The Effect of the Step Height on the Wall Pressure Fluctuations near Its Side Edge in the Turbulent Boundary Layer
- Authors: Kuznetsov S.V.1, Golubev A.Y.1
-
Affiliations:
- Zhukovsky Central Aerohydrodynamic Institute, 105005, Moscow, Russia
- Issue: Vol 69, No 2 (2023)
- Pages: 207-215
- Section: АТМОСФЕРНАЯ И АЭРОАКУСТИКА
- URL: https://journals.rcsi.science/0320-7919/article/view/134428
- DOI: https://doi.org/10.31857/S0320791922060089
- EDN: https://elibrary.ru/SRKFJE
- ID: 134428
Cite item
Full Text
Abstract
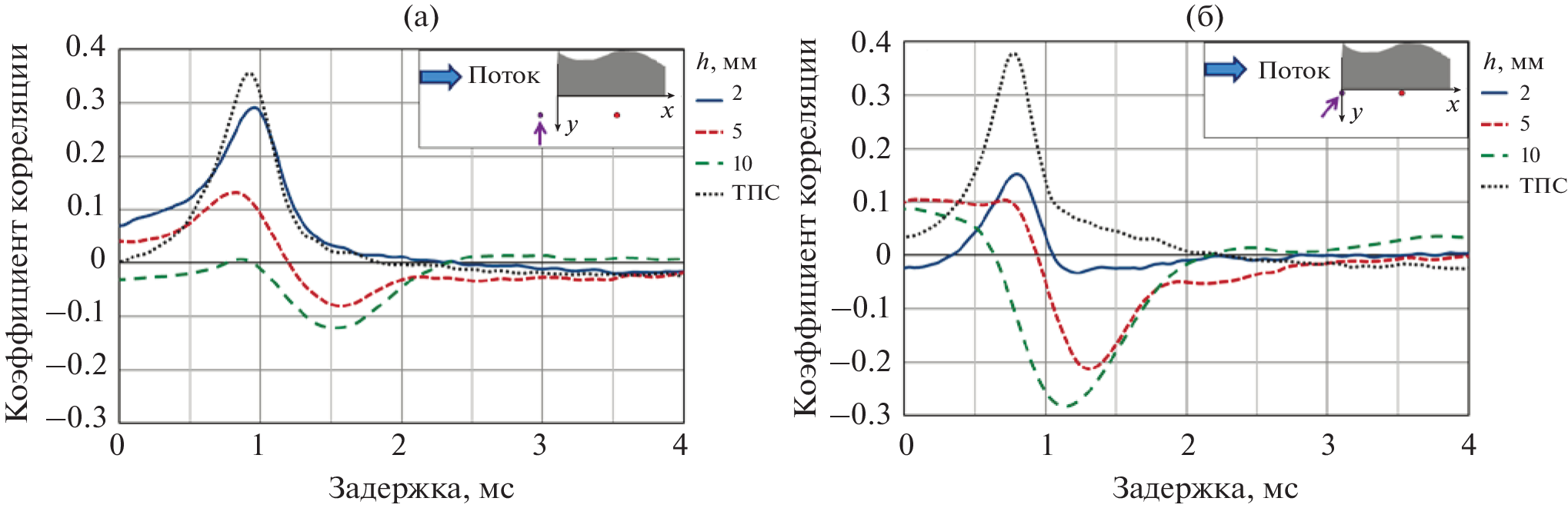
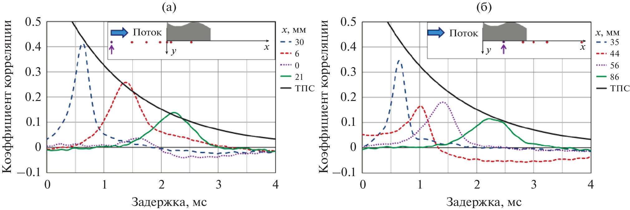
Wall pressure fluctuations in a turbulent flow are a source of noise and vibrations in elastic structures immersed in a flow. This paper presents the results of an experimental study on the effect produced by the height of a step on the spatiotemporal structure of wall pressure fluctuations in the vicinity of its side edge in the turbulent boundary layer. Measurements were performed in a subsonic low-noise wind tunnel of the Moscow Complex of the Zhukovsky Central Aerohydrodynamic Institute. The height of a step was varied from 3 to 17% of the incident-boundary-layer thickness. It has been shown that the area of the most intensive pressure fluctuations is located near the frontal side corner of the step. The characteristic Strouhal number determining the spectra of pressure fluctuations behind the leading edge of the step was established. An essential effect of the step height on the spatiotemporal structure of the pressure field in the vicinity of the side edge was shown. The obtained results evidence the existence of a strong correlation with the field of pressure fluctuations in the incident turbulent boundary layer in the case of steps with a small height.
About the authors
S. V. Kuznetsov
Zhukovsky Central Aerohydrodynamic Institute, 105005, Moscow, Russia
Email: international44@yandex.ru
Россия, 105005, Москва, ул. Радио 17
A. Yu. Golubev
Zhukovsky Central Aerohydrodynamic Institute, 105005, Moscow, Russia
Author for correspondence.
Email: international44@yandex.ru
Россия, 105005, Москва, ул. Радио 17
References
- Ефимцов Б.М. Характеристики поля пристеночных пульсаций давления при больших числах Рейнольдса // Акуст. журн. 1982. Т. 28. № 4. С. 491–497.
- Ефимцов Б.М. Критерии подобия спектров пристеночных пульсаций давления турбулентного пограничного слоя // Акуст. журн. 1984. Т. 30. № 1. С. 58–61.
- Смольяков А.В., Ткаченко В.М. Модели поля псевдозвуковых турбулентных пристеночных давлений и опытные данные // Акуст. журн. 1991. Т. 36. № 6. С. 1199–1207.
- Howe M.S. Surface pressures and sound produced by turbulent flow over smooth and rough walls // J. Acoust. Soc. Am. 1991. V. 95. P. 1041–1047.
- Зверев А.Я., Ефимцов Б.М. Сравнительная оценка акустического излучения тонкостенных конструкций, возбуждаемых турбулентным пограничным слоем, для различных представлений взаимного спектра // Акуст. журн. 2012. Т. 58. № 4. С. 459–464.
- Haxter S., Spehr C. Comparison of model predictions for coherence length to in-flight measurements at cruise conditions // J. Sound Vib. 2017. V. 390. P. 86–117.
- Blake W.K. Mechanics of Flow-Induced Sound and Vibration. V. 2. Complex Flow-Structure Interactions. Second Edition. Academic Press, 2017. Elsevier Inc. 670 p.
- Голубев А.Ю., Кудашев Е.Б., Яблоник Л.Р. Турбулентные пульсации давления в акустике и аэрогидродинамике. М.: Физматлит, 2019.
- Кудашев Е.Б., Яблоник Л.Р. Развитие экспериментальных исследований турбулентных пристеночных пульсаций давления. Критический анализ и обобщение накопленных опытных данных // Акуст. журн. 2021. Т. 67. № 6. С. 639–649.
- Flinovia: Flow Induced Noise and Vibration Issues and Aspects-III / Eds. Ciappi E., De Rosa S., Franco F., Hambric S.A., Leung R.C.K., Clair V., Maxit L., Totaro N. Springer: Nature, 2021. https://doi.org/10.1007/978-3-030-64807-7
- Awasthi M., Devenport W.J., Glegg S.A.L., Forest J.B. Pressure fluctuations produced by forward steps immersed in a turbulent boundary layer // J. Fluid Mech. 2014. V. 756. P. 384–421.
- Farabee T.M., Casarella M.J. Measurements of fluctuating wall pressure for separated/reattached boundary layer flows // ASME J. Vib. Acoust. Stress Reliab. Des. 1986. V. 108. P. 301–307.
- Efimtsov B.M., Kozlov N.M., Kravchenko S.V., Andersson A.O. Wall Pressure Fluctuation Spectra at Small Forward-Facing Steps // AIAA Paper. 1999. 99–1964.
- Efimtsov B.M., Kozlov N.M., Kravchenko S.V., Andersson A.O. Wall Pressure Fluctuation Spectra at Small Backward-Facing Steps // AIAA Paper. 2000. 2000–2053.
- Lee I., Sung H.J. Multiple-arrayed pressure measurement for investigation of the unsteady flow structure of a reattaching shear layer // J. Fluid Mech. 2002. V. 463. P. 377–402.
- Largeau J.F., Moriniere V. Wall pressure fluctuations and topology in separated flows over a forward-facing step // Exp. Fluids. 2007. V. 42. P. 21–40.
- Camussi R., Felli M., Pereira F., Aloisio G., Di Marco A. Statistical properties of wall pressure fluctuations over a forward-facing step // Phys. Fluids. 2008. V. 20. № 7. P. 75113.
- Ji M., Wang M. Surface pressure fluctuations on steps immersed in turbulent boundary layers // J. Fluid Mech. 2012 V. 712. P. 471–504.
- Бибко В.Н., Голубев А.Ю. Основные закономерности влияния скоса потока на характеристики полей пульсаций давления перед прямым и за обратным уступом // Акуст. журн. 2014. Т. 60. № 5. С. 483–491.
- Голубев А.Ю., Кузнецов С.В. Особенности полей пульсаций давления на поверхности выступов // Известия РАН. МЖГ. 2018. № 6. С. 67–75.
- Awasthi M., Devenport W.J., Alexander W.N., Glegg S.A.L. Aeroacoustics of rounded forward-facing steps: near-field behavior // AIAA Journ. 2019. V. 57. № 3. P. 1237–1249.
- Golubev A., Kuznetsov S. Wall pressure fluctuations on the surface of sloped forward-facing steps // AIAA Journ. 2020. V. 58. № 10. P. 4595–4599.
- Leclercq D.J.J., Jacob M.C., Louisot A., Talotte C. Forward-Backward Facing Step Pair: Aerodynamic Flow, Wall Pressure and Acoustic Caracterisation // AIAA Paper. 2001. 2001-2249.
- Голубев А.Ю., Ефимцов Б.М. Особенности структуры полей пульсаций давления в окрестности выступов // Известия РАН. МЖГ. 2015. № 1. С. 55–66.
- Голубев А.Ю., Ефимцов Б.М. Взаимная корреляция полей пристенных пульсаций давления перед конфигурацией “прямой уступ–обратный уступ” и в следе за ней // Ученые записки ЦАГИ. 2015. Т. 46. № 1. С. 30–41.
- Голубев А.Ю. Особенности полей пульсаций давления в окрестности конфигурации “прямой уступ–обратный уступ” // Акуст. журн. 2018. Т. 64. № 1. С. 56–62.
- Pearson D.S., Goulart P.J., Ganapathisubramani B. Turbulent separation upstream of a forward-facing step // J. Fluid Mech. 2013. V. 724. P. 284–304.
- Graziani A., Kerherve F., Martinuzzi R.J., Keirsbulck L. Dynamics of the recirculating areas of a forward-facing step // Exp. Fluids. 2018. V. 59. № 154. P. 1–18.
- Fang V., Tachie M.F. Spatio-temporal dynamics of flow separation induced by a forward-facing step submerged in a thick turbulent boundary layer // J. Fluid Mech. 2020 V. 892. A40-1-30.
- Chandrsuda C., Bradshaw P. Turbulence structure of a reattaching mixing layer // J. Fluid Mech. 1981. V. 110. P. 171–194.
- Simpson R.L., Ghodbane M., McGrath B.E. Surface pressure fluctuations in a separating turbulent boundary layer // J. Fluid Mech. 1987. V. 177. P. 167–186.
- Kiya M., Sasaki K. Structure of a turbulent separation bubble // J. Fluid Mech. 1983. V. 137. P. 83–113.
- Haxter S., Brouwer J., Sesterhenn J., Spehr C. Obtaining phase velocity of turbulent boundary layer pressure fluctuations at high subsonic Mach number from wind tunnel data affected by strong background noise // J. Sound Vib. 2017. V. 402. P. 85–103.
Supplementary files










