Peculiarities in the Transformation of the Profile of Acoustic Nonlinear Waves Reflected from a Stepped Structure
- Authors: Bakhtin V.K.1,2, Gurbatov S.N.1, Deryabin M.S.1,2, Kasyanov D.A.2
-
Affiliations:
- National Research Nizhny Novgorod State University, 603022, Nizhny Novgorod, Russia
- Institute of Applied Physics, Russian Academy of Sciences, 603155, Nizhny Novgorod, Russia
- Issue: Vol 69, No 3 (2023)
- Pages: 295-303
- Section: НЕЛИНЕЙНАЯ АКУСТИКА
- URL: https://journals.rcsi.science/0320-7919/article/view/134437
- DOI: https://doi.org/10.31857/S0320791922700058
- EDN: https://elibrary.ru/YJVDKQ
- ID: 134437
Cite item
Full Text
Abstract
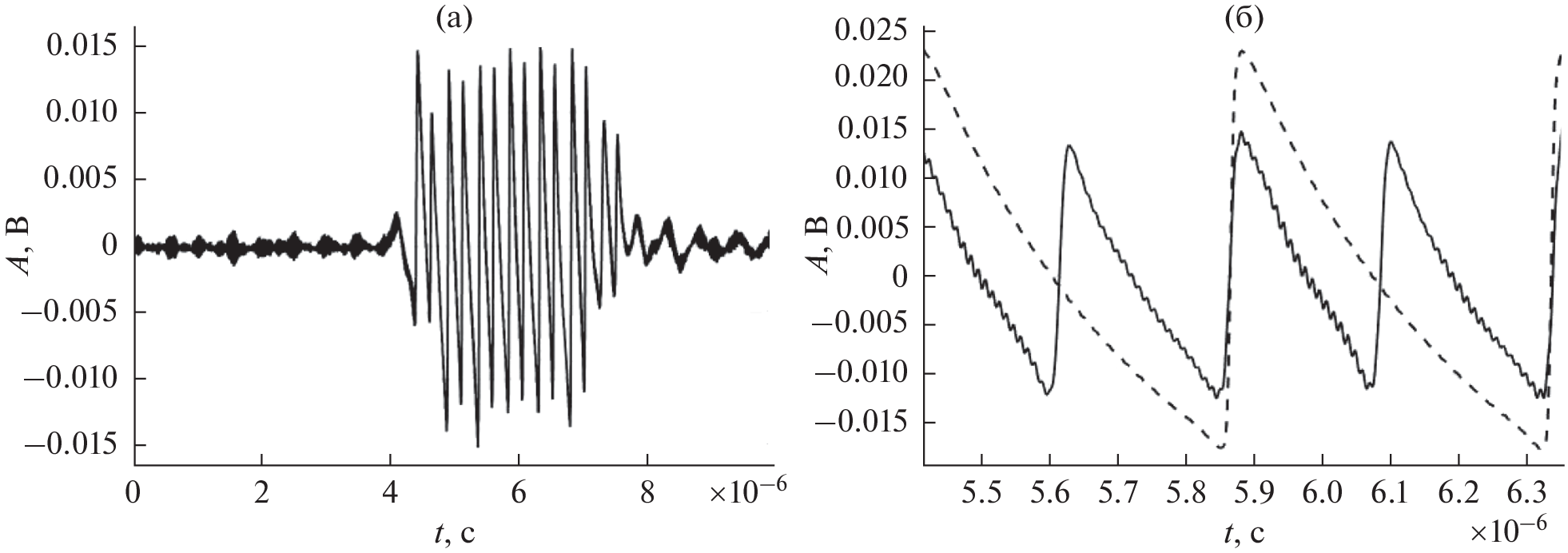
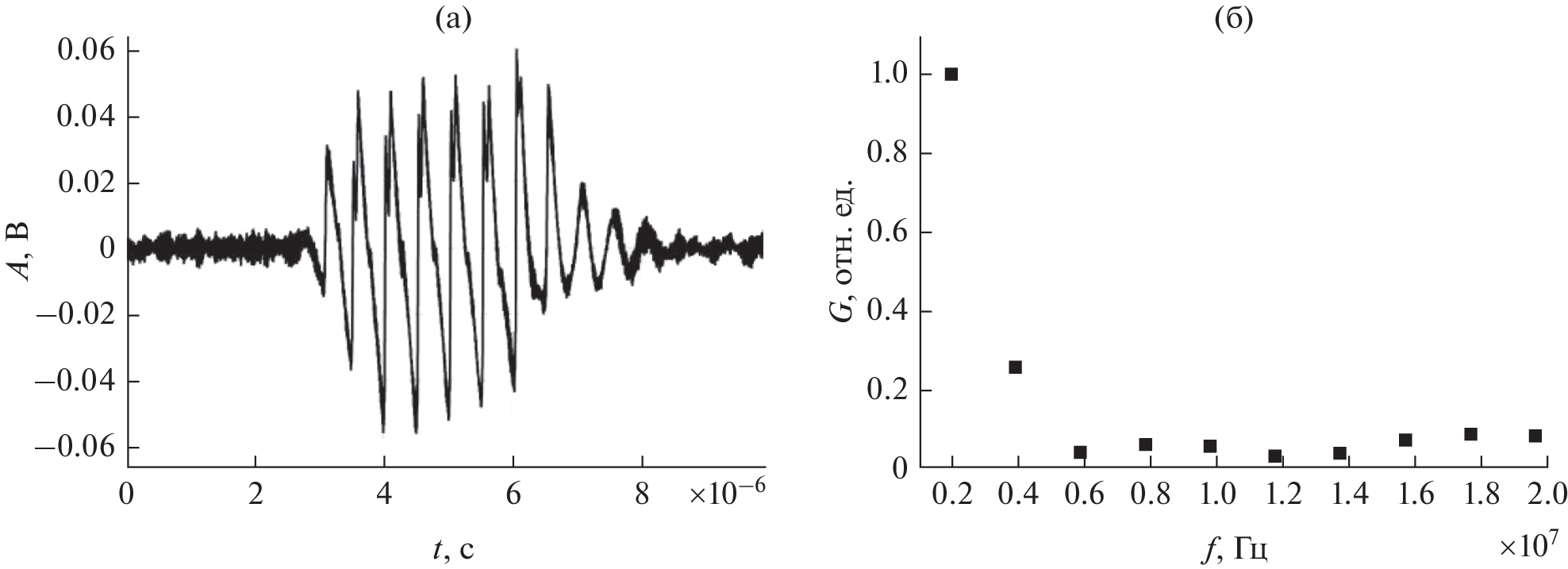
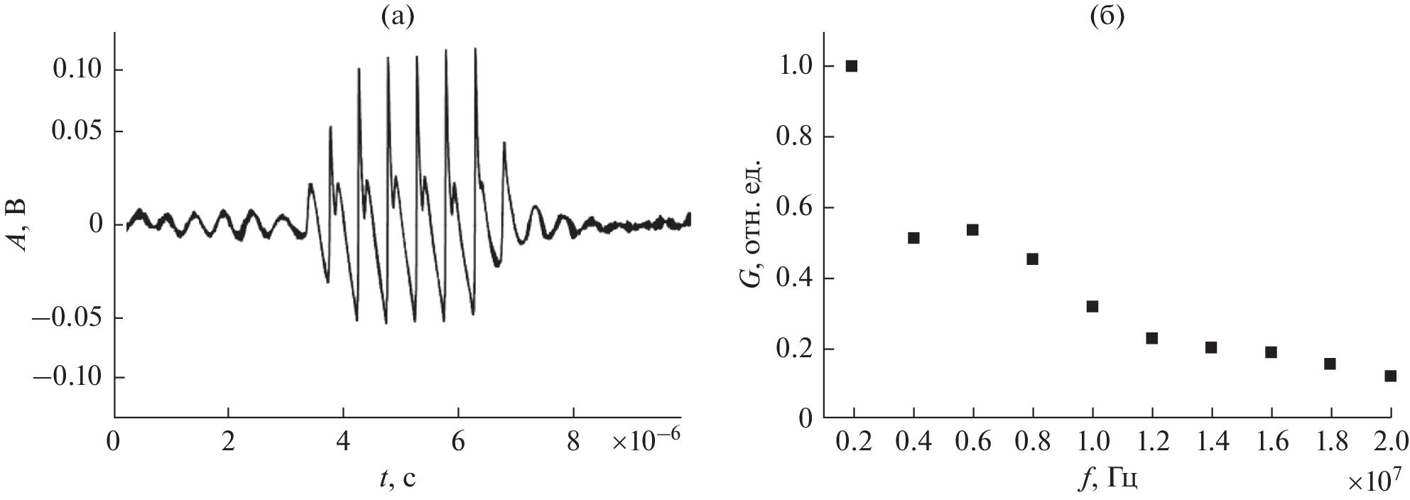
The article presents the results of studying the reflection of an intense acoustic beam from stepped structures. The case of high Reynolds numbers is considered, when a sawtooth wave profile formed in the incident beam, and an obstacle in the form of a step was located normal to the acoustic axis and behind the discontinuity coordinate. When reflected from the obstacle, the acoustic beam incident on it splits into two parts, between which there is a path difference, specified by the stepped structure itself. The experiment focused on obstacles that create a path difference between the two parts of the beam during reflection, equal to 0, λ/3, λ/2, λ, etc. A broadband membrane hydrophone was used to record the shape of the profile of nonlinear waves of the incident and reflected acoustic beams at an arbitrary spatial point. This made it possible to analyze the evolution of the beam shape with increasing distance from the obstacle, as well as to study its transverse structure. The effect of doubling the characteristic frequency of a signal as an acoustic beam is reflected from a stepped structure is shown, which creates a path difference of λ/2 between the two parts of the reflected beam. It is demonstrated that the dynamics of nonlinear effects in intense beams reflected from stepped structures is similar to the transformation of the profile of acoustic waves generated by dual-frequency pump signals.
Keywords
About the authors
V. K. Bakhtin
National Research Nizhny Novgorod State University, 603022, Nizhny Novgorod, Russia; Institute of Applied Physics, Russian Academy of Sciences, 603155, Nizhny Novgorod, Russia
Email: mmm1984@inbox.ru
Россия, 603022, Нижний Новгород, пр. Гагарина 23; Россия, 603155, Нижний Новгород, ул. Ульянова 46
S. N. Gurbatov
National Research Nizhny Novgorod State University, 603022, Nizhny Novgorod, Russia
Email: mmm1984@inbox.ru
Россия, 603022, Нижний Новгород, пр. Гагарина 23
M. S. Deryabin
National Research Nizhny Novgorod State University, 603022, Nizhny Novgorod, Russia; Institute of Applied Physics, Russian Academy of Sciences, 603155, Nizhny Novgorod, Russia
Email: mmm1984@inbox.ru
Россия, 603022, Нижний Новгород, пр. Гагарина 23; Россия, 603155, Нижний Новгород, ул. Ульянова 46
D. A. Kasyanov
Institute of Applied Physics, Russian Academy of Sciences, 603155, Nizhny Novgorod, Russia
Author for correspondence.
Email: mmm1984@inbox.ru
Россия, 603155, Нижний Новгород, ул. Ульянова 46
References
- Руденко О.В. Нелинейные пилообразные волны // Успехи физ. наук. 1995. Т. 165. С. 1011–1036.
- Руденко О.В. Взаимодействия интенсивных шумовых волн // Успехи физ. наук. 1986. Т. 149. С. 413–447.
- Гурбатов С.Н., Руденко О.В., Саичев А.И. Волны и структуры в нелинейных средах без дисперсии. Приложения к нелинейной акустике. М.: Физматлит, 2008. 495 с.
- Frisch U., Bec J. Burgulence // New trends in Turbulence, Les Houches 2001. Springer, Berlin, Heidelberg, 2001. P. 341–383.
- Gee K.L., Sparrow V.W., James M.M., Downing J.M., Hobbs C.M., Gabrielson T.B., Atchley A.A. The role of nonlinear effects in the propagation of noise from high-power jet aircraft // J. Acoust. Soc. Am. 2008. V. 123. № 6. P. 4082–4093.
- Muhlestein M.B., Gee K.L. Evolution of the temporal slope density function for waves propagating according to the inviscid Burgers equation // J. Acoust. Soc. Am. 2016. V. 139. P. 958–967.
- Гурбатов С.Н., Дерябин М.С., Касьянов Д.А., Курин В.В. Вырожденное параметрическое взаимодействие интенсивных акустических пучков // Известия вузов. Радиофизика. 2016. Т. 59. № 10. С. 887–889.
- Гаврилов А.М. Зависимость характеристик параметрической антенны от фазовых соотношений в спектре накачки // Акуст. журн. 1994. Т. 40. № 2. С. 235–239.
- Гурбатов С.Н., Малахов А.Н. О возможности использования параметрического взаимодействия волн для выделения слабых акустически сигналов // Акуст. журн. 1979. Т. 25. С. 53–59.
- Гурбатов С.Н., Дерябин М.С., Касьянов Д.А., Курин В.В. Об использовании вырожденного параметрического взаимодействия интенсивных акустических пучков для усиления слабых сигналов // Акуст. журн. 2017. Т. 63. № 3. С. 235–245.
- Bulat P.V., Volkov K.N. Numerical simulation of shock wave diffraction at a right angle on unstructured grids // Scientific and Technical Journal of Information Technologies, Mechanics and Optics. 2016. V. 16. № 2. P. 354–362.
- Yang G., Feng S., Huang W. Wave-blocking characteristics of corrugated plates under explosion // Shock and Vibration. 2020. Article ID 5895812.
- Nian X.-Z., Zhang Y., Sun C.-H., Wang H.-Z., Yan D.-J. Analysis of transmission and diffraction effects of air shock waves upon flexible explosion-proof walls // Engineering Mechanics. 2015. V. 32. № 3. P. 241–248.
- Yuldashev P.V., Shmeleva S.M., Ilyin S.A., Sapozhnikov O.A., Gavrilov L.R., Khokhlova V.A. The role of acoustic nonlinearity in tissue heating behind a rib cage using a high-intensity focused ultrasound phased array // Physics in Medicine & Biology. 2013. V. 58. № 8. P. 2537–2559.
- Дерябин М.С., Касьянов Д.А., Курин В.В. Особенности формирования ударных акустических волн в ограниченных пучках большой интенсивности при наличии мягкой границы в области взаимодействия // Известия вузов. Радиофизика. 2014. № 4. С. 291–300.
- Дерябин М.С., Касьянов Д.А., Курин В.В., Гарасев М.А. Особенности стадии дестабилизации профиля волны при отражении интенсивного акустического пучка от мягкой границы // Известия вузов. Радиофизика. 2015. Т. 58. №12. С. 1052–1061.
- Дерябин М.С., Гурбатов С.Н., Вьюгин П.Н., Бахтин В.К., Курин В.В., Касьянов Д.А., Тюрина А.В. О дифракции пилообразной нелинейной волны на узком круглом отверстии в экране // Акуст. журн. 2021. Т. 67. № 3. С. 235–243.
Supplementary files













