Мониторинг внутренней температуры активных элементов мощных лазеров методом ультразвуковой локации
- Authors: Мансфельд А.Д.1, Беляев Р.В.1, Волков Г.П.1, Кузьмин А.А.1, Санин А.Г.1, Шайкин А.А.1
-
Affiliations:
- ИПФ РАН
- Issue: Vol 70, No 1 (2024)
- Pages: 57-64
- Section: ФИЗИЧЕСКАЯ АКУСТИКА
- URL: https://journals.rcsi.science/0320-7919/article/view/259362
- DOI: https://doi.org/10.31857/S0320791924010086
- EDN: https://elibrary.ru/ZOBTSA
- ID: 259362
Cite item
Full Text
Abstract
Контроль внутренней температуры активных элементов (АЭ) мощных лазеров необходим для их безопасной работы. В статье описана методика и устройство для мониторинга внутренней температуры АЭ лазеров. Измерения основаны на импульсном ультразвуковом (УЗ) зондировании и зависимости от температуры скорости звука в материале АЭ. Изменение скорости звука приводит к изменению фазы УЗ сигнала, прошедшего через объект, которое регистрируется описываемым устройством. Представлены результаты мониторинга температуры АЭ с помощью ультразвукового зондирования в процессе работы действующей лазерной установки.
Full Text
ВВЕДЕНИЕ
В настоящее время при создании мощных лазеров используются активные элементы (АЭ) из стекла, допированного неодимом. Стеклянные усилители имеют ряд преимуществ: большая апертура, высокое оптическое качество, высокая оптическая стойкость [1]. Основным фактором, ограничивающим использование таких АЭ в оптических усилителях, является их разрушение при превышении градиентом температуры определенного значения. Стремление получить максимально возможную частоту следования лазерных импульсов приводит к необходимости работать близко к порогу разрушения АЭ.
Один из методов контроля распределения температуры в АЭ был разработан непосредственно участниками авторского коллектива (см. [1, 2]). Метод заключается в измерении поляризационных искажений излучения, прошедшего через активный элемент. На основе этих измерений рассчитывались распределение температуры (в динамике) и термонаведенные упругие и фазовые искажения излучения. Альтернативный интерферометрический оптический метод определения распределения температуры также использовался авторами в работе [3], в которой активный элемент помещался в интерферометр Маха–Цендера, измерялись термонаведенные набеги фаз собственных волн (радиально и тангенциально поляризованных для стержневой геометрии активного элемента), и по ним восстанавливалось распределение температуры. Оба метода показали хорошее совпадение полученных результатов. К недостаткам этих методов необходимо отнести необходимость знания большого количества параметров активного элемента, к которым, в частности, относятся как простые с точки зрения определения характеристики – плотность, теплоемкость, теплопроводность, – так и нетривиальные – модуль упругости, коэффициент Пуассона, коэффициент температурного расширения, компоненты фотоупругого тензора. Все эти характеристики нами брались из справочной статьи по оптическим стеклам [4], однако вопрос точности определения этих характеристик, а также их изменение при переходе к использованию другого, близкого по составу и лазерным свойствам стеклу, параметры которого не отражены в справочнике и не приводятся производителем, остается открытым. К тому же данные методы требуют вмешательства в оптическую схему лазерной установки и практически нереализуемы для диагностики распределения температуры в режиме реального времени на действующем лазере. Требуется использование большого количества дополнительных оптических элементов, а также привлечение сторонних сканирующих лазерных источников. Если же в качестве сканирующего излучения использовать непосредственно рабочее лазерное излучение, то картина измерений будет сильно неточной. Поскольку рабочий лазерный пучок имеет апертуру меньше апертуры активных элементов, то измерять с его помощью температуру вблизи образующей активных элементов, где и сосредоточен основной нагрев после выстрелов, невозможно. К тому же на вход каждого последующего элемента рабочий лазерный пучок приходит уже искаженным предыдущими элементами, что значительно затрудняет измерения даже в области, занятой лазерным излучением. Таким образом, возникает необходимость разработки альтернативных малоинвазивных в оптическую схему лазера методов измерения температуры в режиме реального времени.
Рассматриваемый в статье метод относится именно к таким методам. Альтернативные оптические методы, разработанные и использованные нами ранее, можно использовать в дальнейшем для верификации нового метода. В данной статье приводятся результаты измерения температуры, усредненной вдоль ультразвукового пучка, однако существует принципиальная возможность восстановить и распределение температуры в активном элементе по нескольким измерениям, проведенным для разных траекторий распространения ультразвуковых волн. Предлагаемый метод не требует установки в оптическую схему дополнительных элементов, а конструктивные изменения усилителей незначительны и могут быть легко реализованы. Несмотря на внешнюю простоту, данный метод демонстрирует высокую чувствительность к изменению температуры АЭ.
В данной работе для контроля внутренней температуры АЭ предлагается использовать ультразвуковую (УЗ) локацию с регистрацией фазы прошедшей через образец УЗ волны, изменяющейся вследствие зависимости скорости звука от температуры. При соответствующей калибровке можно оценить среднюю температуры образца вдоль направления распространения ультразвукового пучка. Для этого построена УЗ установка и проведены измерения, описанные ниже.
МЕТОДИКА ИЗМЕРЕНИЯ И БЛОК-СХЕМА ПРИБОРА
В основу работы устройства положен метод, основанный на зависимости от температуры скорости звука в материале АЭ. Подобная методика по измерению внутренней температуры на основе ультразвуковой локации рассматривалась в работе [5]. В работе [6] приведены результаты измерений температурной зависимости скорости звука в кварцевых стеклах. В работе [7] показана возможность измерения температуры в стекловолокне. К сожалению, примененные в этих работах схемы измерений для нашей работы не подходят, т. к. условия измерений (геометрия и габариты объекта, величина изменения температуры и т. д.) значительно отличаются.
В данной работе применен фазовый метод, при котором регистрируются изменения фазы прошедшего через образец (в данном случае АЭ) УЗ сигнала вследствие изменения скорости звука. Необходимость применения фазового метода связана с малым изменением скорости звука в рабочем диапазоне температур, а соответственно, и малым изменением времени задержки импульсов при изменении температуры. Кроме того, вследствие ограниченного доступа к поверхности АЭ в действующей установке не представляется возможным оптимальным образом разместить УЗ датчики. Поэтому при измерениях в исследуемом образце возбуждаются различные типы волн с разными скоростями и путями распространения, что формирует в исследуемом образце сложную акустическую картину. Для надежной регистрации волны определенного типа и отстройки по времени прихода УЗ импульсов на приемник от прочих волн устройство работает в импульсно-когерентном режиме излучения.
Блок схема устройства представлена на рис. 1. Формирователь управляющих сигналов генерирует радиоимпульсы с заполнением синусоидальным сигналом несущей частоты, с периодом повторения импульсов 1 мс, которые подаются на ультразвуковой передатчик. Ультразвуковые импульсы излучаются пьезокерамическим преобразователем. Принятый сигнал с выхода приемного пьезопреобразователя после амплитудного ограничителя усиливается. Необходимость амплитудного ограничителя объясняется тем, что импульс накачки лазера (далее “выстрел”) приводит к появлению сильных сигналов на выходе преобразователя. Эти сигналы связаны с появлением сильного светового воздействия на датчик и акустической помехи (хлопка) в момент выстрела. Отсутствие ограничителя приводит к выходу из строя входного усилителя. Усиленные импульсы поступают на балансные фазовые детекторы (ФД) с временем интегрировании 2 мкс. На фазовые детекторы также подаются сигналы когерентных гетеродинов, сдвинутые по фазе между собой на 90°. Фазы гетеродинов синхронны с фазой зондирующего импульса. На выходах ФД получаются видеоимпульсы, амплитуды которых пропорциональны синусу и косинусу сдвига фазы между сигналом и соответствующим гетеродином. Пример осциллограмм в одном из каналов показан на рис. 2.
Рис. 1. Блок схема ультразвукового локатора. ФД – фазовый детектор, УВХ – устройство выборки-хранения, АЦП – аналого-цифровой преобразователь, СИ – стробирующий импульс. 1 – радиоимпульс, 2 – видеоимпульс, 3 – СИ.
Рис. 2. (а) – Принятый и усиленный радиоимпульс, (б) – видеоимпульс с выхода фазового детектора, (в) – строб-импульс.
С выходов ФД сигналы поступают в устройства выборки-хранения (УВХ), на которые поступают стробирующие импульсы (СИ). СИ задержаны относительно момента зондирования таким образом, чтобы выделить полезный сигнал с определенным типом волны, прошедший через АЭ. После УВХ сигналы фильтруются, и постоянные напряжения, пропорциональные произведению амплитуды сигнала на косинус сдвига фазы в одном канале и произведению амплитуды и синусу сдвига фазы в другом канале, поступают на входы АЦП (выражения (1) и (2)). Далее производится обработка сигналов в соответствии с (3).
При нагреве скорость звука уменьшается и импульс смещается вправо по времени задержки, поэтому при начальной температуре (в “холодном” состоянии) строб-импульс устанавливается в правой части видеоимпульса.
Входные квадратурные сигналы U и V выражаются следующим образом:
(1)
(2)
где A(t) – огибающая импульса, k – волновое число, L – расстояние, пройденное УЗ волной, φ0 – начальная фаза, f – несущая частота сигнала, c – скорость звука.
Далее сигналы поступают в аналого-цифровой преобразователь и затем в компьютер. Вычисляется текущая фаза:
(3)
При этом результат измерения фазы не зависит от амплитуды сигнала A(t). Изменение фазы УЗ волны вдоль трассы ее распространения относительно начальной фазы для исследуемого образца при изменении его температуры может быть представлено как:
(4)
где c0 – начальная скорость звука в образце, Δc(T) = KΔT – приращение скорости звука, зависящее от температуры, K – температурный коэффициент изменения скорости звука. Эффект от изменения фазы УЗ волны из-за увеличения длины пути распространения акустической волны вследствие теплового расширения АЭ на несколько порядков меньше [4] и здесь не учитывается.
В первом приближении нагрев цилиндрического АЭ в квантроне можно считать изотропным по углу с радиальной зависимостью приращения температуры ΔT(r), тогда выражение (4) примет вид:
(5)
где R – радиус АЭ, ΔTср – среднее приращение температуры вдоль трассы распространения УЗ импульса. Отсюда изменение средней температуры:
(6)
где τ – время распространения УЗ волны.
Для определения типа принимаемой волны по времени задержки ее распространения в образце необходимо определить величину скорости звука c0. Данные по измерению скоростей звука в образцах стекол разного типа представлены в работе [8]. Показано, что в стеклах разных типов изменение скорости ультразвука находится в диапазоне 0.5–1 м/(с°C) на фоне скорости 4500–5000 м/с. Таким образом, изменения скорости звука составляют доли процента даже при изменении температуры на 10°C.
Вычислить средние значения скорости звука для продольной и поперечной волн возможно в соответствии с выражениями:
(7)
(8)
где E – модуль Юнга, ν – коэффициент Пуассона, ρ – плотность материала.
В работе [4] для стекла ГЛС22, из которого изготовлен исследуемый нами образец АЭ, приводятся следующие механические характеристики: E = 5.570 × 1010 Н/м, ν = 0.28, ρ = 3.51 × 103 кг/м3. Из выражений (7), (8) для представленных данных скорости равны cL = 4.5 × 103 м/с и cT = 2.48 × 103 м/с. На нашем образце экспериментально измерены скорости звука cL = 4.498 × 103 м/с и cT = = 2.52 × 103 ± 30 м/с.
КАЛИБРОВКА
Коэффициент пропорциональности между приращением температуры исследуемого образца и приращением фазы УЗ волны (6) зависит от ряда величин, которые не приводятся производителем АЭ и могут меняться от образца к образцу. Однако его можно измерить непосредственно в результате калибровки в термостате. При установившихся состояниях средняя температура образца будет соответствовать температуре на его поверхности, которую достаточно просто контролировать.
На рис. 3 продемонстрированы графики изменения фазы сигнала и температуры на поверхности АЭ для поперечной компоненты УЗ сигнала, использовавшейся в экспериментах. Температура на поверхности АЭ рядом с приемным пьезопреобразователем регистрировалась внешним датчиком AD22100 (Analog Devices Inc.). Калибровка этого датчика производилась с использованием термометра Testo 735–2 (Testo SE & Co.) с абсолютной точностью 0.2°. Отметим, что кривая фазы опаздывает при нагреве и охлаждении по отношению к кривой температуры на поверхности образца. Немонотонность кривой температуры (фактически на поверхности АЭ) в начале этапа нагрева связана с работой автоматики термостата. На кривой фазы эта неравномерность ожидаемо отсутствует, т. к. изменение фазы отражает изменение температуры АЭ по всему его объему.
Рис. 3. Изменение температуры на поверхности АЭ (кривая 1, правая шкала) и фазы УЗ (кривая 2, левая шкала) для поперечной компоненты УЗ волны в процессе нагрева и охлаждения АЭ.
На данном образце АЭ при данной геометрии расположения датчиков для поперечной УЗ волны коэффициент пропорциональности между приращением температуры и приращением фазы УЗ волны ∆T/∆φ составил 4.7 ± 0.1°C/рад. Относительная ошибка измерений по среднеквадратичному отклонению измеряемых величин в стационарных состояниях составила: для приращения температуры 0.3%, для приращения фазы 0.55%. Таким образом, суммарная погрешность при калибровке не превышает 1%. Естественно, при наличии помех от систем лазерной установки ошибка может расти.
ЭКСПЕРИМЕНТ
Отметим, что условия УЗ измерений на АЭ в составе действующей установки весьма сложны. Например, преобразователи невозможно установить на торцы АЭ, т. к. они будут мешать работе лазера (перекроют оптический пучок). Вариант расположения датчиков на образующих поверхностях АЭ в перпендикулярной к оптической оси плоскости вынуждает располагать акустические датчики внутри колбы охлаждения, что невозможно реализовать в настоящий момент, т. к. требует серьезного вмешательства в конструкцию квантрона.
Экспериментальные исследования проводились на одном из квантронов действующего лазерного комплекса PEARL [9]. На рис. 4 показаны конструкция квантрона и схема локации. На рис. 5 представлена фотография квантрона с установленными датчиками.
Рис. 4. Упрощенная схема квантрона и пути распространения регистрируемой поперечной компоненты УЗ сигнала (пунктирная линия). 1 – АЭ, 2 – лампы накачки, 3 – колба охлаждения с водой, 4 – излучатель, 5 – приемник.
Рис. 5. Фотография квантрона. Положение ультразвуковых датчиков показано стрелками. На первом изображении можно видеть внешний термодатчик под силиконовым прижимным кольцом, диаметрально напротив расположен приемный пьезопреобразователь.
Эксперименты проводились на цилиндрическом АЭ из стекла ГЛС22 диаметром 100 мм и длиной 350 мм. Для установки УЗ датчиков была доступна свободная поверхность порядка 30 мм с одной стороны АЭ и менее 5 мм с другой. Датчики фиксировались с помощью резинового кольца со свободной стороны АЭ и зажимались под фланцем с другой стороны АЭ.
Длительность токового импульса накачки в лампах составляла примерно 300 мкс, энергия порядка 30 кДж. Теплоемкость АЭ около 5.6 кДж/K (удельная теплоемкость – 565.2 Дж/(кг К), плотность – 3510 кг/м3), температуропроводность ГЛС22 2.69 × × 10–8 м2/с [4]. В соответствии с нашими оценками [2] за один импульс накачки средняя по объему АЭ температура возрастает примерно на 1 К, что составляет порядка 18% от энергии разряда ламп накачки и является типичной величиной для подобных лазеров [1].
Зондирование производилось ультразвуковыми импульсами вдоль АЭ. Как видно из рис. 4, преобразователи могут располагаться лишь на краях АЭ вне колбы охлаждения. Ограниченность доступного пространства для расположения преобразователей ограничивает и их размеры по длине и по высоте. Из-за ограничения по высоте использовались плоские ультразвуковые преобразователи. Поэтому условия излучения продольной и поперечной волн одновременно не оптимальны. Использование, например, призм, невозможно из-за ограниченного свободного пространства для размещения датчиков.
Несущая частота ультразвуковых импульсов 1.5 МГц, длительность 16 периодов несущей частоты. В измерениях использовались плоские пьезопреобразователи размером 5 × 7 мм с резонансной частотой 2.7 МГц (выше несущей частоты) для уменьшения собственных колебаний датчиков.
На рис. 6 показаны импульсы, прошедшие через АЭ. Тип волны и траектория пучка определялась по задержке и известной скорости звука для данной волны. По задержке импульс 2 соответствует боковому лепестку диаграммы направленности продольной волны, прошедшей по диагонали АЭ (напрямую от излучателя к приемнику). Импульс 3 соответствует прохождению поперечной волны по диагонали АЭ, а импульс 4 соответствует рэлеевской волне, распространяющейся по спирали вокруг АЭ. При использованных датчиках и их расположении максимальная амплитуда импульса, прошедшего через АЭ, соответствует поперечной волне (импульс 5), распространяющейся с отражениями от границ АЭ по траектории, показанной на рис. 4. Поэтому регистрировалась фаза этого импульса. Внизу показан строб-импульс, с помощью которого выделяется сигнал.
Регистрация фазы УЗ волны с импульсами накачки АЭ не синхронизирована. Поскольку решаемая нами задача нацелена на определение готовности АЭ к безопасному следующему импульсу накачки, характерное время наблюдения изменения фазы предполагается порядка сотен и даже тысяч секунд. В связи с этим в спроектированной нами системе выборка осуществляется по неэквидистантной сетке с интервалом порядка 1 с, чего вполне достаточно для данной задачи.
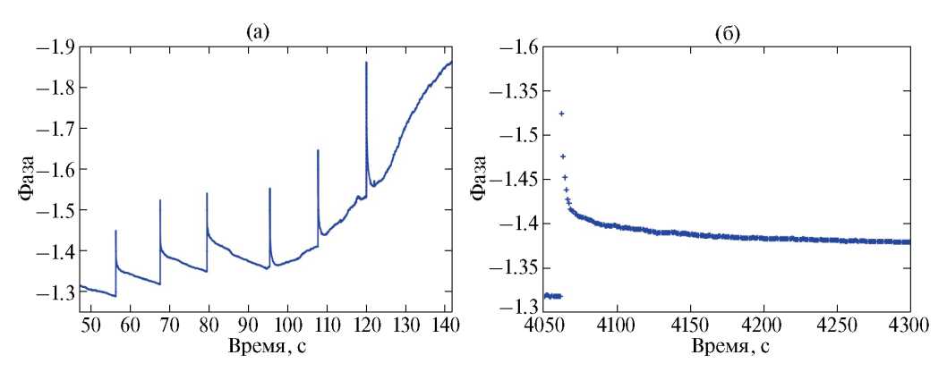
На рис. 7 представлена осциллограмма фазы УЗ волны, прошедшей через АЭ, в процессе работы лазерной установки. Резкие выбросы соответствуют импульсам накачки АЭ. Можно выделить два характерных масштаба релаксации величины фазы (а значит, и средней температуры АЭ): быстрый порядка единиц секунд непосредственно после импульса накачки и медленный порядка десятков минут. Первая половина графика соответствует штатному режиму работы квантрона. Пользуясь данными калибровки, полученными выше, можно оценить повышение средней температуры АЭ на величину порядка 0.2 К при периоде импульсов накачки около 12 мин. Вторая половина – работа квантрона с остановленной помпой контура охлаждения. Во втором случае ожидаемо наблюдается дополнительный рост средней температуры АЭ вследствие теплопередачи от нагретого блока ламп накачки (в первом случае это дополнительное тепло отводилось проточной охлаждающей жидкостью).
Рис. 6. Типичная осциллограмма УЗ сигнала в АЭ. Цифрами обозначены: 1 – зондирующий импульс, 2 – продольная волна, 3 – рэлеевская волна, 4 – прямая поперечная волна, 5 – дважды отраженная поперечная волна. СИ – строб-импульс.
Рис. 7. (а) – Фаза прошедшей через АЭ УЗ волны, в процессе работы лазерной установки в течение нескольких импульсов накачки. Пики соответствуют моментам импульсов накачки. (б) – Динамика фазы после одного из импульсов.
Заключение
Предложен и продемонстрирован в эксперименте метод импульсного ультразвукового зондирования АЭ с измерением фазы прошедшего сигнала. Используемый фазовый метод позволяет с высокой чувствительностью регистрировать изменение внутренней температуры АЭ до десятых долей градуса. Продемонстрирована возможность регистрации изменения средней температуры АЭ в процессе функционирования мощного лазера. Показана возможность отслеживания временной динамики внутренней температуры в промежутке между импульсами накачки. На основе данной работы предполагается определить пространственное распределение температуры при зондировании вдоль нескольких направлений ультразвуковых пучков, что может дать информацию о градиенте температуры в АЭ.
Работа выполнена в рамках проекта РНФ № 22-22-20110.
About the authors
А. Д. Мансфельд
ИПФ РАН
Author for correspondence.
Email: mansfeld@ipfran.ru
Russian Federation, ул. Ульянова 46, Нижний Новгород, 603950
Р. В. Беляев
ИПФ РАН
Email: mansfeld@ipfran.ru
Russian Federation, ул. Ульянова 46, Нижний Новгород, 603950
Г. П. Волков
ИПФ РАН
Email: volkov@ipfran.ru
Russian Federation, ул. Ульянова 46, Нижний Новгород, 603950
А. А. Кузьмин
ИПФ РАН
Email: mansfeld@ipfran.ru
Russian Federation, ул. Ульянова 46, Нижний Новгород, 603950
А. Г. Санин
ИПФ РАН
Email: mansfeld@ipfran.ru
Russian Federation, ул. Ульянова 46, Нижний Новгород, 603950
А. А. Шайкин
ИПФ РАН
Email: mansfeld@ipfran.ru
Russian Federation, ул. Ульянова 46, Нижний Новгород, 603950
References
- Мак А.А., Сомс Л.Н., Фромзель В.А., Яшин В.Е. Лазеры на неодимовом стекле / Под ред. Мака А.А. М.: Наука, 1990. 287 с.
- Kuzmin A.A., Luchinin A.G., Poteomkin A.K., Soloviev A.A., Khazanov E.A., Shaikin A.A. Thermally induced distortions in neodymium glass rod amplifiers // Quantum electronics. 2009. V. 39. № 10. P. 895–900.
- Kuzmin A.A., Khazanov E.A., Shaykin A.A. Large-aperture Nd: glass laser amplifiers with high pulse repetition rate // Optics Express. 2011. V. 19. № 15. P. 14223–14232.
- Kuzmin A.A., Silin D.E., Shaykin A.A., Kozhevatov I.E., Khazanov E.A. Simple method of measurement of phase distortions in laser amplifiers // J. Opt. Soc. Am. B. 2012. V. 29. № 6. P. 1152–1156.
- Авакянц Л.И., Бужинский И.М., Корягина Е.И., Суркова В.Ф. Характеристики лазерных стекол (справочный обзор) // Квантовая электроника. 1978. Т. 5. № 4. С. 725–752.
- Горальник А.С., Кульбицкая М.Н., Михайлов И.Г., Ферштат Л.Н., Шутилов В.А. О температурной зависимости скорости звука в чистых и легированных кварцевых стеклах // Акуст. журн. 1972. Т. 18. № 3. С. 391–396.
- Гитис М.Б., Михайлов И.Г., Шутилов В.А. Измерение температурной зависимости скорости звука в твердых образцах малых размеров // Акуст. журн. 1969. Т. 15. № 1. С. 28–32.
- Казаковa В.В., Каменский В.А. Дистанционный индикатор температуры торца оптоволокна для лазерной хирургии // Приборы и техника эксперимента. 2023. № 2. С. 110–114.
- Михайлов И.Г., Соловьев В.А., Сырников Ю.П. Основы молекулярной акустики / Под ред. Михайлова И.Г. М.: Наука, 1964. 514 с.
- Lozhkarev V.V., Freidman G.I., Ginzburg V.N., Katin E.V., Khazanov E.A., Kirsanov A.V., Luchinin G.A., Mal’shakov A.N., Martyanov M.A., Palashov O.V., Poteomkin A.K., Sergeev A.M., Shaykin A.A., Yakovlev I.V. Compact 0.56 petawatt laser system based on optical parametric chirped pulse amplification in KD*P crystals // Laser Phys. Lett. 2007. V. 4. № 6. P. 421–427.
- Кузьмин А.А., Хазанов Е.А., Шайкин А.А. Импульсно-периодический режим работы широкоапертурных лазерных усилителей из неодимового стекла // Квантовая Электроника. 2012. Т. 42. № 4. С. 283–291.
- Корн Г., Корн Т. Справочник по математике для научных работников и инженеров. М.: Наука, 1984.
- Тихонов А.Н., Самарский А.А. Уравнения математической физики. М.: Наука, 1977.
Supplementary files









