOqaaiaadsgacqGH9a qpcaaIYaaaaa@3B31@  ), который будет рассматриваться в дальнейшем на этапе численного моделирования, G 0 (d=2) (r, r )= i 4 H 0 (1) k 0 r r , MathType@MTEF@5@5@+= feaahGart1ev3aqatCvAUfeBSjuyZL2yd9gzLbvyNv2Caerbov2D09 MBdbqedmvETj2BSbqeduuDJXwAKbYu51MyVXgarqqr1ngBPrgifHhD YfgasaacHOWxh9vrFfeu0dXdh9vqqj=hEeeu0xXdbba9frFj0=OqFf ea0dXdd9vspGe9FjuP0=fs0xXdbba9pGe9xq=Jbba9suk9fr=xfr=x frpeWZqaaeaabiGaaiaadaqabeaabeqacqaaaOqaaiaadEeadaqhaa WcbaGaaGimaaqaaiaacIcacaWGKbGaeyypa0JaaGOmaiaacMcaaaGc caGGOaGaaCOCaiaacYcaceWHYbGbauaacaGGPaGaeyypa0JaeyOeI0 YaaSaaaeaacaWGPbaabaGaaGinaaaacaWGibWaa0baaSqaaiaaicda aeaacaGGOaGaaGymaiaacMcaaaGcdaqadaqaaiaadUgadaWgaaWcba GaaGimaaqabaGcdaabdaqaaiaahkhacqGHsislceWHYbGbauaaaiaa wEa7caGLiWoaaiaawIcacaGLPaaacaGGSaaaaa@53FD@  где H 0 (1) () MathType@MTEF@5@5@+= feaahGart1ev3aqatCvAUfeBSjuyZL2yd9gzLbvyNv2Caerbov2D09 MBdbqedmvETj2BSbqeduuDJXwAKbYu51MyVXgarqqr1ngBPrgifHhD YfgasaacHOWxh9vrFfeu0dXdh9vqqj=hEeeu0xXdbba9frFj0=OqFf ea0dXdd9vspGe9FjuP0=fs0xXdbba9pGe9xq=Jbba9suk9fr=xfr=x frpeWZqaaeaabiGaaiaadaqabeaabeqacqaaaOqaaiaadIeadaqhaa WcbaGaaGimaaqaaiaacIcacaaIXaGaaiykaaaakiaacIcacqGHflY1 caGGPaaaaa@3FFB@  – функция Ханкеля первого рода нулевого порядка. В случае, когда априорная оценка k a (r) MathType@MTEF@5@5@+= feaahGart1ev3aqatCvAUfeBSjuyZL2yd9gzLbvyNv2Caerbov2D09 MBdbqedmvETj2BSbqeduuDJXwAKbYu51MyVXgarqqr1ngBPrgifHhD YfgasaacHOWxh9vrFfeu0dXdh9vqqj=hEeeu0xXdbba9frFj0=OqFf ea0dXdd9vspGe9FjuP0=fs0xXdbba9pGe9xq=Jbba9suk9fr=xfr=x frpeWZqaaeaabiGaaiaadaqabeaabeqacqaaaOqaaiaadUgadaWgaa WcbaGaaeyyaaqabaGccaGGOaGaaCOCaiaacMcaaaa@3CE4@  близка к истинному значению k(r) MathType@MTEF@5@5@+= feaahGart1ev3aqatCvAUfeBSjuyZL2yd9gzLbvyNv2Caerbov2D09 MBdbqedmvETj2BSbqeduuDJXwAKbYu51MyVXgarqqr1ngBPrgifHhD YfgasaacHOWxh9vrFfeu0dXdh9vqqj=hEeeu0xXdbba9frFj0=OqFf ea0dXdd9vspGe9FjuP0=fs0xXdbba9pGe9xq=Jbba9suk9fr=xfr=x frpeWZqaaeaabiGaaiaadaqabeaabeqacqaaaOqaaiaadUgacaGGOa GaaCOCaiaacMcaaaa@3BCA@ , G(r, r ) G a (r, r ) MathType@MTEF@5@5@+= feaahGart1ev3aqatCvAUfeBSjuyZL2yd9gzLbvyNv2Caerbov2D09 MBdbqedmvETj2BSbqeduuDJXwAKbYu51MyVXgarqqr1ngBPrgifHhD YfgasaacHOWxh9vrFfeu0dXdh9vqqj=hEeeu0xXdbba9frFj0=OqFf ea0dXdd9vspGe9FjuP0=fs0xXdbba9pGe9xq=Jbba9suk9fr=xfr=x frpeWZqaaeaabiGaaiaadaqabeaabeqacqaaaOqaaiaadEeacaGGOa GaaCOCaiaacYcaceWHYbGbauaacaGGPaGaeyisISRaam4ramaaBaaa leaacaqGHbaabeaakiaacIcacaWHYbGaaiilaiqahkhagaqbaiaacM caaaa@44FF@ , и для уравнения (5) справедливо борновское приближение [17, 18, 20, 21]:

G(r, r ) G a (r, r )+ G a (r, r )ε( r ) G a ( r , r )d r , MathType@MTEF@5@5@+= feaahGart1ev3aqatCvAUfeBSjuyZL2yd9gzLbvyNv2Caerbov2D09 MBdbqedmvETj2BSbqeduuDJXwAKbYu51MyVXgarqqr1ngBPrgifHhD YfgasaacHOWxh9vrFfeu0dXdh9vqqj=hEeeu0xXdbba9frFj0=OqFf ea0dXdd9vspGe9FjuP0=fs0xXdbba9pGe9xq=Jbba9suk9fr=xfr=x frpeWZqaaeaabiGaaiaadaqabeaabeqacqaaaOqaaiaadEeacaGGOa GaaCOCaiaacYcaceWHYbGbauaacaGGPaGaeyisISRaam4ramaaBaaa leaacaqGHbaabeaakiaacIcacaWHYbGaaiilaiqahkhagaqbaiaacM cacqGHRaWkdaWdrbqaaiaadEeadaWgaaWcbaGaaeyyaaqabaGccaGG OaGaaCOCaiaacYcaceWHYbGbayaacaGGPaGaeqyTduMaaiikaiqahk hagaGbaiaacMcacaaMc8Uaam4ramaaBaaaleaacaqGHbaabeaakiaa cIcaceWHYbGbayaacaGGSaGabCOCayaafaGaaiykaiaadsgaceWHYb GbayaaaSqaaiabgYricdqab0Gaey4kIipakiaacYcaaaa@5DE4@

r, r IR d , MathType@MTEF@5@5@+= feaahGart1ev3aqatCvAUfeBSjuyZL2yd9gzLbvyNv2Caerbov2D09 MBdbqedmvETj2BSbqeduuDJXwAKbYu51MyVXgarqqr1ngBPrgifHhD YfgasaacHOWxh9vrFfeu0dXdh9vqqj=hEeeu0xXdbba9frFj0=OqFf ea0dXdd9vspGe9FjuP0=fs0xXdbba9pGe9xq=Jbba9suk9fr=xfr=x frpeWZqaaeaabiGaaiaadaqabeaabeqacqaaaOqaaiaahkhacaGGSa GabCOCayaafaGaeyicI4SaaeysaiacIbyGsbWaiigGCaaaleqcIbya iigGcGGyaoizaaaakiaacYcaaaa@44BF@   r . MathType@MTEF@5@5@+= feaahGart1ev3aqatCvAUfeBSjuyZL2yd9gzLbvyNv2Caerbov2D09 MBdbqedmvETj2BSbqeduuDJXwAKbYu51MyVXgarqqr1ngBPrgifHhD YfgasaacHOWxh9vrFfeu0dXdh9vqqj=hEeeu0xXdbba9frFj0=OqFf ea0dXdd9vspGe9FjuP0=fs0xXdbba9pGe9xq=Jbba9suk9fr=xfr=x frpeWZqaaeaabiGaaiaadaqabeaabeqacqaaaOqaaiqahkhagaGbai abgIGiolabgYriclaac6caaaa@3D4F@ (7)

Далее рассматриваются акустические поля, порожденные шумовыми источниками F (n) (r) MathType@MTEF@5@5@+= feaahGart1ev3aqatCvAUfeBSjuyZL2yd9gzLbvyNv2Caerbov2D09 MBdbqedmvETj2BSbqeduuDJXwAKbYu51MyVXgarqqr1ngBPrgifHhD YfgasaacHOWxh9vrFfeu0dXdh9vqqj=hEeeu0xXdbba9frFj0=OqFf ea0dXdd9vspGe9FjuP0=fs0xXdbba9pGe9xq=Jbba9suk9fr=xfr=x frpeWZqaaeaabiGaaiaadaqabeaabeqacqaaaOqaaiaadAeadaahaa WcbeqaaiaacIcacaWGUbGaaiykaaaakiaacIcacaWHYbGaaiykaaaa @3E28@  при каждом n MathType@MTEF@5@5@+= feaahGart1ev3aqatCvAUfeBSjuyZL2yd9gzLbvyNv2Caerbov2D09 MBdbqedmvETj2BSbqeduuDJXwAKbYu51MyVXgarqqr1ngBPrgifHhD YfgasaacHOWxh9vrFfeu0dXdh9vqqj=hEeeu0xXdbba9frFj0=OqFf ea0dXdd9vspGe9FjuP0=fs0xXdbba9pGe9xq=Jbba9suk9fr=xfr=x frpeWZqaaeaabiGaaiaadaqabeaabeqacqaaaOqaaiaad6gaaaa@3979@  -м ракурсе облучения. Регистрация сигналов осуществляется с помощью N R MathType@MTEF@5@5@+= feaahGart1ev3aqatCvAUfeBSjuyZL2yd9gzLbvyNv2Caerbov2D09 MBdbqedmvETj2BSbqeduuDJXwAKbYu51MyVXgarqqr1ngBPrgifHhD YfgasaacHOWxh9vrFfeu0dXdh9vqqj=hEeeu0xXdbba9frFj0=OqFf ea0dXdd9vspGe9FjuP0=fs0xXdbba9pGe9xq=Jbba9suk9fr=xfr=x frpeWZqaaeaabiGaaiaadaqabeaabeqacqaaaOqaaiaad6eadaWgaa WcbaGaamOuaaqabaaaaa@3A5C@  приемников. Каждый j MathType@MTEF@5@5@+= feaahGart1ev3aqatCvAUfeBSjuyZL2yd9gzLbvyNv2Caerbov2D09 MBdbqedmvETj2BSbqeduuDJXwAKbYu51MyVXgarqqr1ngBPrgifHhD YfgasaacHOWxh9vrFfeu0dXdh9vqqj=hEeeu0xXdbba9frFj0=OqFf ea0dXdd9vspGe9FjuP0=fs0xXdbba9pGe9xq=Jbba9suk9fr=xfr=x frpeWZqaaeaabiGaaiaadaqabeaabeqacqaaaOqaaiaadQgaaaa@3975@  -й из них можно задать, определив множество точек S j MathType@MTEF@5@5@+= feaahGart1ev3aqatCvAUfeBSjuyZL2yd9gzLbvyNv2Caerbov2D09 MBdbqedmvETj2BSbqeduuDJXwAKbYu51MyVXgarqqr1ngBPrgifHhD YfgasaacHOWxh9vrFfeu0dXdh9vqqj=hEeeu0xXdbba9frFj0=OqFf ea0dXdd9vspGe9FjuP0=fs0xXdbba9pGe9xq=Jbba9suk9fr=xfr=x frpeWZqaaeaabiGaaiaadaqabeaabeqacqaaaOqaaiaadofadaWgaa WcbaGaamOAaaqabaaaaa@3A79@  его поверхности. Тогда принятые сигналы U j (n) MathType@MTEF@5@5@+= feaahGart1ev3aqatCvAUfeBSjuyZL2yd9gzLbvyNv2Caerbov2D09 MBdbqedmvETj2BSbqeduuDJXwAKbYu51MyVXgarqqr1ngBPrgifHhD YfgasaacHOWxh9vrFfeu0dXdh9vqqj=hEeeu0xXdbba9frFj0=OqFf ea0dXdd9vspGe9FjuP0=fs0xXdbba9pGe9xq=Jbba9suk9fr=xfr=x frpeWZqaaeaabiGaaiaadaqabeaabeqacqaaaOqaaiaadwfadaqhaa WcbaGaamOAaaqaaiaacIcacaWGUbGaaiykaaaaaaa@3CC8@  представляются в виде

U j (n) = S j φ (n) (r)dr , MathType@MTEF@5@5@+= feaahGart1ev3aqatCvAUfeBSjuyZL2yd9gzLbvyNv2Caerbov2D09 MBdbqedmvETj2BSbqeduuDJXwAKbYu51MyVXgarqqr1ngBPrgifHhD YfgasaacHOWxh9vrFfeu0dXdh9vqqj=hEeeu0xXdbba9frFj0=OqFf ea0dXdd9vspGe9FjuP0=fs0xXdbba9pGe9xq=Jbba9suk9fr=xfr=x frpeWZqaaeaabiGaaiaadaqabeaabeqacqaaaOqaaiaadwfadaqhaa WcbaGaamOAaaqaaiaacIcacaWGUbGaaiykaaaakiabg2da9maapefa baGaeqOXdO2aaWbaaSqabeaacaGGOaGaamOBaiaacMcaaaGccaGGOa GaaCOCaiaacMcacaWGKbGaaCOCaaWcbaGaam4uamaaBaaameaacaWG QbaabeaaaSqab0Gaey4kIipakiaacYcaaaa@4B53@ (8)

где φ (n) (r) MathType@MTEF@5@5@+= feaahGart1ev3aqatCvAUfeBSjuyZL2yd9gzLbvyNv2Caerbov2D09 MBdbqedmvETj2BSbqeduuDJXwAKbYu51MyVXgarqqr1ngBPrgifHhD YfgasaacHOWxh9vrFfeu0dXdh9vqqj=hEeeu0xXdbba9frFj0=OqFf ea0dXdd9vspGe9FjuP0=fs0xXdbba9pGe9xq=Jbba9suk9fr=xfr=x frpeWZqaaeaabiGaaiaadaqabeaabeqacqaaaOqaaiabeA8aQnaaCa aaleqabaGaaiikaiaad6gacaGGPaaaaOGaaiikaiaahkhacaGGPaaa aa@3F1A@ , r IR d MathType@MTEF@5@5@+= feaahGart1ev3aqatCvAUfeBSjuyZL2yd9gzLbvyNv2Caerbov2D09 MBdbqedmvETj2BSbqeduuDJXwAKbYu51MyVXgarqqr1ngBPrgifHhD YfgasaacHOWxh9vrFfeu0dXdh9vqqj=hEeeu0xXdbba9frFj0=OqFf ea0dXdd9vspGe9FjuP0=fs0xXdbba9pGe9xq=Jbba9suk9fr=xfr=x frpeWZqaaeaabiGaaiaadaqabeaabeqacqaaaOqaaiaahkhacqGHii IZcaqGjbGaiigGbkfadGGyaYbaaSqajigGbGGyakacIb4GKbaaaaaa @424E@  – поле акустического потенциала при соответствующем ракурсе облучения. На их основе формируется набор матриц когерентности, элементы которых определяются как Γ ij (n) = U i (n) U j (n) * MathType@MTEF@5@5@+= feaahGart1ev3aqatCvAUfeBSjuyZL2yd9gzLbvyNv2Caerbov2D09 MBdbqedmvETj2BSbqeduuDJXwAKbYu51MyVXgarqqr1ngBPrgifHhD YfgasaacHOWxh9vrFfeu0dXdh9vqqj=hEeeu0xXdbba9frFj0=OqFf ea0dXdd9vspGe9FjuP0=fs0xXdbba9pGe9xq=Jbba9suk9fr=xfr=x frpeWZqaaeaabiGaaiaadaqabeaabeqacqaaaOqaaiabfo5ahnaaDa aaleaacaWGPbGaamOAaaqaaiaacIcacaWGUbGaaiykaaaakiabg2da 9maaamaabaGaamyvamaaDaaaleaacaWGPbaabaGaaiikaiaad6gaca GGPaaaaOWaiaOTcmaabGaG2kaaykW7caWGvbWaa0baaSqaaiaadQga aeaacaGGOaGaamOBaiaacMcaaaaakiacaARL7bGaiaOTw2haamacaA lhaaWcbKaG2gacaARaiaOTykW7cGaG2kOkaaaaaOGaayzkJiaawQYi aaaa@5B15@ , где “*” означает комплексное сопряжение, а угловые скобки – усреднение по всем реализациям. Последовательно учитывая (8) и (2), а также принимая во внимание, что функции Грина являются детерминированными, и их можно вынести из-под операции усреднения, для матриц когерентности можно получить выражение Γ ij (n) = = S i d r S j d r IR d d r 1 IR d d r 2 G( r , r 1 ) G * ( r , r 2 ) Γ F (n) ( r 1 , r 2 ) . MathType@MTEF@5@5@+= feaahGart1ev3aqatCvAUfeBSjuyZL2yd9gzLbvyNv2Caerbov2D09 MBdbqedmvETj2BSbqeduuDJXwAKbYu51MyVXgarqqr1ngBPrgifHhD YfgasaacHOWxh9vrFfeu0dXdh9vqqj=hEeeu0xXdbba9frFj0=OqFf ea0dXdd9vspGe9FjuP0=fs0xXdbba9pGe9xq=Jbba9suk9fr=xfr=x frpeWZqaaeaabiGaaiaadaqabeaabeqacqaaaOabaiqabaGaeu4KdC 0aa0baaSqaaiaadMgacaWGQbaabaGaaiikaiaad6gacaGGPaaaaOGa eyypa0dabaGaeyypa0Zaa8quaeaacaWGKbGabCOCayaafaWaa8quae aacaWGKbGabCOCayaagaWaa8quaeaacaWGKbGaaCOCamaaBaaaleaa caaIXaaabeaakmaapefabaGaamizaiaahkhadaWgaaWcbaGaaGOmaa qabaGccaWGhbGaaiikaiqahkhagaqbaiaacYcacaWHYbWaaSbaaSqa aiaaigdaaeqaaOGaaiykaiaadEeadaahaaWcbeqaaiaacQcaaaGcca GGOaGabCOCayaagaGaaiilaiaahkhadaWgaaWcbaGaaGOmaaqabaGc caGGPaaaleaacaqGjbGaiigGbkfadGGyaYbaaWqajigGbGGyakacIb 4GKbaaaaWcbeqdcqGHRiI8aOGaeu4KdC0aa0baaSqaaiaadAeaaeaa caGGOaGaamOBaiaacMcaaaGccaGGOaGaaCOCamaaBaaaleaacaaIXa aabeaakiaacYcacaWHYbWaaSbaaSqaaiaaikdaaeqaaOGaaiykaaWc baGaaeysaiacIbyGsbWaiigGCaaameqcIbyaiigGcGGyaoizaaaaaS qab0Gaey4kIipaaSqaaiaadofadaWgaaadbaGaamOAaaqabaaaleqa niabgUIiYdaaleaacaWGtbWaaSbaaWqaaiaadMgaaeqaaaWcbeqdcq GHRiI8aOGaaiOlaaaaaa@7D92@ (9)

Здесь Γ F (n) ( r 1 , r 2 ) F (n) ( r 1 ) F (n) ( r 2 ) * MathType@MTEF@5@5@+= feaahGart1ev3aqatCvAUfeBSjuyZL2yd9gzLbvyNv2Caerbov2D09 MBdbqedmvETj2BSbqeduuDJXwAKbYu51MyVXgarqqr1ngBPrgifHhD YfgasaacHOWxh9vrFfeu0dXdh9vqqj=hEeeu0xXdbba9frFj0=OqFf ea0dXdd9vspGe9FjuP0=fs0xXdbba9pGe9xq=Jbba9suk9fr=xfr=x frpeWZqaaeaabiGaaiaadaqabeaabeqacqaaaOqaaiabfo5ahnaaDa aaleaacaWGgbaabaGaaiikaiaad6gacaGGPaaaaOGaaiikaiaahkha daWgaaWcbaGaaGymaaqabaGccaGGSaGaaCOCamaaBaaaleaacaaIYa aabeaakiaacMcacqGHHjIUdaaadaqaaiaadAeadaahaaWcbeqaaiaa cIcacaWGUbGaaiykaaaakiaacIcacaWHYbWaaSbaaSqaaiaaigdaae qaaOGaaiykamacaARadaqaiaOTcaaMc8UaamOramaaCaaaleqabaGa aiikaiaad6gacaGGPaaaaOGaaiikaiaahkhadaWgaaWcbaGaaGOmaa qabaGccaGGPaaacGaG2A5EaiacaARL9baadGaG2YbaaSqajaOTbGaG 2kacaAlMc8UaiaOTcQcaaaaakiaawMYicaGLQmcaaaa@6538@  – функция когерентности источников поля, расположенных в двух произвольных точках r 1 , r 2 IR d MathType@MTEF@5@5@+= feaahGart1ev3aqatCvAUfeBSjuyZL2yd9gzLbvyNv2Caerbov2D09 MBdbqedmvETj2BSbqeduuDJXwAKbYu51MyVXgarqqr1ngBPrgifHhD YfgasaacHOWxh9vrFfeu0dXdh9vqqj=hEeeu0xXdbba9frFj0=OqFf ea0dXdd9vspGe9FjuP0=fs0xXdbba9pGe9xq=Jbba9suk9fr=xfr=x frpeWZqaaeaabiGaaiaadaqabeaabeqacqaaaOqaaiaahkhadaWgaa WcbaGaaGymaaqabaGccaGGSaGaaCOCamaaBaaaleaacaaIYaaabeaa kiabgIGiolaabMeacGGyagOuamacIbihaaWcbKGyagacIbOaiigGds gaaaaaaa@45DC@ . Поскольку фоновые источники и контролируемые источники предполагаются независимыми, и, кроме того, контролируемые источники некогерентны, выполняется равенство

Γ F (n) ( r 1 , r 2 )= Γ F (0) ( r 1 , r 2 )+ I (n) ( r 1 )δ( r 1 r 2 ), MathType@MTEF@5@5@+= feaahGart1ev3aqatCvAUfeBSjuyZL2yd9gzLbvyNv2Caerbov2D09 MBdbqedmvETj2BSbqeduuDJXwAKbYu51MyVXgarqqr1ngBPrgifHhD YfgasaacHOWxh9vrFfeu0dXdh9vqqj=hEeeu0xXdbba9frFj0=OqFf ea0dXdd9vspGe9FjuP0=fs0xXdbba9pGe9xq=Jbba9suk9fr=xfr=x frpeWZqaaeaabiGaaiaadaqabeaabeqacqaaaOqaaiabfo5ahnaaDa aaleaacaWGgbaabaGaaiikaiaad6gacaGGPaaaaOGaaiikaiaahkha daWgaaWcbaGaaGymaaqabaGccaGGSaGaaCOCamaaBaaaleaacaaIYa aabeaakiaacMcacqGH9aqpcqqHtoWrdaqhaaWcbaGaamOraaqaaiaa cIcacaaIWaGaaiykaaaakiaacIcacaWHYbWaaSbaaSqaaiaaigdaae qaaOGaaiilaiaahkhadaWgaaWcbaGaaGOmaaqabaGccaGGPaGaey4k aSIaamysamaaCaaaleqabaGaaiikaiaad6gacaGGPaaaaOGaaiikai aahkhadaWgaaWcbaGaaGymaaqabaGccaGGPaGaeqiTdqMaaiikaiaa hkhadaWgaaWcbaGaaGymaaqabaGccqGHsislcaWHYbWaaSbaaSqaai aaikdaaeqaaOGaaiykaiaacYcaaaa@5E6F@ r 1 , r 2 IR d , MathType@MTEF@5@5@+= feaahGart1ev3aqatCvAUfeBSjuyZL2yd9gzLbvyNv2Caerbov2D09 MBdbqedmvETj2BSbqeduuDJXwAKbYu51MyVXgarqqr1ngBPrgifHhD YfgasaacHOWxh9vrFfeu0dXdh9vqqj=hEeeu0xXdbba9frFj0=OqFf ea0dXdd9vspGe9FjuP0=fs0xXdbba9pGe9xq=Jbba9suk9fr=xfr=x frpeWZqaaeaabiGaaiaadaqabeaabeqacqaaaOqaaiaahkhadaWgaa WcbaGaaGymaaqabaGccaGGSaGaaCOCamaaBaaaleaacaaIYaaabeaa kiabgIGiolaabMeacGGyagOuamacIbihaaWcbKGyagacIbOaiigGds gaaaGccaGGSaaaaa@4696@

 

где Γ F (0) ( r 1 , r 2 ) MathType@MTEF@5@5@+= feaahGart1ev3aqatCvAUfeBSjuyZL2yd9gzLbvyNv2Caerbov2D09 MBdbqedmvETj2BSbqeduuDJXwAKbYu51MyVXgarqqr1ngBPrgifHhD YfgasaacHOWxh9vrFfeu0dXdh9vqqj=hEeeu0xXdbba9frFj0=OqFf ea0dXdd9vspGe9FjuP0=fs0xXdbba9pGe9xq=Jbba9suk9fr=xfr=x frpeWZqaaeaabiGaaiaadaqabeaabeqacqaaaOqaaiabfo5ahnaaDa aaleaacaWGgbaabaGaaiikaiaaicdacaGGPaaaaOGaaiikaiaahkha daWgaaWcbaGaaGymaaqabaGccaGGSaGaaCOCamaaBaaaleaacaaIYa aabeaakiaacMcaaaa@42E5@  и I (n) ( r 1 )δ( r 1 r 2 ) MathType@MTEF@5@5@+= feaahGart1ev3aqatCvAUfeBSjuyZL2yd9gzLbvyNv2Caerbov2D09 MBdbqedmvETj2BSbqeduuDJXwAKbYu51MyVXgarqqr1ngBPrgifHhD YfgasaacHOWxh9vrFfeu0dXdh9vqqj=hEeeu0xXdbba9frFj0=OqFf ea0dXdd9vspGe9FjuP0=fs0xXdbba9pGe9xq=Jbba9suk9fr=xfr=x frpeWZqaaeaabiGaaiaadaqabeaabeqacqaaaOqaaiaadMeadaahaa WcbeqaaiaacIcacaWGUbGaaiykaaaakiaacIcacaWHYbWaaSbaaSqa aiaaigdaaeqaaOGaaiykaiabes7aKjaacIcacaWHYbWaaSbaaSqaai aaigdaaeqaaOGaeyOeI0IaaCOCamaaBaaaleaacaaIYaaabeaakiaa cMcaaaa@46E0@  – функции когерентности фоновых и контролируемых источников поля, соответственно. Тогда разность матриц когерентности при n MathType@MTEF@5@5@+= feaahGart1ev3aqatCvAUfeBSjuyZL2yd9gzLbvyNv2Caerbov2D09 MBdbqedmvETj2BSbqeduuDJXwAKbYu51MyVXgarqqr1ngBPrgifHhD YfgasaacHOWxh9vrFfeu0dXdh9vqqj=hEeeu0xXdbba9frFj0=OqFf ea0dXdd9vspGe9FjuP0=fs0xXdbba9pGe9xq=Jbba9suk9fr=xfr=x frpeWZqaaeaabiGaaiaadaqabeaabeqacqaaaOqaaiaad6gaaaa@3979@  -м и нулевом ракурсах облучения зависит лишь от мощности контролируемых источников I (n) (r) MathType@MTEF@5@5@+= feaahGart1ev3aqatCvAUfeBSjuyZL2yd9gzLbvyNv2Caerbov2D09 MBdbqedmvETj2BSbqeduuDJXwAKbYu51MyVXgarqqr1ngBPrgifHhD YfgasaacHOWxh9vrFfeu0dXdh9vqqj=hEeeu0xXdbba9frFj0=OqFf ea0dXdd9vspGe9FjuP0=fs0xXdbba9pGe9xq=Jbba9suk9fr=xfr=x frpeWZqaaeaabiGaaiaadaqabeaabeqacqaaaOqaaiaadMeadaahaa WcbeqaaiaacIcacaWGUbGaaiykaaaakiaacIcacaWHYbGaaiykaaaa @3E2B@ : Γ ij (n) Γ ij (0) = S i S j Γ G (n) ( r , r ) d r d r , MathType@MTEF@5@5@+= feaahGart1ev3aqatCvAUfeBSjuyZL2yd9gzLbvyNv2Caerbov2D09 MBdbqedmvETj2BSbqeduuDJXwAKbYu51MyVXgarqqr1ngBPrgifHhD YfgasaacHOWxh9vrFfeu0dXdh9vqqj=hEeeu0xXdbba9frFj0=OqFf ea0dXdd9vspGe9FjuP0=fs0xXdbba9pGe9xq=Jbba9suk9fr=xfr=x frpeWZqaaeaabiGaaiaadaqabeaabeqacqaaaOqaaiabfo5ahnaaDa aaleaacaWGPbGaamOAaaqaaiaacIcacaWGUbGaaiykaaaakiabgkHi Tiabfo5ahnaaDaaaleaacaWGPbGaamOAaaqaaiaacIcacaaIWaGaai ykaaaakiabg2da9maapefabaWaa8quaeaacqqHtoWrdaqhaaWcbaGa am4raaqaaiaacIcacaWGUbGaaiykaaaakiaacIcaceWHYbGbauaaca GGSaGabCOCayaagaGaaiykaaWcbaGaam4uamaaBaaameaacaWGQbaa beaaaSqab0Gaey4kIipakiaadsgaceWHYbGbauaacaWGKbGabCOCay aagaaaleaacaWGtbWaaSbaaWqaaiaadMgaaeqaaaWcbeqdcqGHRiI8 aOGaaiilaaaa@5BD5@ (10)

где

Γ G (n) ( r , r ) Ω G( r ,r) G * ( r ,r) I (n) (r)dr, MathType@MTEF@5@5@+= feaahGart1ev3aqatCvAUfeBSjuyZL2yd9gzLbvyNv2Caerbov2D09 MBdbqedmvETj2BSbqeduuDJXwAKbYu51MyVXgarqqr1ngBPrgifHhD YfgasaacHOWxh9vrFfeu0dXdh9vqqj=hEeeu0xXdbba9frFj0=OqFf ea0dXdd9vspGe9FjuP0=fs0xXdbba9pGe9xq=Jbba9suk9fr=xfr=x frpeWZqaaeaabiGaaiaadaqabeaabeqacqaaaOqaaiabfo5ahnaaDa aaleaacaWGhbaabaGaaiikaiaad6gacaGGPaaaaOGaaiikaiqahkha gaqbaiaacYcaceWHYbGbayaacaGGPaGaeyyyIO7aa8quaeaacaWGhb GaaiikaiqahkhagaqbaiaacYcacaWHYbGaaiykaiaadEeadaahaaWc beqaaiaacQcaaaGccaGGOaGabCOCayaagaGaaiilaiaahkhacaGGPa aaleaacqqHPoWvaeqaniabgUIiYdGccaWGjbWaaWbaaSqabeaacaGG OaGaamOBaiaacMcaaaGccaGGOaGaaCOCaiaacMcacaWGKbGaaCOCai aacYcaaaa@59CD@

r , r IR d . MathType@MTEF@5@5@+= feaahGart1ev3aqatCvAUfeBSjuyZL2yd9gzLbvyNv2Caerbov2D09 MBdbqedmvETj2BSbqeduuDJXwAKbYu51MyVXgarqqr1ngBPrgifHhD YfgasaacHOWxh9vrFfeu0dXdh9vqqj=hEeeu0xXdbba9frFj0=OqFf ea0dXdd9vspGe9FjuP0=fs0xXdbba9pGe9xq=Jbba9suk9fr=xfr=x frpeWZqaaeaabiGaaiaadaqabeaabeqacqaaaOqaaiqahkhagaqbai aacYcaceWHYbGbayaacqGHiiIZcaqGjbGaiigGbkfadGGyaYbaaSqa jigGbGGyakacIb4GKbaaaOGaaiOlaaaa@44CE@ (11)

Величина Γ G (n) ( r , r ) MathType@MTEF@5@5@+= feaahGart1ev3aqatCvAUfeBSjuyZL2yd9gzLbvyNv2Caerbov2D09 MBdbqedmvETj2BSbqeduuDJXwAKbYu51MyVXgarqqr1ngBPrgifHhD YfgasaacHOWxh9vrFfeu0dXdh9vqqj=hEeeu0xXdbba9frFj0=OqFf ea0dXdd9vspGe9FjuP0=fs0xXdbba9pGe9xq=Jbba9suk9fr=xfr=x frpeWZqaaeaabiGaaiaadaqabeaabeqacqaaaOqaaiabfo5ahnaaDa aaleaacaWGhbaabaGaaiikaiaad6gacaGGPaaaaOGaaiikaiqahkha gaqbaiaacYcaceWHYbGbayaacaGGPaaaaa@4155@  представляет собой функцию когерентности полей контролируемых источников, которые измеряются в точках r MathType@MTEF@5@5@+= feaahGart1ev3aqatCvAUfeBSjuyZL2yd9gzLbvyNv2Caerbov2D09 MBdbqedmvETj2BSbqeduuDJXwAKbYu51MyVXgarqqr1ngBPrgifHhD YfgasaacHOWxh9vrFfeu0dXdh9vqqj=hEeeu0xXdbba9frFj0=OqFf ea0dXdd9vspGe9FjuP0=fs0xXdbba9pGe9xq=Jbba9suk9fr=xfr=x frpeWZqaaeaabiGaaiaadaqabeaabeqacqaaaOqaaiqahkhagaqbaa aa@398D@  и r MathType@MTEF@5@5@+= feaahGart1ev3aqatCvAUfeBSjuyZL2yd9gzLbvyNv2Caerbov2D09 MBdbqedmvETj2BSbqeduuDJXwAKbYu51MyVXgarqqr1ngBPrgifHhD YfgasaacHOWxh9vrFfeu0dXdh9vqqj=hEeeu0xXdbba9frFj0=OqFf ea0dXdd9vspGe9FjuP0=fs0xXdbba9pGe9xq=Jbba9suk9fr=xfr=x frpeWZqaaeaabiGaaiaadaqabeaabeqacqaaaOqaaiqahkhagaGbaa aa@398E@ . Ее можно представить с помощью уравнения (5) в виде суммы четырех слагаемых:

Γ G (n) ( r , r )= Ω dr I (n) (r) G a ( r ,r) G a * ( r ,r)+ + d r 1 G a * ( r , r 1 ) ε * ( r 1 ) Ω dr I (n) (r) G a ( r ,r) G * ( r 1 ,r) + + d r 1 G a ( r , r 1 )ε( r 1 ) Ω dr I (n) (r) G( r 1 ,r) G a * ( r ,r)+ + d r 1 G a ( r , r 1 )ε( r 1 ) d r 2 G a * ( r , r 2 ) ε * ( r 2 ) × × Ω dr I (n) (r) G( r 1 ,r) G * ( r 2 ,r), MathType@MTEF@5@5@+= feaahGart1ev3aqatCvAUfeBSjuyZL2yd9gzLbvyNv2Caerbov2D09 MBdbqedmvETj2BSbqeduuDJXwAKbYu51MyVXgarqqr1ngBPrgifHhD YfgasaacHOWxh9vrFfeu0dXdh9vqqj=hEeeu0xXdbba9frFj0=OqFf ea0dXdd9vspGe9FjuP0=fs0xXdbba9pGe9xq=Jbba9suk9fr=xfr=x frpeWZqaaeaabiGaaiaadaqabeaabeqacqaaaOabaiqabaGaeu4KdC 0aa0baaSqaaiaadEeaaeaacaGGOaGaamOBaiaacMcaaaGccaGGOaGa bCOCayaafaGaaiilaiqahkhagaGbaiaacMcacqGH9aqpdaWdrbqaai aadsgacaWHYbGaamysamaaCaaaleqabaGaaiikaiaad6gacaGGPaaa aOGaaiikaiaahkhacaGGPaGaam4ramaaBaaaleaacaqGHbaabeaaki aacIcaceWHYbGbauaacaGGSaGaaCOCaiaacMcaaSqaaiabfM6axbqa b0Gaey4kIipakiaadEeadaqhaaWcbaGaaeyyaaqaaiaabQcaaaGcca GGOaGabCOCayaagaGaaiilaiaahkhacaGGPaGaey4kaScabaGaey4k aSYaa8quaeaacaWGKbGaaCOCamaaBaaaleaacaaIXaaabeaakiaadE eadaqhaaWcbaGaaeyyaaqaaiaabQcaaaGccaGGOaGabCOCayaagaGa aiilaiaahkhadaWgaaWcbaGaaGymaaqabaGccaGGPaGaeqyTdu2aaW baaSqabeaacaGGQaaaaOGaaiikaiaahkhadaWgaaWcbaGaaGymaaqa baGccaGGPaWaa8quaeaacaWGKbGaaCOCaiaadMeadaahaaWcbeqaai aacIcacaWGUbGaaiykaaaakiaacIcacaWHYbGaaiykaaWcbaGaeuyQ dCfabeqdcqGHRiI8aOGaam4ramaaBaaaleaacaqGHbaabeaakiaacI caceWHYbGbauaacaGGSaGaaCOCaiaacMcacaaMc8Uaam4ramaaCaaa leqabaGaaiOkaaaakiaacIcacaWHYbWaaSbaaSqaaiaaigdaaeqaaO GaaiilaiaahkhacaGGPaaaleaacqGHCeIWaeqaniabgUIiYdGccqGH RaWkaeaacqGHRaWkdaWdrbqaaiaadsgacaWHYbWaaSbaaSqaaiaaig daaeqaaOGaam4ramaaBaaaleaacaqGHbaabeaakiaacIcaceWHYbGb auaacaGGSaGaaCOCamaaBaaaleaacaaIXaaabeaakiaacMcacqaH1o qzcaGGOaGaaCOCamaaBaaaleaacaaIXaaabeaakiaacMcadaWdrbqa aiaadsgacaWHYbGaamysamaaCaaaleqabaGaaiikaiaad6gacaGGPa aaaOGaaiikaiaahkhacaGGPaaaleaacqqHPoWvaeqaniabgUIiYdGc caaMc8Uaam4raiaacIcacaWHYbWaaSbaaSqaaiaaigdaaeqaaOGaai ilaiaahkhacaGGPaaaleaacqGHCeIWaeqaniabgUIiYdGccaWGhbWa a0baaSqaaiaabggaaeaacaqGQaaaaOGaaiikaiqahkhagaGbaiaacY cacaWHYbGaaiykaiabgUcaRaqaaiabgUcaRmaapefabaGaamizaiaa hkhadaWgaaWcbaGaaGymaaqabaGccaWGhbWaaSbaaSqaaiaabggaae qaaOGaaiikaiqahkhagaqbaiaacYcacaWHYbWaaSbaaSqaaiaaigda aeqaaOGaaiykaiabew7aLjaacIcacaWHYbWaaSbaaSqaaiaaigdaae qaaOGaaiykaiaaykW7aSqaaiabgYricdqab0Gaey4kIipakmaapefa baGaamizaiaahkhadaWgaaWcbaGaaGOmaaqabaGccaWGhbWaa0baaS qaaiaabggaaeaacaqGQaaaaOGaaiikaiqahkhagaGbaiaacYcacaWH YbWaaSbaaSqaaiaaikdaaeqaaOGaaiykaiabew7aLnaaCaaaleqaba GaaiOkaaaakiaacIcacaWHYbWaaSbaaSqaaiaaikdaaeqaaOGaaiyk aiaaykW7aSqaaiabgYricdqab0Gaey4kIipakiabgEna0cqaaiabgE na0kaaysW7daWdrbqaaiaadsgacaWHYbGaamysamaaCaaaleqabaGa aiikaiaad6gacaGGPaaaaOGaaiikaiaahkhacaGGPaaaleaacqqHPo WvaeqaniabgUIiYdGccaWGhbGaaiikaiaahkhadaWgaaWcbaGaaGym aaqabaGccaGGSaGaaCOCaiaacMcacaWGhbWaaWbaaSqabeaacaGGQa aaaOGaaiikaiaahkhadaWgaaWcbaGaaGOmaaqabaGccaGGSaGaaCOC aiaacMcacaaMe8Uaaiilaaaaaa@0292@

где r , r IR d MathType@MTEF@5@5@+= feaahGart1ev3aqatCvAUfeBSjuyZL2yd9gzLbvyNv2Caerbov2D09 MBdbqedmvETj2BSbqeduuDJXwAKbYu51MyVXgarqqr1ngBPrgifHhD YfgasaacHOWxh9vrFfeu0dXdh9vqqj=hEeeu0xXdbba9frFj0=OqFf ea0dXdd9vspGe9FjuP0=fs0xXdbba9pGe9xq=Jbba9suk9fr=xfr=x frpeWZqaaeaabiGaaiaadaqabeaabeqacqaaaOqaaiqahkhagaqbai aacYcaceWHYbGbayaacqGHiiIZcaqGjbGaiigGbkfadGGyaYbaaSqa jigGbGGyakacIb4GKbaaaaaa@4412@ . Первое слагаемое

Γ Ga (n) ( r , r )= Ω dr I (n) (r) G a ( r ,r) G a * ( r ,r) MathType@MTEF@5@5@+= feaahGart1ev3aqatCvAUfeBSjuyZL2yd9gzLbvyNv2Caerbov2D09 MBdbqedmvETj2BSbqeduuDJXwAKbYu51MyVXgarqqr1ngBPrgifHhD YfgasaacHOWxh9vrFfeu0dXdh9vqqj=hEeeu0xXdbba9frFj0=OqFf ea0dXdd9vspGe9FjuP0=fs0xXdbba9pGe9xq=Jbba9suk9fr=xfr=x frpeWZqaaeaabiGaaiaadaqabeaabeqacqaaaOqaaiabfo5ahnaaDa aaleaacaWGhbGaaeyyaaqaaiaacIcacaWGUbGaaiykaaaakiaacIca ceWHYbGbauaacaGGSaGabCOCayaagaGaaiykaiabg2da9maapefaba GaamizaiaahkhacaWGjbWaaWbaaSqabeaacaGGOaGaamOBaiaacMca aaGccaGGOaGaaCOCaiaacMcacaWGhbWaaSbaaSqaaiaabggaaeqaaO GaaiikaiqahkhagaqbaiaacYcacaWHYbGaaiykaaWcbaGaeuyQdCfa beqdcqGHRiI8aOGaam4ramaaDaaaleaacaqGHbaabaGaaeOkaaaaki aacIcaceWHYbGbayaacaGGSaGaaCOCaiaacMcaaaa@5B3B@ (12)

известно, поскольку оно зависит от известной мощности I (n) (r) MathType@MTEF@5@5@+= feaahGart1ev3aqatCvAUfeBSjuyZL2yd9gzLbvyNv2Caerbov2D09 MBdbqedmvETj2BSbqeduuDJXwAKbYu51MyVXgarqqr1ngBPrgifHhD YfgasaacHOWxh9vrFfeu0dXdh9vqqj=hEeeu0xXdbba9frFj0=OqFf ea0dXdd9vspGe9FjuP0=fs0xXdbba9pGe9xq=Jbba9suk9fr=xfr=x frpeWZqaaeaabiGaaiaadaqabeaabeqacqaaaOqaaiaadMeadaahaa WcbeqaaiaacIcacaWGUbGaaiykaaaakiaacIcacaWHYbGaaiykaaaa @3E2B@  и функций Грина G a (r, r ), MathType@MTEF@5@5@+= feaahGart1ev3aqatCvAUfeBSjuyZL2yd9gzLbvyNv2Caerbov2D09 MBdbqedmvETj2BSbqeduuDJXwAKbYu51MyVXgarqqr1ngBPrgifHhD YfgasaacHOWxh9vrFfeu0dXdh9vqqj=hEeeu0xXdbba9frFj0=OqFf ea0dXdd9vspGe9FjuP0=fs0xXdbba9pGe9xq=Jbba9suk9fr=xfr=x frpeWZqaaeaabiGaaiaadaqabeaabeqacqaaaOqaaiaadEeadaWgaa WcbaGaaeyyaaqabaGccaGGOaGaaCOCaiaacYcaceWHYbGbauaacaGG PaGaaGPaVlaacYcaaaa@40B2@  которые могут быть рассчитаны с помощью (6). Остальные слагаемые выражают нелинейную зависимость от искомой функции ε(r) MathType@MTEF@5@5@+= feaahGart1ev3aqatCvAUfeBSjuyZL2yd9gzLbvyNv2Caerbov2D09 MBdbqedmvETj2BSbqeduuDJXwAKbYu51MyVXgarqqr1ngBPrgifHhD YfgasaacHOWxh9vrFfeu0dXdh9vqqj=hEeeu0xXdbba9frFj0=OqFf ea0dXdd9vspGe9FjuP0=fs0xXdbba9pGe9xq=Jbba9suk9fr=xfr=x frpeWZqaaeaabiGaaiaadaqabeaabeqacqaaaOqaaiabew7aLjaacI cacaWHYbGaaiykaaaa@3C81@ . Такая нелинейность присутствует явно в последнем слагаемом, содержащем произведение двух таких функций, и неявно во втором и третьем слагаемых, поскольку в них входит неизвестная функция Грина исследуемой среды. В этом смысле уравнение (11) схоже с уравнением Липпмана–Швингера (5), которое также нелинейно относительно искомой функции ε(r). MathType@MTEF@5@5@+= feaahGart1ev3aqatCvAUfeBSjuyZL2yd9gzLbvyNv2Caerbov2D09 MBdbqedmvETj2BSbqeduuDJXwAKbYu51MyVXgarqqr1ngBPrgifHhD YfgasaacHOWxh9vrFfeu0dXdh9vqqj=hEeeu0xXdbba9frFj0=OqFf ea0dXdd9vspGe9FjuP0=fs0xXdbba9pGe9xq=Jbba9suk9fr=xfr=x frpeWZqaaeaabiGaaiaadaqabeaabeqacqaaaOqaaiabew7aLjaacI cacaWHYbGaaiykaiaac6caaaa@3D33@  Для решения уравнения (11) предлагается применить итерационный подход, который нередко используется [17, 18, 22, 23] при решении уравнения типа (5). Он состоит в последовательном улучшении априорной оценки функции k(r), MathType@MTEF@5@5@+= feaahGart1ev3aqatCvAUfeBSjuyZL2yd9gzLbvyNv2Caerbov2D09 MBdbqedmvETj2BSbqeduuDJXwAKbYu51MyVXgarqqr1ngBPrgifHhD YfgasaacHOWxh9vrFfeu0dXdh9vqqj=hEeeu0xXdbba9frFj0=OqFf ea0dXdd9vspGe9FjuP0=fs0xXdbba9pGe9xq=Jbba9suk9fr=xfr=x frpeWZqaaeaabiGaaiaadaqabeaabeqacqaaaOqaaiaadUgacaGGOa GaaCOCaiaacMcacaGGSaaaaa@3C7A@  для чего в уравнениях (5) или (11) используется линеаризующее их борновское приближение (7); после этого функция G a (r, r ) MathType@MTEF@5@5@+= feaahGart1ev3aqatCvAUfeBSjuyZL2yd9gzLbvyNv2Caerbov2D09 MBdbqedmvETj2BSbqeduuDJXwAKbYu51MyVXgarqqr1ngBPrgifHhD YfgasaacHOWxh9vrFfeu0dXdh9vqqj=hEeeu0xXdbba9frFj0=OqFf ea0dXdd9vspGe9FjuP0=fs0xXdbba9pGe9xq=Jbba9suk9fr=xfr=x frpeWZqaaeaabiGaaiaadaqabeaabeqacqaaaOqaaiaadEeadaWgaa WcbaGaaeyyaaqabaGccaGGOaGaaCOCaiaacYcaceWHYbGbauaacaGG Paaaaa@3E77@  пересчитывается согласно (6). В борновском приближении G(r, r ) G a (r, r ), MathType@MTEF@5@5@+= feaahGart1ev3aqatCvAUfeBSjuyZL2yd9gzLbvyNv2Caerbov2D09 MBdbqedmvETj2BSbqeduuDJXwAKbYu51MyVXgarqqr1ngBPrgifHhD YfgasaacHOWxh9vrFfeu0dXdh9vqqj=hEeeu0xXdbba9frFj0=OqFf ea0dXdd9vspGe9FjuP0=fs0xXdbba9pGe9xq=Jbba9suk9fr=xfr=x frpeWZqaaeaabiGaaiaadaqabeaabeqacqaaaOqaaiaadEeacaGGOa GaaCOCaiaacYcaceWHYbGbauaacaGGPaGaeyisISRaam4ramaaBaaa leaacaqGHbaabeaakiaacIcacaWHYbGaaiilaiqahkhagaqbaiaacM cacaGGSaaaaa@45AF@  и поэтому

Γ ij (n) Γ ij (0) S i d r S j d r Γ Ga (n) ( r , r ) S i d r S j d r dr ε(r) G a ( r ,r) Γ Ga (n) (r, r )+ + ε(r) G a ( r ,r) Γ Ga (n) (r, r ) * . MathType@MTEF@5@5@+= feaahGart1ev3aqatCvAUfeBSjuyZL2yd9gzLbvyNv2Caerbov2D09 MBdbqedmvETj2BSbqeduuDJXwAKbYu51MyVXgarqqr1ngBPrgifHhD YfgasaacHOWxh9vrFfeu0dXdh9vqqj=hEeeu0xXdbba9frFj0=OqFf ea0dXdd9vspGe9FjuP0=fs0xXdbba9pGe9xq=Jbba9suk9fr=xfr=x frpeWZqaaeaabiGaaiaadaqabeaabeqacqaaaOabaiqabaGaeu4KdC 0aa0baaSqaaiaadMgacaWGQbaabaGaaiikaiaad6gacaGGPaaaaOGa eyOeI0Iaeu4KdC0aa0baaSqaaiaadMgacaWGQbaabaGaaiikaiaaic dacaGGPaaaaOGaeyOeI0Yaa8quaeaacaWGKbGabCOCayaafaWaa8qu aeaacaWGKbGabCOCayaagaGaaGPaVlabfo5ahnaaDaaaleaacaWGhb GaaeyyaaqaaiaacIcacaWGUbGaaiykaaaakiaacIcaceWHYbGbauaa caGGSaGabCOCayaagaGaaiykaaWcbaGaam4uamaaBaaameaacaWGQb aabeaaaSqab0Gaey4kIipaaSqaaiaadofadaWgaaadbaGaamyAaaqa baaaleqaniabgUIiYdGccqGHijYUaeaacqGHijYUdaWdrbqaaiaads gaceWHYbGbauaadaWdrbqaaiaadsgaceWHYbGbayaadaWdrbqaaiaa dsgacaWHYbWaiaO2dmaaeGaGAhqabGaGAlabew7aLjaacIcacaWHYb GaaiykaiaadEeadaWgaaWcbaGaaeyyaaqabaGccaGGOaGabCOCayaa faGaaiilaiaahkhacaGGPaGaaGPaVlabfo5ahnaaDaaaleaacaWGhb GaaeyyaaqaaiaacIcacaWGUbGaaiykaaaakiaacIcacaWHYbGaaiil aiqahkhagaGbaiaacMcacqGHRaWkaeacaQTamaO2gUcaRmacaARada qaiaOTcaaMe8UaeqyTduMaaiikaiaahkhacaGGPaGaaGPaVlaadEea daqhaaWcbaGaaeyyaaqaaaaakiaacIcaceWHYbGbayaacaGGSaGaaC OCaiaacMcacaaMc8Uaeu4KdC0aa0baaSqaaiaadEeacaqGHbaabaGa aiikaiaad6gacaGGPaaaaOGaaiikaiaahkhacaGGSaGabCOCayaafa GaaiykaaGaiaOTwUhacGaG2AzFaaWaiaOKCaaaleqcakzaiaOKcGaG 4GPaVlacakPGQaaaaaaakiacaQTLBbGaiaO2w2faaaWcbaGaeyihHi mabeqdcqGHRiI8aaWcbaGaam4uamaaBaaameaacaWGQbaabeaaaSqa b0Gaey4kIipaaSqaaiaadofadaWgaaadbaGaamyAaaqabaaaleqani abgUIiYdGccaGGUaaaaaa@BD43@ (13)

Сходство уравнений (7) и (13) легко прослеживается: роль падающего поля выполняет функция когерентности Γ Ga (n) ( r , r ) MathType@MTEF@5@5@+= feaahGart1ev3aqatCvAUfeBSjuyZL2yd9gzLbvyNv2Caerbov2D09 MBdbqedmvETj2BSbqeduuDJXwAKbYu51MyVXgarqqr1ngBPrgifHhD YfgasaacHOWxh9vrFfeu0dXdh9vqqj=hEeeu0xXdbba9frFj0=OqFf ea0dXdd9vspGe9FjuP0=fs0xXdbba9pGe9xq=Jbba9suk9fr=xfr=x frpeWZqaaeaabiGaaiaadaqabeaabeqacqaaaOqaaiabfo5ahnaaDa aaleaacaWGhbGaaeyyaaqaaiaacIcacaWGUbGaaiykaaaakiaacIca ceWHYbGbauaacaGGSaGabCOCayaagaGaaiykaaaa@4239@ ; роль полного поля, регистрируемого на антенной решетке, выполняет разность Γ ij (n) Γ ij (0) MathType@MTEF@5@5@+= feaahGart1ev3aqatCvAUfeBSjuyZL2yd9gzLbvyNv2Caerbov2D09 MBdbqedmvETj2BSbqeduuDJXwAKbYu51MyVXgarqqr1ngBPrgifHhD YfgasaacHOWxh9vrFfeu0dXdh9vqqj=hEeeu0xXdbba9frFj0=OqFf ea0dXdd9vspGe9FjuP0=fs0xXdbba9pGe9xq=Jbba9suk9fr=xfr=x frpeWZqaaeaabiGaaiaadaqabeaabeqacqaaaOqaaiabfo5ahnaaDa aaleaacaWGPbGaamOAaaqaaiaacIcacaWGUbGaaiykaaaakiabgkHi Tiabfo5ahnaaDaaaleaacaWGPbGaamOAaaqaaiaacIcacaaIWaGaai ykaaaaaaa@44C0@ . Для решения (13) надо предварительно вычислить Γ Ga (n) ( r , r ) MathType@MTEF@5@5@+= feaahGart1ev3aqatCvAUfeBSjuyZL2yd9gzLbvyNv2Caerbov2D09 MBdbqedmvETj2BSbqeduuDJXwAKbYu51MyVXgarqqr1ngBPrgifHhD YfgasaacHOWxh9vrFfeu0dXdh9vqqj=hEeeu0xXdbba9frFj0=OqFf ea0dXdd9vspGe9FjuP0=fs0xXdbba9pGe9xq=Jbba9suk9fr=xfr=x frpeWZqaaeaabiGaaiaadaqabeaabeqacqaaaOqaaiabfo5ahnaaDa aaleaacaWGhbGaaeyyaaqaaiaacIcacaWGUbGaaiykaaaakiaacIca ceWHYbGbauaacaGGSaGabCOCayaagaGaaiykaaaa@4239@  с помощью (12), что на практике не очень удобно. Вместо этого вводятся обозначения Q a ( r , r ,r) G a ( r ,r) G a * ( r ,r) MathType@MTEF@5@5@+= feaahGart1ev3aqatCvAUfeBSjuyZL2yd9gzLbvyNv2Caerbov2D09 MBdbqedmvETj2BSbqeduuDJXwAKbYu51MyVXgarqqr1ngBPrgifHhD YfgasaacHOWxh9vrFfeu0dXdh9vqqj=hEeeu0xXdbba9frFj0=OqFf ea0dXdd9vspGe9FjuP0=fs0xXdbba9pGe9xq=Jbba9suk9fr=xfr=x frpeWZqaaeaabiGaaiaadaqabeaabeqacqaaaOqaaiaadgfadaWgaa WcbaGaaeyyaaqabaGccaGGOaGabCOCayaafaGaaiilaiqahkhagaGb aiaacYcacaWHYbGaaiykaiabggMi6kaadEeadaWgaaWcbaGaaeyyaa qabaGccaGGOaGabCOCayaafaGaaiilaiaahkhacaGGPaGaam4ramaa DaaaleaacaqGHbaabaGaaeOkaaaakiaacIcaceWHYbGbayaacaGGSa GaaCOCaiaacMcaaaa@4E93@  и P a ( r , r , r 1 ,r) G a ( r , r 1 ) G a ( r 1 ,r) G a * ( r ,r) MathType@MTEF@5@5@+= feaahGart1ev3aqatCvAUfeBSjuyZL2yd9gzLbvyNv2Caerbov2D09 MBdbqedmvETj2BSbqeduuDJXwAKbYu51MyVXgarqqr1ngBPrgifHhD YfgasaacHOWxh9vrFfeu0dXdh9vqqj=hEeeu0xXdbba9frFj0=OqFf ea0dXdd9vspGe9FjuP0=fs0xXdbba9pGe9xq=Jbba9suk9fr=xfr=x frpeWZqaaeaabiGaaiaadaqabeaabeqacqaaaOqaaiaadcfadaWgaa WcbaGaaeyyaaqabaGccaGGOaGabCOCayaafaGaaiilaiqahkhagaGb aiaacYcacaWHYbWaaSbaaSqaaiaaigdaaeqaaOGaaiilaiaahkhaca GGPaGaeyyyIORaam4ramaaBaaaleaacaqGHbaabeaakiaacIcaceWH YbGbauaacaGGSaGaaCOCamaaBaaaleaacaaIXaaabeaakiaacMcaca WGhbWaaSbaaSqaaiaabggaaeqaaOGaaiikaiaahkhadaWgaaWcbaGa aGymaaqabaGccaGGSaGaaCOCaiaacMcacaWGhbWaa0baaSqaaiaabg gaaeaacaqGQaaaaOGaaiikaiqahkhagaGbaiaacYcacaWHYbGaaiyk aaaa@58F5@  для произведений двух и трех функций Грина соответственно, и производится перегруппировка множителей:

Γ ij (n) Γ ij (0) S i d r S j d r Ω dr I (n) (r) Q a ( r , r ,r) S i d r S j d r Ω dr I (n) (r) d r 1 ε( r 1 ) P a ( r , r , r 1 ,r)+ + ε * ( r 1 ) P a * ( r , r , r 1 ,r) . MathType@MTEF@5@5@+= feaahGart1ev3aaatCvAUfeBSjuyZL2yd9gzLbvyNv2Caerbov2D09 MBdbqedmvETj2BSbqeduuDJXwAKbYu51MyVXgarqqr1ngBPrgifHhD YfgasaacHOWxh9vrFfeu0dXdh9vqqj=hEeeu0xXdbba9frFj0=OqFf ea0dXdd9vspGe9FjuP0=fs0xXdbba9pGe9xq=Jbba9suk9fr=xfr=x frpeWZqaaeaabiGaaiaadaqabeaabeqacqaaaOabaiqabaGaeu4KdC 0aa0baaSqaaiaadMgacaWGQbaabaGaaiikaiaad6gacaGGPaaaaOGa eyOeI0Iaeu4KdC0aa0baaSqaaiaadMgacaWGQbaabaGaaiikaiaaic dacaGGPaaaaOGaeyOeI0Yaa8quaeaacaWGKbGabCOCayaafaWaa8qu aeaacaWGKbGabCOCayaagaaaleaacaWGtbWaaSbaaWqaaiaadQgaae qaaaWcbeqdcqGHRiI8aaWcbaGaam4uamaaBaaameaacaWGPbaabeaa aSqab0Gaey4kIipakmaapefabaGaamizaiaahkhacaWGjbWaaWbaaS qabeaacaGGOaGaamOBaiaacMcaaaGccaGGOaGaaCOCaiaacMcaaSqa aiabfM6axbqab0Gaey4kIipakiaaykW7caWGrbWaaSbaaSqaaiaabg gaaeqaaOGaaiikaiqahkhagaqbaiaacYcaceWHYbGbayaacaGGSaGa aCOCaiaacMcacqGHijYUaeaacqGHijYUdaWdrbqaaiaadsgaceWHYb GbauaadaWdrbqaaiaadsgaceWHYbGbayaaaSqaaiaadofadaWgaaad baGaamOAaaqabaaaleqaniabgUIiYdaaleaacaWGtbWaaSbaaWqaai aadMgaaeqaaaWcbeqdcqGHRiI8aOWaa8quaeaacaWGKbGaaCOCaiaa dMeadaahaaWcbeqaaiaacIcacaWGUbGaaiykaaaakiaacIcacaWHYb GaaiykaaWcbaGaeuyQdCfabeqdcqGHRiI8aOWaa8quaeaacaWGKbGa aCOCamaaBaaaleaacaaIXaaabeaakmaadmaaeaGabeaacqaH1oqzca GGOaGaaCOCamaaBaaaleaacaaIXaaabeaakiaacMcacaWGqbWaaSba aSqaaiaabggaaeqaaOGaaiikaiqahkhagaqbaiaacYcaceWHYbGbay aacaGGSaGaaCOCamaaBaaaleaacaaIXaaabeaakiaacYcacaWHYbGa aiykaiabgUcaRaqaaiabgUcaRiabew7aLnaaCaaaleqabaGaaiOkaa aakiaacIcacaWHYbWaaSbaaSqaaiaaigdaaeqaaOGaaiykaiaadcfa daqhaaWcbaGaaeyyaaqaaiaabQcaaaGccaGGOaGabCOCayaagaGaai ilaiqahkhagaqbaiaacYcacaWHYbWaaSbaaSqaaiaaigdaaeqaaOGa aiilaiaahkhacaGGPaaaaiaawUfacaGLDbaacaGGUaaaleaacqGHCe IWaeqaniabgUIiYdaaaaa@AD4D@ (14)

Можно видеть, что уравнение (14) линейно относительно действительной ε (r)Reε(r) MathType@MTEF@5@5@+= feaahGart1ev3aqatCvAUfeBSjuyZL2yd9gzLbvyNv2Caerbov2D09 MBdbqedmvETj2BSbqeduuDJXwAKbYu51MyVXgarqqr1ngBPrgifHhD YfgasaacHOWxh9vrFfeu0dXdh9vqqj=hEeeu0xXdbba9frFj0=OqFf ea0dXdd9vspGe9FjuP0=fs0xXdbba9pGe9xq=Jbba9suk9fr=xfr=x frpeWZqaaeaabiGaaiaadaqabeaabeqacqaaaOqaaiqbew7aLzaafa GaaiikaiaahkhacaGGPaGaeyyyIORaciOuaiaacwgacqaH1oqzcaGG OaGaaCOCaiaacMcaaaa@4412@  и мнимой ε (r)Imε(r) MathType@MTEF@5@5@+= feaahGart1ev3aqatCvAUfeBSjuyZL2yd9gzLbvyNv2Caerbov2D09 MBdbqedmvETj2BSbqeduuDJXwAKbYu51MyVXgarqqr1ngBPrgifHhD YfgasaacHOWxh9vrFfeu0dXdh9vqqj=hEeeu0xXdbba9frFj0=OqFf ea0dXdd9vspGe9FjuP0=fs0xXdbba9pGe9xq=Jbba9suk9fr=xfr=x frpeWZqaaeaabiGaaiaadaqabeaabeqacqaaaOqaaiqbew7aLzaaga GaaiikaiaahkhacaGGPaGaeyyyIORaciysaiaac2gacqaH1oqzcaGG OaGaaCOCaiaacMcaaaa@4412@  частей функции ε(r) MathType@MTEF@5@5@+= feaahGart1ev3aqatCvAUfeBSjuyZL2yd9gzLbvyNv2Caerbov2D09 MBdbqedmvETj2BSbqeduuDJXwAKbYu51MyVXgarqqr1ngBPrgifHhD YfgasaacHOWxh9vrFfeu0dXdh9vqqj=hEeeu0xXdbba9frFj0=OqFf ea0dXdd9vspGe9FjuP0=fs0xXdbba9pGe9xq=Jbba9suk9fr=xfr=x frpeWZqaaeaabiGaaiaadaqabeaabeqacqaaaOqaaiabew7aLjaacI cacaWHYbGaaiykaaaa@3C81@ , которые рассматриваются как независимые переменные. После дискретизации исследуемой среды интегрирование заменяется матричным произведением, и уравнение (14) сводится к простой системе линейных уравнений. Функции P a MathType@MTEF@5@5@+= feaahGart1ev3aqatCvAUfeBSjuyZL2yd9gzLbvyNv2Caerbov2D09 MBdbqedmvETj2BSbqeduuDJXwAKbYu51MyVXgarqqr1ngBPrgifHhD YfgasaacHOWxh9vrFfeu0dXdh9vqqj=hEeeu0xXdbba9frFj0=OqFf ea0dXdd9vspGe9FjuP0=fs0xXdbba9pGe9xq=Jbba9suk9fr=xfr=x frpeWZqaaeaabiGaaiaadaqabeaabeqacqaaaOqaaiaadcfadaWgaa WcbaGaaeyyaaqabaaaaa@3A6B@  в правой части отличаются порядком аргументов и комплексным сопряжением, т.е. соответствующие матрицы – гильбертово сопряженные.

Подводя итоги, можно сформулировать корреляционный итерационный метод определения волнового числа внутри неоднородности, что эквивалентно раздельному восстановлению скорости звука и амплитудного коэффициента поглощения, в виде следующего алгоритма.

1.При нулевом и при каждом n MathType@MTEF@5@5@+= feaahGart1ev3aqatCvAUfeBSjuyZL2yd9gzLbvyNv2Caerbov2D09 MBdbqedmvETj2BSbqeduuDJXwAKbYu51MyVXgarqqr1ngBPrgifHhD YfgasaacHOWxh9vrFfeu0dXdh9vqqj=hEeeu0xXdbba9frFj0=OqFf ea0dXdd9vspGe9FjuP0=fs0xXdbba9pGe9xq=Jbba9suk9fr=xfr=x frpeWZqaaeaabiGaaiaadaqabeaabeqacqaaaOqaaiaad6gaaaa@3979@  -м ракурсе облучения в эксперименте определяются значения матричных элементов Γ ij (n) MathType@MTEF@5@5@+= feaahGart1ev3aqatCvAUfeBSjuyZL2yd9gzLbvyNv2Caerbov2D09 MBdbqedmvETj2BSbqeduuDJXwAKbYu51MyVXgarqqr1ngBPrgifHhD YfgasaacHOWxh9vrFfeu0dXdh9vqqj=hEeeu0xXdbba9frFj0=OqFf ea0dXdd9vspGe9FjuP0=fs0xXdbba9pGe9xq=Jbba9suk9fr=xfr=x frpeWZqaaeaabiGaaiaadaqabeaabeqacqaaaOqaaiabfo5ahnaaDa aaleaacaWGPbGaamOAaaqaaiaacIcacaWGUbGaaiykaaaaaaa@3E44@ , и формируются разности Γ ij (n) Γ ij (0) MathType@MTEF@5@5@+= feaahGart1ev3aqatCvAUfeBSjuyZL2yd9gzLbvyNv2Caerbov2D09 MBdbqedmvETj2BSbqeduuDJXwAKbYu51MyVXgarqqr1ngBPrgifHhD YfgasaacHOWxh9vrFfeu0dXdh9vqqj=hEeeu0xXdbba9frFj0=OqFf ea0dXdd9vspGe9FjuP0=fs0xXdbba9pGe9xq=Jbba9suk9fr=xfr=x frpeWZqaaeaabiGaaiaadaqabeaabeqacqaaaOqaaiabfo5ahnaaDa aaleaacaWGPbGaamOAaaqaaiaacIcacaWGUbGaaiykaaaakiabgkHi Tiabfo5ahnaaDaaaleaacaWGPbGaamOAaaqaaiaacIcacaaIWaGaai ykaaaaaaa@44C0@ . Первая оценка полагается равной ε ^ 1 (r) ε a (r)= k 0 2 k a 2 (r) MathType@MTEF@5@5@+= feaahGart1ev3aqatCvAUfeBSjuyZL2yd9gzLbvyNv2Caerbov2D09 MBdbqedmvETj2BSbqeduuDJXwAKbYu51MyVXgarqqr1ngBPrgifHhD YfgasaacHOWxh9vrFfeu0dXdh9vqqj=hEeeu0xXdbba9frFj0=OqFf ea0dXdd9vspGe9FjuP0=fs0xXdbba9pGe9xq=Jbba9suk9fr=xfr=x frpeWZqaaeaabiGaaiaadaqabeaabeqacqaaaOqaamaaHaaabaGaeq yTdugacaGLcmaadaWgaaWcbaGaaGymaaqabaGccaGGOaGaaCOCaiaa cMcacqGHHjIUcqaH1oqzdaWgaaWcbaGaaeyyaaqabaGccaGGOaGaaC OCaiaacMcacqGH9aqpcaWGRbWaa0baaSqaaiaabcdaaeaacaaIYaaa aOGaeyOeI0Iaam4AamaaDaaaleaacaqGHbaabaGaaGOmaaaakiaacI cacaWHYbGaaiykaaaa@4EB6@ .

2.Организуется бесконечный цикл, в рамках которого на каждой m MathType@MTEF@5@5@+= feaahGart1ev3aqatCvAUfeBSjuyZL2yd9gzLbvyNv2Caerbov2D09 MBdbqedmvETj2BSbqeduuDJXwAKbYu51MyVXgarqqr1ngBPrgifHhD YfgasaacHOWxh9vrFfeu0dXdh9vqqj=hEeeu0xXdbba9frFj0=OqFf ea0dXdd9vspGe9FjuP0=fs0xXdbba9pGe9xq=Jbba9suk9fr=xfr=x frpeWZqaaeaabiGaaiaadaqabeaabeqacqaaaOqaaiaad2gaaaa@3978@  -й итерации, начиная с m=1 MathType@MTEF@5@5@+= feaahGart1ev3aqatCvAUfeBSjuyZL2yd9gzLbvyNv2Caerbov2D09 MBdbqedmvETj2BSbqeduuDJXwAKbYu51MyVXgarqqr1ngBPrgifHhD YfgasaacHOWxh9vrFfeu0dXdh9vqqj=hEeeu0xXdbba9frFj0=OqFf ea0dXdd9vspGe9FjuP0=fs0xXdbba9pGe9xq=Jbba9suk9fr=xfr=x frpeWZqaaeaabiGaaiaadaqabeaabeqacqaaaOqaaiaad2gacqGH9a qpcaaIXaaaaa@3B39@ , делаются следующие действия.

а) Имеющаяся в наличии оценка функции рассеивателя (r) ε ^ m (r)= k 0 2 k ^ m 2 (r) MathType@MTEF@5@5@+= feaahGart1ev3aqatCvAUfeBSjuyZL2yd9gzLbvyNv2Caerbov2D09 MBdbqedmvETj2BSbqeduuDJXwAKbYu51MyVXgarqqr1ngBPrgifHhD YfgasaacHOWxh9vrFfeu0dXdh9vqqj=hEeeu0xXdbba9frFj0=OqFf ea0dXdd9vspGe9FjuP0=fs0xXdbba9pGe9xq=Jbba9suk9fr=xfr=x frpeWZqaaeaabiGaaiaadaqabeaabeqacqaaaOqaamaaHaaabaGaeq yTdugacaGLcmaadaWgaaWcbaGaamyBaaqabaGccaGGOaGaaCOCaiaa cMcacqGH9aqpcaWGRbWaa0baaSqaaiaabcdaaeaacaaIYaaaaOGaey OeI0YaaecaaeaacaWGRbaacaGLcmaadaqhaaWcbaGaamyBaaqaaiaa ikdaaaGccaGGOaGaaCOCaiaacMcaaaa@48DF@ , где k ^ m (r) MathType@MTEF@5@5@+= feaahGart1ev3aqatCvAUfeBSjuyZL2yd9gzLbvyNv2Caerbov2D09 MBdbqedmvETj2BSbqeduuDJXwAKbYu51MyVXgarqqr1ngBPrgifHhD YfgasaacHOWxh9vrFfeu0dXdh9vqqj=hEeeu0xXdbba9frFj0=OqFf ea0dXdd9vspGe9FjuP0=fs0xXdbba9pGe9xq=Jbba9suk9fr=xfr=x frpeWZqaaeaabiGaaiaadaqabeaabeqacqaaaOqaamaaHaaabaGaam 4AaaGaayPadaWaaSbaaSqaaiaad2gaaeqaaOGaaiikaiaahkhacaGG Paaaaa@3DB4@  – это соответствующая ей оценка волнового числа, подставляется в уравнение (6) вместо величины ε a (r) MathType@MTEF@5@5@+= feaahGart1ev3aqatCvAUfeBSjuyZL2yd9gzLbvyNv2Caerbov2D09 MBdbqedmvETj2BSbqeduuDJXwAKbYu51MyVXgarqqr1ngBPrgifHhD YfgasaacHOWxh9vrFfeu0dXdh9vqqj=hEeeu0xXdbba9frFj0=OqFf ea0dXdd9vspGe9FjuP0=fs0xXdbba9pGe9xq=Jbba9suk9fr=xfr=x frpeWZqaaeaabiGaaiaadaqabeaabeqacqaaaOqaaiabew7aLnaaBa aaleaacaqGHbaabeaakiaacIcacaWHYbGaaiykaaaa@3D9B@ , и рассчитывается функция Грина G a (r, r ) MathType@MTEF@5@5@+= feaahGart1ev3aqatCvAUfeBSjuyZL2yd9gzLbvyNv2Caerbov2D09 MBdbqedmvETj2BSbqeduuDJXwAKbYu51MyVXgarqqr1ngBPrgifHhD YfgasaacHOWxh9vrFfeu0dXdh9vqqj=hEeeu0xXdbba9frFj0=OqFf ea0dXdd9vspGe9FjuP0=fs0xXdbba9pGe9xq=Jbba9suk9fr=xfr=x frpeWZqaaeaabiGaaiaadaqabeaabeqacqaaaOqaaiaadEeadaWgaa WcbaGaaeyyaaqabaGccaGGOaGaaCOCaiaacYcaceWHYbGbauaacaGG Paaaaa@3E77@ .

б) С ее помощью определяются входящие в уравнение (14) произведения Q a ( r , r ,r) MathType@MTEF@5@5@+= feaahGart1ev3aqatCvAUfeBSjuyZL2yd9gzLbvyNv2Caerbov2D09 MBdbqedmvETj2BSbqeduuDJXwAKbYu51MyVXgarqqr1ngBPrgifHhD YfgasaacHOWxh9vrFfeu0dXdh9vqqj=hEeeu0xXdbba9frFj0=OqFf ea0dXdd9vspGe9FjuP0=fs0xXdbba9pGe9xq=Jbba9suk9fr=xfr=x frpeWZqaaeaabiGaaiaadaqabeaabeqacqaaaOqaaiaadgfadaWgaa WcbaGaaeyyaaqabaGccaGGOaGabCOCayaafaGaaiilaiqahkhagaGb aiaacYcacaWHYbGaaiykaaaa@4039@  и P a ( r , r , r 1 ,r) MathType@MTEF@5@5@+= feaahGart1ev3aqatCvAUfeBSjuyZL2yd9gzLbvyNv2Caerbov2D09 MBdbqedmvETj2BSbqeduuDJXwAKbYu51MyVXgarqqr1ngBPrgifHhD YfgasaacHOWxh9vrFfeu0dXdh9vqqj=hEeeu0xXdbba9frFj0=OqFf ea0dXdd9vspGe9FjuP0=fs0xXdbba9pGe9xq=Jbba9suk9fr=xfr=x frpeWZqaaeaabiGaaiaadaqabeaabeqacqaaaOqaaiaadcfadaWgaa WcbaGaaeyyaaqabaGccaGGOaGabCOCayaafaGaaiilaiqahkhagaGb aiaacYcacaWHYbWaaSbaaSqaaiaaigdaaeqaaOGaaiilaiaahkhaca GGPaaaaa@42D4@ .

в) Уравнение (14) решается относительно функции ε(r)= k ^ m 2 (r) k 2 (r) MathType@MTEF@5@5@+= feaahGart1ev3aqatCvAUfeBSjuyZL2yd9gzLbvyNv2Caerbov2D09 MBdbqedmvETj2BSbqeduuDJXwAKbYu51MyVXgarqqr1ngBPrgifHhD YfgasaacHOWxh9vrFfeu0dXdh9vqqj=hEeeu0xXdbba9frFj0=OqFf ea0dXdd9vspGe9FjuP0=fs0xXdbba9pGe9xq=Jbba9suk9fr=xfr=x frpeWZqaaeaabiGaaiaadaqabeaabeqacqaaaOqaaiabew7aLjaacI cacaWHYbGaaiykaiabg2da9maaHaaabaGaam4AaaGaayPadaWaa0ba aSqaaiaad2gaaeaacaaIYaaaaOGaaiikaiaahkhacaGGPaGaeyOeI0 Iaam4AamaaCaaaleqabaGaaGOmaaaakiaacIcacaWHYbGaaiykaaaa @4896@  . Поскольку выполнено тождество k 0 2 k 2 (r)= k 0 2 k ^ m 2 (r) + k ^ m 2 (r) k 2 (r) = ε ^ m (r)+ε(r) MathType@MTEF@5@5@+= feaahGart1ev3aaatCvAUfeBSjuyZL2yd9gzLbvyNv2Caerbov2D09 MBdbqedmvETj2BSbqeduuDJXwAKbYu51MyVXgarqqr1ngBPrgifHhD YfgasaacHOWxh9vrFfeu0dXdh9vqqj=hEeeu0xXdbba9frFj0=OqFf ea0dXdd9vspGe9FjuP0=fs0xXdbba9pGe9xq=Jbba9suk9fr=xfr=x frpeWZqaaeaabiGaaiaadaqabeaabeqacqaaaOqaaiaadUgadaqhaa WcbaGaaeimaaqaaiaaikdaaaGccqGHsislcaWGRbWaaWbaaSqabeaa caaIYaaaaOGaaiikaiaahkhacaGGPaGaeyypa0ZaiayRbmaabGaGTk aadUgadaqhaaWcbaGaaeimaaqaaiaaikdaaaGccqGHsisldGaGTgca aeaca2QaiayRdUgaaiaca2QLcmaadGaGT2baaSqaiayRcGaGToyBaa qaiayRcGaGTIOmaaaakiaacIcacaWHYbGaaiykaaGaiayRwIcacGaG TAzkaaGaey4kaSYaiayRbmaabGaGToaca2AiaaqaiayRcGaGTo4Aaa GaiayRwkWaamaca2AhaaWcbGaGTkaca26GTbaabGaGTkaca2kIYaaa aOGaaiikaiaahkhacaGGPaGaeyOeI0Iaam4AamaaCaaaleqabaGaaG OmaaaakiaacIcacaWHYbGaaiykaaGaiayRwIcacGaGTAzkaaGaeyyp a0ZaaecaaeaacqaH1oqzaiaawkWaamaaBaaaleaacaWGTbaabeaaki aacIcacaWHYbGaaiykaiabgUcaRiabew7aLjaacIcacaWHYbGaaiyk aaaa@84E0@   k 0 2 k 2 (r)= k 0 2 k ^ m 2 (r) + k ^ m 2 (r) k 2 (r) = ε ^ m (r)+ε(r) MathType@MTEF@5@5@+= feaahGart1ev3aaatCvAUfeBSjuyZL2yd9gzLbvyNv2Caerbov2D09 MBdbqedmvETj2BSbqeduuDJXwAKbYu51MyVXgarqqr1ngBPrgifHhD YfgasaacHOWxh9vrFfeu0dXdh9vqqj=hEeeu0xXdbba9frFj0=OqFf ea0dXdd9vspGe9FjuP0=fs0xXdbba9pGe9xq=Jbba9suk9fr=xfr=x frpeWZqaaeaabiGaaiaadaqabeaabeqacqaaaOqaaiaadUgadaqhaa WcbaGaaeimaaqaaiaaikdaaaGccqGHsislcaWGRbWaaWbaaSqabeaa caaIYaaaaOGaaiikaiaahkhacaGGPaGaeyypa0ZaiayRbmaabGaGTk aadUgadaqhaaWcbaGaaeimaaqaaiaaikdaaaGccqGHsisldGaGTgca aeaca2QaiayRdUgaaiaca2QLcmaadGaGT2baaSqaiayRcGaGToyBaa qaiayRcGaGTIOmaaaakiaacIcacaWHYbGaaiykaaGaiayRwIcacGaG TAzkaaGaey4kaSYaiayRbmaabGaGToaca2AiaaqaiayRcGaGTo4Aaa GaiayRwkWaamaca2AhaaWcbGaGTkaca26GTbaabGaGTkaca2kIYaaa aOGaaiikaiaahkhacaGGPaGaeyOeI0Iaam4AamaaCaaaleqabaGaaG OmaaaakiaacIcacaWHYbGaaiykaaGaiayRwIcacGaGTAzkaaGaeyyp a0ZaaecaaeaacqaH1oqzaiaawkWaamaaBaaaleaacaWGTbaabeaaki aacIcacaWHYbGaaiykaiabgUcaRiabew7aLjaacIcacaWHYbGaaiyk aaaa@84E0@ , следующая оценка функции ε ^ m+1 (r) MathType@MTEF@5@5@+= feaahGart1ev3aqatCvAUfeBSjuyZL2yd9gzLbvyNv2Caerbov2D09 MBdbqedmvETj2BSbqeduuDJXwAKbYu51MyVXgarqqr1ngBPrgifHhD YfgasaacHOWxh9vrFfeu0dXdh9vqqj=hEeeu0xXdbba9frFj0=OqFf ea0dXdd9vspGe9FjuP0=fs0xXdbba9pGe9xq=Jbba9suk9fr=xfr=x frpeWZqaaeaabiGaaiaadaqabeaabeqacqaaaOqaamaaHaaabaGaeq yTdugacaGLcmaadaWgaaWcbaGaamyBaiabgUcaRiaaigdaaeqaaOGa aiikaiaahkhacaGGPaaaaa@4008@  полагается равной ε ^ m+1 (r)= ε ^ m (r)+ε(r) MathType@MTEF@5@5@+= feaahGart1ev3aqatCvAUfeBSjuyZL2yd9gzLbvyNv2Caerbov2D09 MBdbqedmvETj2BSbqeduuDJXwAKbYu51MyVXgarqqr1ngBPrgifHhD YfgasaacHOWxh9vrFfeu0dXdh9vqqj=hEeeu0xXdbba9frFj0=OqFf ea0dXdd9vspGe9FjuP0=fs0xXdbba9pGe9xq=Jbba9suk9fr=xfr=x frpeWZqaaeaabiGaaiaadaqabeaabeqacqaaaOqaamaaHaaabaGaeq yTdugacaGLcmaadaWgaaWcbaGaamyBaiabgUcaRiaaigdaaeqaaOGa aiikaiaahkhacaGGPaGaeyypa0ZaaecaaeaacqaH1oqzaiaawkWaam aaBaaaleaacaWGTbaabeaakiaacIcacaWHYbGaaiykaiabgUcaRiab ew7aLjaacIcacaWHYbGaaiykaaaa@4BD0@ .

3.Чтобы определить, насколько оценка ε ^ m (r) MathType@MTEF@5@5@+= feaahGart1ev3aqatCvAUfeBSjuyZL2yd9gzLbvyNv2Caerbov2D09 MBdbqedmvETj2BSbqeduuDJXwAKbYu51MyVXgarqqr1ngBPrgifHhD YfgasaacHOWxh9vrFfeu0dXdh9vqqj=hEeeu0xXdbba9frFj0=OqFf ea0dXdd9vspGe9FjuP0=fs0xXdbba9pGe9xq=Jbba9suk9fr=xfr=x frpeWZqaaeaabiGaaiaadaqabeaabeqacqaaaOqaamaaHaaabaGaeq yTdugacaGLcmaadaWgaaWcbaGaamyBaaqabaGccaGGOaGaaCOCaiaa cMcaaaa@3E6B@  соответствует входным данным, вводится безразмерная величина δ Γ ( ε ^ ) MathType@MTEF@5@5@+= feaahGart1ev3aqatCvAUfeBSjuyZL2yd9gzLbvyNv2Caerbov2D09 MBdbqedmvETj2BSbqeduuDJXwAKbYu51MyVXgarqqr1ngBPrgifHhD YfgasaacHOWxh9vrFfeu0dXdh9vqqj=hEeeu0xXdbba9frFj0=OqFf ea0dXdd9vspGe9FjuP0=fs0xXdbba9pGe9xq=Jbba9suk9fr=xfr=x frpeWZqaaeaabiGaaiaadaqabeaabeqacqaaaOqaaiabes7aKnaaBa aaleaacqqHtoWraeqaaOGaaiikamaaHaaabaGaeqyTdugacaGLcmaa caGGPaaaaa@3F8B@  (), равная

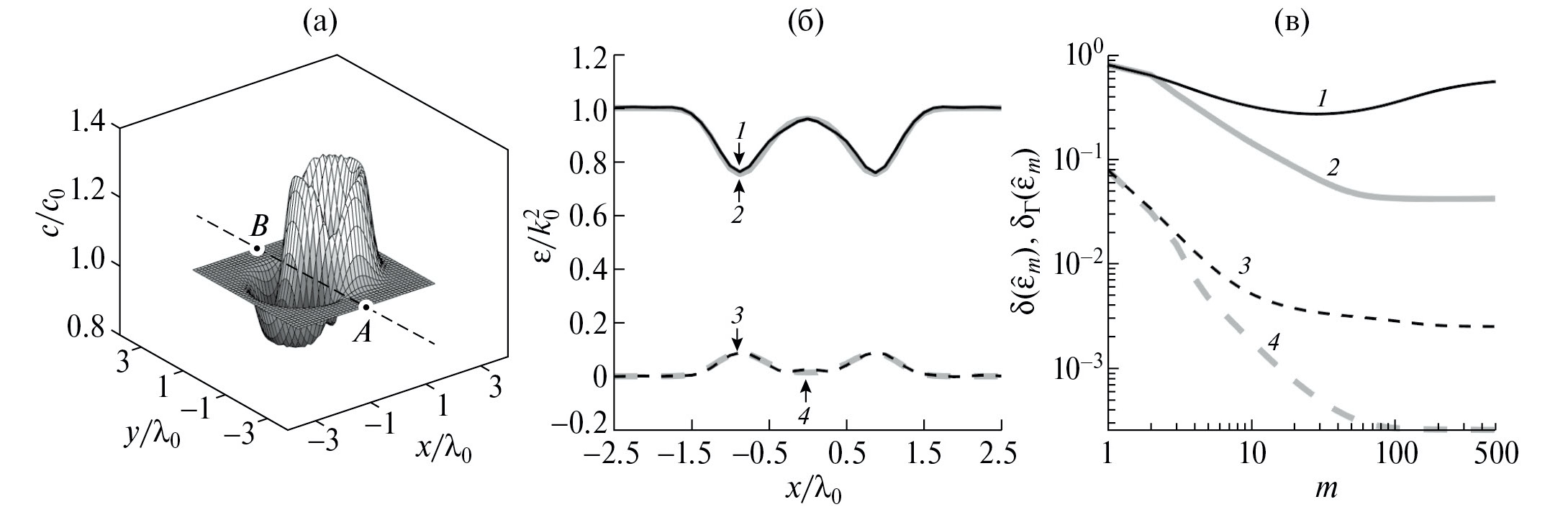
δ Γ ( ε ^ ) i,j,n Γ ij (n) Γ ij (0) S i d r S j d r Ω dr I (n) (r) Q a ( r , r ,r) 2 / i,j,n Γ ij (n) Γ ij (0) 2 . MathType@MTEF@5@5@+= feaahGart1ev3aqatCvAUfeBSjuyZL2yd9gzLbvyNv2Caerbov2D09 MBdbqedmvETj2BSbqeduuDJXwAKbYu51MyVXgarqqr1ngBPrgifHhD YfgasaacHOWxh9vrFfeu0dXdh9vqqj=hEeeu0xXdbba9frFj0=OqFf ea0dXdd9vspGe9FjuP0=fs0xXdbba9pGe9xq=Jbba9suk9fr=xfr=x frpeWZqaaeaabiGaaiaadaqabeaabeqacqaaaOqaaiabes7aKnaaBa aaleaacqqHtoWraeqaaOGaaiikamaaHaaabaGaeqyTdugacaGLcmaa caGGPaGaeyyyIO7aaOaaaeaadaWcgaqaamaaqafabaWaaqWaaeaacq qHtoWrdaqhaaWcbaGaamyAaiaadQgaaeaacaGGOaGaamOBaiaacMca aaGccqGHsislcqqHtoWrdaqhaaWcbaGaamyAaiaadQgaaeaacaGGOa GaaGimaiaacMcaaaGccqGHsisldaWdrbqaaiaadsgaceWHYbGbauaa daWdrbqaaiaadsgaceWHYbGbayaaaSqaaiaadofadaWgaaadbaGaam OAaaqabaaaleqaniabgUIiYdaaleaacaWGtbWaaSbaaWqaaiaadMga aeqaaaWcbeqdcqGHRiI8aOWaa8quaeaacaWGKbGaaCOCaiaadMeada ahaaWcbeqaaiaacIcacaWGUbGaaiykaaaakiaacIcacaWHYbGaaiyk aaWcbaGaeuyQdCfabeqdcqGHRiI8aOGaamyuamaaBaaaleaacaqGHb aabeaakiaacIcaceWHYbGbauaacaGGSaGabCOCayaagaGaaiilaiaa hkhacaGGPaaacaGLhWUaayjcSdWaaWbaaSqabeaacaaIYaaaaaqaai aadMgacaGGSaGaamOAaiaacYcacaWGUbaabeqdcqGHris5aaGcbaWa aabuaeaadaabdaqaaiabfo5ahnaaDaaaleaacaWGPbGaamOAaaqaai aacIcacaWGUbGaaiykaaaakiabgkHiTiabfo5ahnaaDaaaleaacaWG PbGaamOAaaqaaiaacIcacaaIWaGaaiykaaaaaOGaay5bSlaawIa7am aaCaaaleqabaGaaGOmaaaaaeaacaWGPbGaaiilaiaadQgacaGGSaGa amOBaaqab0GaeyyeIuoaaaaaleqaaOGaaiOlaaaa@9000@

Цикл заканчивается, когда она становится ниже заданного порогового значения. При этом относительная невязка

δ( ε ^ ) ε ^ (r)ε(r) 2 dr / ε(r) 2 dr MathType@MTEF@5@5@+= feaahGart1ev3aqatCvAUfeBSjuyZL2yd9gzLbvyNv2Caerbov2D09 MBdbqedmvETj2BSbqeduuDJXwAKbYu51MyVXgarqqr1ngBPrgifHhD YfgasaacHOWxh9vrFfeu0dXdh9vqqj=hEeeu0xXdbba9frFj0=OqFf ea0dXdd9vspGe9FjuP0=fs0xXdbba9pGe9xq=Jbba9suk9fr=xfr=x frpeWZqaaeaabiGaaiaadaqabeaabeqacqaaaOqaaiabes7aKjaacI cadaqiaaqaaiabew7aLbGaayPadaGaaiykaiabggMi6oaakaaabaWa aSGbaeaadaWdrbqaamaaemaabaWaaecaaeaacqaH1oqzaiaawkWaai aacIcacaWHYbGaaiykaiabgkHiTiabew7aLjaacIcacaWHYbGaaiyk aaGaay5bSlaawIa7amaaCaaaleqabaGaaGOmaaaakiaadsgacaWHYb aaleaacqGHCeIWaeqaniabgUIiYdaakeaadaWdrbqaamaaemaabaGa eqyTduMaaiikaiaahkhacaGGPaaacaGLhWUaayjcSdWaaWbaaSqabe aacaaIYaaaaOGaamizaiaahkhaaSqaaiabgYricdqab0Gaey4kIipa aaaaleqaaaaa@612D@ (15)

характеризует близость полученной оценки ε ^ (r) MathType@MTEF@5@5@+= feaahGart1ev3aqatCvAUfeBSjuyZL2yd9gzLbvyNv2Caerbov2D09 MBdbqedmvETj2BSbqeduuDJXwAKbYu51MyVXgarqqr1ngBPrgifHhD YfgasaacHOWxh9vrFfeu0dXdh9vqqj=hEeeu0xXdbba9frFj0=OqFf ea0dXdd9vspGe9FjuP0=fs0xXdbba9pGe9xq=Jbba9suk9fr=xfr=x frpeWZqaaeaabiGaaiaadaqabeaabeqacqaaaOqaamaaHaaabaGaeq yTdugacaGLcmaacaGGOaGaaCOCaiaacMcaaaa@3D43@  к истинной функции рассеивателя ε(r) MathType@MTEF@5@5@+= feaahGart1ev3aqatCvAUfeBSjuyZL2yd9gzLbvyNv2Caerbov2D09 MBdbqedmvETj2BSbqeduuDJXwAKbYu51MyVXgarqqr1ngBPrgifHhD YfgasaacHOWxh9vrFfeu0dXdh9vqqj=hEeeu0xXdbba9frFj0=OqFf ea0dXdd9vspGe9FjuP0=fs0xXdbba9pGe9xq=Jbba9suk9fr=xfr=x frpeWZqaaeaabiGaaiaadaqabeaabeqacqaaaOqaaiabew7aLjaacI cacaWHYbGaaiykaaaa@3C81@ .

Уравнение (14), лежащее в основе корреляционного итерационного метода, можно в некоторых случаях упростить. Так, если контролируемые источники точечные и при каждом n MathType@MTEF@5@5@+= feaahGart1ev3aqatCvAUfeBSjuyZL2yd9gzLbvyNv2Caerbov2D09 MBdbqedmvETj2BSbqeduuDJXwAKbYu51MyVXgarqqr1ngBPrgifHhD YfgasaacHOWxh9vrFfeu0dXdh9vqqj=hEeeu0xXdbba9frFj0=OqFf ea0dXdd9vspGe9FjuP0=fs0xXdbba9pGe9xq=Jbba9suk9fr=xfr=x frpeWZqaaeaabiGaaiaadaqabeaabeqacqaaaOqaaiaad6gaaaa@3979@  -м ракурсе облучения расположены в точке r (n) MathType@MTEF@5@5@+= feaahGart1ev3aqatCvAUfeBSjuyZL2yd9gzLbvyNv2Caerbov2D09 MBdbqedmvETj2BSbqeduuDJXwAKbYu51MyVXgarqqr1ngBPrgifHhD YfgasaacHOWxh9vrFfeu0dXdh9vqqj=hEeeu0xXdbba9frFj0=OqFf ea0dXdd9vspGe9FjuP0=fs0xXdbba9pGe9xq=Jbba9suk9fr=xfr=x frpeWZqaaeaabiGaaiaadaqabeaabeqacqaaaOqaaiaahkhadaahaa WcbeqaaiaacIcacaWGUbGaaiykaaaaaaa@3BFA@ , то I (n) (r)= I (n) δ r r (n) MathType@MTEF@5@5@+= feaahGart1ev3aqatCvAUfeBSjuyZL2yd9gzLbvyNv2Caerbov2D09 MBdbqedmvETj2BSbqeduuDJXwAKbYu51MyVXgarqqr1ngBPrgifHhD YfgasaacHOWxh9vrFfeu0dXdh9vqqj=hEeeu0xXdbba9frFj0=OqFf ea0dXdd9vspGe9FjuP0=fs0xXdbba9pGe9xq=Jbba9suk9fr=xfr=x frpeWZqaaeaabiGaaiaadaqabeaabeqacqaaaOqaaiaadMeadaahaa WcbeqaaiaacIcacaWGUbGaaiykaaaakiaacIcacaWHYbGaaiykaiab g2da9iaadMeadaahaaWcbeqaaiaacIcacaWGUbGaaiykaaaakiabes 7aKnaabmaabaGaaGPaVlaahkhacqGHsislcaWHYbWaaWbaaSqabeaa caGGOaGaamOBaiaacMcaaaaakiaawIcacaGLPaaaaaa@4CA1@ , и приемники тоже точечные и имеют координаты r j MathType@MTEF@5@5@+= feaahGart1ev3aqatCvAUfeBSjuyZL2yd9gzLbvyNv2Caerbov2D09 MBdbqedmvETj2BSbqeduuDJXwAKbYu51MyVXgarqqr1ngBPrgifHhD YfgasaacHOWxh9vrFfeu0dXdh9vqqj=hEeeu0xXdbba9frFj0=OqFf ea0dXdd9vspGe9FjuP0=fs0xXdbba9pGe9xq=Jbba9suk9fr=xfr=x frpeWZqaaeaabiGaaiaadaqabeaabeqacqaaaOqaaiaahkhadaWgaa WcbaGaamOAaaqabaaaaa@3A9C@ , то с учетом этого вместо (14) можно записать

Γ ij (n) Γ ij (0) I (n) Q a r i , r j , r (n) dr ε(r) P a r i , r j ,r, r (n) + ε * ( r 1 ) P a * r j , r i ,r, r (n) . MathType@MTEF@5@5@+= feaahGart1ev3aqatCvAUfeBSjuyZL2yd9gzLbvyNv2Caerbov2D09 MBdbqedmvETj2BSbqeduuDJXwAKbYu51MyVXgarqqr1ngBPrgifHhD YfgasaacHOWxh9vrFfeu0dXdh9vqqj=hEeeu0xXdbba9frFj0=OqFf ea0dXdd9vspGe9FjuP0=fs0xXdbba9pGe9xq=Jbba9suk9fr=xfr=x frpeWZqaaeaabiGaaiaadaqabeaabeqacqaaaOabaiqabaWaaSaaae aacqqHtoWrdaqhaaWcbaGaamyAaiaadQgaaeaacaGGOaGaamOBaiaa cMcaaaGccqGHsislcqqHtoWrdaqhaaWcbaGaamyAaiaadQgaaeaaca GGOaGaaGimaiaacMcaaaaakeaacaWGjbWaaWbaaSqabeaacaGGOaGa amOBaiaacMcaaaaaaOGaeyOeI0IaamyuamaaBaaaleaacaqGHbaabe aakmaabmaabaGaaCOCamaaBaaaleaacaWGPbaabeaakiaacYcacaWH YbWaaSbaaSqaaiaadQgaaeqaaOGaaiilaiaahkhadaahaaWcbeqaai aacIcacaWGUbGaaiykaaaaaOGaayjkaiaawMcaaiabgIKi7cqaaiab gIKi7oaapefabaGaamizaiaahkhadGaGqpWaaeacacTaeqyTduMaai ikaiaahkhacaGGPaGaamiuamaaBaaaleaacaqGHbaabeaakmacaUCa daqaia4YcaWHYbWaaSbaaSqaaiaadMgaaeqaaOGaaiilaiaahkhada WgaaWcbaGaamOAaaqabaGccaGGSaGaaCOCaiaacYcacaWHYbWaaWba aSqabeaacaGGOaGaamOBaiaacMcaaaaakiacaUSLOaGaia4YwMcaai abgUcaRiabew7aLnaaCaaaleqabaGaaiOkaaaakiaacIcacaWHYbWa aSbaaSqaaiaaigdaaeqaaOGaaiykaiaadcfadaqhaaWcbaGaaeyyaa qaaiaabQcaaaGcdGaGlhWaaeacaUSaaCOCamaaBaaaleaacaWGQbaa beaakiaacYcacaWHYbWaaSbaaSqaaiaadMgaaeqaaOGaaiilaiaahk hacaGGSaGaaCOCamaaCaaaleqabaGaaiikaiaad6gacaGGPaaaaaGc cGaGlBjkaiacaUSLPaaaaiacacTLBbGaiai0w2faaiaac6cacaaMc8 oaleaacqGHCeIWaeqaniabgUIiYdaaaaa@9AD4@ (16)

Следует обратить внимание, что итерационные алгоритмы решения обратной задачи рассеяния, как правило, предполагают численное решение прямой задачи рассеяния на каждой итерации [17, 18]. В рамках описанного алгоритма она возникает на втором шаге, когда требуется определить G a (r, r ). MathType@MTEF@5@5@+= feaahGart1ev3aqatCvAUfeBSjuyZL2yd9gzLbvyNv2Caerbov2D09 MBdbqedmvETj2BSbqeduuDJXwAKbYu51MyVXgarqqr1ngBPrgifHhD YfgasaacHOWxh9vrFfeu0dXdh9vqqj=hEeeu0xXdbba9frFj0=OqFf ea0dXdd9vspGe9FjuP0=fs0xXdbba9pGe9xq=Jbba9suk9fr=xfr=x frpeWZqaaeaabiGaaiaadaqabeaabeqacqaaaOqaaiaadEeadaWgaa WcbaGaaeyyaaqabaGccaGGOaGaaCOCaiaacYcaceWHYbGbauaacaGG PaGaaiOlaaaa@3F29@  Погрешности, которые привносятся при этом, оказывают существенное влияние на точность итоговой оценки. В частности, значительный вклад оказывают процессы многократного рассеяния внутри каждого элемента разрешения. Эти вопросы были затронуты в [24]. Альтернативной возможностью является использование для решения прямой задачи метода конечных элементов. В этом случае удается уменьшить объем вычислений и сократить время расчетов, но требуется аккуратное задание условий на границе области наблюдения поля.

3. Численное моделирование работы корреляционного итерационного метода

С целью проверки работоспособности метода моделировалась задача томографирования двумерной неоднородности MathType@MTEF@5@5@+= feaahGart1ev3aqatCvAUfeBSjuyZL2yd9gzLbvyNv2Caerbov2D09 MBdbqedmvETj2BSbqeduuDJXwAKbYu51MyVXgarqqr1ngBPrgifHhD YfgasaacHOWxh9vrFfeu0dXdh9vqqj=hEeeu0xXdbba9frFj0=OqFf ea0dXdd9vspGe9FjuP0=fs0xXdbba9pGe9xq=Jbba9suk9fr=xfr=x frpeWZqaaeaabiGaaiaadaqabeaabeqacqaaaOqaaiabgYricdaa@3A11@  квадратной формы, расположенной в начале координат и имеющей размеры 5 λ 0 ×5 λ 0 MathType@MTEF@5@5@+= feaahGart1ev3aqatCvAUfeBSjuyZL2yd9gzLbvyNv2Caerbov2D09 MBdbqedmvETj2BSbqeduuDJXwAKbYu51MyVXgarqqr1ngBPrgifHhD YfgasaacHOWxh9vrFfeu0dXdh9vqqj=hEeeu0xXdbba9frFj0=OqFf ea0dXdd9vspGe9FjuP0=fs0xXdbba9pGe9xq=Jbba9suk9fr=xfr=x frpeWZqaaeaabiGaaiaadaqabeaabeqacqaaaOqaaiaaiwdacqaH7o aBdaWgaaWcbaGaaGimaaqabaGccqGHxdaTcaaI1aGaeq4UdW2aaSba aSqaaiaaicdaaeqaaaaa@4159@ , где λ 0 2π/ k 0 MathType@MTEF@5@5@+= feaahGart1ev3aqatCvAUfeBSjuyZL2yd9gzLbvyNv2Caerbov2D09 MBdbqedmvETj2BSbqeduuDJXwAKbYu51MyVXgarqqr1ngBPrgifHhD YfgasaacHOWxh9vrFfeu0dXdh9vqqj=hEeeu0xXdbba9frFj0=OqFf ea0dXdd9vspGe9FjuP0=fs0xXdbba9pGe9xq=Jbba9suk9fr=xfr=x frpeWZqaaeaabiGaaiaadaqabeaabeqacqaaaOqaaiabeU7aSnaaBa aaleaacaaIWaaabeaakiabggMi6oaalyaabaGaaGOmaiabec8aWbqa aiaadUgadaWgaaWcbaGaaGimaaqabaaaaaaa@4158@  – длина волны в окружающей фоновой среде. Скорость звука c(x,y) MathType@MTEF@5@5@+= feaahGart1ev3aqatCvAUfeBSjuyZL2yd9gzLbvyNv2Caerbov2D09 MBdbqedmvETj2BSbqeduuDJXwAKbYu51MyVXgarqqr1ngBPrgifHhD YfgasaacHOWxh9vrFfeu0dXdh9vqqj=hEeeu0xXdbba9frFj0=OqFf ea0dXdd9vspGe9FjuP0=fs0xXdbba9pGe9xq=Jbba9suk9fr=xfr=x frpeWZqaaeaabiGaaiaadaqabeaabeqacqaaaOqaaiaadogacaGGOa GaamiEaiaacYcacaWG5bGaaiykaaaa@3D72@  и амплитудный коэффициент поглощения α(x,y) MathType@MTEF@5@5@+= feaahGart1ev3aqatCvAUfeBSjuyZL2yd9gzLbvyNv2Caerbov2D09 MBdbqedmvETj2BSbqeduuDJXwAKbYu51MyVXgarqqr1ngBPrgifHhD YfgasaacHOWxh9vrFfeu0dXdh9vqqj=hEeeu0xXdbba9frFj0=OqFf ea0dXdd9vspGe9FjuP0=fs0xXdbba9pGe9xq=Jbba9suk9fr=xfr=x frpeWZqaaeaabiGaaiaadaqabeaabeqacqaaaOqaaiabeg7aHjaacI cacaWG4bGaaiilaiaadMhacaGGPaaaaa@3E29@  внутри неоднородности задавались в виде

c(x,y)= c 0 1+ β 0 s x λ 0 , y λ 0 MathType@MTEF@5@5@+= feaahGart1ev3aqatCvAUfeBSjuyZL2yd9gzLbvyNv2Caerbov2D09 MBdbqedmvETj2BSbqeduuDJXwAKbYu51MyVXgarqqr1ngBPrgifHhD YfgasaacHOWxh9vrFfeu0dXdh9vqqj=hEeeu0xXdbba9frFj0=OqFf ea0dXdd9vspGe9FjuP0=fs0xXdbba9pGe9xq=Jbba9suk9fr=xfr=x frpeWZqaaeaabiGaaiaadaqabeaabeqacqaaaOqaaiaadogacaGGOa GaamiEaiaacYcacaWG5bGaaiykaiabg2da9iaadogadaWgaaWcbaGa aGimaaqabaGcdaqadaqaaiaaigdacqGHRaWkcqaHYoGydaWgaaWcba GaaGimaaqabaGccaWGZbWaaeWaaeaadaWcaaqaaiaadIhaaeaacqaH 7oaBdaWgaaWcbaGaaGimaaqabaaaaOGaaiilamaalaaabaGaamyEaa qaaiabeU7aSnaaBaaaleaacaaIWaaabeaaaaaakiaawIcacaGLPaaa aiaawIcacaGLPaaaaaa@509B@  

и

α(x,y)= α 0 k 0 s y λ 0 , x λ 0 , MathType@MTEF@5@5@+= feaahGart1ev3aqatCvAUfeBSjuyZL2yd9gzLbvyNv2Caerbov2D09 MBdbqedmvETj2BSbqeduuDJXwAKbYu51MyVXgarqqr1ngBPrgifHhD YfgasaacHOWxh9vrFfeu0dXdh9vqqj=hEeeu0xXdbba9frFj0=OqFf ea0dXdd9vspGe9FjuP0=fs0xXdbba9pGe9xq=Jbba9suk9fr=xfr=x frpeWZqaaeaabiGaaiaadaqabeaabeqacqaaaOqaaiabeg7aHjaacI cacaWG4bGaaiilaiaadMhacaGGPaGaeyypa0JaeqySde2aaSbaaSqa aiaaicdaaeqaaOGaam4AamaaBaaaleaacaaIWaaabeaakmaaemaaba Gaam4CamaabmaabaWaaSaaaeaacaWG5baabaGaeq4UdW2aaSbaaSqa aiaaicdaaeqaaaaakiaacYcadaWcaaqaaiaadIhaaeaacqaH7oaBda WgaaWcbaGaaGimaaqabaaaaaGccaGLOaGaayzkaaaacaGLhWUaayjc SdGaaiilaaaa@5204@

соответственно, где c 0 =ω/ k 0 MathType@MTEF@5@5@+= feaahGart1ev3aqatCvAUfeBSjuyZL2yd9gzLbvyNv2Caerbov2D09 MBdbqedmvETj2BSbqeduuDJXwAKbYu51MyVXgarqqr1ngBPrgifHhD YfgasaacHOWxh9vrFfeu0dXdh9vqqj=hEeeu0xXdbba9frFj0=OqFf ea0dXdd9vspGe9FjuP0=fs0xXdbba9pGe9xq=Jbba9suk9fr=xfr=x frpeWZqaaeaabiGaaiaadaqabeaabeqacqaaaOqaaiaadogadaWgaa WcbaGaaGimaaqabaGccqGH9aqpdaWcgaqaaiabeM8a3bqaaiaadUga daWgaaWcbaGaaGimaaqabaaaaaaa@3F1D@  – скорость звука в фоновой среде. Безразмерные параметры α 0 MathType@MTEF@5@5@+= feaahGart1ev3aqatCvAUfeBSjuyZL2yd9gzLbvyNv2Caerbov2D09 MBdbqedmvETj2BSbqeduuDJXwAKbYu51MyVXgarqqr1ngBPrgifHhD YfgasaacHOWxh9vrFfeu0dXdh9vqqj=hEeeu0xXdbba9frFj0=OqFf ea0dXdd9vspGe9FjuP0=fs0xXdbba9pGe9xq=Jbba9suk9fr=xfr=x frpeWZqaaeaabiGaaiaadaqabeaabeqacqaaaOqaaiabeg7aHnaaBa aaleaacaaIWaaabeaaaaa@3B0B@  и β 0 MathType@MTEF@5@5@+= feaahGart1ev3aqatCvAUfeBSjuyZL2yd9gzLbvyNv2Caerbov2D09 MBdbqedmvETj2BSbqeduuDJXwAKbYu51MyVXgarqqr1ngBPrgifHhD YfgasaacHOWxh9vrFfeu0dXdh9vqqj=hEeeu0xXdbba9frFj0=OqFf ea0dXdd9vspGe9FjuP0=fs0xXdbba9pGe9xq=Jbba9suk9fr=xfr=x frpeWZqaaeaabiGaaiaadaqabeaabeqacqaaaOqaaiabek7aInaaBa aaleaacaaIWaaabeaaaaa@3B0D@  варьируются, обеспечивая изменение контраста неоднородности. Функция s(x,y) MathType@MTEF@5@5@+= feaahGart1ev3aqatCvAUfeBSjuyZL2yd9gzLbvyNv2Caerbov2D09 MBdbqedmvETj2BSbqeduuDJXwAKbYu51MyVXgarqqr1ngBPrgifHhD YfgasaacHOWxh9vrFfeu0dXdh9vqqj=hEeeu0xXdbba9frFj0=OqFf ea0dXdd9vspGe9FjuP0=fs0xXdbba9pGe9xq=Jbba9suk9fr=xfr=x frpeWZqaaeaabiGaaiaadaqabeaabeqacqaaaOqaaiaadohacaGGOa GaamiEaiaacYcacaWG5bGaaiykaaaa@3D82@  задает пространственное распределение параметров внутри неоднородности. Для удобства данные об исследованных в настоящей статье неоднородностях и значения описанных характеристик объединены в таблицу. N R =20 MathType@MTEF@5@5@+= feaahGart1ev3aqatCvAUfeBSjuyZL2yd9gzLbvyNv2Caerbov2D09 MBdbqedmvETj2BSbqeduuDJXwAKbYu51MyVXgarqqr1ngBPrgifHhD YfgasaacHOWxh9vrFfeu0dXdh9vqqj=hEeeu0xXdbba9frFj0=OqFf ea0dXdd9vspGe9FjuP0=fs0xXdbba9pGe9xq=Jbba9suk9fr=xfr=x frpeWZqaaeaabiGaaiaadaqabeaabeqacqaaaOqaaiaad6eadaWgaa WcbaGaamOuaaqabaGccqGH9aqpcaaIYaGaaGimaaaa@3CE2@  точечных приемников располагались в точках с полярными координатами r j = 100 λ 0 ; 2π(j1)/ N R ; MathType@MTEF@5@5@+= feaahGart1ev3aqatCvAUfeBSjuyZL2yd9gzLbvyNv2Caerbov2D09 MBdbqedmvETj2BSbqeduuDJXwAKbYu51MyVXgarqqr1ngBPrgifHhD YfgasaacHOWxh9vrFfeu0dXdh9vqqj=hEeeu0xXdbba9frFj0=OqFf ea0dXdd9vspGe9FjuP0=fs0xXdbba9pGe9xq=Jbba9suk9fr=xfr=x frpeWZqaaeaabiGaaiaadaqabeaabeqacqaaaOqaaiaahkhadaWgaa WcbaGaamOAaaqabaGccqGH9aqpdaqadaqaaiaaigdacaaIWaGaaGim aiabeU7aSnaaBaaaleaacaaIWaaabeaakiaacUdadaWcgaqaaiaaik dacqaHapaCcaGGOaGaamOAaiabgkHiTiaaigdacaGGPaaabaGaamOt amaaBaaaleaacaWGsbaabeaaaaaakiaawIcacaGLPaaacaGG7aaaaa@4BE5@   N F =20 MathType@MTEF@5@5@+= feaahGart1ev3aqatCvAUfeBSjuyZL2yd9gzLbvyNv2Caerbov2D09 MBdbqedmvETj2BSbqeduuDJXwAKbYu51MyVXgarqqr1ngBPrgifHhD YfgasaacHOWxh9vrFfeu0dXdh9vqqj=hEeeu0xXdbba9frFj0=OqFf ea0dXdd9vspGe9FjuP0=fs0xXdbba9pGe9xq=Jbba9suk9fr=xfr=x frpeWZqaaeaabiGaaiaadaqabeaabeqacqaaaOqaaiaad6eadaWgaa WcbaGaamOraaqabaGccqGH9aqpcaaIYaGaaGimaaaa@3CD6@  точечных контролируемых источников – в точках с полярными координатами r (n) = 100 λ 0 ; 2π(n0.5)/ N F MathType@MTEF@5@5@+= feaahGart1ev3aqatCvAUfeBSjuyZL2yd9gzLbvyNv2Caerbov2D09 MBdbqedmvETj2BSbqeduuDJXwAKbYu51MyVXgarqqr1ngBPrgifHhD YfgasaacHOWxh9vrFfeu0dXdh9vqqj=hEeeu0xXdbba9frFj0=OqFf ea0dXdd9vspGe9FjuP0=fs0xXdbba9pGe9xq=Jbba9suk9fr=xfr=x frpeWZqaaeaabiGaaiaadaqabeaabeqacqaaaOqaaiaahkhadaahaa WcbeqaaiaacIcacaWGUbGaaiykaaaakiabg2da9maabmaabaGaaGym aiaaicdacaaIWaGaeq4UdW2aaSbaaSqaaiaaicdaaeqaaOGaai4oam aalyaabaGaaGOmaiabec8aWjaacIcacaWGUbGaeyOeI0IaaGimaiaa c6cacaaI1aGaaiykaaqaaiaad6eadaWgaaWcbaGaamOraaqabaaaaa GccaGLOaGaayzkaaaaaa@4DEC@ . Шаг дискретизации был выбран равным λ 0 /8 MathType@MTEF@5@5@+= feaahGart1ev3aqatCvAUfeBSjuyZL2yd9gzLbvyNv2Caerbov2D09 MBdbqedmvETj2BSbqeduuDJXwAKbYu51MyVXgarqqr1ngBPrgifHhD YfgasaacHOWxh9vrFfeu0dXdh9vqqj=hEeeu0xXdbba9frFj0=OqFf ea0dXdd9vspGe9FjuP0=fs0xXdbba9pGe9xq=Jbba9suk9fr=xfr=x frpeWZqaaeaabiGaaiaadaqabeaabeqacqaaaOqaamaalyaabaGaeq 4UdW2aaSbaaSqaaiaaicdaaeqaaaGcbaGaaGioaaaaaaa@3C02@ . При моделировании здесь и далее априорная информация не использовалась, т.е. полагалось k a (r)= k 0 MathType@MTEF@5@5@+= feaahGart1ev3aqatCvAUfeBSjuyZL2yd9gzLbvyNv2Caerbov2D09 MBdbqedmvETj2BSbqeduuDJXwAKbYu51MyVXgarqqr1ngBPrgifHhD YfgasaacHOWxh9vrFfeu0dXdh9vqqj=hEeeu0xXdbba9frFj0=OqFf ea0dXdd9vspGe9FjuP0=fs0xXdbba9pGe9xq=Jbba9suk9fr=xfr=x frpeWZqaaeaabiGaaiaadaqabeaabeqacqaaaOqaaiaadUgadaWgaa WcbaGaaeyyaaqabaGccaGGOaGaaCOCaiaacMcacqGH9aqpcaWGRbWa aSbaaSqaaiaaicdaaeqaaaaa@3FC0@ .

 

Таблица. Параметры неоднородностей

s(x,y) MathType@MTEF@5@5@+= feaahGart1ev3aqatCvAUfeBSjuyZL2yd9gzLbvyNv2Caerbov2D09 MBdbqedmvETj2BSbqeduuDJXwAKbYu51MyVXgarqqr1ngBPrgifHhD YfgasaacHOWxh9vrFfeu0dXdh9vqqj=hEeeu0xXdbba9frFj0=OqFf ea0dXdd9vspGe9FjuP0=fs0xXdbba9pGe9xq=Jbba9suk9fr=xfr=x frpeWZqaaeaabiGaaiaadaqabeaabeqacqaaaOqaaiaadohacaGGOa GaamiEaiaacYcacaWG5bGaaiykaaaa@3D82@

α 0 MathType@MTEF@5@5@+= feaahGart1ev3aqatCvAUfeBSjuyZL2yd9gzLbvyNv2Caerbov2D09 MBdbqedmvETj2BSbqeduuDJXwAKbYu51MyVXgarqqr1ngBPrgifHhD YfgasaacHOWxh9vrFfeu0dXdh9vqqj=hEeeu0xXdbba9frFj0=OqFf ea0dXdd9vspGe9FjuP0=fs0xXdbba9pGe9xq=Jbba9suk9fr=xfr=x frpeWZqaaeaabiGaaiaadaqabeaabeqacqaaaOqaaiabeg7aHnaaBa aaleaacaaIWaaabeaaaaa@3B0B@

β 0 MathType@MTEF@5@5@+= feaahGart1ev3aqatCvAUfeBSjuyZL2yd9gzLbvyNv2Caerbov2D09 MBdbqedmvETj2BSbqeduuDJXwAKbYu51MyVXgarqqr1ngBPrgifHhD YfgasaacHOWxh9vrFfeu0dXdh9vqqj=hEeeu0xXdbba9frFj0=OqFf ea0dXdd9vspGe9FjuP0=fs0xXdbba9pGe9xq=Jbba9suk9fr=xfr=x frpeWZqaaeaabiGaaiaadaqabeaabeqacqaaaOqaaiabek7aInaaBa aaleaacaaIWaaabeaaaaa@3B0D@

f(θ, θ ) MathType@MTEF@5@5@+= feaahGart1ev3aqatCvAUfeBSjuyZL2yd9gzLbvyNv2Caerbov2D09 MBdbqedmvETj2BSbqeduuDJXwAKbYu51MyVXgarqqr1ngBPrgifHhD YfgasaacHOWxh9vrFfeu0dXdh9vqqj=hEeeu0xXdbba9frFj0=OqFf ea0dXdd9vspGe9FjuP0=fs0xXdbba9pGe9xq=Jbba9suk9fr=xfr=x frpeWZqaaeaabiGaaiaadaqabeaabeqacqaaaOqaamaafmaabaGaam OzaiaacIcacqaH4oqCcaGGSaGafqiUdeNbauaacaGGPaaacaGLjWUa ayPcSdaaaa@4219@

Δϕ π MathType@MTEF@5@5@+= feaahGart1ev3aqatCvAUfeBSjuyZL2yd9gzLbvyNv2Caerbov2D09 MBdbqedmvETj2BSbqeduuDJXwAKbYu51MyVXgarqqr1ngBPrgifHhD YfgasaacHOWxh9vrFfeu0dXdh9vqqj=hEeeu0xXdbba9frFj0=OqFf ea0dXdd9vspGe9FjuP0=fs0xXdbba9pGe9xq=Jbba9suk9fr=xfr=x frpeWZqaaeaabiGaaiaadaqabeaabeqacqaaaOqaamaalaaabaGaeu iLdqKaeqy1dygabaGaeqiWdahaaaaa@3D81@

M MathType@MTEF@5@5@+= feaahGart1ev3aqatCvAUfeBSjuyZL2yd9gzLbvyNv2Caerbov2D09 MBdbqedmvETj2BSbqeduuDJXwAKbYu51MyVXgarqqr1ngBPrgifHhD YfgasaacHOWxh9vrFfeu0dXdh9vqqj=hEeeu0xXdbba9frFj0=OqFf ea0dXdd9vspGe9FjuP0=fs0xXdbba9pGe9xq=Jbba9suk9fr=xfr=x frpeWZqaaeaabiGaaiaadaqabeaabeqacqaaaOqaaerbn9MBVrxEWv gid9MCZLMDHbacfaGaa8xtaaaa@3FC9@

1

exp x+iy0.5 1 2 2× 0.25 2 1 2 exp x+iy+0.5 1 2 2× 0.25 2 MathType@MTEF@5@5@+= feaahGart1ev3aqatCvAUfeBSjuyZL2yd9gzLbvyNv2Caerbov2D09 MBdbqedmvETj2BSbqeduuDJXwAKbYu51MyVXgarqqr1ngBPrgifHhD YfgasaacHOWxh9vrFfeu0dXdh9vqqj=hEeeu0xXdbba9frFj0=OqFf ea0dXdd9vspGe9FjuP0=fs0xXdbba9pGe9xq=Jbba9suk9fr=xfr=x frpeWZqaaeaabiGaaiaadaqabeaabeqacqaaaOqaaiGacwgacaGG4b GaaiiCamaabmaabaGaeyOeI0YaaSaaaeaadGaGqhWaaeacacTaaGPa VpaaemaabaGaamiEaiabgUcaRiaadMgacaWG5bGaeyOeI0IaaGimai aac6cacaaI1aaacaGLhWUaayjcSdGaeyOeI0IaaGymaaGaiai0wIca cGaGqBzkaaWaaWbaaSqabeaacaaIYaaaaaGcbaGaaGOmaiabgEna0k aaicdacaGGUaGaaGOmaiaaiwdadaahaaWcbeqaaiaaikdaaaaaaaGc caGLOaGaayzkaaGaeyOeI0YaaSaaaeaacaaIXaaabaGaaGOmaaaaci GGLbGaaiiEaiaacchadaqadaqaaiabgkHiTmaalaaabaWaiai0bmaa bGaGqlaaykW7daabdaqaaiaadIhacqGHRaWkcaWGPbGaamyEaiabgU caRiaaicdacaGGUaGaaGynaaGaay5bSlaawIa7aiabgkHiTiaaigda aiacacTLOaGaiai0wMcaamaaCaaaleqabaGaaGOmaaaaaOqaaiaaik dacqGHxdaTcaaIWaGaaiOlaiaaikdacaaI1aWaaWbaaSqabeaacaaI YaaaaaaaaOGaayjkaiaawMcaaaaa@7D33@

0.1

0.3

13 3π MathType@MTEF@5@5@+= feaahGart1ev3aqatCvAUfeBSjuyZL2yd9gzLbvyNv2Caerbov2D09 MBdbqedmvETj2BSbqeduuDJXwAKbYu51MyVXgarqqr1ngBPrgifHhD YfgasaacHOWxh9vrFfeu0dXdh9vqqj=hEeeu0xXdbba9frFj0=OqFf ea0dXdd9vspGe9FjuP0=fs0xXdbba9pGe9xq=Jbba9suk9fr=xfr=x frpeWZqaaeaabiGaaiaadaqabeaabeqacqaaaOqaamaalaaabaGaaG ymaiaaiodaaeaacaaIZaGaeqiWdahaaaaa@3C88@

0.9

1.3

2

exp x 2 + y 2 2× 0.75 2 MathType@MTEF@5@5@+= feaahGart1ev3aqatCvAUfeBSjuyZL2yd9gzLbvyNv2Caerbov2D09 MBdbqedmvETj2BSbqeduuDJXwAKbYu51MyVXgarqqr1ngBPrgifHhD YfgasaacHOWxh9vrFfeu0dXdh9vqqj=hEeeu0xXdbba9frFj0=OqFf ea0dXdd9vspGe9FjuP0=fs0xXdbba9pGe9xq=Jbba9suk9fr=xfr=x frpeWZqaaeaabiGaaiaadaqabeaabeqacqaaaOqaaiGacwgacaGG4b GaaiiCamaabmaabaGaeyOeI0YaaSaaaeaacaWG4bWaaWbaaSqabeaa caaIYaaaaOGaey4kaSIaamyEamaaCaaaleqabaGaaGOmaaaaaOqaai aaikdacqGHxdaTcaaIWaGaaiOlaiaaiEdacaaI1aWaaWbaaSqabeaa caaIYaaaaaaaaOGaayjkaiaawMcaaaaa@495C@

0

0.4

21 3π MathType@MTEF@5@5@+= feaahGart1ev3aqatCvAUfeBSjuyZL2yd9gzLbvyNv2Caerbov2D09 MBdbqedmvETj2BSbqeduuDJXwAKbYu51MyVXgarqqr1ngBPrgifHhD YfgasaacHOWxh9vrFfeu0dXdh9vqqj=hEeeu0xXdbba9frFj0=OqFf ea0dXdd9vspGe9FjuP0=fs0xXdbba9pGe9xq=Jbba9suk9fr=xfr=x frpeWZqaaeaabiGaaiaadaqabeaabeqacqaaaOqaamaalaaabaGaaG OmaiaaigdaaeaacaaIZaGaeqiWdahaaaaa@3C87@

1.2

1.9

3

exp x 2 + y 2 2× 0.75 2 cos(2πx) MathType@MTEF@5@5@+= feaahGart1ev3aqatCvAUfeBSjuyZL2yd9gzLbvyNv2Caerbov2D09 MBdbqedmvETj2BSbqeduuDJXwAKbYu51MyVXgarqqr1ngBPrgifHhD YfgasaacHOWxh9vrFfeu0dXdh9vqqj=hEeeu0xXdbba9frFj0=OqFf ea0dXdd9vspGe9FjuP0=fs0xXdbba9pGe9xq=Jbba9suk9fr=xfr=x frpeWZqaaeaabiGaaiaadaqabeaabeqacqaaaOqaaiGacwgacaGG4b GaaiiCamaabmaabaGaeyOeI0YaaSaaaeaacaWG4bWaaWbaaSqabeaa caaIYaaaaOGaey4kaSIaamyEamaaCaaaleqabaGaaGOmaaaaaOqaai aaikdacqGHxdaTcaaIWaGaaiOlaiaaiEdacaaI1aWaaWbaaSqabeaa caaIYaaaaaaaaOGaayjkaiaawMcaaiGacogacaGGVbGaai4CaiaacI cacaaIYaGaeqiWdaNaamiEaiaacMcaaaa@50FE@

0

0.4

12 3π MathType@MTEF@5@5@+= feaahGart1ev3aqatCvAUfeBSjuyZL2yd9gzLbvyNv2Caerbov2D09 MBdbqedmvETj2BSbqeduuDJXwAKbYu51MyVXgarqqr1ngBPrgifHhD YfgasaacHOWxh9vrFfeu0dXdh9vqqj=hEeeu0xXdbba9frFj0=OqFf ea0dXdd9vspGe9FjuP0=fs0xXdbba9pGe9xq=Jbba9suk9fr=xfr=x frpeWZqaaeaabiGaaiaadaqabeaabeqacqaaaOqaamaalaaabaGaaG ymaiaaikdaaeaacaaIZaGaeqiWdahaaaaa@3C87@

1.2

1.5

 

Чтобы численно определить сложность восстановления каждой конкретной моделируемой неоднородности, вводится несколько ее характеристик, по-разному связанных со свойствами среды. Первая из них – норма амплитуды рассеяния f(θ, θ ) MathType@MTEF@5@5@+= feaahGart1ev3aqatCvAUfeBSjuyZL2yd9gzLbvyNv2Caerbov2D09 MBdbqedmvETj2BSbqeduuDJXwAKbYu51MyVXgarqqr1ngBPrgifHhD YfgasaacHOWxh9vrFfeu0dXdh9vqqj=hEeeu0xXdbba9frFj0=OqFf ea0dXdd9vspGe9FjuP0=fs0xXdbba9pGe9xq=Jbba9suk9fr=xfr=x frpeWZqaaeaabiGaaiaadaqabeaabeqacqaaaOqaaiaadAgacaGGOa GaeqiUdeNaaiilaiqbeI7aXzaafaGaaiykaaaa@3EF2@  , равная f(θ, θ ) 0 2π 0 2π f(θ, θ ) 2 dθd θ MathType@MTEF@5@5@+= feaahGart1ev3aqatCvAUfeBSjuyZL2yd9gzLbvyNv2Caerbov2D09 MBdbqedmvETj2BSbqeduuDJXwAKbYu51MyVXgarqqr1ngBPrgifHhD YfgasaacHOWxh9vrFfeu0dXdh9vqqj=hEeeu0xXdbba9frFj0=OqFf ea0dXdd9vspGe9FjuP0=fs0xXdbba9pGe9xq=Jbba9suk9fr=xfr=x frpeWZqaaeaabiGaaiaadaqabeaabeqacqaaaOqaamaafmaabaGaam OzaiaacIcacqaH4oqCcaGGSaGafqiUdeNbauaacaGGPaaacaGLjWUa ayPcSdGaeyyyIO7aaOaaaeaadaWdXbqaamaapehabaWaaqWaaeaaca WGMbGaaiikaiabeI7aXjaacYcacuaH4oqCgaqbaiaacMcaaiaawEa7 caGLiWoadaahaaWcbeqaaiaaikdaaaaabaGaaGimaaqaaiaaikdacq aHapaCa0Gaey4kIipakiaadsgacqaH4oqCcaWGKbGafqiUdeNbauaa aSqaaiaaicdaaeaacaaIYaGaeqiWdahaniabgUIiYdaaleqaaaaa@5EF5@ . Амплитуда рассеяния определяется в пространствах разной размерности d MathType@MTEF@5@5@+= feaahGart1ev3aqatCvAUfeBSjuyZL2yd9gzLbvyNv2Caerbov2D09 MBdbqedmvETj2BSbqeduuDJXwAKbYu51MyVXgarqqr1ngBPrgifHhD YfgasaacHOWxh9vrFfeu0dXdh9vqqj=hEeeu0xXdbba9frFj0=OqFf ea0dXdd9vspGe9FjuP0=fs0xXdbba9pGe9xq=Jbba9suk9fr=xfr=x frpeWZqaaeaabiGaaiaadaqabeaabeqacqaaaOqaaiaadsgaaaa@396F@  аналогично тому, как это сделано в ряде работ [18, 27]; θ MathType@MTEF@5@5@+= feaahGart1ev3aqatCvAUfeBSjuyZL2yd9gzLbvyNv2Caerbov2D09 MBdbqedmvETj2BSbqeduuDJXwAKbYu51MyVXgarqqr1ngBPrgifHhD YfgasaacHOWxh9vrFfeu0dXdh9vqqj=hEeeu0xXdbba9frFj0=OqFf ea0dXdd9vspGe9FjuP0=fs0xXdbba9pGe9xq=Jbba9suk9fr=xfr=x frpeWZqaaeaabiGaaiaadaqabeaabeqacqaaaOqaaiabeI7aXbaa@3A3C@  и θ MathType@MTEF@5@5@+= feaahGart1ev3aqatCvAUfeBSjuyZL2yd9gzLbvyNv2Caerbov2D09 MBdbqedmvETj2BSbqeduuDJXwAKbYu51MyVXgarqqr1ngBPrgifHhD YfgasaacHOWxh9vrFfeu0dXdh9vqqj=hEeeu0xXdbba9frFj0=OqFf ea0dXdd9vspGe9FjuP0=fs0xXdbba9pGe9xq=Jbba9suk9fr=xfr=x frpeWZqaaeaabiGaaiaadaqabeaabeqacqaaaOqaaiqbeI7aXzaafa aaaa@3A48@  – полярные углы, под которыми распространяются падающая и рассеянная волны. При численном расчете f(θ, θ ) MathType@MTEF@5@5@+= feaahGart1ev3aqatCvAUfeBSjuyZL2yd9gzLbvyNv2Caerbov2D09 MBdbqedmvETj2BSbqeduuDJXwAKbYu51MyVXgarqqr1ngBPrgifHhD YfgasaacHOWxh9vrFfeu0dXdh9vqqj=hEeeu0xXdbba9frFj0=OqFf ea0dXdd9vspGe9FjuP0=fs0xXdbba9pGe9xq=Jbba9suk9fr=xfr=x frpeWZqaaeaabiGaaiaadaqabeaabeqacqaaaOqaamaafmaabaGaam OzaiaacIcacqaH4oqCcaGGSaGafqiUdeNbauaacaGGPaaacaGLjWUa ayPcSdaaaa@4219@  используется уравнение (6).

Вторая характеристика определяется как максимальный по различным траекториям l MathType@MTEF@5@5@+= feaahGart1ev3aqatCvAUfeBSjuyZL2yd9gzLbvyNv2Caerbov2D09 MBdbqedmvETj2BSbqeduuDJXwAKbYu51MyVXgarqqr1ngBPrgifHhD YfgasaacHOWxh9vrFfeu0dXdh9vqqj=hEeeu0xXdbba9frFj0=OqFf ea0dXdd9vspGe9FjuP0=fs0xXdbba9pGe9xq=Jbba9suk9fr=xfr=x frpeWZqaaeaabiGaaiaadaqabeaabeqacqaaaOqaaiabloriSbaa@39B7@  дополнительный набег фазы, который получается при распространении сигнала через неоднородность по сравнению с набегом фазы в фоновой среде: Δϕ= max ¯ l l k 0 ω c(r) dl MathType@MTEF@5@5@+= feaahGart1ev3aqatCvAUfeBSjuyZL2yd9gzLbvyNv2Caerbov2D09 MBdbqedmvETj2BSbqeduuDJXwAKbYu51MyVXgarqqr1ngBPrgifHhD YfgasaacHOWxh9vrFfeu0dXdh9vqqj=hEeeu0xXdbba9frFj0=OqFf ea0dXdd9vspGe9FjuP0=fs0xXdbba9pGe9xq=Jbba9suk9fr=xfr=x frpeWZqaaeaabiGaaiaadaqabeaabeqacqaaaOqaaiabfs5aejabew 9aMjabg2da9maaxababaWaa0aaaeaaciGGTbGaaiyyaiaacIhaaaaa leaacqWItecBaeqaaOWaa8quaeaadaqadaqaaiaadUgadaWgaaWcba GaaGimaaqabaGccqGHsisldaWcaaqaaiabeM8a3bqaaiaadogacaGG OaGaaCOCaiaacMcaaaaacaGLOaGaayzkaaGaamizaiabloriSbWcba GaeS4eHWgabeqdcqGHRiI8aaaa@5017@ . Черта над max ¯ MathType@MTEF@5@5@+= feaahGart1ev3aqatCvAUfeBSjuyZL2yd9gzLbvyNv2Caerbov2D09 MBdbqedmvETj2BSbqeduuDJXwAKbYu51MyVXgarqqr1ngBPrgifHhD YfgasaacHOWxh9vrFfeu0dXdh9vqqj=hEeeu0xXdbba9frFj0=OqFf ea0dXdd9vspGe9FjuP0=fs0xXdbba9pGe9xq=Jbba9suk9fr=xfr=x frpeWZqaaeaabiGaaiaadaqabeaabeqacqaaaOqaamaanaaabaGaci yBaiaacggacaGG4baaaaaa@3B6B@  означает, что эта операция в данном случае нестандартная. Она заключается в том, что вначале определяется наибольшее по абсолютной величине значение аргумента, а затем результату приписывается тот же знак, что и у аргумента. Такое сохранение знака позволяет учесть, что набег фазы в среде может быть как положительным, так и отрицательным. Если для оценки полагать каждую траекторию l MathType@MTEF@5@5@+= feaahGart1ev3aqatCvAUfeBSjuyZL2yd9gzLbvyNv2Caerbov2D09 MBdbqedmvETj2BSbqeduuDJXwAKbYu51MyVXgarqqr1ngBPrgifHhD YfgasaacHOWxh9vrFfeu0dXdh9vqqj=hEeeu0xXdbba9frFj0=OqFf ea0dXdd9vspGe9FjuP0=fs0xXdbba9pGe9xq=Jbba9suk9fr=xfr=x frpeWZqaaeaabiGaaiaadaqabeaabeqacqaaaOqaaiabloriSbaa@39B7@  прямой линией, то такая процедура эквивалентна вычислению максимума Δϕ= max ¯ ζ(a,θ) MathType@MTEF@5@5@+= feaahGart1ev3aqatCvAUfeBSjuyZL2yd9gzLbvyNv2Caerbov2D09 MBdbqedmvETj2BSbqeduuDJXwAKbYu51MyVXgarqqr1ngBPrgifHhD YfgasaacHOWxh9vrFfeu0dXdh9vqqj=hEeeu0xXdbba9frFj0=OqFf ea0dXdd9vspGe9FjuP0=fs0xXdbba9pGe9xq=Jbba9suk9fr=xfr=x frpeWZqaaeaabiGaaiaadaqabeaabeqacqaaaOqaaiabfs5aejabew 9aMjabg2da9maanaaabaGaciyBaiaacggacaGG4baaaiaaykW7cqaH 2oGEcaGGOaGaamyyaiaacYcacqaH4oqCcaGGPaaaaa@478C@  преобразования Радона ζ(a,θ)=Rad k 0 ω c(r) MathType@MTEF@5@5@+= feaahGart1ev3aqatCvAUfeBSjuyZL2yd9gzLbvyNv2Caerbov2D09 MBdbqedmvETj2BSbqeduuDJXwAKbYu51MyVXgarqqr1ngBPrgifHhD YfgasaacHOWxh9vrFfeu0dXdh9vqqj=hEeeu0xXdbba9frFj0=OqFf ea0dXdd9vspGe9FjuP0=fs0xXdbba9pGe9xq=Jbba9suk9fr=xfr=x frpeWZqaaeaabiGaaiaadaqabeaabeqacqaaaOqaaiabeA7a6jaacI cacaWGHbGaaiilaiabeI7aXjaacMcacqGH9aqpcaqGsbGaaeyyaiaa bsgadaqadaqaaiaadUgadaWgaaWcbaGaaGimaaqabaGccqGHsislda WcaaqaaiabeM8a3bqaaiaadogacaGGOaGaaCOCaiaacMcaaaaacaGL OaGaayzkaaaaaa@4BFD@  от подынтегрального вы- ражения, которое можно рассчитать быстро.

Третья характеристика равна максимальному модулю отношения M max r, r G(r, r ) G a (r, r ) G a (r, r ) MathType@MTEF@5@5@+= feaahGart1ev3aqatCvAUfeBSjuyZL2yd9gzLbvyNv2Caerbov2D09 MBdbqedmvETj2BSbqeduuDJXwAKbYu51MyVXgarqqr1ngBPrgifHhD YfgasaacHOWxh9vrFfeu0dXdh9vqqj=hEeeu0xXdbba9frFj0=OqFf ea0dXdd9vspGe9FjuP0=fs0xXdbba9pGe9xq=Jbba9suk9fr=xfr=x frpeWZqaaeaabiGaaiaadaqabeaabeqacqaaaOqaaerbn9MBVrxEWv gid9MCZLMDHbacfaGaa8xtaiabggMi6oaaxababaGaciyBaiaacgga caGG4baaleaacaWHYbGaaiilaiqahkhagaqbaaqabaGcdaabdaqaam aalaaabaGaam4raiaacIcacaWHYbGaaiilaiqahkhagaqbaiaacMca cqGHsislcaWGhbWaaSbaaSqaaiaabggaaeqaaOGaaiikaiaahkhaca GGSaGabCOCayaafaGaaiykaaqaaiaadEeadaWgaaWcbaGaaeyyaaqa baGccaGGOaGaaCOCaiaacYcaceWHYbGbauaacaGGPaaaaaGaay5bSl aawIa7aaaa@5C33@  рассеянного поля G(r, r ) G a (r, r ) MathType@MTEF@5@5@+= feaahGart1ev3aqatCvAUfeBSjuyZL2yd9gzLbvyNv2Caerbov2D09 MBdbqedmvETj2BSbqeduuDJXwAKbYu51MyVXgarqqr1ngBPrgifHhD YfgasaacHOWxh9vrFfeu0dXdh9vqqj=hEeeu0xXdbba9frFj0=OqFf ea0dXdd9vspGe9FjuP0=fs0xXdbba9pGe9xq=Jbba9suk9fr=xfr=x frpeWZqaaeaabiGaaiaadaqabeaabeqacqaaaOqaaiaadEeacaGGOa GaaCOCaiaacYcaceWHYbGbauaacaGGPaGaeyOeI0Iaam4ramaaBaaa leaacaqGHbaabeaakiaacIcacaWHYbGaaiilaiqahkhagaqbaiaacM caaaa@443B@  к падающему полю G a (r, r ) MathType@MTEF@5@5@+= feaahGart1ev3aqatCvAUfeBSjuyZL2yd9gzLbvyNv2Caerbov2D09 MBdbqedmvETj2BSbqeduuDJXwAKbYu51MyVXgarqqr1ngBPrgifHhD YfgasaacHOWxh9vrFfeu0dXdh9vqqj=hEeeu0xXdbba9frFj0=OqFf ea0dXdd9vspGe9FjuP0=fs0xXdbba9pGe9xq=Jbba9suk9fr=xfr=x frpeWZqaaeaabiGaaiaadaqabeaabeqacqaaaOqaaiaadEeadaWgaa WcbaGaaeyyaaqabaGccaGGOaGaaCOCaiaacYcaceWHYbGbauaacaGG Paaaaa@3E77@ . В зависимости от того, является ли она много меньшей единицы, меньшей единицы или превосходит единицу, неоднородность относят к классу слабых, средних или сильных рассеивателей соответственно [17]. Сильные рассеиватели наиболее сложны для восстановления, и итерационные процедуры, в том числе предлагаемый в настоящей статье метод, не гарантируют успеха. Более того, в двумерном случае, когда объем исходных данных конечен, в классе сильных рассеивателей решение задачи не единственно [18].

На рис. 1а представлено пространственное распределение относительной скорости звука c(x,y)/ c 0 MathType@MTEF@5@5@+= feaahGart1ev3aqatCvAUfeBSjuyZL2yd9gzLbvyNv2Caerbov2D09 MBdbqedmvETj2BSbqeduuDJXwAKbYu51MyVXgarqqr1ngBPrgifHhD YfgasaacHOWxh9vrFfeu0dXdh9vqqj=hEeeu0xXdbba9frFj0=OqFf ea0dXdd9vspGe9FjuP0=fs0xXdbba9pGe9xq=Jbba9suk9fr=xfr=x frpeWZqaaeaabiGaaiaadaqabeaabeqacqaaaOqaamaalyaabaGaam 4yaiaacIcacaWG4bGaaiilaiaadMhacaGGPaaabaGaam4yamaaBaaa leaacaaIWaaabeaaaaaaaa@3F56@  для неоднородности № 1 с α 0 =0.1; MathType@MTEF@5@5@+= feaahGart1ev3aqatCvAUfeBSjuyZL2yd9gzLbvyNv2Caerbov2D09 MBdbqedmvETj2BSbqeduuDJXwAKbYu51MyVXgarqqr1ngBPrgifHhD YfgasaacHOWxh9vrFfeu0dXdh9vqqj=hEeeu0xXdbba9frFj0=OqFf ea0dXdd9vspGe9FjuP0=fs0xXdbba9pGe9xq=Jbba9suk9fr=xfr=x frpeWZqaaeaabiGaaiaadaqabeaabeqacqaaaOqaaiabeg7aHnaaBa aaleaacaaIWaaabeaakiabg2da9iaaicdacaGGUaGaaGymaiaacUda aaa@3F01@   β 0 =0.3 MathType@MTEF@5@5@+= feaahGart1ev3aqatCvAUfeBSjuyZL2yd9gzLbvyNv2Caerbov2D09 MBdbqedmvETj2BSbqeduuDJXwAKbYu51MyVXgarqqr1ngBPrgifHhD YfgasaacHOWxh9vrFfeu0dXdh9vqqj=hEeeu0xXdbba9frFj0=OqFf ea0dXdd9vspGe9FjuP0=fs0xXdbba9pGe9xq=Jbba9suk9fr=xfr=x frpeWZqaaeaabiGaaiaadaqabeaabeqacqaaaOqaaiabek7aInaaBa aaleaacaaIWaaabeaakiabg2da9iaaicdacaGGUaGaaG4maaaa@3E46@ . Она описывается функцией

s 1 (x,y)exp x+iy0.5 1 2 2× 0.25 2 1 2 exp x+iy+0.5 1 2 2× 0.25 2 , MathType@MTEF@5@5@+= feaahGart1ev3aqatCvAUfeBSjuyZL2yd9gzLbvyNv2Caerbov2D09 MBdbqedmvETj2BSbqeduuDJXwAKbYu51MyVXgarqqr1ngBPrgifHhD YfgasaacHOWxh9vrFfeu0dXdh9vqqj=hEeeu0xXdbba9frFj0=OqFf ea0dXdd9vspGe9FjuP0=fs0xXdbba9pGe9xq=Jbba9suk9fr=xfr=x frpeWZqaaeaabiGaaiaadaqabeaabeqacqaaaOabaiqabaGaam4Cam aaBaaaleaacaaIXaaabeaakiaacIcacaWG4bGaaiilaiaadMhacaGG PaGaeyyyIORaciyzaiaacIhacaGGWbWaaeWaaeaacqGHsisldaWcaa qaamacacDadaqaiai0caaMc8+aaqWaaeaacaWG4bGaey4kaSIaamyA aiaadMhacqGHsislcaaIWaGaaiOlaiaaiwdaaiaawEa7caGLiWoacq GHsislcaaIXaaacGaGqBjkaiacacTLPaaadaahaaWcbeqaaiaaikda aaaakeaacaaIYaGaey41aqRaaGimaiaac6cacaaIYaGaaGynamaaCa aaleqabaGaaGOmaaaaaaaakiaawIcacaGLPaaacqGHsislaeaacqGH sislcaaMc8+aaSaaaeaacaaIXaaabaGaaGOmaaaaciGGLbGaaiiEai aacchadaqadaqaaiabgkHiTmaalaaabaWaiai0bmaabGaGqlaaykW7 daabdaqaaiaadIhacqGHRaWkcaWGPbGaamyEaiabgUcaRiaaicdaca GGUaGaaGynaaGaay5bSlaawIa7aiabgkHiTiaaigdaaiacacTLOaGa iai0wMcaamaaCaaaleqabaGaaGOmaaaaaOqaaiaaikdacqGHxdaTca aIWaGaaiOlaiaaikdacaaI1aWaaWbaaSqabeaacaaIYaaaaaaaaOGa ayjkaiaawMcaaiaacYcaaaaa@8819@

представляющей собой сумму двух “колец” и имеющей достаточно сложный вид. Форма пространственного распределения коэффициента поглощения такая же: она получается из формы распределения скорости звука симметрией относительно прямой y=x MathType@MTEF@5@5@+= feaahGart1ev3aqatCvAUfeBSjuyZL2yd9gzLbvyNv2Caerbov2D09 MBdbqedmvETj2BSbqeduuDJXwAKbYu51MyVXgarqqr1ngBPrgifHhD YfgasaacHOWxh9vrFfeu0dXdh9vqqj=hEeeu0xXdbba9frFj0=OqFf ea0dXdd9vspGe9FjuP0=fs0xXdbba9pGe9xq=Jbba9suk9fr=xfr=x frpeWZqaaeaabiGaaiaadaqabeaabeqacqaaaOqaaiaadMhacqGH9a qpcaWG4baaaa@3B87@ . Несмотря на небольшой волновой размер, она относится к классу сильных рассеивателей. Результат ее восстановления с помощью корреляционного итерационного метода приведен на рис. 1б. Здесь представлены выполненные вдоль отрезка AB MathType@MTEF@5@5@+= feaahGart1ev3aqatCvAUfeBSjuyZL2yd9gzLbvyNv2Caerbov2D09 MBdbqedmvETj2BSbqeduuDJXwAKbYu51MyVXgarqqr1ngBPrgifHhD YfgasaacHOWxh9vrFfeu0dXdh9vqqj=hEeeu0xXdbba9frFj0=OqFf ea0dXdd9vspGe9FjuP0=fs0xXdbba9pGe9xq=Jbba9suk9fr=xfr=x frpeWZqaaeaabiGaaiaadaqabeaabeqacqaaaOqaaiaadgeacaWGcb aaaa@3A13@  и нормированные на k 0 2 MathType@MTEF@5@5@+= feaahGart1ev3aqatCvAUfeBSjuyZL2yd9gzLbvyNv2Caerbov2D09 MBdbqedmvETj2BSbqeduuDJXwAKbYu51MyVXgarqqr1ngBPrgifHhD YfgasaacHOWxh9vrFfeu0dXdh9vqqj=hEeeu0xXdbba9frFj0=OqFf ea0dXdd9vspGe9FjuP0=fs0xXdbba9pGe9xq=Jbba9suk9fr=xfr=x frpeWZqaaeaabiGaaiaadaqabeaabeqacqaaaOqaaiaadUgadaqhaa WcbaGaaGimaaqaaiaaikdaaaaaaa@3B19@  сечения полученной после 500 итераций оценки ε ^ 500 (x,y) MathType@MTEF@5@5@+= feaahGart1ev3aqatCvAUfeBSjuyZL2yd9gzLbvyNv2Caerbov2D09 MBdbqedmvETj2BSbqeduuDJXwAKbYu51MyVXgarqqr1ngBPrgifHhD YfgasaacHOWxh9vrFfeu0dXdh9vqqj=hEeeu0xXdbba9frFj0=OqFf ea0dXdd9vspGe9FjuP0=fs0xXdbba9pGe9xq=Jbba9suk9fr=xfr=x frpeWZqaaeaabiGaaiaadaqabeaabeqacqaaaOqaamaaHaaabaGaeq yTdugacaGLcmaadaWgaaWcbaGaaGynaiaaicdacaaIWaaabeaakiaa cIcacaWG4bGaaiilaiaadMhacaGGPaaaaa@415C@  и искомой функции рассеивателя ε(x,y). MathType@MTEF@5@5@+= feaahGart1ev3aqatCvAUfeBSjuyZL2yd9gzLbvyNv2Caerbov2D09 MBdbqedmvETj2BSbqeduuDJXwAKbYu51MyVXgarqqr1ngBPrgifHhD YfgasaacHOWxh9vrFfeu0dXdh9vqqj=hEeeu0xXdbba9frFj0=OqFf ea0dXdd9vspGe9FjuP0=fs0xXdbba9pGe9xq=Jbba9suk9fr=xfr=x frpeWZqaaeaabiGaaiaadaqabeaabeqacqaaaOqaaiabew7aLjaacI cacaWG4bGaaiilaiaadMhacaGGPaGaaiOlaaaa@3EE3@  Хорошее визуальное согласование кривых в сочетании с низким достигнутым значением δ( ε ^ 500 )0.03 MathType@MTEF@5@5@+= feaahGart1ev3aqatCvAUfeBSjuyZL2yd9gzLbvyNv2Caerbov2D09 MBdbqedmvETj2BSbqeduuDJXwAKbYu51MyVXgarqqr1ngBPrgifHhD YfgasaacHOWxh9vrFfeu0dXdh9vqqj=hEeeu0xXdbba9frFj0=OqFf ea0dXdd9vspGe9FjuP0=fs0xXdbba9pGe9xq=Jbba9suk9fr=xfr=x frpeWZqaaeaabiGaaiaadaqabeaabeqacqaaaOqaaiabes7aKjaacI cadaqiaaqaaiabew7aLbGaayPadaWaaSbaaSqaaiaaiwdacaaIWaGa aGimaaqabaGccaGGPaGaeyisISRaaGimaiaac6cacaaIWaGaaG4maa aa@44EA@  говорит о работоспособности метода и его применимости для восстановления подобных неоднородностей. На рис. 1в линиями 2 и 4 изображены зависимости от номера итерации m MathType@MTEF@5@5@+= feaahGart1ev3aqatCvAUfeBSjuyZL2yd9gzLbvyNv2Caerbov2D09 MBdbqedmvETj2BSbqeduuDJXwAKbYu51MyVXgarqqr1ngBPrgifHhD YfgasaacHOWxh9vrFfeu0dXdh9vqqj=hEeeu0xXdbba9frFj0=OqFf ea0dXdd9vspGe9FjuP0=fs0xXdbba9pGe9xq=Jbba9suk9fr=xfr=x frpeWZqaaeaabiGaaiaadaqabeaabeqacqaaaOqaaiaad2gaaaa@3978@  величин δ( ε ^ m ) MathType@MTEF@5@5@+= feaahGart1ev3aqatCvAUfeBSjuyZL2yd9gzLbvyNv2Caerbov2D09 MBdbqedmvETj2BSbqeduuDJXwAKbYu51MyVXgarqqr1ngBPrgifHhD YfgasaacHOWxh9vrFfeu0dXdh9vqqj=hEeeu0xXdbba9frFj0=OqFf ea0dXdd9vspGe9FjuP0=fs0xXdbba9pGe9xq=Jbba9suk9fr=xfr=x frpeWZqaaeaabiGaaiaadaqabeaabeqacqaaaOqaaiabes7aKjaacI cadaqiaaqaaiabew7aLbGaayPadaWaaSbaaSqaaiaad2gaaeqaaOGa aiykaaaa@3F15@  и δ Γ ( ε ^ m ), MathType@MTEF@5@5@+= feaahGart1ev3aqatCvAUfeBSjuyZL2yd9gzLbvyNv2Caerbov2D09 MBdbqedmvETj2BSbqeduuDJXwAKbYu51MyVXgarqqr1ngBPrgifHhD YfgasaacHOWxh9vrFfeu0dXdh9vqqj=hEeeu0xXdbba9frFj0=OqFf ea0dXdd9vspGe9FjuP0=fs0xXdbba9pGe9xq=Jbba9suk9fr=xfr=x frpeWZqaaeaabiGaaiaadaqabeaabeqacqaaaOqaaiabes7aKnaaBa aaleaacqqHtoWraeqaaOGaaiikamaaHaaabaGaeqyTdugacaGLcmaa daWgaaWcbaGaamyBaaqabaGccaGGPaGaaiilaaaa@4163@  соответственно. Видно, что обе они достаточно быстро стремятся к нулю.

Для проверки устойчивости метода в его входные данные, т.е. матрицы Γ ij (n) MathType@MTEF@5@5@+= feaahGart1ev3aqatCvAUfeBSjuyZL2yd9gzLbvyNv2Caerbov2D09 MBdbqedmvETj2BSbqeduuDJXwAKbYu51MyVXgarqqr1ngBPrgifHhD YfgasaacHOWxh9vrFfeu0dXdh9vqqj=hEeeu0xXdbba9frFj0=OqFf ea0dXdd9vspGe9FjuP0=fs0xXdbba9pGe9xq=Jbba9suk9fr=xfr=x frpeWZqaaeaabiGaaiaadaqabeaabeqacqaaaOqaaiabfo5ahnaaDa aaleaacaWGPbGaamOAaaqaaiaacIcacaWGUbGaaiykaaaaaaa@3E44@  вносились помехи. С этой целью ко всем принятым сигналам U j (n) MathType@MTEF@5@5@+= feaahGart1ev3aqatCvAUfeBSjuyZL2yd9gzLbvyNv2Caerbov2D09 MBdbqedmvETj2BSbqeduuDJXwAKbYu51MyVXgarqqr1ngBPrgifHhD YfgasaacHOWxh9vrFfeu0dXdh9vqqj=hEeeu0xXdbba9frFj0=OqFf ea0dXdd9vspGe9FjuP0=fs0xXdbba9pGe9xq=Jbba9suk9fr=xfr=x frpeWZqaaeaabiGaaiaadaqabeaabeqacqaaaOqaaiaadwfadaqhaa WcbaGaamOAaaqaaiaacIcacaWGUbGaaiykaaaaaaa@3CC8@  добавлялись независимые комплексные случайные величины, действительные и мнимые части которых были распределены нормально с дисперсией, равной χ 2 2 N F N R j,n U j (n) 2 MathType@MTEF@5@5@+= feaahGart1ev3aqatCvAUfeBSjuyZL2yd9gzLbvyNv2Caerbov2D09 MBdbqedmvETj2BSbqeduuDJXwAKbYu51MyVXgarqqr1ngBPrgifHhD YfgasaacHOWxh9vrFfeu0dXdh9vqqj=hEeeu0xXdbba9frFj0=OqFf ea0dXdd9vspGe9FjuP0=fs0xXdbba9pGe9xq=Jbba9suk9fr=xfr=x frpeWZqaaeaabiGaaiaadaqabeaabeqacqaaaOqaamaalaaabaGaeq 4Xdm2aaWbaaSqabeaacaaIYaaaaaGcbaGaaGOmaiaad6eadaWgaaWc baGaamOraaqabaGccaWGobWaaSbaaSqaaiaadkfaaeqaaaaakmaaqa fabaWaaqWaaeaacaWGvbWaa0baaSqaaiaadQgaaeaacaGGOaGaamOB aiaacMcaaaaakiaawEa7caGLiWoadaahaaWcbeqaaiaaikdaaaaaba GaamOAaiaacYcacaWGUbaabeqdcqGHris5aaaa@4CB1@ ; χ= 10 2 MathType@MTEF@5@5@+= feaahGart1ev3aqatCvAUfeBSjuyZL2yd9gzLbvyNv2Caerbov2D09 MBdbqedmvETj2BSbqeduuDJXwAKbYu51MyVXgarqqr1ngBPrgifHhD YfgasaacHOWxh9vrFfeu0dXdh9vqqj=hEeeu0xXdbba9frFj0=OqFf ea0dXdd9vspGe9FjuP0=fs0xXdbba9pGe9xq=Jbba9suk9fr=xfr=x frpeWZqaaeaabiGaaiaadaqabeaabeqacqaaaOqaaiabeE8aJjabg2 da9iaaigdacaaIWaWaaWbaaSqabeaacqGHsislcaaIYaaaaaaa@3E8E@ . Зависимости δ( ε ^ m ) MathType@MTEF@5@5@+= feaahGart1ev3aqatCvAUfeBSjuyZL2yd9gzLbvyNv2Caerbov2D09 MBdbqedmvETj2BSbqeduuDJXwAKbYu51MyVXgarqqr1ngBPrgifHhD YfgasaacHOWxh9vrFfeu0dXdh9vqqj=hEeeu0xXdbba9frFj0=OqFf ea0dXdd9vspGe9FjuP0=fs0xXdbba9pGe9xq=Jbba9suk9fr=xfr=x frpeWZqaaeaabiGaaiaadaqabeaabeqacqaaaOqaaiabes7aKjaacI cadaqiaaqaaiabew7aLbGaayPadaWaaSbaaSqaaiaad2gaaeqaaOGa aiykaaaa@3F15@  и δ Γ ( ε ^ m ) MathType@MTEF@5@5@+= feaahGart1ev3aqatCvAUfeBSjuyZL2yd9gzLbvyNv2Caerbov2D09 MBdbqedmvETj2BSbqeduuDJXwAKbYu51MyVXgarqqr1ngBPrgifHhD YfgasaacHOWxh9vrFfeu0dXdh9vqqj=hEeeu0xXdbba9frFj0=OqFf ea0dXdd9vspGe9FjuP0=fs0xXdbba9pGe9xq=Jbba9suk9fr=xfr=x frpeWZqaaeaabiGaaiaadaqabeaabeqacqaaaOqaaiabes7aKnaaBa aaleaacqqHtoWraeqaaOGaaiikamaaHaaabaGaeqyTdugacaGLcmaa daWgaaWcbaGaamyBaaqabaGccaGGPaaaaa@40B3@  для данных с помехами изображены на рис. 1в линиями 1 и 3. Видно, что обе они лежат выше исходных зависимостей; при этом зависимость δ( ε ^ m ) MathType@MTEF@5@5@+= feaahGart1ev3aqatCvAUfeBSjuyZL2yd9gzLbvyNv2Caerbov2D09 MBdbqedmvETj2BSbqeduuDJXwAKbYu51MyVXgarqqr1ngBPrgifHhD YfgasaacHOWxh9vrFfeu0dXdh9vqqj=hEeeu0xXdbba9frFj0=OqFf ea0dXdd9vspGe9FjuP0=fs0xXdbba9pGe9xq=Jbba9suk9fr=xfr=x frpeWZqaaeaabiGaaiaadaqabeaabeqacqaaaOqaaiabes7aKjaacI cadaqiaaqaaiabew7aLbGaayPadaWaaSbaaSqaaiaad2gaaeqaaOGa aiykaaaa@3F15@  не стремится к нулю с увеличением номера итерации, а зависимость δ Γ ( ε ^ m ) MathType@MTEF@5@5@+= feaahGart1ev3aqatCvAUfeBSjuyZL2yd9gzLbvyNv2Caerbov2D09 MBdbqedmvETj2BSbqeduuDJXwAKbYu51MyVXgarqqr1ngBPrgifHhD YfgasaacHOWxh9vrFfeu0dXdh9vqqj=hEeeu0xXdbba9frFj0=OqFf ea0dXdd9vspGe9FjuP0=fs0xXdbba9pGe9xq=Jbba9suk9fr=xfr=x frpeWZqaaeaabiGaaiaadaqabeaabeqacqaaaOqaaiabes7aKnaaBa aaleaacqqHtoWraeqaaOGaaiikamaaHaaabaGaeqyTdugacaGLcmaa daWgaaWcbaGaamyBaaqabaGccaGGPaaaaa@40B3@  – стремится. Все это говорит о том, что введенные сравнительно небольшие помехи, с одной стороны, замедляют скорость сходимости метода, а с другой стороны, приводит к тому, что результатом восстановления является неоднородность, существенно отличающаяся от искомой. Данное обстоятельство является типичным при решении обратных задач в присутствии сильного рассеивателя.

 

Рис. 1. ) – Пространственное распределение относительной скорости звука c(x,y)/ c 0 MathType@MTEF@5@5@+= feaahGart1ev3aqatCvAUfeBSjuyZL2yd9gzLbvyNv2Caerbov2D09 MBdbqedmvETj2BSbqeduuDJXwAKbYu51MyVXgarqqr1ngBPrgifHhD YfgasaacHOWxh9vrFfeu0dXdh9vqqj=hEeeu0xXdbba9frFj0=OqFf ea0dXdd9vspGe9FjuP0=fs0xXdbba9pGe9xq=Jbba9suk9fr=xfr=x frpeWZqaaeaabiGaaiaadaqabeaabeqacqaaaOqaamaalyaabaGaam 4yaiaacIcacaWG4bGaaiilaiaadMhacaGGPaaabaGaam4yamaaBaaa leaacaaIWaaabeaaaaaaaa@3F56@  для неоднородности № 1. (б) – Действительные (линии 1 и 2) и мнимые (линии 3 и 4) части нормированных на k 0 2 MathType@MTEF@5@5@+= feaahGart1ev3aqatCvAUfeBSjuyZL2yd9gzLbvyNv2Caerbov2D09 MBdbqedmvETj2BSbqeduuDJXwAKbYu51MyVXgarqqr1ngBPrgifHhD YfgasaacHOWxh9vrFfeu0dXdh9vqqj=hEeeu0xXdbba9frFj0=OqFf ea0dXdd9vspGe9FjuP0=fs0xXdbba9pGe9xq=Jbba9suk9fr=xfr=x frpeWZqaaeaabiGaaiaadaqabeaabeqacqaaaOqaaiaadUgadaqhaa WcbaGaaGimaaqaaiaaikdaaaaaaa@3B19@  оценки ε ^ 500 (x,y) MathType@MTEF@5@5@+= feaahGart1ev3aqatCvAUfeBSjuyZL2yd9gzLbvyNv2Caerbov2D09 MBdbqedmvETj2BSbqeduuDJXwAKbYu51MyVXgarqqr1ngBPrgifHhD YfgasaacHOWxh9vrFfeu0dXdh9vqqj=hEeeu0xXdbba9frFj0=OqFf ea0dXdd9vspGe9FjuP0=fs0xXdbba9pGe9xq=Jbba9suk9fr=xfr=x frpeWZqaaeaabiGaaiaadaqabeaabeqacqaaaOqaamaaHaaabaGaeq yTdugacaGLcmaadaWgaaWcbaGaaGynaiaaicdacaaIWaaabeaakiaa cIcacaWG4bGaaiilaiaadMhacaGGPaaaaa@415C@  (линии 1 и 3) и искомой функции рассеивателя ε(x,y) MathType@MTEF@5@5@+= feaahGart1ev3aqatCvAUfeBSjuyZL2yd9gzLbvyNv2Caerbov2D09 MBdbqedmvETj2BSbqeduuDJXwAKbYu51MyVXgarqqr1ngBPrgifHhD YfgasaacHOWxh9vrFfeu0dXdh9vqqj=hEeeu0xXdbba9frFj0=OqFf ea0dXdd9vspGe9FjuP0=fs0xXdbba9pGe9xq=Jbba9suk9fr=xfr=x frpeWZqaaeaabiGaaiaadaqabeaabeqacqaaaOqaaiabew7aLjaacI cacaWG4bGaaiilaiaadMhacaGGPaaaaa@3E31@  (линии 2 и 4) вдоль отрезка AB. MathType@MTEF@5@5@+= feaahGart1ev3aqatCvAUfeBSjuyZL2yd9gzLbvyNv2Caerbov2D09 MBdbqedmvETj2BSbqeduuDJXwAKbYu51MyVXgarqqr1ngBPrgifHhD YfgasaacHOWxh9vrFfeu0dXdh9vqqj=hEeeu0xXdbba9frFj0=OqFf ea0dXdd9vspGe9FjuP0=fs0xXdbba9pGe9xq=Jbba9suk9fr=xfr=x frpeWZqaaeaabiGaaiaadaqabeaabeqacqaaaOqaaiaadgeacaWGcb GaaiOlaaaa@3AC5@  (в) – Зависимости величин δ(m) (линии 1 и 2) и δГ(m) (линии 3 и 4) от номера итерации m MathType@MTEF@5@5@+= feaahGart1ev3aqatCvAUfeBSjuyZL2yd9gzLbvyNv2Caerbov2D09 MBdbqedmvETj2BSbqeduuDJXwAKbYu51MyVXgarqqr1ngBPrgifHhD YfgasaacHOWxh9vrFfeu0dXdh9vqqj=hEeeu0xXdbba9frFj0=OqFf ea0dXdd9vspGe9FjuP0=fs0xXdbba9pGe9xq=Jbba9suk9fr=xfr=x frpeWZqaaeaabiGaaiaadaqabeaabeqacqaaaOqaaiaad2gaaaa@3978@  при точных входных данных (линии 2 и 4) и при наличии помех (линии 1 и 3).

 

4. Возможности ускорения итерационной процедуры

При численном моделировании область MathType@MTEF@5@5@+= feaahGart1ev3aqatCvAUfeBSjuyZL2yd9gzLbvyNv2Caerbov2D09 MBdbqedmvETj2BSbqeduuDJXwAKbYu51MyVXgarqqr1ngBPrgifHhD YfgasaacHOWxh9vrFfeu0dXdh9vqqj=hEeeu0xXdbba9frFj0=OqFf ea0dXdd9vspGe9FjuP0=fs0xXdbba9pGe9xq=Jbba9suk9fr=xfr=x frpeWZqaaeaabiGaaiaadaqabeaabeqacqaaaOqaaiabgYricdaa@3A11@ , занимаемая рассматриваемой неоднородностью, разбивается на отдельные элементы с размером, равным выбранному шагу дискретизации и характеризующиеся функцией рассеивателя ε r MathType@MTEF@5@5@+= feaahGart1ev3aqatCvAUfeBSjuyZL2yd9gzLbvyNv2Caerbov2D09 MBdbqedmvETj2BSbqeduuDJXwAKbYu51MyVXgarqqr1ngBPrgifHhD YfgasaacHOWxh9vrFfeu0dXdh9vqqj=hEeeu0xXdbba9frFj0=OqFf ea0dXdd9vspGe9FjuP0=fs0xXdbba9pGe9xq=Jbba9suk9fr=xfr=x frpeWZqaaeaabiGaaiaadaqabeaabeqacqaaaOqaaiabew7aLnaaBa aaleaacaWGYbaabeaaaaa@3B50@ , где r MathType@MTEF@5@5@+= feaahGart1ev3aqatCvAUfeBSjuyZL2yd9gzLbvyNv2Caerbov2D09 MBdbqedmvETj2BSbqeduuDJXwAKbYu51MyVXgarqqr1ngBPrgifHhD YfgasaacHOWxh9vrFfeu0dXdh9vqqj=hEeeu0xXdbba9frFj0=OqFf ea0dXdd9vspGe9FjuP0=fs0xXdbba9pGe9xq=Jbba9suk9fr=xfr=x frpeWZqaaeaabiGaaiaadaqabeaabeqacqaaaOqaaiaadkhaaaa@397D@  в данном случае – индекс такого элемента. Тогда (14) сводится к системе линейных уравнений стандартного вида Anij;r r = Bnij , где n= 1; N F ¯ MathType@MTEF@5@5@+= feaahGart1ev3aqatCvAUfeBSjuyZL2yd9gzLbvyNv2Caerbov2D09 MBdbqedmvETj2BSbqeduuDJXwAKbYu51MyVXgarqqr1ngBPrgifHhD YfgasaacHOWxh9vrFfeu0dXdh9vqqj=hEeeu0xXdbba9frFj0=OqFf ea0dXdd9vspGe9FjuP0=fs0xXdbba9pGe9xq=Jbba9suk9fr=xfr=x frpeWZqaaeaabiGaaiaadaqabeaabeqacqaaaOqaaiaad6gacqGH9a qpdaqdaaqaaiaaigdacaGG7aGaamOtamaaBaaaleaacaWGgbaabeaa aaaaaa@3DD4@  и i,j= 1; N R ¯ MathType@MTEF@5@5@+= feaahGart1ev3aqatCvAUfeBSjuyZL2yd9gzLbvyNv2Caerbov2D09 MBdbqedmvETj2BSbqeduuDJXwAKbYu51MyVXgarqqr1ngBPrgifHhD YfgasaacHOWxh9vrFfeu0dXdh9vqqj=hEeeu0xXdbba9frFj0=OqFf ea0dXdd9vspGe9FjuP0=fs0xXdbba9pGe9xq=Jbba9suk9fr=xfr=x frpeWZqaaeaabiGaaiaadaqabeaabeqacqaaaOqaaiaadMgacaGGSa GaamOAaiabg2da9maanaaabaGaaGymaiaacUdacaWGobWaaSbaaSqa aiaadkfaaeqaaaaaaaa@3F7A@ . Эта система решается с помощью регуляризации Тихонова: ε ^ = A H A+κE 1 A H B MathType@MTEF@5@5@+= feaahGart1ev3aaatCvAUfeBSjuyZL2yd9gzLbvyNv2Caerbov2D09 MBdbqedmvETj2BSbqeduuDJXwAKbYu51MyVXgarqqr1ngBPrgifHhD YfgasaacHOWxh9vrFfeu0dXdh9vqqj=hEeeu0xXdbba9frFj0=OqFf ea0dXdd9vspGe9FjuP0=fs0xXdbba9pGe9xq=Jbba9suk9fr=xfr=x frpeWZqaaeaabiGaaiaadaqabeaabeqacqaaaOqaamaaHaaabaGaeq yTdugacaGLcmaacqGH9aqpdGaGWgWaaeacacRaaCyqamaaCaaaleqa baGaamisaaaakiaahgeacqGHRaWkcqaH6oWAcaWHfbaacGaGWAjkai acacRLPaaadaahaaWcbeqaaiabgkHiTiaaigdaaaGccaWHbbWaaWba aSqabeaacaWGibaaaOGaaCOqaaaa@4CCF@ , где верхний индекс “H” означает гильбертово сопряжение; E MathType@MTEF@5@5@+= feaahGart1ev3aqatCvAUfeBSjuyZL2yd9gzLbvyNv2Caerbov2D09 MBdbqedmvETj2BSbqeduuDJXwAKbYu51MyVXgarqqr1ngBPrgifHhD YfgasaacHOWxh9vrFfeu0dXdh9vqqj=hEeeu0xXdbba9frFj0=OqFf ea0dXdd9vspGe9FjuP0=fs0xXdbba9pGe9xq=Jbba9suk9fr=xfr=x frpeWZqaaeaabiGaaiaadaqabeaabeqacqaaaOqaaiaahweaaaa@3954@  – единичная матрица соответствующего размера, и κ MathType@MTEF@5@5@+= feaahGart1ev3aqatCvAUfeBSjuyZL2yd9gzLbvyNv2Caerbov2D09 MBdbqedmvETj2BSbqeduuDJXwAKbYu51MyVXgarqqr1ngBPrgifHhD YfgasaacHOWxh9vrFfeu0dXdh9vqqj=hEeeu0xXdbba9frFj0=OqFf ea0dXdd9vspGe9FjuP0=fs0xXdbba9pGe9xq=Jbba9suk9fr=xfr=x frpeWZqaaeaabiGaaiaadaqabeaabeqacqaaaOqaaiabeQ7aRbaa@3A38@  – коэффициент регуляризации. На практике выбор значения κ MathType@MTEF@5@5@+= feaahGart1ev3aqatCvAUfeBSjuyZL2yd9gzLbvyNv2Caerbov2D09 MBdbqedmvETj2BSbqeduuDJXwAKbYu51MyVXgarqqr1ngBPrgifHhD YfgasaacHOWxh9vrFfeu0dXdh9vqqj=hEeeu0xXdbba9frFj0=OqFf ea0dXdd9vspGe9FjuP0=fs0xXdbba9pGe9xq=Jbba9suk9fr=xfr=x frpeWZqaaeaabiGaaiaadaqabeaabeqacqaaaOqaaiabeQ7aRbaa@3A38@  может быть затруднен. С одной стороны, если этот коэффициент мал, то решение теряет устойчивость, и относительная невязка δ(m) при восстановлении неоднородности может быстро возрастать. С другой стороны, большое значение κ MathType@MTEF@5@5@+= feaahGart1ev3aqatCvAUfeBSjuyZL2yd9gzLbvyNv2Caerbov2D09 MBdbqedmvETj2BSbqeduuDJXwAKbYu51MyVXgarqqr1ngBPrgifHhD YfgasaacHOWxh9vrFfeu0dXdh9vqqj=hEeeu0xXdbba9frFj0=OqFf ea0dXdd9vspGe9FjuP0=fs0xXdbba9pGe9xq=Jbba9suk9fr=xfr=x frpeWZqaaeaabiGaaiaadaqabeaabeqacqaaaOqaaiabeQ7aRbaa@3A38@  приводит к уменьшению производимой на каждой итерации добавки к восстанавливаемой функции рассеивателя, а значит, скорость сходимости уменьшается. Подобрать κ MathType@MTEF@5@5@+= feaahGart1ev3aqatCvAUfeBSjuyZL2yd9gzLbvyNv2Caerbov2D09 MBdbqedmvETj2BSbqeduuDJXwAKbYu51MyVXgarqqr1ngBPrgifHhD YfgasaacHOWxh9vrFfeu0dXdh9vqqj=hEeeu0xXdbba9frFj0=OqFf ea0dXdd9vspGe9FjuP0=fs0xXdbba9pGe9xq=Jbba9suk9fr=xfr=x frpeWZqaaeaabiGaaiaadaqabeaabeqacqaaaOqaaiabeQ7aRbaa@3A38@  можно, исходя из вида спектра матрицы A H A. MathType@MTEF@5@5@+= feaahGart1ev3aqatCvAUfeBSjuyZL2yd9gzLbvyNv2Caerbov2D09 MBdbqedmvETj2BSbqeduuDJXwAKbYu51MyVXgarqqr1ngBPrgifHhD YfgasaacHOWxh9vrFfeu0dXdh9vqqj=hEeeu0xXdbba9frFj0=OqFf ea0dXdd9vspGe9FjuP0=fs0xXdbba9pGe9xq=Jbba9suk9fr=xfr=x frpeWZqaaeaabiGaaiaadaqabeaabeqacqaaaOqaaiaahgeadaahaa WcbeqaaiaadIeaaaGccaWHbbGaaiOlaaaa@3BD0@  На рис. 2а он представлен для неоднородности № 1 сплошной линией. Можно видеть, что начиная с некоторого номера n b MathType@MTEF@5@5@+= feaahGart1ev3aqatCvAUfeBSjuyZL2yd9gzLbvyNv2Caerbov2D09 MBdbqedmvETj2BSbqeduuDJXwAKbYu51MyVXgarqqr1ngBPrgifHhD YfgasaacHOWxh9vrFfeu0dXdh9vqqj=hEeeu0xXdbba9frFj0=OqFf ea0dXdd9vspGe9FjuP0=fs0xXdbba9pGe9xq=Jbba9suk9fr=xfr=x frpeWZqaaeaabiGaaiaadaqabeaabeqacqaaaOqaaiaad6gadaWgaa WcbaGaamOyaaqabaaaaa@3A8C@  ее собственные числа σ(n) MathType@MTEF@5@5@+= feaahGart1ev3aqatCvAUfeBSjuyZL2yd9gzLbvyNv2Caerbov2D09 MBdbqedmvETj2BSbqeduuDJXwAKbYu51MyVXgarqqr1ngBPrgifHhD YfgasaacHOWxh9vrFfeu0dXdh9vqqj=hEeeu0xXdbba9frFj0=OqFf ea0dXdd9vspGe9FjuP0=fs0xXdbba9pGe9xq=Jbba9suk9fr=xfr=x frpeWZqaaeaabiGaaiaadaqabeaabeqacqaaaOqaaiabeo8aZjaacI cacaWGUbGaaiykaaaa@3C95@  начинают резко уменьшаться вплоть до номера n FR MathType@MTEF@5@5@+= feaahGart1ev3aqatCvAUfeBSjuyZL2yd9gzLbvyNv2Caerbov2D09 MBdbqedmvETj2BSbqeduuDJXwAKbYu51MyVXgarqqr1ngBPrgifHhD YfgasaacHOWxh9vrFfeu0dXdh9vqqj=hEeeu0xXdbba9frFj0=OqFf ea0dXdd9vspGe9FjuP0=fs0xXdbba9pGe9xq=Jbba9suk9fr=xfr=x frpeWZqaaeaabiGaaiaadaqabeaabeqacqaaaOqaaiaad6gadaWgaa WcbaGaamOraiaadkfaaeqaaaaa@3B47@ . Тогда можно положить κ=σ( n b ). MathType@MTEF@5@5@+= feaahGart1ev3aqatCvAUfeBSjuyZL2yd9gzLbvyNv2Caerbov2D09 MBdbqedmvETj2BSbqeduuDJXwAKbYu51MyVXgarqqr1ngBPrgifHhD YfgasaacHOWxh9vrFfeu0dXdh9vqqj=hEeeu0xXdbba9frFj0=OqFf ea0dXdd9vspGe9FjuP0=fs0xXdbba9pGe9xq=Jbba9suk9fr=xfr=x frpeWZqaaeaabiGaaiaadaqabeaabeqacqaaaOqaaiabeQ7aRjabg2 da9iabeo8aZjaacIcacaWGUbWaaSbaaSqaaiaadkgaaeqaaOGaaiyk aiaac6caaaa@411C@  Однако, такой способ оставляет существенную неопределенность из-за резкого поведения функции σ(n) MathType@MTEF@5@5@+= feaahGart1ev3aqatCvAUfeBSjuyZL2yd9gzLbvyNv2Caerbov2D09 MBdbqedmvETj2BSbqeduuDJXwAKbYu51MyVXgarqqr1ngBPrgifHhD YfgasaacHOWxh9vrFfeu0dXdh9vqqj=hEeeu0xXdbba9frFj0=OqFf ea0dXdd9vspGe9FjuP0=fs0xXdbba9pGe9xq=Jbba9suk9fr=xfr=x frpeWZqaaeaabiGaaiaadaqabeaabeqacqaaaOqaaiabeo8aZjaacI cacaWGUbGaaiykaaaa@3C95@  вблизи выбранной точки n b MathType@MTEF@5@5@+= feaahGart1ev3aqatCvAUfeBSjuyZL2yd9gzLbvyNv2Caerbov2D09 MBdbqedmvETj2BSbqeduuDJXwAKbYu51MyVXgarqqr1ngBPrgifHhD YfgasaacHOWxh9vrFfeu0dXdh9vqqj=hEeeu0xXdbba9frFj0=OqFf ea0dXdd9vspGe9FjuP0=fs0xXdbba9pGe9xq=Jbba9suk9fr=xfr=x frpeWZqaaeaabiGaaiaadaqabeaabeqacqaaaOqaaiaad6gadaWgaa WcbaGaamOyaaqabaaaaa@3A8C@ , и это сказывается на работе итерационного метода. Например, на рис. 2б тонкими черными линиями представлены зависимости δ( ε ^ m ) MathType@MTEF@5@5@+= feaahGart1ev3aqatCvAUfeBSjuyZL2yd9gzLbvyNv2Caerbov2D09 MBdbqedmvETj2BSbqeduuDJXwAKbYu51MyVXgarqqr1ngBPrgifHhD YfgasaacHOWxh9vrFfeu0dXdh9vqqj=hEeeu0xXdbba9frFj0=OqFf ea0dXdd9vspGe9FjuP0=fs0xXdbba9pGe9xq=Jbba9suk9fr=xfr=x frpeWZqaaeaabiGaaiaadaqabeaabeqacqaaaOqaaiabes7aKjaacI cadaqiaaqaaiabew7aLbGaayPadaWaaSbaaSqaaiaad2gaaeqaaOGa aiykaaaa@3F15@  при трех различных κ, MathType@MTEF@5@5@+= feaahGart1ev3aqatCvAUfeBSjuyZL2yd9gzLbvyNv2Caerbov2D09 MBdbqedmvETj2BSbqeduuDJXwAKbYu51MyVXgarqqr1ngBPrgifHhD YfgasaacHOWxh9vrFfeu0dXdh9vqqj=hEeeu0xXdbba9frFj0=OqFf ea0dXdd9vspGe9FjuP0=fs0xXdbba9pGe9xq=Jbba9suk9fr=xfr=x frpeWZqaaeaabiGaaiaadaqabeaabeqacqaaaOqaaiabeQ7aRjaacY caaaa@3AE8@  которые соответствуют отмеченным римскими цифрами точкам на рис. 2а. Можно видеть, что наилучшая сходимость обеспечивается при κ=σ( n b II ) MathType@MTEF@5@5@+= feaahGart1ev3aqatCvAUfeBSjuyZL2yd9gzLbvyNv2Caerbov2D09 MBdbqedmvETj2BSbqeduuDJXwAKbYu51MyVXgarqqr1ngBPrgifHhD YfgasaacHOWxh9vrFfeu0dXdh9vqqj=hEeeu0xXdbba9frFj0=OqFf ea0dXdd9vspGe9FjuP0=fs0xXdbba9pGe9xq=Jbba9suk9fr=xfr=x frpeWZqaaeaabiGaaiaadaqabeaabeqacqaaaOqaaiabeQ7aRjabg2 da9iabeo8aZjaacIcacaWGUbWaa0baaSqaaiaadkgaaeaacaqGjbGa aeysaaaakiaacMcaaaa@4203@ . Однако это значение может зависеть от заранее неизвестных факторов: контраста неоднородности и возможных помех. Наиболее чувствительны к его выбору первые итерации метода, поскольку в начале вычислений ошибка может привести к получению решения, полностью отличного от искомого (рис. 2б при κ=σ( n b III ) MathType@MTEF@5@5@+= feaahGart1ev3aqatCvAUfeBSjuyZL2yd9gzLbvyNv2Caerbov2D09 MBdbqedmvETj2BSbqeduuDJXwAKbYu51MyVXgarqqr1ngBPrgifHhD YfgasaacHOWxh9vrFfeu0dXdh9vqqj=hEeeu0xXdbba9frFj0=OqFf ea0dXdd9vspGe9FjuP0=fs0xXdbba9pGe9xq=Jbba9suk9fr=xfr=x frpeWZqaaeaabiGaaiaadaqabeaabeqacqaaaOqaaiabeQ7aRjabg2 da9iabeo8aZjaacIcacaWGUbWaa0baaSqaaiaadkgaaeaacaqGjbGa aeysaiaabMeaaaGccaGGPaaaaa@42CF@  ). С учетом этого вместо фиксирования постоянного коэффициента κ MathType@MTEF@5@5@+= feaahGart1ev3aqatCvAUfeBSjuyZL2yd9gzLbvyNv2Caerbov2D09 MBdbqedmvETj2BSbqeduuDJXwAKbYu51MyVXgarqqr1ngBPrgifHhD YfgasaacHOWxh9vrFfeu0dXdh9vqqj=hEeeu0xXdbba9frFj0=OqFf ea0dXdd9vspGe9FjuP0=fs0xXdbba9pGe9xq=Jbba9suk9fr=xfr=x frpeWZqaaeaabiGaaiaadaqabeaabeqacqaaaOqaaiabeQ7aRbaa@3A38@  предлагается его экспоненциальное уменьшение с ростом числа итераций: κ m+1 = γ κ κ m , MathType@MTEF@5@5@+= feaahGart1ev3aqatCvAUfeBSjuyZL2yd9gzLbvyNv2Caerbov2D09 MBdbqedmvETj2BSbqeduuDJXwAKbYu51MyVXgarqqr1ngBPrgifHhD YfgasaacHOWxh9vrFfeu0dXdh9vqqj=hEeeu0xXdbba9frFj0=OqFf ea0dXdd9vspGe9FjuP0=fs0xXdbba9pGe9xq=Jbba9suk9fr=xfr=x frpeWZqaaeaabiGaaiaadaqabeaabeqacqaaaOqaaiabeQ7aRnaaBa aaleaacaWGTbGaey4kaSIaaGymaaqabaGccqGH9aqpcqaHZoWzdaWg aaWcbaGaeqOUdSgabeaakiabeQ7aRnaaBaaaleaacaWGTbaabeaaki aacYcaaaa@451C@  где на первой итерации выбирается заведомо достаточно большое значение κ 1 MathType@MTEF@5@5@+= feaahGart1ev3aqatCvAUfeBSjuyZL2yd9gzLbvyNv2Caerbov2D09 MBdbqedmvETj2BSbqeduuDJXwAKbYu51MyVXgarqqr1ngBPrgifHhD YfgasaacHOWxh9vrFfeu0dXdh9vqqj=hEeeu0xXdbba9frFj0=OqFf ea0dXdd9vspGe9FjuP0=fs0xXdbba9pGe9xq=Jbba9suk9fr=xfr=x frpeWZqaaeaabiGaaiaadaqabeaabeqacqaaaOqaaiabeQ7aRnaaBa aaleaacaaIXaaabeaaaaa@3B1F@ , а значение параметра γ κ MathType@MTEF@5@5@+= feaahGart1ev3aqatCvAUfeBSjuyZL2yd9gzLbvyNv2Caerbov2D09 MBdbqedmvETj2BSbqeduuDJXwAKbYu51MyVXgarqqr1ngBPrgifHhD YfgasaacHOWxh9vrFfeu0dXdh9vqqj=hEeeu0xXdbba9frFj0=OqFf ea0dXdd9vspGe9FjuP0=fs0xXdbba9pGe9xq=Jbba9suk9fr=xfr=x frpeWZqaaeaabiGaaiaadaqabeaabeqacqaaaOqaaiabeo7aNnaaBa aaleaacqaH6oWAaeqaaaaa@3C0B@  устанавливается немного меньшим единицы. Например, на рис. 2б толстой серой линией представлена зависимость δ( ε ^ m ) MathType@MTEF@5@5@+= feaahGart1ev3aqatCvAUfeBSjuyZL2yd9gzLbvyNv2Caerbov2D09 MBdbqedmvETj2BSbqeduuDJXwAKbYu51MyVXgarqqr1ngBPrgifHhD YfgasaacHOWxh9vrFfeu0dXdh9vqqj=hEeeu0xXdbba9frFj0=OqFf ea0dXdd9vspGe9FjuP0=fs0xXdbba9pGe9xq=Jbba9suk9fr=xfr=x frpeWZqaaeaabiGaaiaadaqabeaabeqacqaaaOqaaiabes7aKjaacI cadaqiaaqaaiabew7aLbGaayPadaWaaSbaaSqaaiaad2gaaeqaaOGa aiykaaaa@3F15@  при κ=σ( n b I ) MathType@MTEF@5@5@+= feaahGart1ev3aqatCvAUfeBSjuyZL2yd9gzLbvyNv2Caerbov2D09 MBdbqedmvETj2BSbqeduuDJXwAKbYu51MyVXgarqqr1ngBPrgifHhD YfgasaacHOWxh9vrFfeu0dXdh9vqqj=hEeeu0xXdbba9frFj0=OqFf ea0dXdd9vspGe9FjuP0=fs0xXdbba9pGe9xq=Jbba9suk9fr=xfr=x frpeWZqaaeaabiGaaiaadaqabeaabeqacqaaaOqaaiabeQ7aRjabg2 da9iabeo8aZjaacIcacaWGUbWaa0baaSqaaiaadkgaaeaacaqGjbaa aOGaaiykaaaa@4137@  и γ κ =0.98 MathType@MTEF@5@5@+= feaahGart1ev3aqatCvAUfeBSjuyZL2yd9gzLbvyNv2Caerbov2D09 MBdbqedmvETj2BSbqeduuDJXwAKbYu51MyVXgarqqr1ngBPrgifHhD YfgasaacHOWxh9vrFfeu0dXdh9vqqj=hEeeu0xXdbba9frFj0=OqFf ea0dXdd9vspGe9FjuP0=fs0xXdbba9pGe9xq=Jbba9suk9fr=xfr=x frpeWZqaaeaabiGaaiaadaqabeaabeqacqaaaOqaaiabeo7aNnaaBa aaleaacqaH6oWAaeqaaOGaeyypa0JaaGimaiaac6cacaaI5aGaaGio aaaa@400C@ . Можно видеть, что описанный подход не только снимает вопрос с точным выбором коэффициента регуляризации, но и ускоряет сходимость метода. Ускорение достигается за счет некоторого увеличения добавок к функции рассеивателя при больших номерах m MathType@MTEF@5@5@+= feaahGart1ev3aqatCvAUfeBSjuyZL2yd9gzLbvyNv2Caerbov2D09 MBdbqedmvETj2BSbqeduuDJXwAKbYu51MyVXgarqqr1ngBPrgifHhD YfgasaacHOWxh9vrFfeu0dXdh9vqqj=hEeeu0xXdbba9frFj0=OqFf ea0dXdd9vspGe9FjuP0=fs0xXdbba9pGe9xq=Jbba9suk9fr=xfr=x frpeWZqaaeaabiGaaiaadaqabeaabeqacqaaaOqaaiaad2gaaaa@3978@ .

Важное наблюдение состоит в том, что значение номера n FR 2 N F N R . MathType@MTEF@5@5@+= feaahGart1ev3aqatCvAUfeBSjuyZL2yd9gzLbvyNv2Caerbov2D09 MBdbqedmvETj2BSbqeduuDJXwAKbYu51MyVXgarqqr1ngBPrgifHhD YfgasaacHOWxh9vrFfeu0dXdh9vqqj=hEeeu0xXdbba9frFj0=OqFf ea0dXdd9vspGe9FjuP0=fs0xXdbba9pGe9xq=Jbba9suk9fr=xfr=x frpeWZqaaeaabiGaaiaadaqabeaabeqacqaaaOqaaiaad6gadaWgaa WcbaGaamOraiaadkfaaeqaaOGaeyisISRaaGOmaiaad6eadaWgaaWc baGaamOraaqabaGccaWGobWaaSbaaSqaaiaadkfaaeqaaOGaaiOlaa aa@4224@  Здесь произведение N F N R MathType@MTEF@5@5@+= feaahGart1ev3aqatCvAUfeBSjuyZL2yd9gzLbvyNv2Caerbov2D09 MBdbqedmvETj2BSbqeduuDJXwAKbYu51MyVXgarqqr1ngBPrgifHhD YfgasaacHOWxh9vrFfeu0dXdh9vqqj=hEeeu0xXdbba9frFj0=OqFf ea0dXdd9vspGe9FjuP0=fs0xXdbba9pGe9xq=Jbba9suk9fr=xfr=x frpeWZqaaeaabiGaaiaadaqabeaabeqacqaaaOqaaiaad6eadaWgaa WcbaGaamOraaqabaGccaWGobWaaSbaaSqaaiaadkfaaeqaaaaa@3C30@  соответствует числу трасс источник-приемник, а множитель 2 отражает удвоение числа уравнений системы за счет раздельного приравнивания действительных и мнимых частей. Таким образом, хотя решаемая система состоит из 2 N F N R 2 MathType@MTEF@5@5@+= feaahGart1ev3aqatCvAUfeBSjuyZL2yd9gzLbvyNv2Caerbov2D09 MBdbqedmvETj2BSbqeduuDJXwAKbYu51MyVXgarqqr1ngBPrgifHhD YfgasaacHOWxh9vrFfeu0dXdh9vqqj=hEeeu0xXdbba9frFj0=OqFf ea0dXdd9vspGe9FjuP0=fs0xXdbba9pGe9xq=Jbba9suk9fr=xfr=x frpeWZqaaeaabiGaaiaadaqabeaabeqacqaaaOqaaiaaikdacaWGob WaaSbaaSqaaiaadAeaaeqaaOGaamOtamaaDaaaleaacaWGsbaabaGa aGOmaaaaaaa@3DA9@  уравнений, линейно независимыми из них является гораздо меньшее число. Анализ показывает, что коэффициент корреляции строк матрицы A MathType@MTEF@5@5@+= feaahGart1ev3aqatCvAUfeBSjuyZL2yd9gzLbvyNv2Caerbov2D09 MBdbqedmvETj2BSbqeduuDJXwAKbYu51MyVXgarqqr1ngBPrgifHhD YfgasaacHOWxh9vrFfeu0dXdh9vqqj=hEeeu0xXdbba9frFj0=OqFf ea0dXdd9vspGe9FjuP0=fs0xXdbba9pGe9xq=Jbba9suk9fr=xfr=x frpeWZqaaeaabiGaaiaadaqabeaabeqacqaaaOqaaiaahgeaaaa@3950@ , которые соответствуют разным индексами n MathType@MTEF@5@5@+= feaahGart1ev3aqatCvAUfeBSjuyZL2yd9gzLbvyNv2Caerbov2D09 MBdbqedmvETj2BSbqeduuDJXwAKbYu51MyVXgarqqr1ngBPrgifHhD YfgasaacHOWxh9vrFfeu0dXdh9vqqj=hEeeu0xXdbba9frFj0=OqFf ea0dXdd9vspGe9FjuP0=fs0xXdbba9pGe9xq=Jbba9suk9fr=xfr=x frpeWZqaaeaabiGaaiaadaqabeaabeqacqaaaOqaaiaad6gaaaa@3979@ , близок к нулю, т.е. такие строки можно считать независимыми. Наоборот, коэффициент корреляции строк с равными индексами n MathType@MTEF@5@5@+= feaahGart1ev3aqatCvAUfeBSjuyZL2yd9gzLbvyNv2Caerbov2D09 MBdbqedmvETj2BSbqeduuDJXwAKbYu51MyVXgarqqr1ngBPrgifHhD YfgasaacHOWxh9vrFfeu0dXdh9vqqj=hEeeu0xXdbba9frFj0=OqFf ea0dXdd9vspGe9FjuP0=fs0xXdbba9pGe9xq=Jbba9suk9fr=xfr=x frpeWZqaaeaabiGaaiaadaqabeaabeqacqaaaOqaaiaad6gaaaa@3979@  достаточно большой. Это наводит на мысль, что можно исключить бóльшую часть уравнений, тем самым существенно уменьшив объем вычислений и потребляемой памяти. Например, можно сформировать укороченную систему уравнений с матрицей A short MathType@MTEF@5@5@+= feaahGart1ev3aqatCvAUfeBSjuyZL2yd9gzLbvyNv2Caerbov2D09 MBdbqedmvETj2BSbqeduuDJXwAKbYu51MyVXgarqqr1ngBPrgifHhD YfgasaacHOWxh9vrFfeu0dXdh9vqqj=hEeeu0xXdbba9frFj0=OqFf ea0dXdd9vspGe9FjuP0=fs0xXdbba9pGe9xq=Jbba9suk9fr=xfr=x frpeWZqaaeaabiGaaiaadaqabeaabeqacqaaaOqaaiaahgeadaWgaa WcbaGaae4CaiaabIgacaqGVbGaaeOCaiaabshaaeqaaaaa@3E3B@ , которая состоит из строк матрицы A, MathType@MTEF@5@5@+= feaahGart1ev3aqatCvAUfeBSjuyZL2yd9gzLbvyNv2Caerbov2D09 MBdbqedmvETj2BSbqeduuDJXwAKbYu51MyVXgarqqr1ngBPrgifHhD YfgasaacHOWxh9vrFfeu0dXdh9vqqj=hEeeu0xXdbba9frFj0=OqFf ea0dXdd9vspGe9FjuP0=fs0xXdbba9pGe9xq=Jbba9suk9fr=xfr=x frpeWZqaaeaabiGaaiaadaqabeaabeqacqaaaOqaaiaahgeacaGGSa aaaa@3A00@  для которых i=j MathType@MTEF@5@5@+= feaahGart1ev3aqatCvAUfeBSjuyZL2yd9gzLbvyNv2Caerbov2D09 MBdbqedmvETj2BSbqeduuDJXwAKbYu51MyVXgarqqr1ngBPrgifHhD YfgasaacHOWxh9vrFfeu0dXdh9vqqj=hEeeu0xXdbba9frFj0=OqFf ea0dXdd9vspGe9FjuP0=fs0xXdbba9pGe9xq=Jbba9suk9fr=xfr=x frpeWZqaaeaabiGaaiaadaqabeaabeqacqaaaOqaaiaadMgacqGH9a qpcaWGQbaaaa@3B69@ . Число строк в такой матрице равно 2 N F N R MathType@MTEF@5@5@+= feaahGart1ev3aqatCvAUfeBSjuyZL2yd9gzLbvyNv2Caerbov2D09 MBdbqedmvETj2BSbqeduuDJXwAKbYu51MyVXgarqqr1ngBPrgifHhD YfgasaacHOWxh9vrFfeu0dXdh9vqqj=hEeeu0xXdbba9frFj0=OqFf ea0dXdd9vspGe9FjuP0=fs0xXdbba9pGe9xq=Jbba9suk9fr=xfr=x frpeWZqaaeaabiGaaiaadaqabeaabeqacqaaaOqaaiaaikdacaWGob WaaSbaaSqaaiaadAeaaeqaaOGaamOtamaaBaaaleaacaWGsbaabeaa aaa@3CEC@ . Уравнения, входящие в такую укороченную систему, имеют простой физический смысл: они соответствуют измерению мощности сигнала каждым приемником. Таким образом, использование укороченной системы позволяет также существенно упростить систему обработки сигналов. С другой стороны, на рис. 2а можно видеть, что спектр матрицы A short H A short MathType@MTEF@5@5@+= feaahGart1ev3aqatCvAUfeBSjuyZL2yd9gzLbvyNv2Caerbov2D09 MBdbqedmvETj2BSbqeduuDJXwAKbYu51MyVXgarqqr1ngBPrgifHhD YfgasaacHOWxh9vrFfeu0dXdh9vqqj=hEeeu0xXdbba9frFj0=OqFf ea0dXdd9vspGe9FjuP0=fs0xXdbba9pGe9xq=Jbba9suk9fr=xfr=x frpeWZqaaeaabiGaaiaadaqabeaabeqacqaaaOqaaiaahgeadaqhaa WcbaGaae4CaiaabIgacaqGVbGaaeOCaiaabshaaeaacaWGibaaaOGa aCyqamaaBaaaleaacaqGZbGaaeiAaiaab+gacaqGYbGaaeiDaaqaba aaaa@44C8@  лежит ниже и левее, чем спектр матрицы A H A MathType@MTEF@5@5@+= feaahGart1ev3aqatCvAUfeBSjuyZL2yd9gzLbvyNv2Caerbov2D09 MBdbqedmvETj2BSbqeduuDJXwAKbYu51MyVXgarqqr1ngBPrgifHhD YfgasaacHOWxh9vrFfeu0dXdh9vqqj=hEeeu0xXdbba9frFj0=OqFf ea0dXdd9vspGe9FjuP0=fs0xXdbba9pGe9xq=Jbba9suk9fr=xfr=x frpeWZqaaeaabiGaaiaadaqabeaabeqacqaaaOqaaiaahgeadaahaa WcbeqaaiaadIeaaaGccaWHbbaaaa@3B1E@ . Это свидетельствует о потере части информации при переходе от A MathType@MTEF@5@5@+= feaahGart1ev3aqatCvAUfeBSjuyZL2yd9gzLbvyNv2Caerbov2D09 MBdbqedmvETj2BSbqeduuDJXwAKbYu51MyVXgarqqr1ngBPrgifHhD YfgasaacHOWxh9vrFfeu0dXdh9vqqj=hEeeu0xXdbba9frFj0=OqFf ea0dXdd9vspGe9FjuP0=fs0xXdbba9pGe9xq=Jbba9suk9fr=xfr=x frpeWZqaaeaabiGaaiaadaqabeaabeqacqaaaOqaaiaahgeaaaa@3950@  к A short MathType@MTEF@5@5@+= feaahGart1ev3aqatCvAUfeBSjuyZL2yd9gzLbvyNv2Caerbov2D09 MBdbqedmvETj2BSbqeduuDJXwAKbYu51MyVXgarqqr1ngBPrgifHhD YfgasaacHOWxh9vrFfeu0dXdh9vqqj=hEeeu0xXdbba9frFj0=OqFf ea0dXdd9vspGe9FjuP0=fs0xXdbba9pGe9xq=Jbba9suk9fr=xfr=x frpeWZqaaeaabiGaaiaadaqabeaabeqacqaaaOqaaiaahgeadaWgaa WcbaGaae4CaiaabIgacaqGVbGaaeOCaiaabshaaeqaaaaa@3E3B@ . В итоге на практике восстановление неоднородностей с помощью укороченной системы уравнений происходит хуже, что особенно сильно проявляется при наличии помех в данных.

 

Рис. 2. (а) – Упорядоченные по убыванию собственные значения σ(n) MathType@MTEF@5@5@+= feaahGart1ev3aqatCvAUfeBSjuyZL2yd9gzLbvyNv2Caerbov2D09 MBdbqedmvETj2BSbqeduuDJXwAKbYu51MyVXgarqqr1ngBPrgifHhD YfgasaacHOWxh9vrFfeu0dXdh9vqqj=hEeeu0xXdbba9frFj0=OqFf ea0dXdd9vspGe9FjuP0=fs0xXdbba9pGe9xq=Jbba9suk9fr=xfr=x frpeWZqaaeaabiGaaiaadaqabeaabeqacqaaaOqaaiabeo8aZjaacI cacaWGUbGaaiykaaaa@3C95@  полной матрицы A H A MathType@MTEF@5@5@+= feaahGart1ev3aqatCvAUfeBSjuyZL2yd9gzLbvyNv2Caerbov2D09 MBdbqedmvETj2BSbqeduuDJXwAKbYu51MyVXgarqqr1ngBPrgifHhD YfgasaacHOWxh9vrFfeu0dXdh9vqqj=hEeeu0xXdbba9frFj0=OqFf ea0dXdd9vspGe9FjuP0=fs0xXdbba9pGe9xq=Jbba9suk9fr=xfr=x frpeWZqaaeaabiGaaiaadaqabeaabeqacqaaaOqaaiaahgeadaahaa WcbeqaaiaadIeaaaGccaWHbbaaaa@3B1E@  (линия 1) и укороченной (линия 2) матрицы A short H A short MathType@MTEF@5@5@+= feaahGart1ev3aqatCvAUfeBSjuyZL2yd9gzLbvyNv2Caerbov2D09 MBdbqedmvETj2BSbqeduuDJXwAKbYu51MyVXgarqqr1ngBPrgifHhD YfgasaacHOWxh9vrFfeu0dXdh9vqqj=hEeeu0xXdbba9frFj0=OqFf ea0dXdd9vspGe9FjuP0=fs0xXdbba9pGe9xq=Jbba9suk9fr=xfr=x frpeWZqaaeaabiGaaiaadaqabeaabeqacqaaaOqaaiaahgeadaqhaa WcbaGaae4CaiaabIgacaqGVbGaaeOCaiaabshaaeaacaWGibaaaOGa aCyqamaaBaaaleaacaqGZbGaaeiAaiaab+gacaqGYbGaaeiDaaqaba aaaa@44C8@ , нормированные на наибольшее собственное значение σ(1) MathType@MTEF@5@5@+= feaahGart1ev3aqatCvAUfeBSjuyZL2yd9gzLbvyNv2Caerbov2D09 MBdbqedmvETj2BSbqeduuDJXwAKbYu51MyVXgarqqr1ngBPrgifHhD YfgasaacHOWxh9vrFfeu0dXdh9vqqj=hEeeu0xXdbba9frFj0=OqFf ea0dXdd9vspGe9FjuP0=fs0xXdbba9pGe9xq=Jbba9suk9fr=xfr=x frpeWZqaaeaabiGaaiaadaqabeaabeqacqaaaOqaaiabeo8aZjaacI cacaaIXaGaaiykaaaa@3C5D@ . Римскими цифрами обозначены точки возможного выбора номера n b MathType@MTEF@5@5@+= feaahGart1ev3aqatCvAUfeBSjuyZL2yd9gzLbvyNv2Caerbov2D09 MBdbqedmvETj2BSbqeduuDJXwAKbYu51MyVXgarqqr1ngBPrgifHhD YfgasaacHOWxh9vrFfeu0dXdh9vqqj=hEeeu0xXdbba9frFj0=OqFf ea0dXdd9vspGe9FjuP0=fs0xXdbba9pGe9xq=Jbba9suk9fr=xfr=x frpeWZqaaeaabiGaaiaadaqabeaabeqacqaaaOqaaiaad6gadaWgaa WcbaGaamOyaaqabaaaaa@3A8C@ . (б) – Зависимости величин δ( ε ^ m ) MathType@MTEF@5@5@+= feaahGart1ev3aqatCvAUfeBSjuyZL2yd9gzLbvyNv2Caerbov2D09 MBdbqedmvETj2BSbqeduuDJXwAKbYu51MyVXgarqqr1ngBPrgifHhD YfgasaacHOWxh9vrFfeu0dXdh9vqqj=hEeeu0xXdbba9frFj0=OqFf ea0dXdd9vspGe9FjuP0=fs0xXdbba9pGe9xq=Jbba9suk9fr=xfr=x frpeWZqaaeaabiGaaiaadaqabeaabeqacqaaaOqaaiabes7aKjaacI cadaqiaaqaaiabew7aLbGaayPadaWaaSbaaSqaaiaad2gaaeqaaOGa aiykaaaa@3F15@  от номера итерации m MathType@MTEF@5@5@+= feaahGart1ev3aqatCvAUfeBSjuyZL2yd9gzLbvyNv2Caerbov2D09 MBdbqedmvETj2BSbqeduuDJXwAKbYu51MyVXgarqqr1ngBPrgifHhD YfgasaacHOWxh9vrFfeu0dXdh9vqqj=hEeeu0xXdbba9frFj0=OqFf ea0dXdd9vspGe9FjuP0=fs0xXdbba9pGe9xq=Jbba9suk9fr=xfr=x frpeWZqaaeaabiGaaiaadaqabeaabeqacqaaaOqaaiaad2gaaaa@3978@  при постоянных коэффициентах регуляризации, соответствующих отмеченным римскими цифрами точкам (тонкие черные линии) и при экспоненциально уменьшающемся коэффициенте регуляризации (толстая серая линия).

 

Другой подход к улучшению сходимости итераций, применявшийся, например, в [22, 23], состоит в том, чтобы осуществлять фильтрацию пространственного спектра ε ˜ (K) MathType@MTEF@5@5@+= feaahGart1ev3aqatCvAUfeBSjuyZL2yd9gzLbvyNv2Caerbov2D09 MBdbqedmvETj2BSbqeduuDJXwAKbYu51MyVXgarqqr1ngBPrgifHhD YfgasaacHOWxh9vrFfeu0dXdh9vqqj=hEeeu0xXdbba9frFj0=OqFf ea0dXdd9vspGe9FjuP0=fs0xXdbba9pGe9xq=Jbba9suk9fr=xfr=x frpeWZqaaeaabiGaaiaadaqabeaabeqacqaaaOqaaiqbew7aLzaaia GaaiikaiaahUeacaGGPaaaaa@3C69@  функции ε(r) MathType@MTEF@5@5@+= feaahGart1ev3aqatCvAUfeBSjuyZL2yd9gzLbvyNv2Caerbov2D09 MBdbqedmvETj2BSbqeduuDJXwAKbYu51MyVXgarqqr1ngBPrgifHhD YfgasaacHOWxh9vrFfeu0dXdh9vqqj=hEeeu0xXdbba9frFj0=OqFf ea0dXdd9vspGe9FjuP0=fs0xXdbba9pGe9xq=Jbba9suk9fr=xfr=x frpeWZqaaeaabiGaaiaadaqabeaabeqacqaaaOqaaiabew7aLjaacI cacaWHYbGaaiykaaaa@3C81@  в круге K 2τ k 0 MathType@MTEF@5@5@+= feaahGart1ev3aqatCvAUfeBSjuyZL2yd9gzLbvyNv2Caerbov2D09 MBdbqedmvETj2BSbqeduuDJXwAKbYu51MyVXgarqqr1ngBPrgifHhD YfgasaacHOWxh9vrFfeu0dXdh9vqqj=hEeeu0xXdbba9frFj0=OqFf ea0dXdd9vspGe9FjuP0=fs0xXdbba9pGe9xq=Jbba9suk9fr=xfr=x frpeWZqaaeaabiGaaiaadaqabeaabeqacqaaaOqaamaaemaabaGaaC 4saaGaay5bSlaawIa7aiabgsMiJkaaikdacqaHepaDcaWGRbWaaSba aSqaaiaaicdaaeqaaaaa@4288@ , где величина τ(0;1] MathType@MTEF@5@5@+= feaahGart1ev3aqatCvAUfeBSjuyZL2yd9gzLbvyNv2Caerbov2D09 MBdbqedmvETj2BSbqeduuDJXwAKbYu51MyVXgarqqr1ngBPrgifHhD YfgasaacHOWxh9vrFfeu0dXdh9vqqj=hEeeu0xXdbba9frFj0=OqFf ea0dXdd9vspGe9FjuP0=fs0xXdbba9pGe9xq=Jbba9suk9fr=xfr=x frpeWZqaaeaabiGaaiaadaqabeaabeqacqaaaOqaaiabes8a0jabgI GiolaacIcacaaIWaGaai4oaiaaigdacaGGDbaaaa@3F90@ . Такая фильтрация связана с тем, что томографическому восстановлению подлежат только компоненты, которые соответствуют векторам пространственных частот K MathType@MTEF@5@5@+= feaahGart1ev3aqatCvAUfeBSjuyZL2yd9gzLbvyNv2Caerbov2D09 MBdbqedmvETj2BSbqeduuDJXwAKbYu51MyVXgarqqr1ngBPrgifHhD YfgasaacHOWxh9vrFfeu0dXdh9vqqj=hEeeu0xXdbba9frFj0=OqFf ea0dXdd9vspGe9FjuP0=fs0xXdbba9pGe9xq=Jbba9suk9fr=xfr=x frpeWZqaaeaabiGaaiaadaqabeaabeqacqaaaOqaaiaahUeaaaa@395A@ , не превосходящих по модулю значения 2 k 0 MathType@MTEF@5@5@+= feaahGart1ev3aqatCvAUfeBSjuyZL2yd9gzLbvyNv2Caerbov2D09 MBdbqedmvETj2BSbqeduuDJXwAKbYu51MyVXgarqqr1ngBPrgifHhD YfgasaacHOWxh9vrFfeu0dXdh9vqqj=hEeeu0xXdbba9frFj0=OqFf ea0dXdd9vspGe9FjuP0=fs0xXdbba9pGe9xq=Jbba9suk9fr=xfr=x frpeWZqaaeaabiGaaiaadaqabeaabeqacqaaaOqaaiaaikdacaWGRb WaaSbaaSqaaiaaicdaaeqaaaaa@3B18@  [17, 18]. Компоненты спектра, возникающие после решения (14), но не удовлетворяющие этому требованию, заведомо не являются физическими, и поэтому они должны быть отброшены. Этому соответствует τ=1 MathType@MTEF@5@5@+= feaahGart1ev3aqatCvAUfeBSjuyZL2yd9gzLbvyNv2Caerbov2D09 MBdbqedmvETj2BSbqeduuDJXwAKbYu51MyVXgarqqr1ngBPrgifHhD YfgasaacHOWxh9vrFfeu0dXdh9vqqj=hEeeu0xXdbba9frFj0=OqFf ea0dXdd9vspGe9FjuP0=fs0xXdbba9pGe9xq=Jbba9suk9fr=xfr=x frpeWZqaaeaabiGaaiaadaqabeaabeqacqaaaOqaaiabes8a0jabg2 da9iaaigdaaaa@3C0C@ . В зависимости от размеров и контраста неоднородности можно дополнительно подвергать фильтрации даже компоненты пространственного спектра, для которых K 2 k 0 , MathType@MTEF@5@5@+= feaahGart1ev3aqatCvAUfeBSjuyZL2yd9gzLbvyNv2Caerbov2D09 MBdbqedmvETj2BSbqeduuDJXwAKbYu51MyVXgarqqr1ngBPrgifHhD YfgasaacHOWxh9vrFfeu0dXdh9vqqj=hEeeu0xXdbba9frFj0=OqFf ea0dXdd9vspGe9FjuP0=fs0xXdbba9pGe9xq=Jbba9suk9fr=xfr=x frpeWZqaaeaabiGaaiaadaqabeaabeqacqaaaOqaamaaemaabaGaaC 4saaGaay5bSlaawIa7aiabgsMiJkaaikdacaWGRbWaaSbaaSqaaiaa icdaaeqaaOGaaiilaaaa@417D@  т.е. устанавливать τ<1 MathType@MTEF@5@5@+= feaahGart1ev3aqatCvAUfeBSjuyZL2yd9gzLbvyNv2Caerbov2D09 MBdbqedmvETj2BSbqeduuDJXwAKbYu51MyVXgarqqr1ngBPrgifHhD YfgasaacHOWxh9vrFfeu0dXdh9vqqj=hEeeu0xXdbba9frFj0=OqFf ea0dXdd9vspGe9FjuP0=fs0xXdbba9pGe9xq=Jbba9suk9fr=xfr=x frpeWZqaaeaabiGaaiaadaqabeaabeqacqaaaOqaaiabes8a0jabgY da8iaaigdaaaa@3C0A@ . В [22] применяется ступенчатое изменение τ MathType@MTEF@5@5@+= feaahGart1ev3aqatCvAUfeBSjuyZL2yd9gzLbvyNv2Caerbov2D09 MBdbqedmvETj2BSbqeduuDJXwAKbYu51MyVXgarqqr1ngBPrgifHhD YfgasaacHOWxh9vrFfeu0dXdh9vqqj=hEeeu0xXdbba9frFj0=OqFf ea0dXdd9vspGe9FjuP0=fs0xXdbba9pGe9xq=Jbba9suk9fr=xfr=x frpeWZqaaeaabiGaaiaadaqabeaabeqacqaaaOqaaiabes8a0baa@3A4B@  в зависимости от номера итерации m MathType@MTEF@5@5@+= feaahGart1ev3aqatCvAUfeBSjuyZL2yd9gzLbvyNv2Caerbov2D09 MBdbqedmvETj2BSbqeduuDJXwAKbYu51MyVXgarqqr1ngBPrgifHhD YfgasaacHOWxh9vrFfeu0dXdh9vqqj=hEeeu0xXdbba9frFj0=OqFf ea0dXdd9vspGe9FjuP0=fs0xXdbba9pGe9xq=Jbba9suk9fr=xfr=x frpeWZqaaeaabiGaaiaadaqabeaabeqacqaaaOqaaiaad2gaaaa@3978@ . Однако такая зависимость τ(m) MathType@MTEF@5@5@+= feaahGart1ev3aqatCvAUfeBSjuyZL2yd9gzLbvyNv2Caerbov2D09 MBdbqedmvETj2BSbqeduuDJXwAKbYu51MyVXgarqqr1ngBPrgifHhD YfgasaacHOWxh9vrFfeu0dXdh9vqqj=hEeeu0xXdbba9frFj0=OqFf ea0dXdd9vspGe9FjuP0=fs0xXdbba9pGe9xq=Jbba9suk9fr=xfr=x frpeWZqaaeaabiGaaiaadaqabeaabeqacqaaaOqaaiabes8a0jaacI cacaWGTbGaaiykaaaa@3C96@  довольно сложная, и задача определения ее параметров для разных неоднородностей представляется избыточной. Вместо этого предлагается использовать простую кусочно-линейную функцию τ(m)=max(1; τ 0 + γ τ (1 τ 0 )m) MathType@MTEF@5@5@+= feaahGart1ev3aqatCvAUfeBSjuyZL2yd9gzLbvyNv2Caerbov2D09 MBdbqedmvETj2BSbqeduuDJXwAKbYu51MyVXgarqqr1ngBPrgifHhD YfgasaacHOWxh9vrFfeu0dXdh9vqqj=hEeeu0xXdbba9frFj0=OqFf ea0dXdd9vspGe9FjuP0=fs0xXdbba9pGe9xq=Jbba9suk9fr=xfr=x frpeWZqaaeaabiGaaiaadaqabeaabeqacqaaaOqaaiabes8a0jaacI cacaWGTbGaaiykaiabg2da9iGac2gacaGGHbGaaiiEaiaacIcacaaI XaGaai4oaiaaykW7cqaHepaDdaWgaaWcbaGaaGimaaqabaGccqGHRa WkcqaHZoWzdaWgaaWcbaGaeqiXdqhabeaakiaacIcacaaIXaGaeyOe I0IaeqiXdq3aaSbaaSqaaiaaicdaaeqaaOGaaiykaiaad2gacaGGPa aaaa@52AF@ , где τ 0 MathType@MTEF@5@5@+= feaahGart1ev3aqatCvAUfeBSjuyZL2yd9gzLbvyNv2Caerbov2D09 MBdbqedmvETj2BSbqeduuDJXwAKbYu51MyVXgarqqr1ngBPrgifHhD YfgasaacHOWxh9vrFfeu0dXdh9vqqj=hEeeu0xXdbba9frFj0=OqFf ea0dXdd9vspGe9FjuP0=fs0xXdbba9pGe9xq=Jbba9suk9fr=xfr=x frpeWZqaaeaabiGaaiaadaqabeaabeqacqaaaOqaaiabes8a0naaBa aaleaacaaIWaaabeaaaaa@3B31@  определяет начальную область пространственного спектра, подлежащую восстановлению; γ τ 1 MathType@MTEF@5@5@+= feaahGart1ev3aqatCvAUfeBSjuyZL2yd9gzLbvyNv2Caerbov2D09 MBdbqedmvETj2BSbqeduuDJXwAKbYu51MyVXgarqqr1ngBPrgifHhD YfgasaacHOWxh9vrFfeu0dXdh9vqqj=hEeeu0xXdbba9frFj0=OqFf ea0dXdd9vspGe9FjuP0=fs0xXdbba9pGe9xq=Jbba9suk9fr=xfr=x frpeWZqaaeaabiGaaiaadaqabeaabeqacqaaaOqaaiabeo7aNnaaDa aaleaacqaHepaDaeaacqGHsislcaaIXaaaaaaa@3DC7@  должно быть заведомо меньше предполагаемого числа итераций. Описанная процедура приводит к тому, что на первых итерациях восстанавливаются компоненты пространственного спектра ε ˜ (K) MathType@MTEF@5@5@+= feaahGart1ev3aqatCvAUfeBSjuyZL2yd9gzLbvyNv2Caerbov2D09 MBdbqedmvETj2BSbqeduuDJXwAKbYu51MyVXgarqqr1ngBPrgifHhD YfgasaacHOWxh9vrFfeu0dXdh9vqqj=hEeeu0xXdbba9frFj0=OqFf ea0dXdd9vspGe9FjuP0=fs0xXdbba9pGe9xq=Jbba9suk9fr=xfr=x frpeWZqaaeaabiGaaiaadaqabeaabeqacqaaaOqaaiqbew7aLzaaia GaaiikaiaahUeacaGGPaaaaa@3C69@  с низкими пространственными частотами K MathType@MTEF@5@5@+= feaahGart1ev3aqatCvAUfeBSjuyZL2yd9gzLbvyNv2Caerbov2D09 MBdbqedmvETj2BSbqeduuDJXwAKbYu51MyVXgarqqr1ngBPrgifHhD YfgasaacHOWxh9vrFfeu0dXdh9vqqj=hEeeu0xXdbba9frFj0=OqFf ea0dXdd9vspGe9FjuP0=fs0xXdbba9pGe9xq=Jbba9suk9fr=xfr=x frpeWZqaaeaabiGaaiaadaqabeaabeqacqaaaOqaamaaemaabaGaaC 4saaGaay5bSlaawIa7aaaa@3C7C@ , т.е. крупномасштабные неоднородности, а затем определяются и более мелкие детали.

Хотя описанная процедура фильтрации может показаться в полной мере обоснованной, она неявно предполагает, что пространственный спектр неоднородности сосредоточен в основном вблизи нуля. В случае если это не так, в ходе первых итераций может получиться оценка функции рассеивателя, состоящая из компонент с низкими пространственными частотами и сильно отличающаяся поэтому от искомой. На фоне этой, изначально неверной, оценки в рамках следующих итераций может быть затруднительно обеспечить сходимость, даже при достижении значения τ=1 MathType@MTEF@5@5@+= feaahGart1ev3aqatCvAUfeBSjuyZL2yd9gzLbvyNv2Caerbov2D09 MBdbqedmvETj2BSbqeduuDJXwAKbYu51MyVXgarqqr1ngBPrgifHhD YfgasaacHOWxh9vrFfeu0dXdh9vqqj=hEeeu0xXdbba9frFj0=OqFf ea0dXdd9vspGe9FjuP0=fs0xXdbba9pGe9xq=Jbba9suk9fr=xfr=x frpeWZqaaeaabiGaaiaadaqabeaabeqacqaaaOqaaiabes8a0jabg2 da9iaaigdaaaa@3C0C@ .

Чтобы проиллюстрировать это обстоятельство, рассматриваются еще две неоднородности. Неоднородность № 2 задается функцией s 2 (x,y)exp x 2 + y 2 2× 0.75 2 MathType@MTEF@5@5@+= feaahGart1ev3aqatCvAUfeBSjuyZL2yd9gzLbvyNv2Caerbov2D09 MBdbqedmvETj2BSbqeduuDJXwAKbYu51MyVXgarqqr1ngBPrgifHhD YfgasaacHOWxh9vrFfeu0dXdh9vqqj=hEeeu0xXdbba9frFj0=OqFf ea0dXdd9vspGe9FjuP0=fs0xXdbba9pGe9xq=Jbba9suk9fr=xfr=x frpeWZqaaeaabiGaaiaadaqabeaabeqacqaaaOqaaiaadohadaWgaa WcbaGaaGOmaaqabaGccaGGOaGaamiEaiaacYcacaWG5bGaaiykaiab ggMi6kGacwgacaGG4bGaaiiCamaabmaabaGaeyOeI0YaaSaaaeaaca WG4bWaaWbaaSqabeaacaaIYaaaaOGaey4kaSIaamyEamaaCaaaleqa baGaaGOmaaaaaOqaaiaaikdacqGHxdaTcaaIWaGaaiOlaiaaiEdaca aI1aWaaWbaaSqabeaacaaIYaaaaaaaaOGaayjkaiaawMcaaaaa@5113@ , а неоднородность № 3 – функцией s 3 (x,y) s 2 (x,y)cos(2πx) MathType@MTEF@5@5@+= feaahGart1ev3aqatCvAUfeBSjuyZL2yd9gzLbvyNv2Caerbov2D09 MBdbqedmvETj2BSbqeduuDJXwAKbYu51MyVXgarqqr1ngBPrgifHhD YfgasaacHOWxh9vrFfeu0dXdh9vqqj=hEeeu0xXdbba9frFj0=OqFf ea0dXdd9vspGe9FjuP0=fs0xXdbba9pGe9xq=Jbba9suk9fr=xfr=x frpeWZqaaeaabiGaaiaadaqabeaabeqacqaaaOqaaiaadohadaWgaa WcbaGaaG4maaqabaGccaGGOaGaamiEaiaacYcacaWG5bGaaiykaiab ggMi6kaadohadaWgaaWcbaGaaGOmaaqabaGccaGGOaGaamiEaiaacY cacaWG5bGaaiykaiGacogacaGGVbGaai4CaiaacIcacqGHYaGmcqaH apaCcaWG4bGaaiykaaaa@4E02@ . Параметры α 0 =0 MathType@MTEF@5@5@+= feaahGart1ev3aqatCvAUfeBSjuyZL2yd9gzLbvyNv2Caerbov2D09 MBdbqedmvETj2BSbqeduuDJXwAKbYu51MyVXgarqqr1ngBPrgifHhD YfgasaacHOWxh9vrFfeu0dXdh9vqqj=hEeeu0xXdbba9frFj0=OqFf ea0dXdd9vspGe9FjuP0=fs0xXdbba9pGe9xq=Jbba9suk9fr=xfr=x frpeWZqaaeaabiGaaiaadaqabeaabeqacqaaaOqaaiabeg7aHnaaBa aaleaacaaIWaaabeaakiabg2da9iaaicdaaaa@3CD5@  и β 0 =0.4 MathType@MTEF@5@5@+= feaahGart1ev3aqatCvAUfeBSjuyZL2yd9gzLbvyNv2Caerbov2D09 MBdbqedmvETj2BSbqeduuDJXwAKbYu51MyVXgarqqr1ngBPrgifHhD YfgasaacHOWxh9vrFfeu0dXdh9vqqj=hEeeu0xXdbba9frFj0=OqFf ea0dXdd9vspGe9FjuP0=fs0xXdbba9pGe9xq=Jbba9suk9fr=xfr=x frpeWZqaaeaabiGaaiaadaqabeaabeqacqaaaOqaaiabek7aInaaBa aaleaacaaIWaaabeaakiabg2da9iaaicdacaGGUaGaaGinaaaa@3E47@  полагаются для них равными; система источников и приемников поля совпадает с рассмотренной ранее. Поскольку функция рассеивателя связана со скоростью звука нелинейно, то ширина пространственного спектра неоднородностей может превосходить 2 k 0 MathType@MTEF@5@5@+= feaahGart1ev3aqatCvAUfeBSjuyZL2yd9gzLbvyNv2Caerbov2D09 MBdbqedmvETj2BSbqeduuDJXwAKbYu51MyVXgarqqr1ngBPrgifHhD YfgasaacHOWxh9vrFfeu0dXdh9vqqj=hEeeu0xXdbba9frFj0=OqFf ea0dXdd9vspGe9FjuP0=fs0xXdbba9pGe9xq=Jbba9suk9fr=xfr=x frpeWZqaaeaabiGaaiaadaqabeaabeqacqaaaOqaaiaaikdacaWGRb WaaSbaaSqaaiaaicdaaeqaaaaa@3B18@ , особенно это касается неоднородности № 3. Поэтому после вычисления ε(r) MathType@MTEF@5@5@+= feaahGart1ev3aqatCvAUfeBSjuyZL2yd9gzLbvyNv2Caerbov2D09 MBdbqedmvETj2BSbqeduuDJXwAKbYu51MyVXgarqqr1ngBPrgifHhD YfgasaacHOWxh9vrFfeu0dXdh9vqqj=hEeeu0xXdbba9frFj0=OqFf ea0dXdd9vspGe9FjuP0=fs0xXdbba9pGe9xq=Jbba9suk9fr=xfr=x frpeWZqaaeaabiGaaiaadaqabeaabeqacqaaaOqaaiabew7aLjaacI cacaWHYbGaaiykaaaa@3C81@  для каждой неоднородности соответствующий пространственный спектр ε ˜ (K) MathType@MTEF@5@5@+= feaahGart1ev3aqatCvAUfeBSjuyZL2yd9gzLbvyNv2Caerbov2D09 MBdbqedmvETj2BSbqeduuDJXwAKbYu51MyVXgarqqr1ngBPrgifHhD YfgasaacHOWxh9vrFfeu0dXdh9vqqj=hEeeu0xXdbba9frFj0=OqFf ea0dXdd9vspGe9FjuP0=fs0xXdbba9pGe9xq=Jbba9suk9fr=xfr=x frpeWZqaaeaabiGaaiaadaqabeaabeqacqaaaOqaaiqbew7aLzaaia GaaiikaiaahUeacaGGPaaaaa@3C69@  полагается равным нулю при K >2 k 0 MathType@MTEF@5@5@+= feaahGart1ev3aqatCvAUfeBSjuyZL2yd9gzLbvyNv2Caerbov2D09 MBdbqedmvETj2BSbqeduuDJXwAKbYu51MyVXgarqqr1ngBPrgifHhD YfgasaacHOWxh9vrFfeu0dXdh9vqqj=hEeeu0xXdbba9frFj0=OqFf ea0dXdd9vspGe9FjuP0=fs0xXdbba9pGe9xq=Jbba9suk9fr=xfr=x frpeWZqaaeaabiGaaiaadaqabeaabeqacqaaaOqaamaaemaabaGaaC 4saaGaay5bSlaawIa7aiabg6da+iaaikdacaWGRbWaaSbaaSqaaiaa icdaaeqaaaaa@4016@ . В итоге, восстановлению подлежат уже отфильтрованные неоднородности. Абсолютные значения их пространственных спектров представлены на рис. 3а, 3б. Исходя из значений характеристик для неоднородностей № 2 и № 3, приведенных в таблице, их можно считать в целом несколько более сильными рассеивателями, чем неоднородность № 1.

На рис. 3в представлены зависимости относительных невязок δ( ε ^ m ) MathType@MTEF@5@5@+= feaahGart1ev3aqatCvAUfeBSjuyZL2yd9gzLbvyNv2Caerbov2D09 MBdbqedmvETj2BSbqeduuDJXwAKbYu51MyVXgarqqr1ngBPrgifHhD YfgasaacHOWxh9vrFfeu0dXdh9vqqj=hEeeu0xXdbba9frFj0=OqFf ea0dXdd9vspGe9FjuP0=fs0xXdbba9pGe9xq=Jbba9suk9fr=xfr=x frpeWZqaaeaabiGaaiaadaqabeaabeqacqaaaOqaaiabes7aKjaacI cadaqiaaqaaiabew7aLbGaayPadaWaaSbaaSqaaiaad2gaaeqaaOGa aiykaaaa@3F15@  для двух режимов изменения τ(m) MathType@MTEF@5@5@+= feaahGart1ev3aqatCvAUfeBSjuyZL2yd9gzLbvyNv2Caerbov2D09 MBdbqedmvETj2BSbqeduuDJXwAKbYu51MyVXgarqqr1ngBPrgifHhD YfgasaacHOWxh9vrFfeu0dXdh9vqqj=hEeeu0xXdbba9frFj0=OqFf ea0dXdd9vspGe9FjuP0=fs0xXdbba9pGe9xq=Jbba9suk9fr=xfr=x frpeWZqaaeaabiGaaiaadaqabeaabeqacqaaaOqaaiabes8a0jaacI cacaWGTbGaaiykaaaa@3C96@ . В одном случае этот параметр приравнивается единице, а в другом – изменяется по описанной ранее кусочно-линейной зависимости, где полагается τ 0 =0.1 MathType@MTEF@5@5@+= feaahGart1ev3aqatCvAUfeBSjuyZL2yd9gzLbvyNv2Caerbov2D09 MBdbqedmvETj2BSbqeduuDJXwAKbYu51MyVXgarqqr1ngBPrgifHhD YfgasaacHOWxh9vrFfeu0dXdh9vqqj=hEeeu0xXdbba9frFj0=OqFf ea0dXdd9vspGe9FjuP0=fs0xXdbba9pGe9xq=Jbba9suk9fr=xfr=x frpeWZqaaeaabiGaaiaadaqabeaabeqacqaaaOqaaiabes8a0naaBa aaleaacaaIWaaabeaakiabg2da9iaaicdacaGGUaGaaGymaaaa@3E68@  и γ τ 1 =200 MathType@MTEF@5@5@+= feaahGart1ev3aqatCvAUfeBSjuyZL2yd9gzLbvyNv2Caerbov2D09 MBdbqedmvETj2BSbqeduuDJXwAKbYu51MyVXgarqqr1ngBPrgifHhD YfgasaacHOWxh9vrFfeu0dXdh9vqqj=hEeeu0xXdbba9frFj0=OqFf ea0dXdd9vspGe9FjuP0=fs0xXdbba9pGe9xq=Jbba9suk9fr=xfr=x frpeWZqaaeaabiGaaiaadaqabeaabeqacqaaaOqaaiabeo7aNnaaDa aaleaacqaHepaDaeaacqGHsislcaaIXaaaaOGaeyypa0JaaGOmaiaa icdacaaIWaaaaa@4107@ . Можно видеть, что для неоднородности № 2, пространственный спектр которой хорошо локализован вблизи нуля, введение фильтрации с τ<1 MathType@MTEF@5@5@+= feaahGart1ev3aqatCvAUfeBSjuyZL2yd9gzLbvyNv2Caerbov2D09 MBdbqedmvETj2BSbqeduuDJXwAKbYu51MyVXgarqqr1ngBPrgifHhD YfgasaacHOWxh9vrFfeu0dXdh9vqqj=hEeeu0xXdbba9frFj0=OqFf ea0dXdd9vspGe9FjuP0=fs0xXdbba9pGe9xq=Jbba9suk9fr=xfr=x frpeWZqaaeaabiGaaiaadaqabeaabeqacqaaaOqaaiabes8a0jabgY da8iaaigdaaaa@3C0A@  позволяет добиться существенного ускорения сходимости итераций. С другой стороны, для неоднородности № 3, значительная часть пространственного спектра которой сосредоточена вблизи точек (± k 0 ;0) MathType@MTEF@5@5@+= feaahGart1ev3aqatCvAUfeBSjuyZL2yd9gzLbvyNv2Caerbov2D09 MBdbqedmvETj2BSbqeduuDJXwAKbYu51MyVXgarqqr1ngBPrgifHhD YfgasaacHOWxh9vrFfeu0dXdh9vqqj=hEeeu0xXdbba9frFj0=OqFf ea0dXdd9vspGe9FjuP0=fs0xXdbba9pGe9xq=Jbba9suk9fr=xfr=x frpeWZqaaeaabiGaaiaadaqabeaabeqacqaaaOqaaiaacIcacqGHXc qScaWGRbWaaSbaaSqaaiaaicdaaeqaaOGaai4oaiaaicdacaGGPaaa aa@3F26@ , ситуация является обратной, и введение фильтрации только замедляет сходимость.

 

Рис. 3. Нормированные на свой максимум пространственные спектры ε ˜ (K) MathType@MTEF@5@5@+= feaahGart1ev3aqatCvAUfeBSjuyZL2yd9gzLbvyNv2Caerbov2D09 MBdbqedmvETj2BSbqeduuDJXwAKbYu51MyVXgarqqr1ngBPrgifHhD YfgasaacHOWxh9vrFfeu0dXdh9vqqj=hEeeu0xXdbba9frFj0=OqFf ea0dXdd9vspGe9FjuP0=fs0xXdbba9pGe9xq=Jbba9suk9fr=xfr=x frpeWZqaaeaabiGaaiaadaqabeaabeqacqaaaOqaaiqbew7aLzaaia GaaiikaiaahUeacaGGPaaaaa@3C69@  двух неоднородностей скорости звука, заданных функциями (а) – s 2 (x,y) MathType@MTEF@5@5@+= feaahGart1ev3aqatCvAUfeBSjuyZL2yd9gzLbvyNv2Caerbov2D09 MBdbqedmvETj2BSbqeduuDJXwAKbYu51MyVXgarqqr1ngBPrgifHhD YfgasaacHOWxh9vrFfeu0dXdh9vqqj=hEeeu0xXdbba9frFj0=OqFf ea0dXdd9vspGe9FjuP0=fs0xXdbba9pGe9xq=Jbba9suk9fr=xfr=x frpeWZqaaeaabiGaaiaadaqabeaabeqacqaaaOqaaiaadohadaWgaa WcbaGaaGOmaaqabaGccaGGOaGaamiEaiaacYcacaWG5bGaaiykaaaa @3E74@  и (б) – s 3 (x,y) MathType@MTEF@5@5@+= feaahGart1ev3aqatCvAUfeBSjuyZL2yd9gzLbvyNv2Caerbov2D09 MBdbqedmvETj2BSbqeduuDJXwAKbYu51MyVXgarqqr1ngBPrgifHhD YfgasaacHOWxh9vrFfeu0dXdh9vqqj=hEeeu0xXdbba9frFj0=OqFf ea0dXdd9vspGe9FjuP0=fs0xXdbba9pGe9xq=Jbba9suk9fr=xfr=x frpeWZqaaeaabiGaaiaadaqabeaabeqacqaaaOqaaiaadohadaWgaa WcbaGaaG4maaqabaGccaGGOaGaamiEaiaacYcacaWG5bGaaiykaaaa @3E75@  и отфильтрованных внутри изображенных окружностей радиуса 2 k 0 MathType@MTEF@5@5@+= feaahGart1ev3aqatCvAUfeBSjuyZL2yd9gzLbvyNv2Caerbov2D09 MBdbqedmvETj2BSbqeduuDJXwAKbYu51MyVXgarqqr1ngBPrgifHhD YfgasaacHOWxh9vrFfeu0dXdh9vqqj=hEeeu0xXdbba9frFj0=OqFf ea0dXdd9vspGe9FjuP0=fs0xXdbba9pGe9xq=Jbba9suk9fr=xfr=x frpeWZqaaeaabiGaaiaadaqabeaabeqacqaaaOqaaiaaikdacaWGRb WaaSbaaSqaaiaaicdaaeqaaaaa@3B18@ . (в) – Зависимости величин δ( ε ^ m ) MathType@MTEF@5@5@+= feaahGart1ev3aqatCvAUfeBSjuyZL2yd9gzLbvyNv2Caerbov2D09 MBdbqedmvETj2BSbqeduuDJXwAKbYu51MyVXgarqqr1ngBPrgifHhD YfgasaacHOWxh9vrFfeu0dXdh9vqqj=hEeeu0xXdbba9frFj0=OqFf ea0dXdd9vspGe9FjuP0=fs0xXdbba9pGe9xq=Jbba9suk9fr=xfr=x frpeWZqaaeaabiGaaiaadaqabeaabeqacqaaaOqaaiabes7aKjaacI cadaqiaaqaaiabew7aLbGaayPadaWaaSbaaSqaaiaad2gaaeqaaOGa aiykaaaa@3F15@  от номера итерации m MathType@MTEF@5@5@+= feaahGart1ev3aqatCvAUfeBSjuyZL2yd9gzLbvyNv2Caerbov2D09 MBdbqedmvETj2BSbqeduuDJXwAKbYu51MyVXgarqqr1ngBPrgifHhD YfgasaacHOWxh9vrFfeu0dXdh9vqqj=hEeeu0xXdbba9frFj0=OqFf ea0dXdd9vspGe9FjuP0=fs0xXdbba9pGe9xq=Jbba9suk9fr=xfr=x frpeWZqaaeaabiGaaiaadaqabeaabeqacqaaaOqaaiaad2gaaaa@3978@  при восстановлении неоднородности № 2 (линии 1 и 2) и неоднородности № 3 (линии 3 и 4). Линии 2 и 3 соответствуют итерациям с постоянным τ=1 MathType@MTEF@5@5@+= feaahGart1ev3aqatCvAUfeBSjuyZL2yd9gzLbvyNv2Caerbov2D09 MBdbqedmvETj2BSbqeduuDJXwAKbYu51MyVXgarqqr1ngBPrgifHhD YfgasaacHOWxh9vrFfeu0dXdh9vqqj=hEeeu0xXdbba9frFj0=OqFf ea0dXdd9vspGe9FjuP0=fs0xXdbba9pGe9xq=Jbba9suk9fr=xfr=x frpeWZqaaeaabiGaaiaadaqabeaabeqacqaaaOqaaiabes8a0jabg2 da9iaaigdaaaa@3C0C@ . Линии 1 и 4 соответствует кусочно-линейной зависимости τ(m) MathType@MTEF@5@5@+= feaahGart1ev3aqatCvAUfeBSjuyZL2yd9gzLbvyNv2Caerbov2D09 MBdbqedmvETj2BSbqeduuDJXwAKbYu51MyVXgarqqr1ngBPrgifHhD YfgasaacHOWxh9vrFfeu0dXdh9vqqj=hEeeu0xXdbba9frFj0=OqFf ea0dXdd9vspGe9FjuP0=fs0xXdbba9pGe9xq=Jbba9suk9fr=xfr=x frpeWZqaaeaabiGaaiaadaqabeaabeqacqaaaOqaaiabes8a0jaacI cacaWGTbGaaiykaaaa@3C96@ .

 

5. Восстановление рассеивателей разного контраста

Если восстановление неоднородности выполняется разными методами на основе одних и тех же экспериментальных данных, значение относительной невязки δ( ε ^ ) MathType@MTEF@5@5@+= feaahGart1ev3aqatCvAUfeBSjuyZL2yd9gzLbvyNv2Caerbov2D09 MBdbqedmvETj2BSbqeduuDJXwAKbYu51MyVXgarqqr1ngBPrgifHhD YfgasaacHOWxh9vrFfeu0dXdh9vqqj=hEeeu0xXdbba9frFj0=OqFf ea0dXdd9vspGe9FjuP0=fs0xXdbba9pGe9xq=Jbba9suk9fr=xfr=x frpeWZqaaeaabiGaaiaadaqabeaabeqacqaaaOqaaiabes7aKjaacI cadaqiaaqaaiabew7aLbGaayPadaGaaiykaaaa@3DED@  является одним из критериев, позволяющих выбрать из них наилучший. Таким образом, можно сравнивать методы между собой или определять множества рассеивателей, для которых тот или иной метод показывает лучшие результаты.

Для корреляционного итерационного метода произвести такое сравнение в общем случае оказывается затруднительным. Это связано с различием во входных данных: корреляционный итерационный метод основан на обработке матриц Γ ij (n) , MathType@MTEF@5@5@+= feaahGart1ev3aqatCvAUfeBSjuyZL2yd9gzLbvyNv2Caerbov2D09 MBdbqedmvETj2BSbqeduuDJXwAKbYu51MyVXgarqqr1ngBPrgifHhD YfgasaacHOWxh9vrFfeu0dXdh9vqqj=hEeeu0xXdbba9frFj0=OqFf ea0dXdd9vspGe9FjuP0=fs0xXdbba9pGe9xq=Jbba9suk9fr=xfr=x frpeWZqaaeaabiGaaiaadaqabeaabeqacqaaaOqaaiabfo5ahnaaDa aaleaacaWGPbGaamOAaaqaaiaacIcacaWGUbGaaiykaaaakiaacYca aaa@3EFE@  в то время как входными данными других методов служат либо значения принятых полей, либо вычисляемая на их основе амплитуда рассеяния f(θ, θ ) MathType@MTEF@5@5@+= feaahGart1ev3aqatCvAUfeBSjuyZL2yd9gzLbvyNv2Caerbov2D09 MBdbqedmvETj2BSbqeduuDJXwAKbYu51MyVXgarqqr1ngBPrgifHhD YfgasaacHOWxh9vrFfeu0dXdh9vqqj=hEeeu0xXdbba9frFj0=OqFf ea0dXdd9vspGe9FjuP0=fs0xXdbba9pGe9xq=Jbba9suk9fr=xfr=x frpeWZqaaeaabiGaaiaadaqabeaabeqacqaaaOqaaiaadAgacaGGOa GaeqiUdeNaaiilaiqbeI7aXzaafaGaaiykaaaa@3EF2@ . Однако в наиболее простом случае, когда и контролируемые источники, и приемники являются точечными, а фоновые источники отсутствуют (т.е. I (0) (r)=0 MathType@MTEF@5@5@+= feaahGart1ev3aqatCvAUfeBSjuyZL2yd9gzLbvyNv2Caerbov2D09 MBdbqedmvETj2BSbqeduuDJXwAKbYu51MyVXgarqqr1ngBPrgifHhD YfgasaacHOWxh9vrFfeu0dXdh9vqqj=hEeeu0xXdbba9frFj0=OqFf ea0dXdd9vspGe9FjuP0=fs0xXdbba9pGe9xq=Jbba9suk9fr=xfr=x frpeWZqaaeaabiGaaiaadaqabeaabeqacqaaaOqaaiaadMeadaahaa WcbeqaaiaacIcacaaIWaGaaiykaaaakiaacIcacaWHYbGaaiykaiab g2da9iaaicdaaaa@3FB2@  ), выражение (9) принимает вид Γ ij (n) = I (n) G r i , r (n) G * r j , r (n) . MathType@MTEF@5@5@+= feaahGart1ev3aqatCvAUfeBSjuyZL2yd9gzLbvyNv2Caerbov2D09 MBdbqedmvETj2BSbqeduuDJXwAKbYu51MyVXgarqqr1ngBPrgifHhD YfgasaacHOWxh9vrFfeu0dXdh9vqqj=hEeeu0xXdbba9frFj0=OqFf ea0dXdd9vspGe9FjuP0=fs0xXdbba9pGe9xq=Jbba9suk9fr=xfr=x frpeWZqaaeaabiGaaiaadaqabeaabeqacqaaaOqaaiabfo5ahnaaDa aaleaacaWGPbGaamOAaaqaaiaacIcacaWGUbGaaiykaaaakiabg2da 9iaadMeadaahaaWcbeqaaiaacIcacaWGUbGaaiykaaaakiaadEeadG aG2gWaaeacaARaaGPaVlaahkhadaWgaaWcbaGaamyAaaqabaGccaGG SaGaaCOCamaaCaaaleqabaGaaiikaiaad6gacaGGPaaaaaGccGaG2A jkaiacaARLPaaadGaG2YbaaSqajaOTbGaG2caakiaadEeadaahaaWc beqaaiaacQcaaaGcdGaG2gWaaeacaARaaGPaVlaahkhadaWgaaWcba GaamOAaaqabaGccaGGSaGaaCOCamaaCaaaleqabaGaaiikaiaad6ga caGGPaaaaaGccGaG2AjkaiacaARLPaaacaaMc8UaaiOlaaaa@6803@  При этом поле, регистрируемое j MathType@MTEF@5@5@+= feaahGart1ev3aqatCvAUfeBSjuyZL2yd9gzLbvyNv2Caerbov2D09 MBdbqedmvETj2BSbqeduuDJXwAKbYu51MyVXgarqqr1ngBPrgifHhD YfgasaacHOWxh9vrFfeu0dXdh9vqqj=hEeeu0xXdbba9frFj0=OqFf ea0dXdd9vspGe9FjuP0=fs0xXdbba9pGe9xq=Jbba9suk9fr=xfr=x frpeWZqaaeaabiGaaiaadaqabeaabeqacqaaaOqaaiaadQgaaaa@3975@  -м приемником при n MathType@MTEF@5@5@+= feaahGart1ev3aqatCvAUfeBSjuyZL2yd9gzLbvyNv2Caerbov2D09 MBdbqedmvETj2BSbqeduuDJXwAKbYu51MyVXgarqqr1ngBPrgifHhD YfgasaacHOWxh9vrFfeu0dXdh9vqqj=hEeeu0xXdbba9frFj0=OqFf ea0dXdd9vspGe9FjuP0=fs0xXdbba9pGe9xq=Jbba9suk9fr=xfr=x frpeWZqaaeaabiGaaiaadaqabeaabeqacqaaaOqaaiaad6gaaaa@3979@  -м ракурсе облучения, согласно (2), равно φ r j , r (n) =G r j , r (n) I (n) MathType@MTEF@5@5@+= feaahGart1ev3aqatCvAUfeBSjuyZL2yd9gzLbvyNv2Caerbov2D09 MBdbqedmvETj2BSbqeduuDJXwAKbYu51MyVXgarqqr1ngBPrgifHhD YfgasaacHOWxh9vrFfeu0dXdh9vqqj=hEeeu0xXdbba9frFj0=OqFf ea0dXdd9vspGe9FjuP0=fs0xXdbba9pGe9xq=Jbba9suk9fr=xfr=x frpeWZqaaeaabiGaaiaadaqabeaabeqacqaaaOqaaiabeA8aQnacaA BadaqaiaOTcaaMc8UaaCOCamaaBaaaleaacaWGQbaabeaakiaacYca caWHYbWaaWbaaSqabeaacaGGOaGaamOBaiaacMcaaaaakiacaARLOa GaiaOTwMcaamacaAlhaaWcbKaG2gacaAlaaOGaeyypa0Jaam4ramac aABadaqaiaOTcaaMc8UaaCOCamaaBaaaleaacaWGQbaabeaakiaacY cacaWHYbWaaWbaaSqabeaacaGGOaGaamOBaiaacMcaaaaakiacaARL OaGaiaOTwMcaamacaAlhaaWcbKaG2gacaAlaaOWaaOaaaeaacaWGjb WaaWbaaSqabeaacaGGOaGaamOBaiaacMcaaaaabeaaaaa@6402@ . Следовательно, выполнено равенство Γ ij (n) =φ r i , r (n) φ * r j , r (n) . MathType@MTEF@5@5@+= feaahGart1ev3aqatCvAUfeBSjuyZL2yd9gzLbvyNv2Caerbov2D09 MBdbqedmvETj2BSbqeduuDJXwAKbYu51MyVXgarqqr1ngBPrgifHhD YfgasaacHOWxh9vrFfeu0dXdh9vqqj=hEeeu0xXdbba9frFj0=OqFf ea0dXdd9vspGe9FjuP0=fs0xXdbba9pGe9xq=Jbba9suk9fr=xfr=x frpeWZqaaeaabiGaaiaadaqabeaabeqacqaaaOqaaiabfo5ahnaaDa aaleaacaWGPbGaamOAaaqaaiaacIcacaWGUbGaaiykaaaakiabg2da 9iabeA8aQnacaABadaqaiaOTcaaMc8UaaCOCamaaBaaaleaacaWGPb aabeaakiaacYcacaWHYbWaaWbaaSqabeaacaGGOaGaamOBaiaacMca aaaakiacaARLOaGaiaOTwMcaamacaAlhaaWcbKaG2gacaAlaaOGaeq OXdO2aaWbaaSqabeaacaGGQaaaaOWaiaOTbmaabGaG2kaaykW7caWH YbWaaSbaaSqaaiaadQgaaeqaaOGaaiilaiaahkhadaahaaWcbeqaai aacIcacaWGUbGaaiykaaaaaOGaiaOTwIcacGaG2AzkaaGaaiOlaaaa @6509@  Оно позволяет вычислять данные, необходимые для корреляционного итерационного метода, на основе данных, полученных в обычном активном эксперименте, а значит, производить сравнение методов.

Результаты восстановления неоднородности корреляционным итерационным методом сравнивались с результатами, полученными с помощью функционально-аналитического алгоритма Новикова [25, 26]. Этот метод не использует итераций и в настоящее время является одним из лучших для решения обратных задач рассеяния. Математически показано, что при отсутствии рассеяния назад для неоднородностей с нормой амплитуды рассеяния f(θ, θ ) < 1 3π MathType@MTEF@5@5@+= feaahGart1ev3aqatCvAUfeBSjuyZL2yd9gzLbvyNv2Caerbov2D09 MBdbqedmvETj2BSbqeduuDJXwAKbYu51MyVXgarqqr1ngBPrgifHhD YfgasaacHOWxh9vrFfeu0dXdh9vqqj=hEeeu0xXdbba9frFj0=OqFf ea0dXdd9vspGe9FjuP0=fs0xXdbba9pGe9xq=Jbba9suk9fr=xfr=x frpeWZqaaeaabiGaaiaadaqabeaabeqacqaaaOqaamaafmaabaGaam OzaiaacIcacqaH4oqCcaGGSaGafqiUdeNbauaacaGGPaaacaGLjWUa ayPcSdGaeyipaWZaaSaaaeaacaaIXaaabaGaaG4maiabec8aWbaaaa a@4662@  он дает точное решение [27]. Однако на практике работоспособность функционально-аналитических алгоритмов сохраняется в ряде случаев, когда эти требования нарушаются, и величина f(θ, θ ) MathType@MTEF@5@5@+= feaahGart1ev3aqatCvAUfeBSjuyZL2yd9gzLbvyNv2Caerbov2D09 MBdbqedmvETj2BSbqeduuDJXwAKbYu51MyVXgarqqr1ngBPrgifHhD YfgasaacHOWxh9vrFfeu0dXdh9vqqj=hEeeu0xXdbba9frFj0=OqFf ea0dXdd9vspGe9FjuP0=fs0xXdbba9pGe9xq=Jbba9suk9fr=xfr=x frpeWZqaaeaabiGaaiaadaqabeaabeqacqaaaOqaamaafmaabaGaam OzaiaacIcacqaH4oqCcaGGSaGafqiUdeNbauaacaGGPaaacaGLjWUa ayPcSdaaaa@4219@  оказывается в несколько десятков раз больше [22, 28–30]. При этом отмечается, что в классе сильных рассеивателей неоднородности, внутри которых скорость звука в среднем меньше фоновой, восстанавливаются существенно хуже тех, у которых скорость больше фоновой, при равных значениях f(θ, θ ) MathType@MTEF@5@5@+= feaahGart1ev3aqatCvAUfeBSjuyZL2yd9gzLbvyNv2Caerbov2D09 MBdbqedmvETj2BSbqeduuDJXwAKbYu51MyVXgarqqr1ngBPrgifHhD YfgasaacHOWxh9vrFfeu0dXdh9vqqj=hEeeu0xXdbba9frFj0=OqFf ea0dXdd9vspGe9FjuP0=fs0xXdbba9pGe9xq=Jbba9suk9fr=xfr=x frpeWZqaaeaabiGaaiaadaqabeaabeqacqaaaOqaamaafmaabaGaam OzaiaacIcacqaH4oqCcaGGSaGafqiUdeNbauaacaGGPaaacaGLjWUa ayPcSdaaaa@4219@  [30]. Входными данными для алгоритма Новикова служит амплитуда рассеяния. Она вычисляется на основе значений φ r j , r (n) MathType@MTEF@5@5@+= feaahGart1ev3aqatCvAUfeBSjuyZL2yd9gzLbvyNv2Caerbov2D09 MBdbqedmvETj2BSbqeduuDJXwAKbYu51MyVXgarqqr1ngBPrgifHhD YfgasaacHOWxh9vrFfeu0dXdh9vqqj=hEeeu0xXdbba9frFj0=OqFf ea0dXdd9vspGe9FjuP0=fs0xXdbba9pGe9xq=Jbba9suk9fr=xfr=x frpeWZqaaeaabiGaaiaadaqabeaabeqacqaaaOqaaiabeA8aQnacaA BadaqaiaOTcaaMc8UaaCOCamaaBaaaleaacaWGQbaabeaakiaacYca caWHYbWaaWbaaSqabeaacaGGOaGaamOBaiaacMcaaaaakiacaARLOa GaiaOTwMcaamacaAlhaaWcbKaG2gacaAlaaaaa@4C84@ , которые интерполируются с помощью преобразования Фурье так, что каждый из углов θ MathType@MTEF@5@5@+= feaahGart1ev3aqatCvAUfeBSjuyZL2yd9gzLbvyNv2Caerbov2D09 MBdbqedmvETj2BSbqeduuDJXwAKbYu51MyVXgarqqr1ngBPrgifHhD YfgasaacHOWxh9vrFfeu0dXdh9vqqj=hEeeu0xXdbba9frFj0=OqFf ea0dXdd9vspGe9FjuP0=fs0xXdbba9pGe9xq=Jbba9suk9fr=xfr=x frpeWZqaaeaabiGaaiaadaqabeaabeqacqaaaOqaaiabeI7aXbaa@3A3C@  и θ MathType@MTEF@5@5@+= feaahGart1ev3aqatCvAUfeBSjuyZL2yd9gzLbvyNv2Caerbov2D09 MBdbqedmvETj2BSbqeduuDJXwAKbYu51MyVXgarqqr1ngBPrgifHhD YfgasaacHOWxh9vrFfeu0dXdh9vqqj=hEeeu0xXdbba9frFj0=OqFf ea0dXdd9vspGe9FjuP0=fs0xXdbba9pGe9xq=Jbba9suk9fr=xfr=x frpeWZqaaeaabiGaaiaadaqabeaabeqacqaaaOqaaiqbeI7aXzaafa aaaa@3A48@  принимает значения от 0 MathType@MTEF@5@5@+= feaahGart1ev3aqatCvAUfeBSjuyZL2yd9gzLbvyNv2Caerbov2D09 MBdbqedmvETj2BSbqeduuDJXwAKbYu51MyVXgarqqr1ngBPrgifHhD YfgasaacHOWxh9vrFfeu0dXdh9vqqj=hEeeu0xXdbba9frFj0=OqFf ea0dXdd9vspGe9FjuP0=fs0xXdbba9pGe9xq=Jbba9suk9fr=xfr=x frpeWZqaaeaabiGaaiaadaqabeaabeqacqaaaOqaaiaaicdaaaa@3940@  до 2π MathType@MTEF@5@5@+= feaahGart1ev3aqatCvAUfeBSjuyZL2yd9gzLbvyNv2Caerbov2D09 MBdbqedmvETj2BSbqeduuDJXwAKbYu51MyVXgarqqr1ngBPrgifHhD YfgasaacHOWxh9vrFfeu0dXdh9vqqj=hEeeu0xXdbba9frFj0=OqFf ea0dXdd9vspGe9FjuP0=fs0xXdbba9pGe9xq=Jbba9suk9fr=xfr=x frpeWZqaaeaabiGaaiaadaqabeaabeqacqaaaOqaaiabgkdaYiabec 8aWbaa@3B33@  с шагом 2π/ 1024 MathType@MTEF@5@5@+= feaahGart1ev3aqatCvAUfeBSjuyZL2yd9gzLbvyNv2Caerbov2D09 MBdbqedmvETj2BSbqeduuDJXwAKbYu51MyVXgarqqr1ngBPrgifHhD YfgasaacHOWxh9vrFfeu0dXdh9vqqj=hEeeu0xXdbba9frFj0=OqFf ea0dXdd9vspGe9FjuP0=fs0xXdbba9pGe9xq=Jbba9suk9fr=xfr=x frpeWZqaaeaabiGaaiaadaqabeaabeqacqaaaOqaamaalyaabaGaaG Omaiabec8aWbqaaiaaigdacaaIWaGaaGOmaiaaisdaaaaaaa@3E04@ .

Численное моделирование проводилось для набора неоднородностей, заданных функцией s 2 (x,y)exp x 2 + y 2 2× 0.75 2 MathType@MTEF@5@5@+= feaahGart1ev3aqatCvAUfeBSjuyZL2yd9gzLbvyNv2Caerbov2D09 MBdbqedmvETj2BSbqeduuDJXwAKbYu51MyVXgarqqr1ngBPrgifHhD YfgasaacHOWxh9vrFfeu0dXdh9vqqj=hEeeu0xXdbba9frFj0=OqFf ea0dXdd9vspGe9FjuP0=fs0xXdbba9pGe9xq=Jbba9suk9fr=xfr=x frpeWZqaaeaabiGaaiaadaqabeaabeqacqaaaOqaaiaadohadaWgaa WcbaGaaGOmaaqabaGccaGGOaGaamiEaiaacYcacaWG5bGaaiykaiab ggMi6kGacwgacaGG4bGaaiiCamaabmaabaGaeyOeI0YaaSaaaeaaca WG4bWaaWbaaSqabeaacaaIYaaaaOGaey4kaSIaamyEamaaCaaaleqa baGaaGOmaaaaaOqaaiaaikdacqGHxdaTcaaIWaGaaiOlaiaaiEdaca aI1aWaaWbaaSqabeaacaaIYaaaaaaaaOGaayjkaiaawMcaaaaa@5113@  (т.е. с той же формой, что и у неоднородности № 2); параметр α 0 MathType@MTEF@5@5@+= feaahGart1ev3aqatCvAUfeBSjuyZL2yd9gzLbvyNv2Caerbov2D09 MBdbqedmvETj2BSbqeduuDJXwAKbYu51MyVXgarqqr1ngBPrgifHhD YfgasaacHOWxh9vrFfeu0dXdh9vqqj=hEeeu0xXdbba9frFj0=OqFf ea0dXdd9vspGe9FjuP0=fs0xXdbba9pGe9xq=Jbba9suk9fr=xfr=x frpeWZqaaeaabiGaaiaadaqabeaabeqacqaaaOqaaiabeg7aHnaaBa aaleaacaaIWaaabeaaaaa@3B0B@  полагался равным нулю, а параметр β 0 MathType@MTEF@5@5@+= feaahGart1ev3aqatCvAUfeBSjuyZL2yd9gzLbvyNv2Caerbov2D09 MBdbqedmvETj2BSbqeduuDJXwAKbYu51MyVXgarqqr1ngBPrgifHhD YfgasaacHOWxh9vrFfeu0dXdh9vqqj=hEeeu0xXdbba9frFj0=OqFf ea0dXdd9vspGe9FjuP0=fs0xXdbba9pGe9xq=Jbba9suk9fr=xfr=x frpeWZqaaeaabiGaaiaadaqabeaabeqacqaaaOqaaiabek7aInaaBa aaleaacaaIWaaabeaaaaa@3B0D@  изменялся в пределах [0.6;1] MathType@MTEF@5@5@+= feaahGart1ev3aqatCvAUfeBSjuyZL2yd9gzLbvyNv2Caerbov2D09 MBdbqedmvETj2BSbqeduuDJXwAKbYu51MyVXgarqqr1ngBPrgifHhD YfgasaacHOWxh9vrFfeu0dXdh9vqqj=hEeeu0xXdbba9frFj0=OqFf ea0dXdd9vspGe9FjuP0=fs0xXdbba9pGe9xq=Jbba9suk9fr=xfr=x frpeWZqaaeaabiGaaiaadaqabeaabeqacqaaaOqaaiaacUfacqGHsi slcaaIWaGaaiOlaiaaiAdacaGG7aGaaGPaVlaaigdacaGGDbaaaa@4064@ . Рассчитанные для каждой из неоднородностей значения f(θ, θ ) MathType@MTEF@5@5@+= feaahGart1ev3aqatCvAUfeBSjuyZL2yd9gzLbvyNv2Caerbov2D09 MBdbqedmvETj2BSbqeduuDJXwAKbYu51MyVXgarqqr1ngBPrgifHhD YfgasaacHOWxh9vrFfeu0dXdh9vqqj=hEeeu0xXdbba9frFj0=OqFf ea0dXdd9vspGe9FjuP0=fs0xXdbba9pGe9xq=Jbba9suk9fr=xfr=x frpeWZqaaeaabiGaaiaadaqabeaabeqacqaaaOqaamaafmaabaGaam OzaiaacIcacqaH4oqCcaGGSaGafqiUdeNbauaacaGGPaaacaGLjWUa ayPcSdaaaa@4219@  и Δϕ MathType@MTEF@5@5@+= feaahGart1ev3aqatCvAUfeBSjuyZL2yd9gzLbvyNv2Caerbov2D09 MBdbqedmvETj2BSbqeduuDJXwAKbYu51MyVXgarqqr1ngBPrgifHhD YfgasaacHOWxh9vrFfeu0dXdh9vqqj=hEeeu0xXdbba9frFj0=OqFf ea0dXdd9vspGe9FjuP0=fs0xXdbba9pGe9xq=Jbba9suk9fr=xfr=x frpeWZqaaeaabiGaaiaadaqabeaabeqacqaaaOqaaiabfs5aejabew 9aMbaa@3BB4@  представлены на рис. 4а. Восстановление неоднородностей осуществлялось, в одном случае, на основе точных данных. В другом случае к ним добавлялись помехи, аналогично тому, как это было сделано в пункте 3 настоящей работы; при этом было выбрано значение χ= 10 3 MathType@MTEF@5@5@+= feaahGart1ev3aqatCvAUfeBSjuyZL2yd9gzLbvyNv2Caerbov2D09 MBdbqedmvETj2BSbqeduuDJXwAKbYu51MyVXgarqqr1ngBPrgifHhD YfgasaacHOWxh9vrFfeu0dXdh9vqqj=hEeeu0xXdbba9frFj0=OqFf ea0dXdd9vspGe9FjuP0=fs0xXdbba9pGe9xq=Jbba9suk9fr=xfr=x frpeWZqaaeaabiGaaiaadaqabeaabeqacqaaaOqaaiabeE8aJjabg2 da9iaaigdacaaIWaWaaWbaaSqabeaacqGHsislcaaIZaaaaaaa@3E8F@ . На рис. 4б приведены значения относительных невязок δ( ε ^ 200 ) MathType@MTEF@5@5@+= feaahGart1ev3aqatCvAUfeBSjuyZL2yd9gzLbvyNv2Caerbov2D09 MBdbqedmvETj2BSbqeduuDJXwAKbYu51MyVXgarqqr1ngBPrgifHhD YfgasaacHOWxh9vrFfeu0dXdh9vqqj=hEeeu0xXdbba9frFj0=OqFf ea0dXdd9vspGe9FjuP0=fs0xXdbba9pGe9xq=Jbba9suk9fr=xfr=x frpeWZqaaeaabiGaaiaadaqabeaabeqacqaaaOqaaiabes7aKjaacI cadaqiaaqaaiabew7aLbGaayPadaWaaSbaaSqaaiaaikdacaaIWaGa aGimaaqabaGccaGGPaaaaa@4053@ , полученных после 200 итераций при обработке данных корреляционным итерационным методом, а на рис. 4в – значения δ( ε ^ Nov ) MathType@MTEF@5@5@+= feaahGart1ev3aqatCvAUfeBSjuyZL2yd9gzLbvyNv2Caerbov2D09 MBdbqedmvETj2BSbqeduuDJXwAKbYu51MyVXgarqqr1ngBPrgifHhD YfgasaacHOWxh9vrFfeu0dXdh9vqqj=hEeeu0xXdbba9frFj0=OqFf ea0dXdd9vspGe9FjuP0=fs0xXdbba9pGe9xq=Jbba9suk9fr=xfr=x frpeWZqaaeaabiGaaiaadaqabeaabeqacqaaaOqaaiabes7aKjaacI cadaqiaaqaaiabew7aLbGaayPadaWaaSbaaSqaaiaab6eacaqGVbGa aeODaaqabaGccaGGPaaaaa@40DF@ , полученные при обработке алгоритмом Новикова.

 

Рис. 4. (а) – Зависимости нормы амплитуды рассеяния f(θ, θ ) MathType@MTEF@5@5@+= feaahGart1ev3aqatCvAUfeBSjuyZL2yd9gzLbvyNv2Caerbov2D09 MBdbqedmvETj2BSbqeduuDJXwAKbYu51MyVXgarqqr1ngBPrgifHhD YfgasaacHOWxh9vrFfeu0dXdh9vqqj=hEeeu0xXdbba9frFj0=OqFf ea0dXdd9vspGe9FjuP0=fs0xXdbba9pGe9xq=Jbba9suk9fr=xfr=x frpeWZqaaeaabiGaaiaadaqabeaabeqacqaaaOqaamaafmaabaGaam OzaiaacIcacqaH4oqCcaGGSaGafqiUdeNbauaacaGGPaaacaGLjWUa ayPcSdaaaa@4219@  (линия 1) и максимального набега фаз Δϕ MathType@MTEF@5@5@+= feaahGart1ev3aaatCvAUfeBSjuyZL2yd9gzLbvyNv2Caerbov2D09 MBdbqedmvETj2BSbqeduuDJXwAKbYu51MyVXgarqqr1ngBPrgifHhD YfgasaacHOWxh9vrFfeu0dXdh9vqqj=hEeeu0xXdbba9frFj0=OqFf ea0dXdd9vspGe9FjuP0=fs0xXdbba9pGe9xq=Jbba9suk9fr=xfr=x frpeWZqaaeaabiGaaiaadaqabeaabeqacqaaaOqaaiabfs5aejabew 9aMbaa@3BB3@  (линия 2) от параметра неоднородности β 0 MathType@MTEF@5@5@+= feaahGart1ev3aqatCvAUfeBSjuyZL2yd9gzLbvyNv2Caerbov2D09 MBdbqedmvETj2BSbqeduuDJXwAKbYu51MyVXgarqqr1ngBPrgifHhD YfgasaacHOWxh9vrFfeu0dXdh9vqqj=hEeeu0xXdbba9frFj0=OqFf ea0dXdd9vspGe9FjuP0=fs0xXdbba9pGe9xq=Jbba9suk9fr=xfr=x frpeWZqaaeaabiGaaiaadaqabeaabeqacqaaaOqaaiabek7aInaaBa aaleaacaaIWaaabeaaaaa@3B0D@ . Зависимости величин (б) – δ( ε ^ 200 ) MathType@MTEF@5@5@+= feaahGart1ev3aqatCvAUfeBSjuyZL2yd9gzLbvyNv2Caerbov2D09 MBdbqedmvETj2BSbqeduuDJXwAKbYu51MyVXgarqqr1ngBPrgifHhD YfgasaacHOWxh9vrFfeu0dXdh9vqqj=hEeeu0xXdbba9frFj0=OqFf ea0dXdd9vspGe9FjuP0=fs0xXdbba9pGe9xq=Jbba9suk9fr=xfr=x frpeWZqaaeaabiGaaiaadaqabeaabeqacqaaaOqaaiabes7aKjaacI cadaqiaaqaaiabew7aLbGaayPadaWaaSbaaSqaaiaaikdacaaIWaGa aGimaaqabaGccaGGPaaaaa@4053@  и (в) – δ( ε ^ Nov ) MathType@MTEF@5@5@+= feaahGart1ev3aqatCvAUfeBSjuyZL2yd9gzLbvyNv2Caerbov2D09 MBdbqedmvETj2BSbqeduuDJXwAKbYu51MyVXgarqqr1ngBPrgifHhD YfgasaacHOWxh9vrFfeu0dXdh9vqqj=hEeeu0xXdbba9frFj0=OqFf ea0dXdd9vspGe9FjuP0=fs0xXdbba9pGe9xq=Jbba9suk9fr=xfr=x frpeWZqaaeaabiGaaiaadaqabeaabeqacqaaaOqaaiabes7aKjaacI cadaqiaaqaaiabew7aLbGaayPadaWaaSbaaSqaaiaab6eacaqGVbGa aeODaaqabaGccaGGPaaaaa@40DF@  от параметра неоднородности β 0 MathType@MTEF@5@5@+= feaahGart1ev3aqatCvAUfeBSjuyZL2yd9gzLbvyNv2Caerbov2D09 MBdbqedmvETj2BSbqeduuDJXwAKbYu51MyVXgarqqr1ngBPrgifHhD YfgasaacHOWxh9vrFfeu0dXdh9vqqj=hEeeu0xXdbba9frFj0=OqFf ea0dXdd9vspGe9FjuP0=fs0xXdbba9pGe9xq=Jbba9suk9fr=xfr=x frpeWZqaaeaabiGaaiaadaqabeaabeqacqaaaOqaaiabek7aInaaBa aaleaacaaIWaaabeaaaaa@3B0D@  при точных входных данных (линии 1) и при наличии помех (линии 2); линией 3 изображена зависимость δ( ε ^ Nov ) MathType@MTEF@5@5@+= feaahGart1ev3aqatCvAUfeBSjuyZL2yd9gzLbvyNv2Caerbov2D09 MBdbqedmvETj2BSbqeduuDJXwAKbYu51MyVXgarqqr1ngBPrgifHhD YfgasaacHOWxh9vrFfeu0dXdh9vqqj=hEeeu0xXdbba9frFj0=OqFf ea0dXdd9vspGe9FjuP0=fs0xXdbba9pGe9xq=Jbba9suk9fr=xfr=x frpeWZqaaeaabiGaaiaadaqabeaabeqacqaaaOqaaiabes7aKjaacI cadaqiaaqaaiabew7aLbGaayPadaWaaSbaaSqaaiaab6eacaqGVbGa aeODaaqabaGccaGGPaaaaa@40DF@  при увеличенном до 32 числе ракурсов излучения и приема.

 

Во-первых, следует обратить внимание, что при равном объеме входных данных алгоритм Новикова обеспечивает приемлемое качество восстановления неоднородности (невязка не превышает нескольких процентов) в гораздо более широком диапазоне значений β 0 MathType@MTEF@5@5@+= feaahGart1ev3aqatCvAUfeBSjuyZL2yd9gzLbvyNv2Caerbov2D09 MBdbqedmvETj2BSbqeduuDJXwAKbYu51MyVXgarqqr1ngBPrgifHhD YfgasaacHOWxh9vrFfeu0dXdh9vqqj=hEeeu0xXdbba9frFj0=OqFf ea0dXdd9vspGe9FjuP0=fs0xXdbba9pGe9xq=Jbba9suk9fr=xfr=x frpeWZqaaeaabiGaaiaadaqabeaabeqacqaaaOqaaiabek7aInaaBa aaleaacaaIWaaabeaaaaa@3B0D@ , по сравнению с итерационным алгоритмом; это является хорошо известным преимуществом функционально-аналитических методов.

Во-вторых, можно видеть, что норма амплитуды рассеяния не позволяет однозначно определить, удастся ли восстановить соответствующую неоднородность. Так, среди неоднородностей, у которых значение f(θ, θ ) 20 3π MathType@MTEF@5@5@+= feaahGart1ev3aqatCvAUfeBSjuyZL2yd9gzLbvyNv2Caerbov2D09 MBdbqedmvETj2BSbqeduuDJXwAKbYu51MyVXgarqqr1ngBPrgifHhD YfgasaacHOWxh9vrFfeu0dXdh9vqqj=hEeeu0xXdbba9frFj0=OqFf ea0dXdd9vspGe9FjuP0=fs0xXdbba9pGe9xq=Jbba9suk9fr=xfr=x frpeWZqaaeaabiGaaiaadaqabeaabeqacqaaaOqaamaafmaabaGaam OzaiaacIcacqaH4oqCcaGGSaGafqiUdeNbauaacaGGPaaacaGLjWUa ayPcSdGaeyisIS7aaSaaaeaacaaIYaGaaGimaaqaaiaaiodacqaHap aCaaaaaa@47CA@ , можно выделить и те, которые восстанавливаются хорошо (например, при β 0 0.3 MathType@MTEF@5@5@+= feaahGart1ev3aqatCvAUfeBSjuyZL2yd9gzLbvyNv2Caerbov2D09 MBdbqedmvETj2BSbqeduuDJXwAKbYu51MyVXgarqqr1ngBPrgifHhD YfgasaacHOWxh9vrFfeu0dXdh9vqqj=hEeeu0xXdbba9frFj0=OqFf ea0dXdd9vspGe9FjuP0=fs0xXdbba9pGe9xq=Jbba9suk9fr=xfr=x frpeWZqaaeaabiGaaiaadaqabeaabeqacqaaaOqaaiabek7aInaaBa aaleaacaaIWaaabeaakiabgIKi7kaaicdacaGGUaGaaG4maaaa@3EF1@  ), и те, которые не восстанавливаются вовсе (например, при β 0 0.5 MathType@MTEF@5@5@+= feaahGart1ev3aqatCvAUfeBSjuyZL2yd9gzLbvyNv2Caerbov2D09 MBdbqedmvETj2BSbqeduuDJXwAKbYu51MyVXgarqqr1ngBPrgifHhD YfgasaacHOWxh9vrFfeu0dXdh9vqqj=hEeeu0xXdbba9frFj0=OqFf ea0dXdd9vspGe9FjuP0=fs0xXdbba9pGe9xq=Jbba9suk9fr=xfr=x frpeWZqaaeaabiGaaiaadaqabeaabeqacqaaaOqaaiabek7aInaaBa aaleaacaaIWaaabeaakiabgIKi7kabgkHiTiaaicdacaGGUaGaaGyn aaaa@3FE0@  ) ни одним из методов. С другой стороны, набег фазы Δϕ MathType@MTEF@5@5@+= feaahGart1ev3aqatCvAUfeBSjuyZL2yd9gzLbvyNv2Caerbov2D09 MBdbqedmvETj2BSbqeduuDJXwAKbYu51MyVXgarqqr1ngBPrgifHhD YfgasaacHOWxh9vrFfeu0dXdh9vqqj=hEeeu0xXdbba9frFj0=OqFf ea0dXdd9vspGe9FjuP0=fs0xXdbba9pGe9xq=Jbba9suk9fr=xfr=x frpeWZqaaeaabiGaaiaadaqabeaabeqacqaaaOqaaiabfs5aejabew 9aMbaa@3BB4@  оказывается довольно хорошо согласованным с возможностью восстановления неоднородности. Так, для корреляционного итерационного метода неоднородности восстанавливаются при Δϕ <1.3π MathType@MTEF@5@5@+= feaahGart1ev3aqatCvAUfeBSjuyZL2yd9gzLbvyNv2Caerbov2D09 MBdbqedmvETj2BSbqeduuDJXwAKbYu51MyVXgarqqr1ngBPrgifHhD YfgasaacHOWxh9vrFfeu0dXdh9vqqj=hEeeu0xXdbba9frFj0=OqFf ea0dXdd9vspGe9FjuP0=fs0xXdbba9pGe9xq=Jbba9suk9fr=xfr=x frpeWZqaaeaabiGaaiaadaqabeaabeqacqaaaOqaamaaemaabaGaeu iLdqKaeqy1dygacaGLhWUaayjcSdGaeyipaWJaaGymaiaac6cacaaI ZaGaeqiWdahaaa@43C1@ , а для алгоритма Новикова – по крайней мере, при Δϕ>1.6π MathType@MTEF@5@5@+= feaahGart1ev3aqatCvAUfeBSjuyZL2yd9gzLbvyNv2Caerbov2D09 MBdbqedmvETj2BSbqeduuDJXwAKbYu51MyVXgarqqr1ngBPrgifHhD YfgasaacHOWxh9vrFfeu0dXdh9vqqj=hEeeu0xXdbba9frFj0=OqFf ea0dXdd9vspGe9FjuP0=fs0xXdbba9pGe9xq=Jbba9suk9fr=xfr=x frpeWZqaaeaabiGaaiaadaqabeaabeqacqaaaOqaaiabfs5aejabew 9aMjabg6da+iabgkHiTiaaigdacaGGUaGaaGOnaiabec8aWbaa@4193@  (верхнее значение здесь ограничено диапазоном изменения β 0 1 MathType@MTEF@5@5@+= feaahGart1ev3aqatCvAUfeBSjuyZL2yd9gzLbvyNv2Caerbov2D09 MBdbqedmvETj2BSbqeduuDJXwAKbYu51MyVXgarqqr1ngBPrgifHhD YfgasaacHOWxh9vrFfeu0dXdh9vqqj=hEeeu0xXdbba9frFj0=OqFf ea0dXdd9vspGe9FjuP0=fs0xXdbba9pGe9xq=Jbba9suk9fr=xfr=x frpeWZqaaeaabiGaaiaadaqabeaabeqacqaaaOqaaiabek7aInaaBa aaleaacaaIWaaabeaakiabgsMiJkaaigdaaaa@3D87@  ). Следует отметить, что приведенные конкретные численные значения имеют смысл только для описанных условий моделирования, и при анализе других неоднородностей они будут отличаться.

В-третьих, наличие небольших помех, хотя и ожидаемо ухудшает результаты, тем не менее, не приводит к расходимости итераций, что говорит об устойчивом восстановлении неоднородностей.

В-четвертых, в диапазоне значений β 0 [0.1;0.4] MathType@MTEF@5@5@+= feaahGart1ev3aqatCvAUfeBSjuyZL2yd9gzLbvyNv2Caerbov2D09 MBdbqedmvETj2BSbqeduuDJXwAKbYu51MyVXgarqqr1ngBPrgifHhD YfgasaacHOWxh9vrFfeu0dXdh9vqqj=hEeeu0xXdbba9frFj0=OqFf ea0dXdd9vspGe9FjuP0=fs0xXdbba9pGe9xq=Jbba9suk9fr=xfr=x frpeWZqaaeaabiGaaiaadaqabeaabeqacqaaaOqaaiabek7aInaaBa aaleaacaaIWaaabeaakiabgIGiolaacUfacqGHsislcaaIWaGaaiOl aiaaigdacaGG7aGaaGPaVlaaicdacaGGUaGaaGinaiaac2faaaa@45E3@  результаты корреляционного итерационного метода оказываются несколько лучше, чем результаты алгоритма Новикова. Это обстоятельство проявляется при малом количестве ракурсов излучения и приема сигналов. Так, если N R = N F =32 MathType@MTEF@5@5@+= feaahGart1ev3aqatCvAUfeBSjuyZL2yd9gzLbvyNv2Caerbov2D09 MBdbqedmvETj2BSbqeduuDJXwAKbYu51MyVXgarqqr1ngBPrgifHhD YfgasaacHOWxh9vrFfeu0dXdh9vqqj=hEeeu0xXdbba9frFj0=OqFf ea0dXdd9vspGe9FjuP0=fs0xXdbba9pGe9xq=Jbba9suk9fr=xfr=x frpeWZqaaeaabiGaaiaadaqabeaabeqacqaaaOqaaiaad6eadaWgaa WcbaGaamOuaaqabaGccqGH9aqpcaWGobWaaSbaaSqaaiaadAeaaeqa aOGaeyypa0JaaG4maiaaikdaaaa@3FBF@ , то значение δ( ε ^ Nov ) MathType@MTEF@5@5@+= feaahGart1ev3aqatCvAUfeBSjuyZL2yd9gzLbvyNv2Caerbov2D09 MBdbqedmvETj2BSbqeduuDJXwAKbYu51MyVXgarqqr1ngBPrgifHhD YfgasaacHOWxh9vrFfeu0dXdh9vqqj=hEeeu0xXdbba9frFj0=OqFf ea0dXdd9vspGe9FjuP0=fs0xXdbba9pGe9xq=Jbba9suk9fr=xfr=x frpeWZqaaeaabiGaaiaadaqabeaabeqacqaaaOqaaiabes7aKjaacI cadaqiaaqaaiabew7aLbGaayPadaWaaSbaaSqaaiaab6eacaqGVbGa aeODaaqabaGccaGGPaaaaa@40DF@  уменьшается в несколько раз (рис. 4в). Однако в эксперименте объем входных данных часто ограничен, и в таких условиях использование итерационного подхода может оказаться предпочтительным. Кроме того, заслуживает внимания возможность комбинации двух методов, когда оценка, полученная с помощью алгоритма Новикова, используется в качестве априорной оценки для итерационного метода. Такой подход нуждается в отдельном исследовании.

В-пятых, наименьшее значение δ( ε ^ ) MathType@MTEF@5@5@+= feaahGart1ev3aqatCvAUfeBSjuyZL2yd9gzLbvyNv2Caerbov2D09 MBdbqedmvETj2BSbqeduuDJXwAKbYu51MyVXgarqqr1ngBPrgifHhD YfgasaacHOWxh9vrFfeu0dXdh9vqqj=hEeeu0xXdbba9frFj0=OqFf ea0dXdd9vspGe9FjuP0=fs0xXdbba9pGe9xq=Jbba9suk9fr=xfr=x frpeWZqaaeaabiGaaiaadaqabeaabeqacqaaaOqaaiabes7aKjaacI cadaqiaaqaaiabew7aLbGaayPadaGaaiykaaaa@3DED@  достигается при β 0 MathType@MTEF@5@5@+= feaahGart1ev3aqatCvAUfeBSjuyZL2yd9gzLbvyNv2Caerbov2D09 MBdbqedmvETj2BSbqeduuDJXwAKbYu51MyVXgarqqr1ngBPrgifHhD YfgasaacHOWxh9vrFfeu0dXdh9vqqj=hEeeu0xXdbba9frFj0=OqFf ea0dXdd9vspGe9FjuP0=fs0xXdbba9pGe9xq=Jbba9suk9fr=xfr=x frpeWZqaaeaabiGaaiaadaqabeaabeqacqaaaOqaaiabek7aInaaBa aaleaacaaIWaaabeaaaaa@3B0D@ , отличном от нуля, как можно было бы изначально предположить. Это объясняется тем, что рассматриваемая величина δ( ε ^ ) MathType@MTEF@5@5@+= feaahGart1ev3aqatCvAUfeBSjuyZL2yd9gzLbvyNv2Caerbov2D09 MBdbqedmvETj2BSbqeduuDJXwAKbYu51MyVXgarqqr1ngBPrgifHhD YfgasaacHOWxh9vrFfeu0dXdh9vqqj=hEeeu0xXdbba9frFj0=OqFf ea0dXdd9vspGe9FjuP0=fs0xXdbba9pGe9xq=Jbba9suk9fr=xfr=x frpeWZqaaeaabiGaaiaadaqabeaabeqacqaaaOqaaiabes7aKjaacI cadaqiaaqaaiabew7aLbGaayPadaGaaiykaaaa@3DED@  – относительная невязка, и при малых значениях β 0 MathType@MTEF@5@5@+= feaahGart1ev3aqatCvAUfeBSjuyZL2yd9gzLbvyNv2Caerbov2D09 MBdbqedmvETj2BSbqeduuDJXwAKbYu51MyVXgarqqr1ngBPrgifHhD YfgasaacHOWxh9vrFfeu0dXdh9vqqj=hEeeu0xXdbba9frFj0=OqFf ea0dXdd9vspGe9FjuP0=fs0xXdbba9pGe9xq=Jbba9suk9fr=xfr=x frpeWZqaaeaabiGaaiaadaqabeaabeqacqaaaOqaamaaemaabaGaeq OSdi2aaSbaaSqaaiaaicdaaeqaaaGccaGLhWUaayjcSdaaaa@3E39@  значение интеграла ε(r) 2 dr MathType@MTEF@5@5@+= feaahGart1ev3aqatCvAUfeBSjuyZL2yd9gzLbvyNv2Caerbov2D09 MBdbqedmvETj2BSbqeduuDJXwAKbYu51MyVXgarqqr1ngBPrgifHhD YfgasaacHOWxh9vrFfeu0dXdh9vqqj=hEeeu0xXdbba9frFj0=OqFf ea0dXdd9vspGe9FjuP0=fs0xXdbba9pGe9xq=Jbba9suk9fr=xfr=x frpeWZqaaeaabiGaaiaadaqabeaabeqacqaaaOqaamaapefabaWaaq WaaeaacqaH1oqzcaGGOaGaaCOCaiaacMcaaiaawEa7caGLiWoadaah aaWcbeqaaiaaikdaaaGccaWGKbGaaCOCaaWcbaGaeyihHimabeqdcq GHRiI8aaaa@464F@  в знаменателе выражения (15) тоже мало. Поэтому здесь сказывается вклад ошибок, вызванных численными расчетами.

Заключение

Подводя итоги, можно отметить, что предложенный метод восстановления акустических параметров среды вполне применим для задач акустической томографии, когда поле в среде создается случайными источниками. В отличие от метода шумовой интерферометрии он не накладывает ограничения на пространственное распределение источников поля. Однако при этом требуется дополнительная информация о плотности мощности части случайных источников.

Проверка работоспособности метода проводилась для неоднородностей небольшого размера (несколько длин волн), но высокого контраста. Для них итерационные подходы сталкиваются с трудностями и, вообще говоря, могут не обеспечивать сходимость. Поэтому целесообразно использовать дополнительные приемы, которые сводятся к тому, чтобы ограничивать на каждой итерации шаг изменения оценки искомой функции рассеивателя. Одним из таких приемов является экспоненциальное уменьшение коэффициента регуляризации при численном решении системы линейных уравнений. Другой метод связан с постепенным расширением области пространственного спектра, в которой восстанавливается неоднородность. Такое расширение спектра, однако, должно быть согласованно с предполагаемым пространственным спектром неоднородности, в ином случае данная процедура может привести к ухудшению результата.

Проведено сравнение результатов восстановления ряда неоднородностей с разным контрастом с помощью предлагаемого итерационного метода и с помощью функционально-аналитического двумерного монохроматического алгоритма Новикова. С одной стороны, алгоритм Новикова обеспечивает получение приемлемого решения для неоднородностей большей силы. С другой стороны, для неоднородностей меньшей силы в некоторых случаях при малом числе ракурсов обследования итерационный алгоритм позволяет получить более точное решение.

Исследование выполнено за счет гранта Российского научного фонда (проект №19-12-00098).

×

Sobre autores

K. Dmitriev

Lomonosov Moscow State University

Autor responsável pela correspondência
Email: presentatio@mail.ru
Rússia, Moscow

Bibliografia

  1. Weaver R.L., Lobkis O.I. Ultrasonics without a source: Thermal fluctuation correlations at MHz frequencies // Phys. Rev. Lett. 2001. V. 87. № 13. P. 134301–1–4.
  2. Буров В.А., Румянцева О.Д. Обратные волновые задачи акустической томографии. Ч. I: Обратные задачи излучения в акустике. М.: ЛЕНАНД, 2020. 384 с.
  3. Буров В.А., Дмитриев К.В., Румянцева О.Д. Создание управляемой анизотропной подсветки в корреляционных схемах акустической томографии // Акуст. журн. 2018. Т. 64. № 5. С. 591–597.
  4. Snieder R., Miyazawa M., Slob E., Vasconcelos I., Wapenaar K. A comparison of strategies for seismic interferometry // Surv. Geophys. 2009. V. 30. № 4. P. 503–523.
  5. Жостков Р.А., Преснов Д.А., Шуруп А.С., Собисевич А.Л. Cравнение микросейсмического зондирования и томографического подхода при изучении глубинного строения Земли // Изв. РАН. Серия Физическая. 2017. Т. 81. № 1. С. 72–75.
  6. Буров В.А., Сергеев С.Н., Шуруп А.С. Использование в пассивной томографии океана низкочастотных шумов // Акуст. журн. 2008. Т. 54. № 1. С. 51–61.
  7. Тихоцкий С.А., Преснов Д.А., Собисевич А.Л., Шуруп А.С. Использование низкочастотных шумов в пассивной сейсмоакустической томографии дна океана // Акуст. журн. 2021. Т. 67. № 1. С. 107–116.
  8. Gizon L., Barucq H., Durufle M., Hanson C., Leguèbe M., Birch A., Chabassier J., Fournier D., Hohage T., Papini E. Computational helioseismology in the frequency domain: acoustic waves in axisymmetric solar models with flows // Astronomy & Astrophysics. 2017. V. 600. P. A35–1–23.
  9. Agaltsov A.D., Hohage T., Novikov R.G. Global uniqueness in a passive inverse problem of helioseismology // Inverse Problems. 2020. V. 36. № 5. P. 055004–1–21.
  10. Godin O.A. Recovering the acoustic Green’s function from ambient noise cross correlation in an inhomogeneous medium // Phys. Rev. Lett. 2006. V. 97. № 5. P. 054301–1–4.
  11. Wapenaar K. Nonreciprocal Green’s function retrieval by cross correlation // J. Acoust. Soc. Am. 2006. V. 120. № 1. P. EL7–EL13.
  12. Snieder R. Extracting the Green’s function of attenuating heterogeneous acoustic media from uncorrelated waves // J. Acoust. Soc. Am. 2007. V. 121. № 5. P. 2637–2643.
  13. Дмитриев К.В. Применение скалярных и комбинированных приемников в задаче шумовой интерферометрии при наличии локализованных источников поля // Изв. РАН. Серия Физическая. 2022. Т. 11. № 86. С. 1604–1609.
  14. Малышкин Г.С. Сравнительная эффективность классических и быстрых проекционных алгоритмов при разрешении слабых гидроакустических сигналов // Акуст. журн. 2017. Т 63. № 2. С. 196–208.
  15. Малышкин Г.С. Экспериментальная проверка эффективности быстрых проекционных адаптивных алгоритмов // Акуст. журн. 2019. Т. 65. № 6. С. 828–846.
  16. Lippmann B.A., Schwinger J. Variational principles for scattering processes. I // Phys. Rev. 1950. V. 79. № 3. P. 469–480.
  17. Горюнов А.А., Сасковец А.В. Обратные задачи рассеяния в акустике. М.: Изд-во МГУ, 1989. 152 с.
  18. Буров В.А., Румянцева О.Д. Обратные волновые задачи акустической томографии. Ч. II: Обратные задачи акустического рассеяния. М.: ЛЕНАНД, 2020. 768 с.
  19. Владимиров В.C. Уравнения математической физики. М.: Наука, 1981. 512 с.
  20. Born M. Quantenmechanik der Stossvorgänge // Zeitschrift für Physik. 1926. V. 38. P. 803–827. [in German].
  21. Devaney A.J. Mathematical foundations of imaging, tomography and wavefield inversion. Cambridge, New York et al: Cambridge University Press, 2012. 518 p.
  22. Shurup A.S. Numerical comparison of iterative and functional-analytical algorithms for inverse acoustic scattering // Eurasian J. Math. Comput. Appl. 2022. V. 10. № 1. P. 79–99.
  23. Зорин С.С., Шуруп А.С. Численное сравнение итерационного и функционально-аналитического алгоритма при восстановлении рефракционно-поглощающих рассеивателей // Учен. зап. физ. факультета Моск. ун-та. 2023. № 4. С. 2340102–1–6.
  24. Дмитриев К.В. Рассеяние акустического поля на рефракционно-плотностных неоднородностях малого волнового размера и решение прямой задачи рассеяния в неоднородной среде // Акуст. журн. 2018. Т. 64. № 2. С. 1–14.
  25. Novikov R.G. Rapidly converging approximation in inverse quantum scattering in dimension 2 // Physics Letters A. 1998. V. 238. № 2–3. P. 73–78.
  26. Novikov R.G. Approximate inverse quantum scattering at fixed energy in dimension 2 // Proc. V.A. Steklov Inst. Math. 1999. V. 225. P. 301–318.
  27. Novikov R.G. The inverse scattering problem on a fixed energy level for the two-dimensional Schrodinger operator // J. of Funct. Anal. 1992. V. 103. № 2. P. 409–463.
  28. Бадалян Н.П., Буров В.А., Морозов С.А., Румянцева О.Д. Рассеяние на акустических граничных рассеивателях с малыми волновыми размерами и их восстановление // Акуст. журн. 2009. Т. 55. № 1. С. 3–10.
  29. Agaltsov A.D., Novikov R.G. Examples of solution of the inverse scattering problem and the equations of the Novikov-Veselov hierarchy from the scattering data of point potentials // Russian Math. Surveys. 2019. V. 74. № 3. P. 373–386.
  30. Dmitriev K.V., Rumyantseva O.D. Features of solving the direct and inverse scattering problems for two sets of monopole scatterers // J. Inverse Ill-Posed Probl. 2021. V. 29. № 5. P. 775–789.

Arquivos suplementares

Arquivos suplementares
Ação
1. JATS XML
2. Fig. 1. (a) – Spatial distribution of the relative speed of sound for inhomogeneity No. 1. (b) – Real (lines 1 and 2) and imaginary (lines 3 and 4) parts normalized to estimates (lines 1 and 3) and the desired function scatterer (lines 2 and 4) along the segment (c) – Dependences of the values δ(m) (lines 1 and 2) and δГ(m) (lines 3 and 4) on the iteration number with exact input data (lines 2 and 4 ) and in the pres-ence of interference (lines 1 and 3).

Baixar (154KB)
3. Fig. 2. (a) – Eigenvalues of the full matrix (line 1) and shortened (line 2) matrix, ordered in descending order, normalized to the largest eigenvalue. Roman numerals indicate possible number selection points. (b) – Dependences of quantities on the iteration number for constant regularization coefficients corre-sponding to the points marked with Roman numerals (thin black lines) and for an exponentially decreas-ing regularization coefficient (thick gray line).

Baixar (155KB)
4. Fig. 3. Spatial spectra of two sound speed inhomogeneities normalized to their maximum, specified by functions (a) – and (b) – and filtered inside the depicted circles of radius . (c) – Dependences of quanti-ties on the iteration number when restoring inhomogeneity No. 2 (lines 1 and 2) and inhomogeneity No. 3 (lines 3 and 4). Lines 2 and 3 correspond to iterations with constant . Lines 1 and 4 correspond to a piecewise linear dependence.

Baixar (113KB)
5. Fig. 4. (a) – Dependences of the norm of the scattering amplitude (line 1) and the maximum phase shift (line 2) on the inhomogeneity parameter. Dependences of quantities (b) – and (c) – on the heterogeneity parameter with accurate input data (line 1) and in the presence of interference (line 2); Line 3 shows the dependence with the number of emission and reception angles increased to 32.

Baixar (93KB)

Declaração de direitos autorais © The Russian Academy of Sciences, 2024

Согласие на обработку персональных данных с помощью сервиса «Яндекс.Метрика»

1. Я (далее – «Пользователь» или «Субъект персональных данных»), осуществляя использование сайта https://journals.rcsi.science/ (далее – «Сайт»), подтверждая свою полную дееспособность даю согласие на обработку персональных данных с использованием средств автоматизации Оператору - федеральному государственному бюджетному учреждению «Российский центр научной информации» (РЦНИ), далее – «Оператор», расположенному по адресу: 119991, г. Москва, Ленинский просп., д.32А, со следующими условиями.

2. Категории обрабатываемых данных: файлы «cookies» (куки-файлы). Файлы «cookie» – это небольшой текстовый файл, который веб-сервер может хранить в браузере Пользователя. Данные файлы веб-сервер загружает на устройство Пользователя при посещении им Сайта. При каждом следующем посещении Пользователем Сайта «cookie» файлы отправляются на Сайт Оператора. Данные файлы позволяют Сайту распознавать устройство Пользователя. Содержимое такого файла может как относиться, так и не относиться к персональным данным, в зависимости от того, содержит ли такой файл персональные данные или содержит обезличенные технические данные.

3. Цель обработки персональных данных: анализ пользовательской активности с помощью сервиса «Яндекс.Метрика».

4. Категории субъектов персональных данных: все Пользователи Сайта, которые дали согласие на обработку файлов «cookie».

5. Способы обработки: сбор, запись, систематизация, накопление, хранение, уточнение (обновление, изменение), извлечение, использование, передача (доступ, предоставление), блокирование, удаление, уничтожение персональных данных.

6. Срок обработки и хранения: до получения от Субъекта персональных данных требования о прекращении обработки/отзыва согласия.

7. Способ отзыва: заявление об отзыве в письменном виде путём его направления на адрес электронной почты Оператора: info@rcsi.science или путем письменного обращения по юридическому адресу: 119991, г. Москва, Ленинский просп., д.32А

8. Субъект персональных данных вправе запретить своему оборудованию прием этих данных или ограничить прием этих данных. При отказе от получения таких данных или при ограничении приема данных некоторые функции Сайта могут работать некорректно. Субъект персональных данных обязуется сам настроить свое оборудование таким способом, чтобы оно обеспечивало адекватный его желаниям режим работы и уровень защиты данных файлов «cookie», Оператор не предоставляет технологических и правовых консультаций на темы подобного характера.

9. Порядок уничтожения персональных данных при достижении цели их обработки или при наступлении иных законных оснований определяется Оператором в соответствии с законодательством Российской Федерации.

10. Я согласен/согласна квалифицировать в качестве своей простой электронной подписи под настоящим Согласием и под Политикой обработки персональных данных выполнение мною следующего действия на сайте: https://journals.rcsi.science/ нажатие мною на интерфейсе с текстом: «Сайт использует сервис «Яндекс.Метрика» (который использует файлы «cookie») на элемент с текстом «Принять и продолжить».