Взаимодействие мод на киле тороса в широкой полосе частот
- Авторы: Григорьев В.А.1,2, Луньков А.А.3,4
-
Учреждения:
- Воронежский государственный университет
- Институт общей физики им. А.М. Прохорова Российской Академии наук
- Институт общей физики им. А.М. Прохорова РАН
- Московский государственный технический университет им. Н.Э. Баумана
- Выпуск: Том 69, № 4 (2023)
- Страницы: 453-464
- Раздел: АКУСТИКА ОКЕАНА. ГИДРОАКУСТИКА
- URL: https://journals.rcsi.science/0320-7919/article/view/134458
- DOI: https://doi.org/10.31857/S0320791923600178
- EDN: https://elibrary.ru/AFIOKL
- ID: 134458
Цитировать
Полный текст
Аннотация
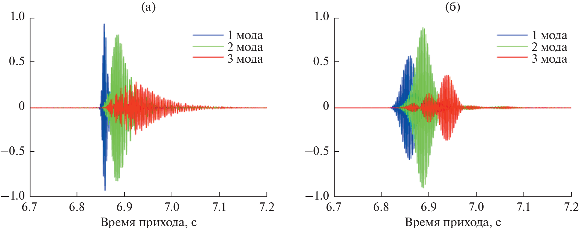
В рамках численного моделирования исследуется возможность дистанционного акустического мониторинга килей торосов в мелководных волноводах, покрытых льдом. Рассматривается среднестатистический для арктического региона торос с осадкой киля 8 м, помещенный в волновод глубиной 40 м. Предполагается, что гряда тороса перпендикулярна акустической трассе, длина которой 10 км. Используется точечный широкополосный источник и вертикальная приемная антенна, необходимая для выделения модальных амплитуд. Показано, что взаимодействие мод на киле достаточно ярко проявляется в модуляции амплитуд мод в широкой полосе частот. Предложена методика анализа этой модуляции с помощью построения кепстрограмм (спектрограмм от спектра). На кепстрограммах выявляются дисперсионные кривые, соответствующие парам взаимодействующих мод. Затем по расположению дисперсионных кривых на кепстрограмме можно оценить местоположение киля на трассе.
Ключевые слова
Об авторах
В. А. Григорьев
Воронежский государственный университет; Институт общей физики им. А.М. Прохорова Российской Академии наук
Email: grig4@yandex.ru
Россия, 394018, Воронеж, Университетская пл. 1; Россия, 119991, Москва, ул. Вавилова 38
А. А. Луньков
Институт общей физики им. А.М. Прохорова РАН; Московский государственный технический университет им. Н.Э. Баумана
Автор, ответственный за переписку.
Email: lunkov@kapella.gpi.ru
Россия, 119991, Москва, ул. Вавилова, 38; Россия, 105005, Москва, ул. 2-я Бауманская, 5
Список литературы
- Strub-Klein L., Sudom D. A comprehensive analysis of the morphology of first-year sea ice ridges // Cold Regions Science and Technology. 2012. V. 82. P. 94–109.
- Wadhams P. A farewell to ice: a report from the Arctic. Oxford University Press, 2017. 240 p.
- Иванов Б.В. Особенности турбулентного теплообмена вблизи всторошенных участков морского льда // Проблемы Арктики и Антарктики. 2020. Т. 66. № 3. С. 364–380.
- Огородов С.А., Баранская А.В., Белова Н.Г., Кокин О.В., Маслаков А.А., Алексютина Д.М., Мазнев С.В., Новикова А.В., Селюженок В.В., Шабанова Н.Н., Вергун А.П., Кондратьева Д.М. Атлас абразионной и ледово-экзарационной опасности прибрежно-шельфовой зоны Российской Арктики. МГУ, 2020. https://arcticcoast.ru/
- Порубаев В.С. Максимальная осадка килей гряд торосов в глубоководной части Северного Ледовитого океана // Проблемы Арктики и Антарктики. 2014. № 2 (100). С. 75–81.
- Огородов С.А., Баранская А.В., Белова Н.Г., Богатова Д.М., Кокин О.В., Маслаков А.А., Шабанова Н.Н., Мазнев С.В., Новикова А.В., Кондратьева Д.М., Вергун А.П. Атлас абразионной и ледово-экзарационной опасности прибрежно-шельфовой зоны российской Арктики // Современные исследования трансформации криосферы и вопросы геотехнической безопасности сооружений в Арктике / Под ред. Мельникова В.П. и Садуртдинова М.Р. Салехард: 2021. С. 315–318.
- Diachok O.I. Effects of sea-ice ridges on sound propagation in the Arctic Ocean // J. Acoust. Soc. Am. 1976. V. 59. № 5. P. 1110–1120.
- Кудряшов В.М. Расчет звукового поля в арктическом волноводе // Акуст. журн. 1996. Т. 42. № 3. С. 438–442.
- Hope G., Sagen H., Storheim E., Hobaek H. Measured and modeled acoustic propagation underneath the rough Arctic sea-ice // J. Acoust. Soc. Am. 2017. V. 142. № 3. P. 1619–1633.
- Ballard M.S. Three-dimensional acoustic propagation effects induced by the sea ice canopy // J. Acoust. Soc. Am. 2019. V. 146. № 4. P. EL364–EL368.
- Балакин Р.А., Вилков Г.И. Адаптация гидроакустического канала связи с технологией OFDM к негативному влиянию дрейфующего ледяного покрова // Акуст. журн. 2019. Т. 65. № 2. С. 223–231.
- Mikhalevsky P.N., Gavrilov A.N. Acoustic thermometry in the Arctic Ocean // Polar Research. 2001. V. 20. № 2. P. 185–192.
- Луньков А.А., Шерменева М.А. Взаимодействие мод на сосредоточенной неоднородности в мелководном акустическом волноводе в широкой полосе частот // Акуст. журн. 2022. Т. 68. № 5. С. 510–519.
- Андреев О.М. Учет внутренней структуры киля тороса при термодинамических расчетах эволюции консолидированного слоя // Лед и снег. 2020. Т. 60. № 4. С. 547‑556.
- Collis J.M., Frank S.D., Metzler A.M., Preston K.S. Elastic parabolic equation and normal mode solutions for seismo-acoustic propagation in underwater environments with ice covers // J. Acoust. Soc. Am. 2016. V. 139. № 5. P. 2672–2682.
- Рожин Ф.В., Тонаканов О.С. Общая гидроакустика. М.: Издательство Московского университета, 1988. 160 с.
- Katsnelson B., Petnikov V., Lynch J. Fundamentals of Shallow Water Acoustics. New York, Dordrecht, Heildelberg, London: Springer, 2012. 540 p.
- Григорьев В.А., Кучер К.М., Луньков А.А., Макаров М.М., Петников В.Г. Акустические характеристики дна озера Байкал // Акуст. журн. 2020. Т. 66. № 5. С. 517–526.
- Григорьев В.А., Петников В.Г. О возможности представления акустического поля в мелком море в виде суммы нормальных мод и квазимод // Акуст. журн. 2016. Т. 62. № 6. С. 681–698.
- Григорьев В.А. Оценка скорости звука в газонасыщенном слое осадков по времени прихода сигнала послевестника // Акуст. журн. 2022. Т. 68. № 3. С. 288–299.
- Grigor’ev V.A., Lunkov A.A., Petnikov V.G. Effect of Sound-Speed Inhomogeneities in Sea Bottom on the Acoustic Wave Propagation in Shallow Water // Physics of Wave Phenomena. 2020. V. 28. № 3. P. 255–266.
- Тихонов А.Н., Васильева А.Д., Свешников А.Г. Дифференциальные уравнения. М.: Наука, 1980. 231 с.
- Гантмахер Ф.Р. Теория матриц. М.: Физматлит, 2010. 559 с.
- Нечаев А.Г., Хилько А.И. Дифференциальная акустическая диагностика случайных неоднородностей океана // Акуст. журн. 1988. Т. 34. № 2. С. 285–289.
- Нечаев А.Г., Хилько А.И. Определение локальных характеристик океанических неоднородностей, распределенных вдоль акустической трассы // Акуст. журн. 1988. Т. 34. № 4. С. 694–699.
- Katsnelson B.G., Grigorev V., Badiey M., Lynch J.F. Temporal sound field fluctuations in the presence of internal solitary waves in shallow water // J. Acoust. Soc. Am. 2009. V. 126. № 1. P. EL41–EL48.
- Григорьев В.А., Кацнельсон Б.Г., Badiey M., Lynch J. Акустические эффекты, обусловленные взаимодействием мод при распространении звука в мелком море в присутствие внутренних солитонов // Сборник трудов XIX сессии Российского акустического общества. Т. 2. М.: ГЕОС, 2007. С. 183–186.
Дополнительные файлы










