Экспериментальные исследования влияния 3D-печати при 100% заполнении на упругие свойства нитевидных образцов полимера PLA
- Авторы: Володарский А.Б.1, Кокшайский А.И.1, Одина Н.И.1, Коробов А.И.1, Михалев Е.С.1, Ширгина Н.В.1
-
Учреждения:
- Московский государственный университет имени М.В. Ломоносова, Физический факультет
- Выпуск: Том 69, № 4 (2023)
- Страницы: 410-416
- Раздел: НЕЛИНЕЙНАЯ АКУСТИКА
- URL: https://journals.rcsi.science/0320-7919/article/view/134453
- DOI: https://doi.org/10.31857/S0320791922600536
- EDN: https://elibrary.ru/QRMALS
- ID: 134453
Цитировать
Полный текст
Аннотация
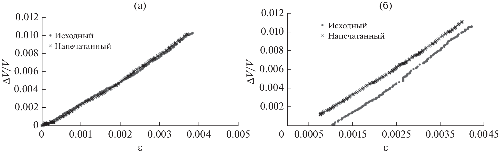
Приведены результаты экспериментальных исследований влияния 3D-печати при 100% заполнении на упругие свойства нитевидных образцов полимера PLA. Статическим методом и методом Терстона–Браггера одновременно измерены зависимость деформации и относительного изменения скорости упругих волн от приложенного механического напряжения (вплоть до разрыва) для исходного и 3D-напечатанного образцов полимера PLA. По результатам измерений рассчитаны линейный и нелинейный модули Юнга и акустический нелинейный параметр второго порядка. Установлено, что 3D-печать приводит к ухудшению прочностных и пластических характеристик полимера PLА. Обнаружено различное поведение нелинейных параметров исходного и 3D-напечатанного образцов полимера PLA в области нагрузки и разгрузки, которое связывается с изменением внутренней структуры образца, вызванным 3D-печатью.
Об авторах
А. Б. Володарский
Московский государственный университет имени М.В. Ломоносова, Физический факультет
Email: aikor42@mail.ru
Россия, 119991 ГСП-1, Москва, Ленинские горы 1, стр. 2
А. И. Кокшайский
Московский государственный университет имени М.В. Ломоносова, Физический факультет
Email: aikor42@mail.ru
Россия, 119991 ГСП-1, Москва, Ленинские горы 1, стр. 2
Н. И. Одина
Московский государственный университет имени М.В. Ломоносова, Физический факультет
Email: aikor42@mail.ru
Россия, 119991 ГСП-1, Москва, Ленинские горы 1, стр. 2
А. И. Коробов
Московский государственный университет имени М.В. Ломоносова, Физический факультет
Автор, ответственный за переписку.
Email: aikor42@mail.ru
Россия, 119991 ГСП-1, Москва, Ленинские горы 1, стр. 2
Е. С. Михалев
Московский государственный университет имени М.В. Ломоносова, Физический факультет
Email: aikor42@mail.ru
Россия, 119991 ГСП-1, Москва, Ленинские горы 1, стр. 2
Н. В. Ширгина
Московский государственный университет имени М.В. Ломоносова, Физический факультет
Email: aikor42@mail.ru
Россия, 119991 ГСП-1, Москва, Ленинские горы 1, стр. 2
Список литературы
- Schumacher C., Bickel B., Rys J., Marschner S., Daraio C., Gross M. Microstructures to control elasticity in 3D printing // ACM Trans. Graph. 2015. V. 34. P. 136:1–136:13.
- Cantrell J., Rohde S., Damiani D., Gurnani R., DiSandro L., Anton J., Young A., Jerez A., Steinbach D., Kroese C., Ifju P. Experimental Characterization of the Mechanical Properties of 3D Printed ABS and Polycarbonate Parts // Advancement of Optical Methods in Experimental Mechanics. 2017. V. 3. P. 89–105.
- Kao Y., Zhang Y., Wang J., Tai B.L. Loading–unloading cycles of three-dimensional-printed built bimaterial structures with ceramic and elastomer // J. Manuf. Sci. Eng. 2016. V. 139. P. 041006–041006-6.
- Zou R., Xia Y., Liu S., Hu P., Hou W., Hu Q., Shan C. Isotropic and anisotropic elasticity and yielding of 3D printed material // Compos. Part B Eng. 2016. V. 99. P. 506–513.
- Бошняк В.А., Языков А.В. Оценка возможности применения изделий из пластмасс, созданных посредством послойной наплавки материала, в силовой оснастке лабораторных установок // Наука и Образование. МГТУ им. Н.Э. Баумана. 2016. С. 311–320.
- Martin J.H., Yahata B.D., Hundley J.M., Mayer J.A., Schaedler T.A., Pollock T.M. 3D printing of high-strength aluminium alloys // Nature. 2017. V. 549. P. 365–369.
- Ma C., Dong Y., Ye C. Improving surface finish of 3D-printed metals by ultrasonic nanocrystal surface modification // Procedia CIRP. 2016. V. 45. P. 319–322.
- Schulze C., Weinmann M., Schweigel C., Keßler O., Bader R. Mechanical properties of a newly additive manufactured implant material based on Ti–42Nb // Materials (Basel). 2018. V. 11. P. 13–16.
- Ланцова Ю.А., Павленко Т.Г. 3D принтеры // Физика и современные технологии в АПК: материалы ХI Всероссийской молодежной конференции молодых ученых, студентов и школьников с международным участием, Орел, 19 февраля 2020 г. Орловский государственный аграрный университет им. Н.В. Парахина. Орел: ООО Полиграфическая фирма “Картуш”, 2020. С. 45–48.
- Wang J., Goyanes A., Gaisford S., Basit A.W. Stereolithographic (SLA) 3D printing of oral modified-release dosage forms // Int. J. Pharmaceutics. 2016. V. 503. P. 207–212.
- Msallem B., Sharma N., Cao S., Halbeisen F.S., Zeilhofer H.F., Thieringer F.M. Evaluation of the dimensional accuracy of 3D-printed anatomical mandibular models using FFF, SLA, SLS, MJ, and BJ printing technology // J. clinical medicine. 2020. V. 9. P. 817.
- Murr L.E., Martinez E., Amato K.N., Gaytan S.M., Hernandez J., Ramirez D.A., Shindo P.W., Ryan F.M., Wicker R.B. Fabrication of metal and alloy components by additive manufacturing: examples of 3D materials science // J. Materials Research and technology. 2012. V. 1. P. 42–54.
- Doshi M., Mahale A., Singh S.K., Deshmukh S. Printing parameters and materials affecting mechanical properties of FDM-3D printed Parts: Perspective and prospects // Materials Today: Proc. 2021. V. 50. P. 2269–2275.
- Wickramasinghe S., Do T., Tran P. FDM-based 3D printing of polymer and associated composite: A review on mechanical properties, defects and treatments // Polymers. 2020. V. 12. P. 1529.
- Lim L.T., Auras R., Rubino M. Processing technologies for poly(lactic acid) // Prog. Polym. Sci. 2008. V. 33. P. 820–852.
- Nakatsuka T. Polylactic Acid-Coated Cable // Fujikura Tech. Rev. 2011. P. 39–46.
- Farah S., Anderson D.G., Langer R. Reviews Physical and mechanical properties of PLA, and their functions in widespread applications – A comprehensive review // Advanced Drug Delivery. 2016. V.107. P. 367–392.
- La Mantia F.L., Morreale M. Green composites: A brief review. Composites, Part A // Appl. Sci. Manuf. 2011. V. 42. P. 579–588.
- Hamad K., Kaseem M., Ayyoob M., Joo J., Deri F. Polylactic acid blends: The future of green, light and tough // Progress in Polymer Science. 2018. V. 85. P. 83–127.
- de Ciurana J., Serenó L., Vallès E. Selecting Process Parameters in RepRap Additive Manufacturing System for PLA Scaffolds Manufacture // Procedia CIRP. 2013. V. 5. P. 152–157.
- Fernandez-Vicente M., Calle W., Ferrandiz S., Conejero A. Effect of Infill Parameters on Tensile Mechanical Behavior in Desktop 3D Printing // 3D Printing and Additive Manufacturing. 2016. V. 3. P. 183–192.
- Wittbrodt B., Pearce J.M. The effects of PLA color on material properties of 3-D printed components // Additive Manufacturing. 2015. V. 8. P. 110–116.
- Zhao G., Gomes F.P.C., Marway H., Thompson M.R., Zhu Zh. Physical Aging as the Driving Force for Brittle–Ductile Transition of Polylactic Acid // Macromol. Chem. Phys. 2020. V. 221. P. 1900475.
- Lanzotti A., Grasso M., Staiano G., Martorelli M. The impact of process parameters on mechanical properties of parts fabricated in PLA with an open-source 3-D printer // Rapid Prototyping Journal. 2015. V. 21. P. 604–617.
- Afrose M.F., Masood S.H., Iovenitti P., Nikzad M., Sbarski I. Effects of part build orientations on fatigue behaviour of FDM-processed PLA material // Progress in Additive Manufacturing. 2016. V. 1. P. 21–28.
- Ahmed A.A., Susmel L. Additively Manufactured PLA under static loading: strength/cracking behaviour vs deposition angle // Procedia Structural Integrity. 2017. V. 3. P. 407–507.
- Oztan C., Karkkainen R., Fittipaldi M., Nygren G., Roberson L., Lane M., Celik E. Microstructure and mechanical properties of three dimensional-printed continuous fiber composites // J. Composite Materials. 2019. V. 53. P. 271–280.
- Parker N., Mather M.L., Morgan S.P., Povey M. J. Longitudinal acoustic properties of poly(lactic acid) and poly(lactic-co-glycolic acid) // Biomedical Materials. 2010. V. 5. P. 055004.
- Wua H.-C., Shenb F.-W., Honga X., Changa W.V., Winet H. Monitoring the degradation process of biopolymers by ultrasonic longitudinal wave pulse-echo technique // Biomaterials. 2003. V. 24. P. 3871–3876.
- Antoniou A., Evripidou N., Giannakou M., Constantinides G., Damianou C. Acoustical properties of 3D printed thermoplastics // J. Acoust. Soc. Am. 2021. V. 149. P. 2854–2864.
- Коробов А.И., Кокшайский А.И., Михалев Е.С., Одина Н.И., Ширгина Н.В. Исследования упругих свойств полимера PLA статическими и ультразвуковыми методами // Акуст. журн. 2021. Т. 67. № 4. С. 387–394.
- Коробов А.И., Кокшайский А.И., Михалев Е.С., Одина Н.И., Ширгина Н.В. Поправки к “Исследования упругих свойств полимера PLA статическими и ультразвуковыми методами” [Акуст. журн. 2021. Т. 67. № 4. С. 387–394] // Акуст. журн. 2023. Т. 69. № 3. С. 390.
- Saito S. Nonlinearity Parameter Measurement for Polymer Plates Using Focused Ultrasound // AIP Conf. Proc. 2008. V. 1022. P. 561–564.
- Solodov I., Pfleiderer K., Gerhard H., Busse G. Nonlinear acoustic approach to material characterization of polymers and composites in tensile tests // Ultrasonics. 2004. V. 42. P. 1011–1015.
Дополнительные файлы






