Линейный анализ устойчивости процесса затвердевания в ограниченной области при наличии конвекции в жидкости

Обложка

Цитировать

Полный текст

Аннотация

Данное исследование посвящено линейному анализу морфологической/динамической неустойчивости процесса направленного затвердевания в ограниченной области пространства при наличии конвекции в расплаве. Разработана линейная теория морфологической неустойчивости стационарного процесса направленной кристаллизации с плоской границей раздела фаз «твердое тело – жидкость», с учетом наличия конвекции в жидкости. Выписаны уравнения для возмущений температурного поля и межфазной границы, построено решение этих уравнений, выведено дисперсионное соотношение. Его анализ показал существование морфологической неустойчивости в широком диапазоне волновых чисел и при различных параметрах кристаллизующейся системы. Существование этой неустойчивости обусловлено возмущениями, которые поступают на границу раздела «твердое тело – жидкость» от охлаждаемой стенки через твердую фазу. Помимо этого, в работе показано, что плоская граница раздела «твердое тело – жидкость» может быть неустойчива к динамическим возмущениям, то есть к возмущениям с нулевым волновым числом (к возмущениям установившейся скорости затвердевания). Также имеется ветвь устойчивого решения для динамических возмущений. Кристаллизующаяся система может выбрать одну из этих ветвей (неустойчивую или устойчивую) в зависимости от действия конвекции. Результатом морфологической и динамической неустойчивости является появление двухфазной области перед плоской границей раздела «твердое тело – жидкость». Поэтому следующим шагом в работе стал анализ динамической неустойчивости стационарной кристаллизации с двухфазной областью. Эта область была заменена на поверхность разрыва, располагающуюся между чисто твердой и жидкой фазами. Анализ уравнений для амплитуд возмущений выявил существование динамической неустойчивости для широкого диапазона скоростей кристаллизации. Такая неустойчивость порождается возмущениями в твердом материале у охлаждаемой стенки и распространяется вплоть до границы раздела фаз. При достижении определенной скорости кристаллизации происходит бифуркация решений, что приводит к существованию одновременно неустойчивой и устойчивой ветвей. Система же, как и ранее, выбирает одну из них в зависимости от влияния конвекции. В общем случае, кристаллизующаяся система может быть морфологически/динамически неустойчива к малым возмущениям, которые поступают на границу раздела фаз вследствие флуктуаций тепломассообменного оборудования (например, флуктуаций температуры на охлаждаемой границе).

Полный текст

ВВЕДЕНИЕ

Динамика межфазной границы (фронта кристаллизации), разделяющей твердую и жидкую фазы, определяет образование и рост элементов твердой фазы: например, рост дендритных кристаллов, перераспределение и поглощение примесей, а также рост и развитие различных микроструктур (это могут быть ячеистые, полосчатые, нерегулярные микроструктуры и микроструктуры смешанного типа) в кристаллизующемся материале [1 MathType@MTEF@5@5@+= feaahqart1ev3aqatCvAUfeBSjuyZL2yd9gzLbvyNv2CaerbuLwBLn hiov2DGi1BTfMBaeXatLxBI9gBaerbd9wDYLwzYbItLDharqqtubsr 4rNCHbGeaGqiVu0Je9sqqrpepC0xbbL8F4rqqrFfpeea0xe9Lq=Jc9 vqaqpepm0xbba9pwe9Q8fs0=yqaqpepae9pg0FirpepeKkFr0xfr=x fr=xb9adbaqaaeGaciGaaiaabeqaamaabaabaaGcbaacbaqcLbyaqa aaaaaaaaWdbiaa=nbiaaa@37C0@ 7]. Определив закономерности, которые отвечают за формирование различных типов микроструктур, а также за переходы между их различными типами, можно управлять процессом структурообразования с помощью физических и режимных параметров процесса затвердевания. Так, воздействовать на структурообразование материалов можно с помощью флуктуаций различных физических величин. Примерами флуктуаций могут быть: колебания температуры, постоянно присутствующие в природе; гидродинамические колебания скорости течения расплава, которые могут быть вызваны конвекцией; колебания концентрации примесей в жидкости, вызванные поступлением примесей извне или гидродинамическими колебаниями; механические колебания всей кристаллизующейся системы, вызванные сейсмическими процессами в природе или естественным фоном деятельности человека в лабораторной установке, и т.д. Такие флуктуации приводят к возмущениям температурных и градиентных полей, гидродинамическим возмущениям скорости движения жидкости, а это, в свою очередь, приводит к возмущению межфазной границы «твердое тело – жидкость» (фронта кристаллизации). Морфологические и динамические возмущения развиваются из-за неоднородности температурных и концентрационных полей, конвекции или концентрационного переохлаждения. В результате такие возмущения полностью меняют процесс затвердевания и приводят к формированию различных микроструктур. К примеру, морфологическая неустойчивость фронта кристаллизации влияет на развитие ячеистых структур, динамическая неустойчивость приводит к образованию полосчатых структур, а эволюция «дендритного леса» в целом порождает двухфазную область [813]. Линейный анализ морфологической устойчивости с приложениями к проблемам кристаллизации впервые был развит Маллинзом и Секеркой [1416]. Затем их методика была расширена на описание различных особенностей процессов затвердевания [1724].

Конвективные течения жидкости могут по-разному сказываться на процессе фазового превращения из жидкого состояния в твердое. Так, они могут выравнивать распределения температуры и концентрации в жидкости или, наоборот, создавать конвективные или холодные/горячие области в определенных местах у границы раздела «твердое тело – жидкость» [25, 26]. В результате этого в более холодных областях создаются благоприятные условия для роста твердой фазы и возникает морфологическая неустойчивость. На данный момент влияние конвекции на морфологическую/динамическую неустойчивость мало исследовано из-за сильной нелинейности математических моделей, разнообразия конвективных потоков и различных граничных условий на межфазной поверхности при наличии конвекции. Предыдущие исследования рассматривали либо определённые типы конвективных течений, либо течения в узком диапазоне параметров процесса. Например, для исследования влияния плоскопараллельного течения жидкости на устойчивость межфазной границы в работе [27], были применены упрощенные уравнения тепло- и массопереноса. В работах [2830] авторы применили технику пограничного слоя для исключения малых нелинейных членов и упрощения уравнений модели. В работе [31] рассматривались пространственно-периодические течения жидкости для моделирования локализованных морфологических структур. Недавно для изучения влияния течений жидкости на устойчивость направленной кристаллизации была развита математическая модель в неограниченной области пространства, основанная на законах кондуктивного тепло- и массопереноса [32, 33]. Эта теория продемонстрировала, что дисперсионное соотношение и кривая нейтральной устойчивости при наличии конвекции существенно зависят от скорости расширения на границе раздела фаз.

В настоящем исследовании теория морфологической/динамической устойчивости при наличии конвективных потоков получила дальнейшее развитие. Одним из основных факторов новизны является учет ограниченности области затвердевания. Это позволяет построить развивающиеся во времени (неустойчивые) решения для возмущений, поступающих из твердой и жидкой областей системы (например, от охлаждаемых границ в лабораторных установках или природных процессах). В данном исследовании рассмотрены и проанализированы два типа неустойчивости: морфологическая и динамическая. Сначала рассматривается квазистационарный процесс кристаллизации с плоской границей раздела твердой и жидкой фаз. В результате развития морфологической неустойчивости плоский фронт затвердевания разрушается и образуется двухфазная область, находящаяся между чисто твердой и жидкой фазами. Этот теоретический вывод, основанный на анализе модели, подтверждается экспериментами, описанными в работе [34]. Двухфазная область может также оказаться неустойчивой к динамическим возмущениям постоянной скорости кристаллизации. Поэтому далее в работе был проведен анализ динамической неустойчивости квазистационарного процесса затвердевания с двухфазной областью. Этот анализ показал, что динамические возмущения неустойчивы и приводят к флуктуациям скорости направленного затвердевания.

Процесс затвердевания с плоской границей раздела твердой и жидкой фаз

Рассмотрим направленную кристаллизацию бинарной жидкости (расплава или раствора) с постоянной скоростью при наличии плоской межфазной границы раздела. Пусть ось z MathType@MTEF@5@5@+= feaahqart1ev3aqatCvAUfeBSjuyZL2yd9gzLbvyNv2Caerbov2D09 MBaeXatLxBI9gBaerbd9wDYLwzYbItLDharuavP1wzZbItLDhis9wB H5garqqtubsr4rNCHbGeaGqipy0de9vqqrpepC0xbbL8F4rqqrFfpe ea0pd9Zqpe0xc9q8qqaqFn0dXdir=xcvk9pIe9q8qqaq=dir=f0=yq aqVeLsFr0=vr0=vr0db8meaabaqaciaacaGaaeqabaWaaqaafaaake aaqaaaaaaaaaWdbiaadQhaaaa@3D19@  совпадает с направлением затвердевания, которое вызвано определенными температурными градиентами в твердой и жидкой фазах. Рассматриваемый процесс начинается после охлаждения жидкости сверху и контролируется интенсивной конвекцией в жидкости, рис. 1а. Используя систему координат, которая движется с постоянной скоростью υ s MathType@MTEF@5@5@+= feaahqart1ev3aqatCvAUfeBSjuyZL2yd9gzLbvyNv2Caerbov2D09 MBaeXatLxBI9gBaerbd9wDYLwzYbItLDharuavP1wzZbItLDhis9wB H5garqqtubsr4rNCHbGeaGqipy0de9vqqrpepC0xbbL8F4rqqrFfpe ea0pd9Zqpe0xc9q8qqaqFn0dXdir=xcvk9pIe9q8qqaq=dir=f0=yq aqVeLsFr0=vr0=vr0db8meaabaqaciaacaGaaeqabaWaaqaafaaake aaqaaaaaaaaaWdbiabew8a19aadaWgaaWcbaWdbiaadohaa8aabeaa aaa@3F33@  вместе с границей раздела фаз, имеем следующие уравнения теплопереноса в твердом теле и жидкости:

ϑ l t +u ϑ l = D l 2 ϑ l + υ s ϑ l z , z> Z t , MathType@MTEF@5@5@+= feaahqart1ev3aqatCvAUfeBSjuyZL2yd9gzLbvyNv2Caerbov2D09 MBaeXatLxBI9gBaerbd9wDYLwzYbItLDharuavP1wzZbItLDhis9wB H5garqqtubsr4rNCHbGeaGqipy0de9vqqrpepC0xbbL8F4rqqrFfpe ea0pd9Zqpe0xc9q8qqaqFn0dXdir=xcvk9pIe9q8qqaq=dir=f0=yq aqVeLsFr0=vr0=vr0db8meaabaqaciaacaGaaeqabaWaaqaafaaake aaqaaaaaaaaaWdbmaalaaapaqaa8qacqGHciITcqaHrpGspaWaaSba aSqaa8qacaWGSbaapaqabaaakeaapeGaeyOaIyRaamiDaaaacqGHRa WkcaWH1bGaeyyXICTaey4bIeTaeqy0dO0damaaBaaaleaapeGaamiB aaWdaeqaaOWdbiabg2da9iaadseapaWaaSbaaSqaa8qacaWGSbaapa qabaGcpeGaey4bIe9damaaCaaaleqabaWdbiaaikdaaaGccqaHrpGs paWaaSbaaSqaa8qacaWGSbaapaqabaGcpeGaey4kaSIaeqyXdu3dam aaBaaaleaapeGaam4CaaWdaeqaaOWdbmaalaaapaqaa8qacqGHciIT cqaHrpGspaWaaSbaaSqaa8qacaWGSbaapaqabaaakeaapeGaeyOaIy RaamOEaaaacaGGSaGaaqoOaerbov2D09MBdbacgiGaa8NEaiabg6da +iqa=Pfagaqbamaabmaapaqaa8qacaWG0baacaGLOaGaayzkaaGaai ilaaaa@6B22@  (1)

  ϑ s t = D s 2 ϑ s + υ s ϑ s z ,z< Z t , MathType@MTEF@5@5@+= feaahqart1ev3aqatCvAUfeBSjuyZL2yd9gzLbvyNv2Caerbov2D09 MBaeXatLxBI9gBaerbd9wDYLwzYbItLDharuavP1wzZbItLDhis9wB H5garqqtubsr4rNCHbGeaGqipy0de9vqqrpepC0xbbL8F4rqqrFfpe ea0pd9Zqpe0xc9q8qqaqFn0dXdir=xcvk9pIe9q8qqaq=dir=f0=yq aqVeLsFr0=vr0=vr0db8meaabaqaciaacaGaaeqabaWaaqaafaaake aaqaaaaaaaaaWdbmaalaaapaqaa8qacqGHciITcqaHrpGspaWaaSba aSqaa8qacaWGZbaapaqabaaakeaapeGaeyOaIyRaamiDaaaacqGH9a qpcaWGebWdamaaBaaaleaapeGaam4CaaWdaeqaaOWdbiabgEGir=aa daahaaWcbeqaa8qacaaIYaaaaOGaeqy0dO0damaaBaaaleaapeGaam 4CaaWdaeqaaOWdbiabgUcaRiabew8a19aadaWgaaWcbaWdbiaadoha a8aabeaak8qadaWcaaWdaeaapeGaeyOaIyRaeqy0dO0damaaBaaale aapeGaam4CaaWdaeqaaaGcbaWdbiabgkGi2kaadQhaaaGaaiilaerb ov2D09MBdbacgiGaa8NEaiabgYda8iqa=Pfagaqbamaabmaapaqaa8 qacaWG0baacaGLOaGaayzkaaGaaiilaaaa@60F7@  (2)

где ϑ l MathType@MTEF@5@5@+= feaahqart1ev3aqatCvAUfeBSjuyZL2yd9gzLbvyNv2Caerbov2D09 MBaeXatLxBI9gBaerbd9wDYLwzYbItLDharuavP1wzZbItLDhis9wB H5garqqtubsr4rNCHbGeaGqipy0de9vqqrpepC0xbbL8F4rqqrFfpe ea0pd9Zqpe0xc9q8qqaqFn0dXdir=xcvk9pIe9q8qqaq=dir=f0=yq aqVeLsFr0=vr0=vr0db8meaabaqaciaacaGaaeqabaWaaqaafaaake aaqaaaaaaaaaWdbiabeg9ak9aadaWgaaWcbaWdbiaadYgaa8aabeaa aaa@3F0D@  и ϑ s MathType@MTEF@5@5@+= feaahqart1ev3aqatCvAUfeBSjuyZL2yd9gzLbvyNv2Caerbov2D09 MBaeXatLxBI9gBaerbd9wDYLwzYbItLDharuavP1wzZbItLDhis9wB H5garqqtubsr4rNCHbGeaGqipy0de9vqqrpepC0xbbL8F4rqqrFfpe ea0pd9Zqpe0xc9q8qqaqFn0dXdir=xcvk9pIe9q8qqaq=dir=f0=yq aqVeLsFr0=vr0=vr0db8meaabaqaciaacaGaaeqabaWaaqaafaaake aaqaaaaaaaaaWdbiabeg9ak9aadaWgaaWcbaWdbiaadohaa8aabeaa aaa@3F14@   MathType@MTEF@5@5@+= feaahqart1ev3aqatCvAUfeBSjuyZL2yd9gzLbvyNv2CaerbuLwBLn hiov2DGi1BTfMBaeXatLxBI9gBaerbd9wDYLwzYbItLDharqqtubsr 4rNCHbGeaGqiVu0Je9sqqrpepC0xbbL8F4rqqrFfpeea0xe9Lq=Jc9 vqaqpepm0xbba9pwe9Q8fs0=yqaqpepae9pg0FirpepeKkFr0xfr=x fr=xb9adbaqaaeGaciGaaiaabeqaamaabaabaaGcbaacbaqcLbyaqa aaaaaaaaWdbiaa=rbiaaa@37C1@  температуры в жидкой и твердой фазах, t MathType@MTEF@5@5@+= feaahqart1ev3aqatCvAUfeBSjuyZL2yd9gzLbvyNv2Caerbov2D09 MBaeXatLxBI9gBaerbd9wDYLwzYbItLDharuavP1wzZbItLDhis9wB H5garqqtubsr4rNCHbGeaGqipy0de9vqqrpepC0xbbL8F4rqqrFfpe ea0pd9Zqpe0xc9q8qqaqFn0dXdir=xcvk9pIe9q8qqaq=dir=f0=yq aqVeLsFr0=vr0=vr0db8meaabaqaciaacaGaaeqabaWaaqaafaaake aaqaaaaaaaaaWdbiaadshaaaa@3D13@  - время, u MathType@MTEF@5@5@+= feaahqart1ev3aqatCvAUfeBSjuyZL2yd9gzLbvyNv2Caerbov2D09 MBaeXatLxBI9gBaerbd9wDYLwzYbItLDharuavP1wzZbItLDhis9wB H5garqqtubsr4rNCHbGeaGqipy0de9vqqrpepC0xbbL8F4rqqrFfpe ea0pd9Zqpe0xc9q8qqaqFn0dXdir=xcvk9pIe9q8qqaq=dir=f0=yq aqVeLsFr0=vr0=vr0db8meaabaqaciaacaGaaeqabaWaaqaafaaake aaqaaaaaaaaaWdbiaahwhaaaa@3D18@   MathType@MTEF@5@5@+= feaahqart1ev3aqatCvAUfeBSjuyZL2yd9gzLbvyNv2CaerbuLwBLn hiov2DGi1BTfMBaeXatLxBI9gBaerbd9wDYLwzYbItLDharqqtubsr 4rNCHbGeaGqiVu0Je9sqqrpepC0xbbL8F4rqqrFfpeea0xe9Lq=Jc9 vqaqpepm0xbba9pwe9Q8fs0=yqaqpepae9pg0FirpepeKkFr0xfr=x fr=xb9adbaqaaeGaciGaaiaabeqaamaabaabaaGcbaacbaqcLbyaqa aaaaaaaaWdbiaa=rbiaaa@37C1@  вектор скорости жидкости, D l MathType@MTEF@5@5@+= feaahqart1ev3aqatCvAUfeBSjuyZL2yd9gzLbvyNv2Caerbov2D09 MBaeXatLxBI9gBaerbd9wDYLwzYbItLDharuavP1wzZbItLDhis9wB H5garqqtubsr4rNCHbGeaGqipy0de9vqqrpepC0xbbL8F4rqqrFfpe ea0pd9Zqpe0xc9q8qqaqFn0dXdir=xcvk9pIe9q8qqaq=dir=f0=yq aqVeLsFr0=vr0=vr0db8meaabaqaciaacaGaaeqabaWaaqaafaaake aaqaaaaaaaaaWdbiaadseapaWaaSbaaSqaa8qacaWGSbaapaqabaaa aa@3E2E@  и D s MathType@MTEF@5@5@+= feaahqart1ev3aqatCvAUfeBSjuyZL2yd9gzLbvyNv2Caerbov2D09 MBaeXatLxBI9gBaerbd9wDYLwzYbItLDharuavP1wzZbItLDhis9wB H5garqqtubsr4rNCHbGeaGqipy0de9vqqrpepC0xbbL8F4rqqrFfpe ea0pd9Zqpe0xc9q8qqaqFn0dXdir=xcvk9pIe9q8qqaq=dir=f0=yq aqVeLsFr0=vr0=vr0db8meaabaqaciaacaGaaeqabaWaaqaafaaake aaqaaaaaaaaaWdbiaadseapaWaaSbaaSqaa8qacaWGZbaapaqabaaa aa@3E35@   MathType@MTEF@5@5@+= feaahqart1ev3aqatCvAUfeBSjuyZL2yd9gzLbvyNv2CaerbuLwBLn hiov2DGi1BTfMBaeXatLxBI9gBaerbd9wDYLwzYbItLDharqqtubsr 4rNCHbGeaGqiVu0Je9sqqrpepC0xbbL8F4rqqrFfpeea0xe9Lq=Jc9 vqaqpepm0xbba9pwe9Q8fs0=yqaqpepae9pg0FirpepeKkFr0xfr=x fr=xb9adbaqaaeGaciGaaiaabeqaamaabaabaaGcbaacbaqcLbyaqa aaaaaaaaWdbiaa=rbiaaa@37C1@  коэффициенты теплопроводности в жидкой и твердой фазах, υ s MathType@MTEF@5@5@+= feaahqart1ev3aqatCvAUfeBSjuyZL2yd9gzLbvyNv2Caerbov2D09 MBaeXatLxBI9gBaerbd9wDYLwzYbItLDharuavP1wzZbItLDhis9wB H5garqqtubsr4rNCHbGeaGqipy0de9vqqrpepC0xbbL8F4rqqrFfpe ea0pd9Zqpe0xc9q8qqaqFn0dXdir=xcvk9pIe9q8qqaq=dir=f0=yq aqVeLsFr0=vr0=vr0db8meaabaqaciaacaGaaeqabaWaaqaafaaake aaqaaaaaaaaaWdbiabew8a19aadaWgaaWcbaWdbiaadohaa8aabeaa aaa@3F33@   MathType@MTEF@5@5@+= feaahqart1ev3aqatCvAUfeBSjuyZL2yd9gzLbvyNv2CaerbuLwBLn hiov2DGi1BTfMBaeXatLxBI9gBaerbd9wDYLwzYbItLDharqqtubsr 4rNCHbGeaGqiVu0Je9sqqrpepC0xbbL8F4rqqrFfpeea0xe9Lq=Jc9 vqaqpepm0xbba9pwe9Q8fs0=yqaqpepae9pg0FirpepeKkFr0xfr=x fr=xb9adbaqaaeGaciGaaiaabeqaamaabaabaaGcbaacbaqcLbyaqa aaaaaaaaWdbiaa=rbiaaa@37C1@  скорость кристаллизации, Z t MathType@MTEF@5@5@+= feaahqart1ev3aqatCvAUfeBSjuyZL2yd9gzLbvyNv2Caerbov2D09 MBaeXatLxBI9gBaerbd9wDYLwzYbItLDharuavP1wzZbItLDhis9wB H5garqqtubsr4rNCHbGeaGqipy0de9vqqrpepC0xbbL8F4rqqrFfpe ea0pd9Zqpe0xc9q8qqaqFn0dXdir=xcvk9pIe9q8qqaq=dir=f0=yq aqVeLsFr0=vr0=vr0db8meaabaqaciaacaGaaeqabaWaaqaafaaake aaruGtLDhDV52qaGGbcabaaaaaaaaapeGab8NwayaafaWaaeWaa8aa baWdbiaadshaaiaawIcacaGLPaaaaaa@4286@   MathType@MTEF@5@5@+= feaahqart1ev3aqatCvAUfeBSjuyZL2yd9gzLbvyNv2CaerbuLwBLn hiov2DGi1BTfMBaeXatLxBI9gBaerbd9wDYLwzYbItLDharqqtubsr 4rNCHbGeaGqiVu0Je9sqqrpepC0xbbL8F4rqqrFfpeea0xe9Lq=Jc9 vqaqpepm0xbba9pwe9Q8fs0=yqaqpepae9pg0FirpepeKkFr0xfr=x fr=xb9adbaqaaeGaciGaaiaabeqaamaabaabaaGcbaacbaqcLbyaqa aaaaaaaaWdbiaa=rbiaaa@37C1@  координата границы раздела между твердым телом и жидкостью ( Z t =0 MathType@MTEF@5@5@+= feaahqart1ev3aqatCvAUfeBSjuyZL2yd9gzLbvyNv2Caerbov2D09 MBaeXatLxBI9gBaerbd9wDYLwzYbItLDharuavP1wzZbItLDhis9wB H5garqqtubsr4rNCHbGeaGqipy0de9vqqrpepC0xbbL8F4rqqrFfpe ea0pd9Zqpe0xc9q8qqaqFn0dXdir=xcvk9pIe9q8qqaq=dir=f0=yq aqVeLsFr0=vr0=vr0db8meaabaqaciaacaGaaeqabaWaaqaafaaake aaruGtLDhDV52qaGGbcabaaaaaaaaapeGab8NwayaafaWaaeWaa8aa baWdbiaadshaaiaawIcacaGLPaaacqGH9aqpcaaIWaaaaa@4446@  в случае невозмущенного стационарного режима затвердевания). При достаточно интенсивной конвекции в жидкости, которая выравнивает распределение концентрации, процесс диффузии примеси можно не рассматривать [34].

 

Рис. 1. а MathType@MTEF@5@5@+= feaahqart1ev3aqatCvAUfeBSjuyZL2yd9gzLbvyNv2CaerbuLwBLn hiov2DGi1BTfMBaeXatLxBI9gBaerbd9wDYLwzYbItLDharqqtubsr 4rNCHbGeaGqiVu0Je9sqqrpepC0xbbL8F4rqqrFfpeea0xe9Lq=Jc9 vqaqpepm0xbba9pwe9Q8fs0=yqaqpepae9pg0FirpepeKkFr0xfr=x fr=xb9adbaqaaeGaciGaaiaabeqaamaabaabaaGcbaacbeqcLbyaqa aaaaaaaaWdbiaa=nbiaaa@37C1@  Схема морфологически неустойчивой кристаллизации с плоской границей раздела «твердое тело-жидкость»; б MathType@MTEF@5@5@+= feaahqart1ev3aqatCvAUfeBSjuyZL2yd9gzLbvyNv2CaerbuLwBLn hiov2DGi1BTfMBaeXatLxBI9gBaerbd9wDYLwzYbItLDharqqtubsr 4rNCHbGeaGqiVu0Je9sqqrpepC0xbbL8F4rqqrFfpeea0xe9Lq=Jc9 vqaqpepm0xbba9pwe9Q8fs0=yqaqpepae9pg0FirpepeKkFr0xfr=x fr=xb9adbaqaaeGaciGaaiaabeqaamaabaabaaGcbaacbeqcLbyaqa aaaaaaaaWdbiaa=nbiaaa@37C1@  схема динамически неустойчивой кристаллизации с поверхностью разрыва.

 

На границе раздела фаз температура равна температуре фазового превращения, которая складывается из температуры фазового перехода чистого вещества ϑ * MathType@MTEF@5@5@+= feaahqart1ev3aqatCvAUfeBSjuyZL2yd9gzLbvyNv2Caerbov2D09 MBaeXatLxBI9gBaerbd9wDYLwzYbItLDharuavP1wzZbItLDhis9wB H5garqqtubsr4rNCHbGeaGqipy0de9vqqrpepC0xbbL8F4rqqrFfpe ea0pd9Zqpe0xc9q8qqaqFn0dXdir=xcvk9pIe9q8qqaq=dir=f0=yq aqVeLsFr0=vr0=vr0db8meaabaqaciaacaGaaeqabaWaaqaafaaake aaqaaaaaaaaaWdbiabeg9ak9aadaWgaaWcbaWdbiaacQcaa8aabeaa aaa@3ECA@  и температурной поправки на кривизну границы раздела ГН. Также разность тепловых потоков определяет выделяющуюся теплоту кристаллизации L V MathType@MTEF@5@5@+= feaahqart1ev3aqatCvAUfeBSjuyZL2yd9gzLbvyNv2Caerbov2D09 MBaeXatLxBI9gBaerbd9wDYLwzYbItLDharuavP1wzZbItLDhis9wB H5garqqtubsr4rNCHbGeaGqipy0de9vqqrpepC0xbbL8F4rqqrFfpe ea0pd9Zqpe0xc9q8qqaqFn0dXdir=xcvk9pIe9q8qqaq=dir=f0=yq aqVeLsFr0=vr0=vr0db8meaabaqaciaacaGaaeqabaWaaqaafaaake aaqaaaaaaaaaWdbiaadYeapaWaaSbaaSqaa8qacaWGwbaapaqabaaa aa@3E20@  [34, 35], то есть:

ϑ int = ϑ l = ϑ s = ϑ * +ГН,z= Z t , MathType@MTEF@5@5@+= feaahqart1ev3aqatCvAUfeBSjuyZL2yd9gzLbvyNv2Caerbov2D09 MBaeXatLxBI9gBaerbd9wDYLwzYbItLDharuavP1wzZbItLDhis9wB H5garqqtubsr4rNCHbGeaGqipy0de9vqqrpepC0xbbL8F4rqqrFfpe ea0pd9Zqpe0xc9q8qqaqFn0dXdir=xcvk9pIe9q8qqaq=dir=f0=yq aqVeLsFr0=vr0=vr0db8meaabaqaciaacaGaaeqabaWaaqaafaaake aaqaaaaaaaaaWdbiabeg9ak9aadaWgaaWcbaWdbiaadMgacaWGUbGa amiDaaWdaeqaaOWdbiabg2da9iabeg9ak9aadaWgaaWcbaWdbiaadY gaa8aabeaak8qacqGH9aqpcqaHrpGspaWaaSbaaSqaa8qacaWGZbaa paqabaGcpeGaeyypa0Jaeqy0dO0damaaBaaaleaapeGaaiOkaaWdae qaaOWdbiabgUcaRmXvP5Mu1n3CPfMBaeHbtngAV9gBc92BRneaiyaa cqWFtqWWcqWFDqqZcaGGSaGaamOEaiabg2da9erbov2D09MBdbachi Gab4NwayaafaWaaeWaa8aabaWdbiaadshaaiaawIcacaGLPaaacaGG Saaaaa@6313@  (3)

c l ϑ ϑ l + L V un= = k s n ϑ s f ϑ l , z= Z t , MathType@MTEF@5@5@+= feaahqart1ev3aqatCvAUfeBSjuyZL2yd9gzLbvyNv2Caerbov2D09 MBaeXatLxBI9gBaerbd9wDYLwzYbItLDharuavP1wzZbItLDhis9wB H5garqqtubsr4rNCHbGeaGqipy0de9vqqrpepC0xbbL8F4rqqrFfpe ea0pd9Zqpe0xc9q8qqaqFn0dXdir=xcvk9pIe9q8qqaq=dir=f0=yq aqVeLsFr0=vr0=vr0db8meaabaqaciaacaGaaeqabaWaaqaafaaakq aaceqaaabaaaaaaaaapeWaamWaa8aabaWdbiaadogapaWaaSbaaSqa a8qacaWGSbaapaqabaGcpeWaaeWaa8aabaWdbiabeg9ak9aadaWgaa WcbaWdbiabg6HiLcWdaeqaaOWdbiabgkHiTiabeg9ak9aadaWgaaWc baWdbiaadYgaa8aabeaaaOWdbiaawIcacaGLPaaacqGHRaWkcaWGmb WdamaaBaaaleaapeGaamOvaaWdaeqaaaGcpeGaay5waiaaw2faaiaa hwhacqGHflY1caWHUbGaeyypa0dabaGaeyypa0Jaam4Aa8aadaWgaa WcbaWdbiaadohaa8aabeaak8qacaWHUbGaeyyXICTaey4bIeTaeqy0 dO0damaaBaaaleaapeGaam4CaaWdaeqaaOWdbiabgkHiTiaadAgada qadaWdaeaapeGaeqy0dO0damaaBaaaleaapeGaamiBaaWdaeqaaaGc peGaayjkaiaawMcaaiaacYcacaa5Gcqef4uz3r3BUneaiyGacaWF6b Gaeyypa0Jab8NwayaafaWaaeWaa8aabaWdbiaadshaaiaawIcacaGL PaaacaGGSaaaaaa@6F13@  (4)

Где Г = ϑ * γ/ L V MathType@MTEF@5@5@+= feaahqart1ev3aqatCvAUfeBSjuyZL2yd9gzLbvyNv2Caerbov2D09 MBaeXatLxBI9gBaerbd9wDYLwzYbItLDharuavP1wzZbItLDhis9wB H5garqqtubsr4rNCHbGeaGqipy0de9vqqrpepC0xbbL8F4rqqrFfpe ea0pd9Zqpe0xc9q8qqaqFn0dXdir=xcvk9pIe9q8qqaq=dir=f0=yq aqVeLsFr0=vr0=vr0db8meaabaqaciaacaGaaeqabaWaaqaafaaake aaqaaaaaaaaaWdbiabg2da9iabeg9ak9aadaWgaaWcbaWdbiaacQca a8aabeaak8qacqaHZoWzcaGGVaGaamita8aadaWgaaWcbaWdbiaadA faa8aabeaaaaa@444A@   MathType@MTEF@5@5@+= feaahqart1ev3aqatCvAUfeBSjuyZL2yd9gzLbvyNv2CaerbuLwBLn hiov2DGi1BTfMBaeXatLxBI9gBaerbd9wDYLwzYbItLDharqqtubsr 4rNCHbGeaGqiVu0Je9sqqrpepC0xbbL8F4rqqrFfpeea0xe9Lq=Jc9 vqaqpepm0xbba9pwe9Q8fs0=yqaqpepae9pg0FirpepeKkFr0xfr=x fr=xb9adbaqaaeGaciGaaiaabeqaamaabaabaaGcbaacbaqcLbyaqa aaaaaaaaWdbiaa=rbiaaa@37C1@  коэффициент Гиббса, H MathType@MTEF@5@5@+= feaahqart1ev3aqatCvAUfeBSjuyZL2yd9gzLbvyNv2CaerbuLwBLn hiov2DGi1BTfMBaeXatLxBI9gBaerbd9wDYLwzYbItLDharqqtubsr 4rNCHbGeaGqiVu0Je9sqqrpepC0xbbL8F4rqqrFfpeea0xe9Lq=Jc9 vqaqpepm0xbba9pwe9Q8fs0=yqaqpepae9pg0FirpepeKkFr0xfr=x fr=xb9adbaqaaeGaciGaaiaabeqaamaabaabaaGcbaacbaqcLbyaqa aaaaaaaaWdbiaa=rbiaaa@37C1@ кривизна границы раздела, γ MathType@MTEF@5@5@+= feaahqart1ev3aqatCvAUfeBSjuyZL2yd9gzLbvyNv2Caerbov2D09 MBaeXatLxBI9gBaerbd9wDYLwzYbItLDharuavP1wzZbItLDhis9wB H5garqqtubsr4rNCHbGeaGqipy0de9vqqrpepC0xbbL8F4rqqrFfpe ea0pd9Zqpe0xc9q8qqaqFn0dXdir=xcvk9pIe9q8qqaq=dir=f0=yq aqVeLsFr0=vr0=vr0db8meaabaqaciaacaGaaeqabaWaaqaafaaake aaqaaaaaaaaaWdbiabeo7aNbaa@3DC1@   MathType@MTEF@5@5@+= feaahqart1ev3aqatCvAUfeBSjuyZL2yd9gzLbvyNv2CaerbuLwBLn hiov2DGi1BTfMBaeXatLxBI9gBaerbd9wDYLwzYbItLDharqqtubsr 4rNCHbGeaGqiVu0Je9sqqrpepC0xbbL8F4rqqrFfpeea0xe9Lq=Jc9 vqaqpepm0xbba9pwe9Q8fs0=yqaqpepae9pg0FirpepeKkFr0xfr=x fr=xb9adbaqaaeGaciGaaiaabeqaamaabaabaaGcbaacbaqcLbyaqa aaaaaaaaWdbiaa=rbiaaa@37C1@  межфазная энергия, L V MathType@MTEF@5@5@+= feaahqart1ev3aqatCvAUfeBSjuyZL2yd9gzLbvyNv2Caerbov2D09 MBaeXatLxBI9gBaerbd9wDYLwzYbItLDharuavP1wzZbItLDhis9wB H5garqqtubsr4rNCHbGeaGqipy0de9vqqrpepC0xbbL8F4rqqrFfpe ea0pd9Zqpe0xc9q8qqaqFn0dXdir=xcvk9pIe9q8qqaq=dir=f0=yq aqVeLsFr0=vr0=vr0db8meaabaqaciaacaGaaeqabaWaaqaafaaake aaqaaaaaaaaaWdbiaadYeapaWaaSbaaSqaa8qacaWGwbaapaqabaaa aa@3E20@   MathType@MTEF@5@5@+= feaahqart1ev3aqatCvAUfeBSjuyZL2yd9gzLbvyNv2CaerbuLwBLn hiov2DGi1BTfMBaeXatLxBI9gBaerbd9wDYLwzYbItLDharqqtubsr 4rNCHbGeaGqiVu0Je9sqqrpepC0xbbL8F4rqqrFfpeea0xe9Lq=Jc9 vqaqpepm0xbba9pwe9Q8fs0=yqaqpepae9pg0FirpepeKkFr0xfr=x fr=xb9adbaqaaeGaciGaaiaabeqaamaabaabaaGcbaacbaqcLbyaqa aaaaaaaaWdbiaa=rbiaaa@37C1@  параметр скрытой теплоты, n MathType@MTEF@5@5@+= feaahqart1ev3aqatCvAUfeBSjuyZL2yd9gzLbvyNv2Caerbov2D09 MBaeXatLxBI9gBaerbd9wDYLwzYbItLDharuavP1wzZbItLDhis9wB H5garqqtubsr4rNCHbGeaGqipy0de9vqqrpepC0xbbL8F4rqqrFfpe ea0pd9Zqpe0xc9q8qqaqFn0dXdir=xcvk9pIe9q8qqaq=dir=f0=yq aqVeLsFr0=vr0=vr0db8meaabaqaciaacaGaaeqabaWaaqaafaaake aaiqWaqaaaaaaaaaWdbiaa=5gaaaa@3D18@   MathType@MTEF@5@5@+= feaahqart1ev3aqatCvAUfeBSjuyZL2yd9gzLbvyNv2CaerbuLwBLn hiov2DGi1BTfMBaeXatLxBI9gBaerbd9wDYLwzYbItLDharqqtubsr 4rNCHbGeaGqiVu0Je9sqqrpepC0xbbL8F4rqqrFfpeea0xe9Lq=Jc9 vqaqpepm0xbba9pwe9Q8fs0=yqaqpepae9pg0FirpepeKkFr0xfr=x fr=xb9adbaqaaeGaciGaaiaabeqaamaabaabaaGcbaacbaqcLbyaqa aaaaaaaaWdbiaa=rbiaaa@37C1@  вектор нормали к границе раздела, c l MathType@MTEF@5@5@+= feaahqart1ev3aqatCvAUfeBSjuyZL2yd9gzLbvyNv2Caerbov2D09 MBaeXatLxBI9gBaerbd9wDYLwzYbItLDharuavP1wzZbItLDhis9wB H5garqqtubsr4rNCHbGeaGqipy0de9vqqrpepC0xbbL8F4rqqrFfpe ea0pd9Zqpe0xc9q8qqaqFn0dXdir=xcvk9pIe9q8qqaq=dir=f0=yq aqVeLsFr0=vr0=vr0db8meaabaqaciaacaGaaeqabaWaaqaafaaake aaqaaaaaaaaaWdbiaadogapaWaaSbaaSqaa8qacaWGSbaapaqabaaa aa@3E4D@   MathType@MTEF@5@5@+= feaahqart1ev3aqatCvAUfeBSjuyZL2yd9gzLbvyNv2CaerbuLwBLn hiov2DGi1BTfMBaeXatLxBI9gBaerbd9wDYLwzYbItLDharqqtubsr 4rNCHbGeaGqiVu0Je9sqqrpepC0xbbL8F4rqqrFfpeea0xe9Lq=Jc9 vqaqpepm0xbba9pwe9Q8fs0=yqaqpepae9pg0FirpepeKkFr0xfr=x fr=xb9adbaqaaeGaciGaaiaabeqaamaabaabaaGcbaacbaqcLbyaqa aaaaaaaaWdbiaa=rbiaaa@37C1@  удельная теплота, ϑ MathType@MTEF@5@5@+= feaahqart1ev3aqatCvAUfeBSjuyZL2yd9gzLbvyNv2Caerbov2D09 MBaeXatLxBI9gBaerbd9wDYLwzYbItLDharuavP1wzZbItLDhis9wB H5garqqtubsr4rNCHbGeaGqipy0de9vqqrpepC0xbbL8F4rqqrFfpe ea0pd9Zqpe0xc9q8qqaqFn0dXdir=xcvk9pIe9q8qqaq=dir=f0=yq aqVeLsFr0=vr0=vr0db8meaabaqaciaacaGaaeqabaWaaqaafaaake aaqaaaaaaaaaWdbiabeg9ak9aadaWgaaWcbaWdbiabg6HiLcWdaeqa aaaa@3F8D@   MathType@MTEF@5@5@+= feaahqart1ev3aqatCvAUfeBSjuyZL2yd9gzLbvyNv2CaerbuLwBLn hiov2DGi1BTfMBaeXatLxBI9gBaerbd9wDYLwzYbItLDharqqtubsr 4rNCHbGeaGqiVu0Je9sqqrpepC0xbbL8F4rqqrFfpeea0xe9Lq=Jc9 vqaqpepm0xbba9pwe9Q8fs0=yqaqpepae9pg0FirpepeKkFr0xfr=x fr=xb9adbaqaaeGaciGaaiaabeqaamaabaabaaGcbaacbaqcLbyaqa aaaaaaaaWdbiaa=rbiaaa@37C1@  температура жидкости вдали от фронта кристаллизации, k s MathType@MTEF@5@5@+= feaahqart1ev3aqatCvAUfeBSjuyZL2yd9gzLbvyNv2Caerbov2D09 MBaeXatLxBI9gBaerbd9wDYLwzYbItLDharuavP1wzZbItLDhis9wB H5garqqtubsr4rNCHbGeaGqipy0de9vqqrpepC0xbbL8F4rqqrFfpe ea0pd9Zqpe0xc9q8qqaqFn0dXdir=xcvk9pIe9q8qqaq=dir=f0=yq aqVeLsFr0=vr0=vr0db8meaabaqaciaacaGaaeqabaWaaqaafaaake aaqaaaaaaaaaWdbiaadUgapaWaaSbaaSqaa8qacaWGZbaapaqabaaa aa@3E5C@   MathType@MTEF@5@5@+= feaahqart1ev3aqatCvAUfeBSjuyZL2yd9gzLbvyNv2CaerbuLwBLn hiov2DGi1BTfMBaeXatLxBI9gBaerbd9wDYLwzYbItLDharqqtubsr 4rNCHbGeaGqiVu0Je9sqqrpepC0xbbL8F4rqqrFfpeea0xe9Lq=Jc9 vqaqpepm0xbba9pwe9Q8fs0=yqaqpepae9pg0FirpepeKkFr0xfr=x fr=xb9adbaqaaeGaciGaaiaabeqaamaabaabaaGcbaacbaqcLbyaqa aaaaaaaaWdbiaa=rbiaaa@37C1@  теплопроводность твердого тела, f ϑ l MathType@MTEF@5@5@+= feaahqart1ev3aqatCvAUfeBSjuyZL2yd9gzLbvyNv2Caerbov2D09 MBaeXatLxBI9gBaerbd9wDYLwzYbItLDharuavP1wzZbItLDhis9wB H5garqqtubsr4rNCHbGeaGqipy0de9vqqrpepC0xbbL8F4rqqrFfpe ea0pd9Zqpe0xc9q8qqaqFn0dXdir=xcvk9pIe9q8qqaq=dir=f0=yq aqVeLsFr0=vr0=vr0db8meaabaqaciaacaGaaeqabaWaaqaafaaake aaqaaaaaaaaaWdbiaadAgadaqadaWdaeaapeGaeqy0dO0damaaBaaa leaapeGaamiBaaWdaeqaaaGcpeGaayjkaiaawMcaaaaa@41BA@   MathType@MTEF@5@5@+= feaahqart1ev3aqatCvAUfeBSjuyZL2yd9gzLbvyNv2CaerbuLwBLn hiov2DGi1BTfMBaeXatLxBI9gBaerbd9wDYLwzYbItLDharqqtubsr 4rNCHbGeaGqiVu0Je9sqqrpepC0xbbL8F4rqqrFfpeea0xe9Lq=Jc9 vqaqpepm0xbba9pwe9Q8fs0=yqaqpepae9pg0FirpepeKkFr0xfr=x fr=xb9adbaqaaeGaciGaaiaabeqaamaabaabaaGcbaacbaqcLbyaqa aaaaaaaaWdbiaa=rbiaaa@37C1@  конвективный тепловой поток. Следует отметить, что в случае плоской границы раздела между твердым телом и жидкостью H = 0, а при малых морфологических возмущениях (линейная теория) Н 2 Z t MathType@MTEF@5@5@+= feaahqart1ev3aqatCvAUfeBSjuyZL2yd9gzLbvyNv2Caerbov2D09 MBaeXatLxBI9gBaerbd9wDYLwzYbItLDharuavP1wzZbItLDhis9wB H5garqqtubsr4rNCHbGeaGqipy0de9vqqrpepC0xbbL8F4rqqrFfpe ea0pd9Zqpe0xc9q8qqaqFn0dXdir=xcvk9pIe9q8qqaq=dir=f0=yq aqVeLsFr0=vr0=vr0db8meaabaqaciaacaGaaeqabaWaaqaafaaake aatCvAUjvDZnxAH5garyWuJH2BVXMqV92Adbacgaaeaaaaaaaaa8qa cqWFDqqZcqGHijYUcqGHhis0paWaaWbaaSqabeaapeGaaGOmaaaaru GtLDhDV52qaGWbcOGab4NwayaafaWaaeWaa8aabaWdbiaadshaaiaa wIcacaGLPaaaaaa@50C3@ . Конвективный тепловой поток f ϑ l MathType@MTEF@5@5@+= feaahqart1ev3aqatCvAUfeBSjuyZL2yd9gzLbvyNv2Caerbov2D09 MBaeXatLxBI9gBaerbd9wDYLwzYbItLDharuavP1wzZbItLDhis9wB H5garqqtubsr4rNCHbGeaGqipy0de9vqqrpepC0xbbL8F4rqqrFfpe ea0pd9Zqpe0xc9q8qqaqFn0dXdir=xcvk9pIe9q8qqaq=dir=f0=yq aqVeLsFr0=vr0=vr0db8meaabaqaciaacaGaaeqabaWaaqaafaaake aaqaaaaaaaaaWdbiaadAgadaqadaWdaeaapeGaeqy0dO0damaaBaaa leaapeGaamiBaaWdaeqaaaGcpeGaayjkaiaawMcaaaaa@41BA@  задается в следующем виде [34, 35]:

f ϑ l = 2 4/3 λ k l α ϑ l g D l ϰ 1/3 ϑ ϑ l 4/3 , MathType@MTEF@5@5@+= feaahqart1ev3aqatCvAUfeBSjuyZL2yd9gzLbvyNv2Caerbov2D09 MBaeXatLxBI9gBaerbd9wDYLwzYbItLDharuavP1wzZbItLDhis9wB H5garqqtubsr4rNCHbGeaGqipy0de9vqqrpepC0xbbL8F4rqqrFfpe ea0pd9Zqpe0xc9q8qqaqFn0dXdir=xcvk9pIe9q8qqaq=dir=f0=yq aqVeLsFr0=vr0=vr0db8meaabaqaciaacaGaaeqabaWaaqaafaaake aaqaaaaaaaaaWdbiaadAgadaqadaWdaeaapeGaeqy0dO0damaaBaaa leaapeGaamiBaaWdaeqaaaGcpeGaayjkaiaawMcaaiabg2da9iaaik dapaWaaWbaaSqabeaapeGaaGinaiaac+cacaaIZaaaaOGaeq4UdWMa am4Aa8aadaWgaaWcbaWdbiaadYgaa8aabeaak8qadaqadaWdaeaape WaaSaaa8aabaWdbiabeg7aHnaabmaapaqaa8qacqaHrpGspaWaaSba aSqaa8qacaWGSbaapaqabaaak8qacaGLOaGaayzkaaGaam4zaaWdae aapeGaamira8aadaWgaaWcbaWdbiaadYgaa8aabeaatuuDJXwAK1uy 0HwmaeHbfv3ySLgzG0uy0Hgip5wzaGGbaOWdbiab=b=a5daaaiaawI cacaGLPaaapaWaaWbaaSqabeaapeGaaGymaiaac+cacaaIZaaaaOWa aeWaa8aabaWdbiabeg9ak9aadaWgaaWcbaWdbiabg6HiLcWdaeqaaO WdbiabgkHiTiabeg9ak9aadaWgaaWcbaWdbiaadYgaa8aabeaaaOWd biaawIcacaGLPaaapaWaaWbaaSqabeaapeGaaGinaiaac+cacaaIZa aaaOGaaiilaaaa@704D@  (5)

где λ MathType@MTEF@5@5@+= feaahqart1ev3aqatCvAUfeBSjuyZL2yd9gzLbvyNv2Caerbov2D09 MBaeXatLxBI9gBaerbd9wDYLwzYbItLDharuavP1wzZbItLDhis9wB H5garqqtubsr4rNCHbGeaGqipy0de9vqqrpepC0xbbL8F4rqqrFfpe ea0pd9Zqpe0xc9q8qqaqFn0dXdir=xcvk9pIe9q8qqaq=dir=f0=yq aqVeLsFr0=vr0=vr0db8meaabaqaciaacaGaaeqabaWaaqaafaaake aaqaaaaaaaaaWdbiabeU7aSbaa@3DCE@   MathType@MTEF@5@5@+= feaahqart1ev3aqatCvAUfeBSjuyZL2yd9gzLbvyNv2CaerbuLwBLn hiov2DGi1BTfMBaeXatLxBI9gBaerbd9wDYLwzYbItLDharqqtubsr 4rNCHbGeaGqiVu0Je9sqqrpepC0xbbL8F4rqqrFfpeea0xe9Lq=Jc9 vqaqpepm0xbba9pwe9Q8fs0=yqaqpepae9pg0FirpepeKkFr0xfr=x fr=xb9adbaqaaeGaciGaaiaabeqaamaabaabaaGcbaacbaqcLbyaqa aaaaaaaaWdbiaa=rbiaaa@37C1@  безразмерная постоянная, k l MathType@MTEF@5@5@+= feaahqart1ev3aqatCvAUfeBSjuyZL2yd9gzLbvyNv2Caerbov2D09 MBaeXatLxBI9gBaerbd9wDYLwzYbItLDharuavP1wzZbItLDhis9wB H5garqqtubsr4rNCHbGeaGqipy0de9vqqrpepC0xbbL8F4rqqrFfpe ea0pd9Zqpe0xc9q8qqaqFn0dXdir=xcvk9pIe9q8qqaq=dir=f0=yq aqVeLsFr0=vr0=vr0db8meaabaqaciaacaGaaeqabaWaaqaafaaake aaqaaaaaaaaaWdbiaadUgapaWaaSbaaSqaa8qacaWGSbaapaqabaaa aa@3E55@   MathType@MTEF@5@5@+= feaahqart1ev3aqatCvAUfeBSjuyZL2yd9gzLbvyNv2CaerbuLwBLn hiov2DGi1BTfMBaeXatLxBI9gBaerbd9wDYLwzYbItLDharqqtubsr 4rNCHbGeaGqiVu0Je9sqqrpepC0xbbL8F4rqqrFfpeea0xe9Lq=Jc9 vqaqpepm0xbba9pwe9Q8fs0=yqaqpepae9pg0FirpepeKkFr0xfr=x fr=xb9adbaqaaeGaciGaaiaabeqaamaabaabaaGcbaacbaqcLbyaqa aaaaaaaaWdbiaa=rbiaaa@37C1@  теплопроводность жидкости, D l = k l / c l MathType@MTEF@5@5@+= feaahqart1ev3aqatCvAUfeBSjuyZL2yd9gzLbvyNv2Caerbov2D09 MBaeXatLxBI9gBaerbd9wDYLwzYbItLDharuavP1wzZbItLDhis9wB H5garqqtubsr4rNCHbGeaGqipy0de9vqqrpepC0xbbL8F4rqqrFfpe ea0pd9Zqpe0xc9q8qqaqFn0dXdir=xcvk9pIe9q8qqaq=dir=f0=yq aqVeLsFr0=vr0=vr0db8meaabaqaciaacaGaaeqabaWaaqaafaaake aaqaaaaaaaaaWdbiaadseapaWaaSbaaSqaa8qacaWGSbaapaqabaGc peGaeyypa0Jaam4Aa8aadaWgaaWcbaWdbiaadYgaa8aabeaak8qaca GGVaGaam4ya8aadaWgaaWcbaWdbiaadYgaa8aabeaaaaa@4489@ , ϰ MathType@MTEF@5@5@+= feaahqart1ev3aqatCvAUfeBSjuyZL2yd9gzLbvyNv2Caerbov2D09 MBaeXatLxBI9gBaerbd9wDYLwzYbItLDharuavP1wzZbItLDhis9wB H5garqqtubsr4rNCHbGeaGqipy0de9vqqrpepC0xbbL8F4rqqrFfpe ea0pd9Zqpe0xc9q8qqaqFn0dXdir=xcvk9pIe9q8qqaq=dir=f0=yq aqVeLsFr0=vr0=vr0db8meaabaqaciaacaGaaeqabaWaaqaafaaake aatuuDJXwAK1uy0HwmaeHbfv3ySLgzG0uy0Hgip5wzaGGbcabaaaaa aaaapeGae8h8dKpaaa@4818@   MathType@MTEF@5@5@+= feaahqart1ev3aqatCvAUfeBSjuyZL2yd9gzLbvyNv2CaerbuLwBLn hiov2DGi1BTfMBaeXatLxBI9gBaerbd9wDYLwzYbItLDharqqtubsr 4rNCHbGeaGqiVu0Je9sqqrpepC0xbbL8F4rqqrFfpeea0xe9Lq=Jc9 vqaqpepm0xbba9pwe9Q8fs0=yqaqpepae9pg0FirpepeKkFr0xfr=x fr=xb9adbaqaaeGaciGaaiaabeqaamaabaabaaGcbaacbaqcLbyaqa aaaaaaaaWdbiaa=rbiaaa@37C1@  кинематическая вязкость, α MathType@MTEF@5@5@+= feaahqart1ev3aqatCvAUfeBSjuyZL2yd9gzLbvyNv2Caerbov2D09 MBaeXatLxBI9gBaerbd9wDYLwzYbItLDharuavP1wzZbItLDhis9wB H5garqqtubsr4rNCHbGeaGqipy0de9vqqrpepC0xbbL8F4rqqrFfpe ea0pd9Zqpe0xc9q8qqaqFn0dXdir=xcvk9pIe9q8qqaq=dir=f0=yq aqVeLsFr0=vr0=vr0db8meaabaqaciaacaGaaeqabaWaaqaafaaake aaqaaaaaaaaaWdbiabeg7aHbaa@3DB9@   MathType@MTEF@5@5@+= feaahqart1ev3aqatCvAUfeBSjuyZL2yd9gzLbvyNv2CaerbuLwBLn hiov2DGi1BTfMBaeXatLxBI9gBaerbd9wDYLwzYbItLDharqqtubsr 4rNCHbGeaGqiVu0Je9sqqrpepC0xbbL8F4rqqrFfpeea0xe9Lq=Jc9 vqaqpepm0xbba9pwe9Q8fs0=yqaqpepae9pg0FirpepeKkFr0xfr=x fr=xb9adbaqaaeGaciGaaiaabeqaamaabaabaaGcbaacbaqcLbyaqa aaaaaaaaWdbiaa=rbiaaa@37C1@  коэффициент теплового расширения, g MathType@MTEF@5@5@+= feaahqart1ev3aqatCvAUfeBSjuyZL2yd9gzLbvyNv2Caerbov2D09 MBaeXatLxBI9gBaerbd9wDYLwzYbItLDharuavP1wzZbItLDhis9wB H5garqqtubsr4rNCHbGeaGqipy0de9vqqrpepC0xbbL8F4rqqrFfpe ea0pd9Zqpe0xc9q8qqaqFn0dXdir=xcvk9pIe9q8qqaq=dir=f0=yq aqVeLsFr0=vr0=vr0db8meaabaqaciaacaGaaeqabaWaaqaafaaake aaqaaaaaaaaaWdbiaadEgaaaa@3D06@   MathType@MTEF@5@5@+= feaahqart1ev3aqatCvAUfeBSjuyZL2yd9gzLbvyNv2CaerbuLwBLn hiov2DGi1BTfMBaeXatLxBI9gBaerbd9wDYLwzYbItLDharqqtubsr 4rNCHbGeaGqiVu0Je9sqqrpepC0xbbL8F4rqqrFfpeea0xe9Lq=Jc9 vqaqpepm0xbba9pwe9Q8fs0=yqaqpepae9pg0FirpepeKkFr0xfr=x fr=xb9adbaqaaeGaciGaaiaabeqaamaabaabaaGcbaacbaqcLbyaqa aaaaaaaaWdbiaa=rbiaaa@37C1@  ускорение свободного падения. Отметим, что α MathType@MTEF@5@5@+= feaahqart1ev3aqatCvAUfeBSjuyZL2yd9gzLbvyNv2Caerbov2D09 MBaeXatLxBI9gBaerbd9wDYLwzYbItLDharuavP1wzZbItLDhis9wB H5garqqtubsr4rNCHbGeaGqipy0de9vqqrpepC0xbbL8F4rqqrFfpe ea0pd9Zqpe0xc9q8qqaqFn0dXdir=xcvk9pIe9q8qqaq=dir=f0=yq aqVeLsFr0=vr0=vr0db8meaabaqaciaacaGaaeqabaWaaqaafaaake aaqaaaaaaaaaWdbiabeg7aHbaa@3DB9@  может быть функцией от ϑ l MathType@MTEF@5@5@+= feaahqart1ev3aqatCvAUfeBSjuyZL2yd9gzLbvyNv2Caerbov2D09 MBaeXatLxBI9gBaerbd9wDYLwzYbItLDharuavP1wzZbItLDhis9wB H5garqqtubsr4rNCHbGeaGqipy0de9vqqrpepC0xbbL8F4rqqrFfpe ea0pd9Zqpe0xc9q8qqaqFn0dXdir=xcvk9pIe9q8qqaq=dir=f0=yq aqVeLsFr0=vr0=vr0db8meaabaqaciaacaGaaeqabaWaaqaafaaake aaqaaaaaaaaaWdbiabeg9ak9aadaWgaaWcbaWdbiaadYgaa8aabeaa aaa@3F0D@ : α ϑ l = 10 4 2.25+0.15 ϑ l MathType@MTEF@5@5@+= feaahqart1ev3aqatCvAUfeBSjuyZL2yd9gzLbvyNv2Caerbov2D09 MBaeXatLxBI9gBaerbd9wDYLwzYbItLDharuavP1wzZbItLDhis9wB H5garqqtubsr4rNCHbGeaGqipy0de9vqqrpepC0xbbL8F4rqqrFfpe ea0pd9Zqpe0xc9q8qqaqFn0dXdir=xcvk9pIe9q8qqaq=dir=f0=yq aqVeLsFr0=vr0=vr0db8meaabaqaciaacaGaaeqabaWaaqaafaaake aaqaaaaaaaaaWdbiabeg7aHnaabmaapaqaa8qacqaHrpGspaWaaSba aSqaa8qacaWGSbaapaqabaaak8qacaGLOaGaayzkaaGaeyypa0JaaG ymaiaaicdapaWaaWbaaSqabeaapeGaeyOeI0IaaGinaaaakmaabmaa paqaa8qacaaIYaGaaiOlaiaaikdacaaI1aGaey4kaSIaaGimaiaac6 cacaaIXaGaaGynaiabeg9ak9aadaWgaaWcbaWdbiaadYgaa8aabeaa aOWdbiaawIcacaGLPaaaaaa@5250@   MathType@MTEF@5@5@+= feaahqart1ev3aqatCvAUfeBSjuyZL2yd9gzLbvyNv2CaerbuLwBLn hiov2DGi1BTfMBaeXatLxBI9gBaerbd9wDYLwzYbItLDharqqtubsr 4rNCHbGeaGqiVu0Je9sqqrpepC0xbbL8F4rqqrFfpeea0xe9Lq=Jc9 vqaqpepm0xbba9pwe9Q8fs0=yqaqpepae9pg0FirpepeKkFr0xfr=x fr=xb9adbaqaaeGaciGaaiaabeqaamaabaabaaGcbaacbaqcLbyaqa aaaaaaaaWdbiaa=nbiaaa@37C0@  для изопропанола [34].

Морфологическая неустойчивость

Предположим, что теплообмен преобладает в направлении пространственной оси z MathType@MTEF@5@5@+= feaahqart1ev3aqatCvAUfeBSjuyZL2yd9gzLbvyNv2Caerbov2D09 MBaeXatLxBI9gBaerbd9wDYLwzYbItLDharuavP1wzZbItLDhis9wB H5garqqtubsr4rNCHbGeaGqipy0de9vqqrpepC0xbbL8F4rqqrFfpe ea0pd9Zqpe0xc9q8qqaqFn0dXdir=xcvk9pIe9q8qqaq=dir=f0=yq aqVeLsFr0=vr0=vr0db8meaabaqaciaacaGaaeqabaWaaqaafaaake aaqaaaaaaaaaWdbiaadQhaaaa@3D19@ . В этом случае установившиеся профили температуры в жидкой и твердой фазах имеют вид ϑ l0 = ϑ l0 z MathType@MTEF@5@5@+= feaahqart1ev3aqatCvAUfeBSjuyZL2yd9gzLbvyNv2Caerbov2D09 MBaeXatLxBI9gBaerbd9wDYLwzYbItLDharuavP1wzZbItLDhis9wB H5garqqtubsr4rNCHbGeaGqipy0de9vqqrpepC0xbbL8F4rqqrFfpe ea0pd9Zqpe0xc9q8qqaqFn0dXdir=xcvk9pIe9q8qqaq=dir=f0=yq aqVeLsFr0=vr0=vr0db8meaabaqaciaacaGaaeqabaWaaqaafaaake aaqaaaaaaaaaWdbiabeg9ak9aadaWgaaWcbaWdbiaadYgacaaIWaaa paqabaGcpeGaeyypa0Jaeqy0dO0damaaBaaaleaapeGaamiBaiaaic daa8aabeaak8qadaqadaWdaeaapeGaamOEaaGaayjkaiaawMcaaaaa @4755@  и ϑ s0 = ϑ s0 z MathType@MTEF@5@5@+= feaahqart1ev3aqatCvAUfeBSjuyZL2yd9gzLbvyNv2Caerbov2D09 MBaeXatLxBI9gBaerbd9wDYLwzYbItLDharuavP1wzZbItLDhis9wB H5garqqtubsr4rNCHbGeaGqipy0de9vqqrpepC0xbbL8F4rqqrFfpe ea0pd9Zqpe0xc9q8qqaqFn0dXdir=xcvk9pIe9q8qqaq=dir=f0=yq aqVeLsFr0=vr0=vr0db8meaabaqaciaacaGaaeqabaWaaqaafaaake aaqaaaaaaaaaWdbiabeg9ak9aadaWgaaWcbaWdbiaadohacaaIWaaa paqabaGcpeGaeyypa0Jaeqy0dO0damaaBaaaleaapeGaam4Caiaaic daa8aabeaak8qadaqadaWdaeaapeGaamOEaaGaayjkaiaawMcaaaaa @4763@  (подстрочный индекс «0» обозначает установившиеся решения).

Из граничного условия (4) находим стационарный градиент температуры в твердом теле при z=0 MathType@MTEF@5@5@+= feaahqart1ev3aqatCvAUfeBSjuyZL2yd9gzLbvyNv2Caerbov2D09 MBaeXatLxBI9gBaerbd9wDYLwzYbItLDharuavP1wzZbItLDhis9wB H5garqqtubsr4rNCHbGeaGqipy0de9vqqrpepC0xbbL8F4rqqrFfpe ea0pd9Zqpe0xc9q8qqaqFn0dXdir=xcvk9pIe9q8qqaq=dir=f0=yq aqVeLsFr0=vr0=vr0db8meaabaqaciaacaGaaeqabaWaaqaafaaake aaqaaaaaaaaaWdbiaadQhacqGH9aqpcaaIWaaaaa@3ED9@ :

d ϑ s0 dz = G s = c l ϑ ϑ int + L V υ s +f ϑ int k s ,  z=0, MathType@MTEF@5@5@+= feaahqart1ev3aqatCvAUfeBSjuyZL2yd9gzLbvyNv2Caerbov2D09 MBaeXatLxBI9gBaerbd9wDYLwzYbItLDharuavP1wzZbItLDhis9wB H5garqqtubsr4rNCHbGeaGqipy0de9vqqrpepC0xbbL8F4rqqrFfpe ea0pd9Zqpe0xc9q8qqaqFn0dXdir=xcvk9pIe9q8qqaq=dir=f0=yq aqVeLsFr0=vr0=vr0db8meaabaqaciaacaGaaeqabaWaaqaafaaakq aaceqaaabaaaaaaaaapeWaaSaaa8aabaWdbiaadsgacqaHrpGspaWa aSbaaSqaa8qacaWGZbGaaGimaaWdaeqaaaGcbaWdbiaadsgacaWG6b aaaiabg2da9iaadEeapaWaaSbaaSqaa8qacaWGZbaapaqabaGcpeGa eyypa0ZaaSaaa8aabaWdbmaadmaapaqaa8qacaWGJbWdamaaBaaale aapeGaamiBaaWdaeqaaOWdbmaabmaapaqaa8qacqaHrpGspaWaaSba aSqaa8qacqGHEisPa8aabeaak8qacqGHsislcqaHrpGspaWaaSbaaS qaa8qacaWGPbGaamOBaiaadshaa8aabeaaaOWdbiaawIcacaGLPaaa cqGHRaWkcaWGmbWdamaaBaaaleaapeGaamOvaaWdaeqaaaGcpeGaay 5waiaaw2faaiabew8a19aadaWgaaWcbaWdbiaadohaa8aabeaak8qa cqGHRaWkcaWGMbWaaeWaa8aabaWdbiabeg9ak9aadaWgaaWcbaWdbi aadMgacaWGUbGaamiDaaWdaeqaaaGcpeGaayjkaiaawMcaaaWdaeaa peGaam4Aa8aadaWgaaWcbaWdbiaadohaa8aabeaaaaGcpeGaaiilaa qaaiaaKdkacaWG6bGaeyypa0JaaGimaiaacYcaaaaa@6D99@  (6)

где ϑ int = ϑ * MathType@MTEF@5@5@+= feaahqart1ev3aqatCvAUfeBSjuyZL2yd9gzLbvyNv2Caerbov2D09 MBaeXatLxBI9gBaerbd9wDYLwzYbItLDharuavP1wzZbItLDhis9wB H5garqqtubsr4rNCHbGeaGqipy0de9vqqrpepC0xbbL8F4rqqrFfpe ea0pd9Zqpe0xc9q8qqaqFn0dXdir=xcvk9pIe9q8qqaq=dir=f0=yq aqVeLsFr0=vr0=vr0db8meaabaqaciaacaGaaeqabaWaaqaafaaake aaqaaaaaaaaaWdbiabeg9ak9aadaWgaaWcbaWdbiaadMgacaWGUbGa amiDaaWdaeqaaOWdbiabg2da9iabeg9ak9aadaWgaaWcbaWdbiaacQ caa8aabeaaaaa@44C6@  для плоской границы раздела твердой и жидкой фаз.

Используя уравнения теплопроводности (1) и (2), находим вторые производные при z=0 MathType@MTEF@5@5@+= feaahqart1ev3aqatCvAUfeBSjuyZL2yd9gzLbvyNv2Caerbov2D09 MBaeXatLxBI9gBaerbd9wDYLwzYbItLDharuavP1wzZbItLDhis9wB H5garqqtubsr4rNCHbGeaGqipy0de9vqqrpepC0xbbL8F4rqqrFfpe ea0pd9Zqpe0xc9q8qqaqFn0dXdir=xcvk9pIe9q8qqaq=dir=f0=yq aqVeLsFr0=vr0=vr0db8meaabaqaciaacaGaaeqabaWaaqaafaaake aaqaaaaaaaaaWdbiaadQhacqGH9aqpcaaIWaaaaa@3ED9@  (здесь используется условие прилипания жидкости к твердому телу, т.е. u=0 MathType@MTEF@5@5@+= feaahqart1ev3aqatCvAUfeBSjuyZL2yd9gzLbvyNv2Caerbov2D09 MBaeXatLxBI9gBaerbd9wDYLwzYbItLDharuavP1wzZbItLDhis9wB H5garqqtubsr4rNCHbGeaGqipy0de9vqqrpepC0xbbL8F4rqqrFfpe ea0pd9Zqpe0xc9q8qqaqFn0dXdir=xcvk9pIe9q8qqaq=dir=f0=yq aqVeLsFr0=vr0=vr0db8meaabaqaciaacaGaaeqabaWaaqaafaaake aaqaaaaaaaaaWdbiaahwhacqGH9aqpcaaIWaaaaa@3ED8@  при z=0 MathType@MTEF@5@5@+= feaahqart1ev3aqatCvAUfeBSjuyZL2yd9gzLbvyNv2Caerbov2D09 MBaeXatLxBI9gBaerbd9wDYLwzYbItLDharuavP1wzZbItLDhis9wB H5garqqtubsr4rNCHbGeaGqipy0de9vqqrpepC0xbbL8F4rqqrFfpe ea0pd9Zqpe0xc9q8qqaqFn0dXdir=xcvk9pIe9q8qqaq=dir=f0=yq aqVeLsFr0=vr0=vr0db8meaabaqaciaacaGaaeqabaWaaqaafaaake aaqaaaaaaaaaWdbiaadQhacqGH9aqpcaaIWaaaaa@3ED9@  ) в виде

d 2 ϑ s0 d z 2 = υ s G s D s ,  d 2 ϑ l0 d z 2 = υ s G l D l ,  z=0, MathType@MTEF@5@5@+= feaahqart1ev3aqatCvAUfeBSjuyZL2yd9gzLbvyNv2Caerbov2D09 MBaeXatLxBI9gBaerbd9wDYLwzYbItLDharuavP1wzZbItLDhis9wB H5garqqtubsr4rNCHbGeaGqipy0de9vqqrpepC0xbbL8F4rqqrFfpe ea0pd9Zqpe0xc9q8qqaqFn0dXdir=xcvk9pIe9q8qqaq=dir=f0=yq aqVeLsFr0=vr0=vr0db8meaabaqaciaacaGaaeqabaWaaqaafaaakq aaceqaaabaaaaaaaaapeWaaSaaa8aabaWdbiaadsgapaWaaWbaaSqa beaapeGaaGOmaaaakiabeg9ak9aadaWgaaWcbaWdbiaadohacaaIWa aapaqabaaakeaapeGaamizaiaadQhapaWaaWbaaSqabeaapeGaaGOm aaaaaaGccqGH9aqpcqGHsisldaWcaaWdaeaaiiGapeGae8xXdu3dam aaBaaaleaapeGaam4CaaWdaeqaaOWdbiaadEeapaWaaSbaaSqaa8qa caWGZbaapaqabaaakeaapeGaamira8aadaWgaaWcbaWdbiaadohaa8 aabeaaaaGcpeGaaiilaiaaKdkaaeaadaWcaaWdaeaapeGaamiza8aa daahaaWcbeqaa8qacaaIYaaaaOGaeqy0dO0damaaBaaaleaapeGaam iBaiaaicdaa8aabeaaaOqaa8qacaWGKbGaamOEa8aadaahaaWcbeqa a8qacaaIYaaaaaaakiabg2da9iabgkHiTmaalaaapaqaa8qacqWFfp qDpaWaaSbaaSqaa8qacaWGZbaapaqabaGcpeGaam4ra8aadaWgaaWc baWdbiaadYgaa8aabeaaaOqaa8qacaWGebWdamaaBaaaleaapeGaam iBaaWdaeqaaaaak8qacaGGSaaabaGaaqoOaiaadQhacqGH9aqpcaaI WaGaaiilaaaaaa@6953@  (7)

где G l =d ϑ l0 /dz MathType@MTEF@5@5@+= feaahqart1ev3aqatCvAUfeBSjuyZL2yd9gzLbvyNv2Caerbov2D09 MBaeXatLxBI9gBaerbd9wDYLwzYbItLDharuavP1wzZbItLDhis9wB H5garqqtubsr4rNCHbGeaGqipy0de9vqqrpepC0xbbL8F4rqqrFfpe ea0pd9Zqpe0xc9q8qqaqFn0dXdir=xcvk9pIe9q8qqaq=dir=f0=yq aqVeLsFr0=vr0=vr0db8meaabaqaciaacaGaaeqabaWaaqaafaaake aaqaaaaaaaaaWdbiaadEeapaWaaSbaaSqaa8qacaWGSbaapaqabaGc peGaeyypa0Jaamizaiabeg9ak9aadaWgaaWcbaWdbiaadYgacaaIWa aapaqabaGcpeGaai4laiaadsgacaWG6baaaa@469C@  при z=0 MathType@MTEF@5@5@+= feaahqart1ev3aqatCvAUfeBSjuyZL2yd9gzLbvyNv2Caerbov2D09 MBaeXatLxBI9gBaerbd9wDYLwzYbItLDharuavP1wzZbItLDhis9wB H5garqqtubsr4rNCHbGeaGqipy0de9vqqrpepC0xbbL8F4rqqrFfpe ea0pd9Zqpe0xc9q8qqaqFn0dXdir=xcvk9pIe9q8qqaq=dir=f0=yq aqVeLsFr0=vr0=vr0db8meaabaqaciaacaGaaeqabaWaaqaafaaake aaqaaaaaaaaaWdbiaadQhacqGH9aqpcaaIWaaaaa@3ED9@ .

Далее, морфологически возмущаем плоскую границу раздела «твердое тело – жидкость» в виде Z = Z А E x,y,t MathType@MTEF@5@5@+= feaahqart1ev3aqatCvAUfeBSjuyZL2yd9gzLbvyNv2Caerbov2D09 MBaeXatLxBI9gBaerbd9wDYLwzYbItLDharuavP1wzZbItLDhis9wB H5garqqtubsr4rNCHbGeaGqipy0de9vqqrpepC0xbbL8F4rqqrFfpe ea0pd9Zqpe0xc9q8qqaqFn0dXdir=xcvk9pIe9q8qqaq=dir=f0=yq aqVeLsFr0=vr0=vr0db8meaabaqaciaacaGaaeqabaWaaqaafaaake aaruGtLDhDV52qaGGbcabaaaaaaaaapeGab8NwayaafaGaeyypa0Ja amOwamaaBaaaleaacaWGqqaabeaakiaadweadaqadaWdaeaapeGaam iEaiaacYcacaWG5bGaaiilaiaadshaaiaawIcacaGLPaaaaaa@495F@  с E=exp i k x x+i k y y+ϖt MathType@MTEF@5@5@+= feaahqart1ev3aqatCvAUfeBSjuyZL2yd9gzLbvyNv2Caerbov2D09 MBaeXatLxBI9gBaerbd9wDYLwzYbItLDharuavP1wzZbItLDhis9wB H5garqqtubsr4rNCHbGeaGqipy0de9vqqrpepC0xbbL8F4rqqrFfpe ea0pd9Zqpe0xc9q8qqaqFn0dXdir=xcvk9pIe9q8qqaq=dir=f0=yq aqVeLsFr0=vr0=vr0db8meaabaqaciaacaGaaeqabaWaaqaafaaake aaqaaaaaaaaaWdbiaadweacqGH9aqpcaqGLbGaaeiEaiaabchadaqa daWdaeaapeGaamyAaiaadUgapaWaaSbaaSqaa8qacaWG4baapaqaba GcpeGaamiEaiabgUcaRiaadMgacaWGRbWdamaaBaaaleaapeGaamyE aaWdaeqaaOWdbiaadMhacqGHRaWkcqaHwpGDcaWG0baacaGLOaGaay zkaaaaaa@4F98@ . Здесь x MathType@MTEF@5@5@+= feaahqart1ev3aqatCvAUfeBSjuyZL2yd9gzLbvyNv2Caerbov2D09 MBaeXatLxBI9gBaerbd9wDYLwzYbItLDharuavP1wzZbItLDhis9wB H5garqqtubsr4rNCHbGeaGqipy0de9vqqrpepC0xbbL8F4rqqrFfpe ea0pd9Zqpe0xc9q8qqaqFn0dXdir=xcvk9pIe9q8qqaq=dir=f0=yq aqVeLsFr0=vr0=vr0db8meaabaqaciaacaGaaeqabaWaaqaafaaake aaqaaaaaaaaaWdbiaadIhaaaa@3D17@  и y MathType@MTEF@5@5@+= feaahqart1ev3aqatCvAUfeBSjuyZL2yd9gzLbvyNv2Caerbov2D09 MBaeXatLxBI9gBaerbd9wDYLwzYbItLDharuavP1wzZbItLDhis9wB H5garqqtubsr4rNCHbGeaGqipy0de9vqqrpepC0xbbL8F4rqqrFfpe ea0pd9Zqpe0xc9q8qqaqFn0dXdir=xcvk9pIe9q8qqaq=dir=f0=yq aqVeLsFr0=vr0=vr0db8meaabaqaciaacaGaaeqabaWaaqaafaaake aaqaaaaaaaaaWdbiaadMhaaaa@3D18@   MathType@MTEF@5@5@+= feaahqart1ev3aqatCvAUfeBSjuyZL2yd9gzLbvyNv2CaerbuLwBLn hiov2DGi1BTfMBaeXatLxBI9gBaerbd9wDYLwzYbItLDharqqtubsr 4rNCHbGeaGqiVu0Je9sqqrpepC0xbbL8F4rqqrFfpeea0xe9Lq=Jc9 vqaqpepm0xbba9pwe9Q8fs0=yqaqpepae9pg0FirpepeKkFr0xfr=x fr=xb9adbaqaaeGaciGaaiaabeqaamaabaabaaGcbaacbaqcLbyaqa aaaaaaaaWdbiaa=rbiaaa@37C1@  декартовы координаты, направленные перпендикулярно оси затвердевания z MathType@MTEF@5@5@+= feaahqart1ev3aqatCvAUfeBSjuyZL2yd9gzLbvyNv2Caerbov2D09 MBaeXatLxBI9gBaerbd9wDYLwzYbItLDharuavP1wzZbItLDhis9wB H5garqqtubsr4rNCHbGeaGqipy0de9vqqrpepC0xbbL8F4rqqrFfpe ea0pd9Zqpe0xc9q8qqaqFn0dXdir=xcvk9pIe9q8qqaq=dir=f0=yq aqVeLsFr0=vr0=vr0db8meaabaqaciaacaGaaeqabaWaaqaafaaake aaqaaaaaaaaaWdbiaadQhaaaa@3D19@ , k x MathType@MTEF@5@5@+= feaahqart1ev3aqatCvAUfeBSjuyZL2yd9gzLbvyNv2Caerbov2D09 MBaeXatLxBI9gBaerbd9wDYLwzYbItLDharuavP1wzZbItLDhis9wB H5garqqtubsr4rNCHbGeaGqipy0de9vqqrpepC0xbbL8F4rqqrFfpe ea0pd9Zqpe0xc9q8qqaqFn0dXdir=xcvk9pIe9q8qqaq=dir=f0=yq aqVeLsFr0=vr0=vr0db8meaabaqaciaacaGaaeqabaWaaqaafaaake aaqaaaaaaaaaWdbiaadUgapaWaaSbaaSqaa8qacaWG4baapaqabaaa aa@3E61@  и k y MathType@MTEF@5@5@+= feaahqart1ev3aqatCvAUfeBSjuyZL2yd9gzLbvyNv2Caerbov2D09 MBaeXatLxBI9gBaerbd9wDYLwzYbItLDharuavP1wzZbItLDhis9wB H5garqqtubsr4rNCHbGeaGqipy0de9vqqrpepC0xbbL8F4rqqrFfpe ea0pd9Zqpe0xc9q8qqaqFn0dXdir=xcvk9pIe9q8qqaq=dir=f0=yq aqVeLsFr0=vr0=vr0db8meaabaqaciaacaGaaeqabaWaaqaafaaake aaqaaaaaaaaaWdbiaadUgapaWaaSbaaSqaa8qacaWG5baapaqabaaa aa@3E62@   MathType@MTEF@5@5@+= feaahqart1ev3aqatCvAUfeBSjuyZL2yd9gzLbvyNv2CaerbuLwBLn hiov2DGi1BTfMBaeXatLxBI9gBaerbd9wDYLwzYbItLDharqqtubsr 4rNCHbGeaGqiVu0Je9sqqrpepC0xbbL8F4rqqrFfpeea0xe9Lq=Jc9 vqaqpepm0xbba9pwe9Q8fs0=yqaqpepae9pg0FirpepeKkFr0xfr=x fr=xb9adbaqaaeGaciGaaiaabeqaamaabaabaaGcbaacbaqcLbyaqa aaaaaaaaWdbiaa=rbiaaa@37C1@  волновые числа возмущений вдоль этих направлений, i MathType@MTEF@5@5@+= feaahqart1ev3aqatCvAUfeBSjuyZL2yd9gzLbvyNv2Caerbov2D09 MBaeXatLxBI9gBaerbd9wDYLwzYbItLDharuavP1wzZbItLDhis9wB H5garqqtubsr4rNCHbGeaGqipy0de9vqqrpepC0xbbL8F4rqqrFfpe ea0pd9Zqpe0xc9q8qqaqFn0dXdir=xcvk9pIe9q8qqaq=dir=f0=yq aqVeLsFr0=vr0=vr0db8meaabaqaciaacaGaaeqabaWaaqaafaaake aaqaaaaaaaaaWdbiaadMgaaaa@3D08@   MathType@MTEF@5@5@+= feaahqart1ev3aqatCvAUfeBSjuyZL2yd9gzLbvyNv2CaerbuLwBLn hiov2DGi1BTfMBaeXatLxBI9gBaerbd9wDYLwzYbItLDharqqtubsr 4rNCHbGeaGqiVu0Je9sqqrpepC0xbbL8F4rqqrFfpeea0xe9Lq=Jc9 vqaqpepm0xbba9pwe9Q8fs0=yqaqpepae9pg0FirpepeKkFr0xfr=x fr=xb9adbaqaaeGaciGaaiaabeqaamaabaabaaGcbaacbaqcLbyaqa aaaaaaaaWdbiaa=rbiaaa@37C1@  мнимая единица, ϖ MathType@MTEF@5@5@+= feaahqart1ev3aqatCvAUfeBSjuyZL2yd9gzLbvyNv2Caerbov2D09 MBaeXatLxBI9gBaerbd9wDYLwzYbItLDharuavP1wzZbItLDhis9wB H5garqqtubsr4rNCHbGeaGqipy0de9vqqrpepC0xbbL8F4rqqrFfpe ea0pd9Zqpe0xc9q8qqaqFn0dXdir=xcvk9pIe9q8qqaq=dir=f0=yq aqVeLsFr0=vr0=vr0db8meaabaqaciaacaGaaeqabaWaaqaafaaake aaqaaaaaaaaaWdbiabeA9a2baa@3DF3@   MathType@MTEF@5@5@+= feaahqart1ev3aqatCvAUfeBSjuyZL2yd9gzLbvyNv2CaerbuLwBLn hiov2DGi1BTfMBaeXatLxBI9gBaerbd9wDYLwzYbItLDharqqtubsr 4rNCHbGeaGqiVu0Je9sqqrpepC0xbbL8F4rqqrFfpeea0xe9Lq=Jc9 vqaqpepm0xbba9pwe9Q8fs0=yqaqpepae9pg0FirpepeKkFr0xfr=x fr=xb9adbaqaaeGaciGaaiaabeqaamaabaabaaGcbaacbaqcLbyaqa aaaaaaaaWdbiaa=rbiaaa@37C1@  частота возмущений. Возмущение границы раздела фаз Z MathType@MTEF@5@5@+= feaahqart1ev3aqatCvAUfeBSjuyZL2yd9gzLbvyNv2Caerbov2D09 MBaeXatLxBI9gBaerbd9wDYLwzYbItLDharuavP1wzZbItLDhis9wB H5garqqtubsr4rNCHbGeaGqipy0de9vqqrpepC0xbbL8F4rqqrFfpe ea0pd9Zqpe0xc9q8qqaqFn0dXdir=xcvk9pIe9q8qqaq=dir=f0=yq aqVeLsFr0=vr0=vr0db8meaabaqaciaacaGaaeqabaWaaqaafaaake aaruGtLDhDV52qaGGbcabaaaaaaaaapeGab8Nwayaafaaaaa@3FE5@  соответствует температурным возмущениям в твердой и жидкой фазах: ϑ s ' = ϑ sA Eexp β s z MathType@MTEF@5@5@+= feaahqart1ev3aqatCvAUfeBSjuyZL2yd9gzLbvyNv2Caerbov2D09 MBaeXatLxBI9gBaerbd9wDYLwzYbItLDharuavP1wzZbItLDhis9wB H5garqqtubsr4rNCHbGeaGqipy0de9vqqrpepC0xbbL8F4rqqrFfpe ea0pd9Zqpe0xc9q8qqaqFn0dXdir=xcvk9pIe9q8qqaq=dir=f0=yq aqVeLsFr0=vr0=vr0db8meaabaqaciaacaGaaeqabaWaaqaafaaake aaqaaaaaaaaaWdbiabeg9aknaaDaaaleaacaWGZbaakeaacaGGNaaa aiabg2da9iabeg9ak9aadaWgaaWcbaWdbiaadohacaWGbbaapaqaba GcpeGaamyraiaabwgacaqG4bGaaeiCamaabmaapaqaa8qacqaHYoGy paWaaSbaaSqaa8qacaWGZbaapaqabaGcpeGaamOEaaGaayjkaiaawM caaaaa@4DD0@ , ϑ l ' = ϑ lA Eexp β l z MathType@MTEF@5@5@+= feaahqart1ev3aqatCvAUfeBSjuyZL2yd9gzLbvyNv2Caerbov2D09 MBaeXatLxBI9gBaerbd9wDYLwzYbItLDharuavP1wzZbItLDhis9wB H5garqqtubsr4rNCHbGeaGqipy0de9vqqrpepC0xbbL8F4rqqrFfpe ea0pd9Zqpe0xc9q8qqaqFn0dXdir=xcvk9pIe9q8qqaq=dir=f0=yq aqVeLsFr0=vr0=vr0db8meaabaqaciaacaGaaeqabaWaaqaafaaake aaqaaaaaaaaaWdbiabeg9aknaaDaaaleaacaWGSbaakeaacaGGNaaa aiabg2da9iabeg9ak9aadaWgaaWcbaWdbiaadYgacaWGbbaapaqaba GcpeGaamyraiaabwgacaqG4bGaaeiCamaabmaapaqaa8qacqaHYoGy paWaaSbaaSqaa8qacaWGSbaapaqabaGcpeGaamOEaaGaayjkaiaawM caaaaa@4DBB@ , где Z А MathType@MTEF@5@5@+= feaahqart1ev3aqatCvAUfeBSjuyZL2yd9gzLbvyNv2Caerbov2D09 MBaeXatLxBI9gBaerbd9wDYLwzYbItLDharuavP1wzZbItLDhis9wB H5garqqtubsr4rNCHbGeaGqipy0de9vqqrpepC0xbbL8F4rqqrFfpe ea0pd9Zqpe0xc9q8qqaqFn0dXdir=xcvk9pIe9q8qqaq=dir=f0=yq aqVeLsFr0=vr0=vr0db8meaabaqaciaacaGaaeqabaWaaqaafaaake aaruGtLDhDV52qaGGbcabaaaaaaaaapeGaa8NwamaaBaaaleaacaWF qqaabeaaaaa@409A@ , ϑ sA MathType@MTEF@5@5@+= feaahqart1ev3aqatCvAUfeBSjuyZL2yd9gzLbvyNv2Caerbov2D09 MBaeXatLxBI9gBaerbd9wDYLwzYbItLDharuavP1wzZbItLDhis9wB H5garqqtubsr4rNCHbGeaGqipy0de9vqqrpepC0xbbL8F4rqqrFfpe ea0pd9Zqpe0xc9q8qqaqFn0dXdir=xcvk9pIe9q8qqaq=dir=f0=yq aqVeLsFr0=vr0=vr0db8meaabaqaciaacaGaaeqabaWaaqaafaaake aaqaaaaaaaaaWdbiabeg9ak9aadaWgaaWcbaWdbiaadohacaWGbbaa paqabaaaaa@3FDA@  и ϑ lA MathType@MTEF@5@5@+= feaahqart1ev3aqatCvAUfeBSjuyZL2yd9gzLbvyNv2Caerbov2D09 MBaeXatLxBI9gBaerbd9wDYLwzYbItLDharuavP1wzZbItLDhis9wB H5garqqtubsr4rNCHbGeaGqipy0de9vqqrpepC0xbbL8F4rqqrFfpe ea0pd9Zqpe0xc9q8qqaqFn0dXdir=xcvk9pIe9q8qqaq=dir=f0=yq aqVeLsFr0=vr0=vr0db8meaabaqaciaacaGaaeqabaWaaqaafaaake aaqaaaaaaaaaWdbiabeg9ak9aadaWgaaWcbaWdbiaadYgacaWGbbaa paqabaaaaa@3FD3@  - амплитуды возмущений, а β s MathType@MTEF@5@5@+= feaahqart1ev3aqatCvAUfeBSjuyZL2yd9gzLbvyNv2Caerbov2D09 MBaeXatLxBI9gBaerbd9wDYLwzYbItLDharuavP1wzZbItLDhis9wB H5garqqtubsr4rNCHbGeaGqipy0de9vqqrpepC0xbbL8F4rqqrFfpe ea0pd9Zqpe0xc9q8qqaqFn0dXdir=xcvk9pIe9q8qqaq=dir=f0=yq aqVeLsFr0=vr0=vr0db8meaabaqaciaacaGaaeqabaWaaqaafaaake aaqaaaaaaaaaWdbiabek7aI9aadaWgaaWcbaWdbiaadohaa8aabeaa aaa@3F0D@  и β l MathType@MTEF@5@5@+= feaahqart1ev3aqatCvAUfeBSjuyZL2yd9gzLbvyNv2Caerbov2D09 MBaeXatLxBI9gBaerbd9wDYLwzYbItLDharuavP1wzZbItLDhis9wB H5garqqtubsr4rNCHbGeaGqipy0de9vqqrpepC0xbbL8F4rqqrFfpe ea0pd9Zqpe0xc9q8qqaqFn0dXdir=xcvk9pIe9q8qqaq=dir=f0=yq aqVeLsFr0=vr0=vr0db8meaabaqaciaacaGaaeqabaWaaqaafaaake aaqaaaaaaaaaWdbiabek7aI9aadaWgaaWcbaWdbiaadYgaa8aabeaa aaa@3F06@  - коэффициенты нарастания/затухания возмущений, которые найдены ниже. Из рассматриваемой линейной теории следует, что ϑ s ' ϑ s0 MathType@MTEF@5@5@+= feaahqart1ev3aqatCvAUfeBSjuyZL2yd9gzLbvyNv2Caerbov2D09 MBaeXatLxBI9gBaerbd9wDYLwzYbItLDharuavP1wzZbItLDhis9wB H5garqqtubsr4rNCHbGeaGqipy0de9vqqrpepC0xbbL8F4rqqrFfpe ea0pd9Zqpe0xc9q8qqaqFn0dXdir=xcvk9pIe9q8qqaq=dir=f0=yq aqVeLsFr0=vr0=vr0db8meaabaqaciaacaGaaeqabaWaaqaafaaake aaqaaaaaaaaaWdbmaaemaapaqaa8qacqaHrpGsdaqhaaWcbaGaam4C aaGcbaGaai4jaaaaaiaawEa7caGLiWoacqWIQjspcqaHrpGspaWaaS baaSqaa8qacaWGZbGaaGimaaWdaeqaaaaa@47EB@  и ϑ l ' ϑ l0 MathType@MTEF@5@5@+= feaahqart1ev3aqatCvAUfeBSjuyZL2yd9gzLbvyNv2Caerbov2D09 MBaeXatLxBI9gBaerbd9wDYLwzYbItLDharuavP1wzZbItLDhis9wB H5garqqtubsr4rNCHbGeaGqipy0de9vqqrpepC0xbbL8F4rqqrFfpe ea0pd9Zqpe0xc9q8qqaqFn0dXdir=xcvk9pIe9q8qqaq=dir=f0=yq aqVeLsFr0=vr0=vr0db8meaabaqaciaacaGaaeqabaWaaqaafaaake aaqaaaaaaaaaWdbmaaemaapaqaa8qacqaHrpGsdaqhaaWcbaGaamiB aaGcbaGaai4jaaaaaiaawEa7caGLiWoacqWIQjspcqaHrpGspaWaaS baaSqaa8qacaWGSbGaaGimaaWdaeqaaaaa@47DD@ .

Далее разлагаем граничные условия (3) и (4) в ряд Тейлора в окрестности невозмущенной границы раздела при z=0 MathType@MTEF@5@5@+= feaahqart1ev3aqatCvAUfeBSjuyZL2yd9gzLbvyNv2Caerbov2D09 MBaeXatLxBI9gBaerbd9wDYLwzYbItLDharuavP1wzZbItLDhis9wB H5garqqtubsr4rNCHbGeaGqipy0de9vqqrpepC0xbbL8F4rqqrFfpe ea0pd9Zqpe0xc9q8qqaqFn0dXdir=xcvk9pIe9q8qqaq=dir=f0=yq aqVeLsFr0=vr0=vr0db8meaabaqaciaacaGaaeqabaWaaqaafaaake aaqaaaaaaaaaWdbiaadQhacqGH9aqpcaaIWaaaaa@3ED9@ . Учитывая только линейные члены в возмущениях, получаем следующие выражения при z=0 MathType@MTEF@5@5@+= feaahqart1ev3aqatCvAUfeBSjuyZL2yd9gzLbvyNv2Caerbov2D09 MBaeXatLxBI9gBaerbd9wDYLwzYbItLDharuavP1wzZbItLDhis9wB H5garqqtubsr4rNCHbGeaGqipy0de9vqqrpepC0xbbL8F4rqqrFfpe ea0pd9Zqpe0xc9q8qqaqFn0dXdir=xcvk9pIe9q8qqaq=dir=f0=yq aqVeLsFr0=vr0=vr0db8meaabaqaciaacaGaaeqabaWaaqaafaaake aaqaaaaaaaaaWdbiaadQhacqGH9aqpcaaIWaaaaa@3ED9@  (см. Приложение)

ϑ sA ϑ lA + G s G l Z A =0, MathType@MTEF@5@5@+= feaahqart1ev3aqatCvAUfeBSjuyZL2yd9gzLbvyNv2Caerbov2D09 MBaeXatLxBI9gBaerbd9wDYLwzYbItLDharuavP1wzZbItLDhis9wB H5garqqtubsr4rNCHbGeaGqipy0de9vqqrpepC0xbbL8F4rqqrFfpe ea0pd9Zqpe0xc9q8qqaqFn0dXdir=xcvk9pIe9q8qqaq=dir=f0=yq aqVeLsFr0=vr0=vr0db8meaabaqaciaacaGaaeqabaWaaqaafaaake aaqaaaaaaaaaWdbiabeg9ak9aadaWgaaWcbaWdbiaadohacaWGbbaa paqabaGcpeGaeyOeI0Iaeqy0dO0damaaBaaaleaapeGaamiBaiaadg eaa8aabeaak8qacqGHRaWkdaqadaWdaeaapeGaam4ra8aadaWgaaWc baWdbiaadohaa8aabeaak8qacqGHsislcaWGhbWdamaaBaaaleaape GaamiBaaWdaeqaaaGcpeGaayjkaiaawMcaaiaadQfapaWaaSbaaSqa a8qacaWGbbaapaqabaGcpeGaeyypa0JaaGimaiaacYcaaaa@511D@  (8)

ϑ lA + Г k h 2 + G l Z A =0, MathType@MTEF@5@5@+= feaahqart1ev3aqatCvAUfeBSjuyZL2yd9gzLbvyNv2Caerbov2D09 MBaeXatLxBI9gBaerbd9wDYLwzYbItLDharuavP1wzZbItLDhis9wB H5garqqtubsr4rNCHbGeaGqipy0de9vqqrpepC0xbbL8F4rqqrFfpe ea0pd9Zqpe0xc9q8qqaqFn0dXdir=xcvk9pIe9q8qqaq=dir=f0=yq aqVeLsFr0=vr0=vr0db8meaabaqaciaacaGaaeqabaWaaqaafaaake aaqaaaaaaaaaWdbiabeg9ak9aadaWgaaWcbaWdbiaadYgacaWGbbaa paqabaGcpeGaey4kaSYaaeWaa8aabaWdbiaabobbcaWGRbWdamaaDa aaleaapeGaamiAaaWdaeaapeGaaGOmaaaakiabgUcaRiaadEeapaWa aSbaaSqaa8qacaWGSbaapaqabaaak8qacaGLOaGaayzkaaGaamOwa8 aadaWgaaWcbaWdbiaadgeaa8aabeaak8qacqGH9aqpcaaIWaGaaiil aaaa@4DBB@  (9)

k s β s ϑ sA + c l υ s f ϑ lA k s υ s G s D s + f G l c l υ s G l + + c l ϖ ϑ ϑ int + L V ϖ Z A =0, MathType@MTEF@5@5@+= feaahqart1ev3aqatCvAUfeBSjuyZL2yd9gzLbvyNv2Caerbov2D09 MBaeXatLxBI9gBaerbd9wDYLwzYbItLDharuavP1wzZbItLDhis9wB H5garqqtubsr4rNCHbGeaGqipy0de9vqqrpepC0xbbL8F4rqqrFfpe ea0pd9Zqpe0xc9q8qqaqFn0dXdir=xcvk9pIe9q8qqaq=dir=f0=yq aqVeLsFr0=vr0=vr0db8meaabaqaciaacaGaaeqabaWaaqaafaaakq aaceqaaabaaaaaaaaapeGaam4Aa8aadaWgaaWcbaWdbiaadohaa8aa beaak8qacqaHYoGypaWaaSbaaSqaa8qacaWGZbaapaqabaGcpeGaeq y0dO0damaaBaaaleaapeGaam4Caiaadgeaa8aabeaak8qacqGHRaWk daqadaWdaeaapeGaam4ya8aadaWgaaWcbaWdbiaadYgaa8aabeaaii Gak8qacqWFfpqDpaWaaSbaaSqaa8qacaWGZbaapaqabaGcpeGaeyOe I0IabmOza8aagaqbaaWdbiaawIcacaGLPaaacqaHrpGspaWaaSbaaS qaa8qacaWGSbGaamyqaaWdaeqaaOWdbiabgkHiTaqaaiabgkHiTiaa ysW7daqadaWdaqaaceqaa8qadaWcaaWdaeaapeGaam4Aa8aadaWgaa WcbaWdbiaadohaa8aabeaak8qacqaHfpqDpaWaaSbaaSqaa8qacaWG ZbaapaqabaGcpeGaam4ra8aadaWgaaWcbaWdbiaadohaa8aabeaaaO qaa8qacaWGebWdamaaBaaaleaapeGaam4CaaWdaeqaaaaak8qacqGH RaWkceWGMbWdayaafaWdbiaadEeapaWaaSbaaSqaa8qacaWGSbaapa qabaGcpeGaeyOeI0Iaam4ya8aadaWgaaWcbaWdbiaadYgaa8aabeaa k8qacqWFfpqDpaWaaSbaaSqaa8qacaWGZbaapaqabaGcpeGaam4ra8 aadaWgaaWcbaWdbiaadYgaa8aabeaak8qacqGHRaWkaeaacqGHRaWk caaMe8Uaam4ya8aadaWgaaWcbaWdbiaadYgaa8aabeaak8qacqaHwp GDdaqadaWdaeaapeGaeqy0dO0damaaBaaaleaapeGaeyOhIukapaqa baGcpeGaeyOeI0Iaeqy0dO0damaaBaaaleaapeGaamyAaiaad6gaca WG0baapaqabaaak8qacaGLOaGaayzkaaGaey4kaSIaamita8aadaWg aaWcbaWdbiaadAfaa8aabeaak8qacqaHwpGDaaGaayjkaiaawMcaai aadQfapaWaaSbaaSqaa8qacaWGbbaapaqabaGcpeGaeyypa0JaaGim aiaacYcaaaaa@8B43@  (10)

где k h 2 = k x 2 + k y 2 MathType@MTEF@5@5@+= feaahqart1ev3aqatCvAUfeBSjuyZL2yd9gzLbvyNv2Caerbov2D09 MBaeXatLxBI9gBaerbd9wDYLwzYbItLDharuavP1wzZbItLDhis9wB H5garqqtubsr4rNCHbGeaGqipy0de9vqqrpepC0xbbL8F4rqqrFfpe ea0pd9Zqpe0xc9q8qqaqFn0dXdir=xcvk9pIe9q8qqaq=dir=f0=yq aqVeLsFr0=vr0=vr0db8meaabaqaciaacaGaaeqabaWaaqaafaaake aaqaaaaaaaaaWdbiaadUgapaWaa0baaSqaa8qacaWGObaapaqaa8qa caaIYaaaaOGaeyypa0Jaam4Aa8aadaqhaaWcbaWdbiaadIhaa8aaba WdbiaaikdaaaGccqGHRaWkcaWGRbWdamaaDaaaleaapeGaamyEaaWd aeaapeGaaGOmaaaaaaa@4743@  и f =df/d ϑ l MathType@MTEF@5@5@+= feaahqart1ev3aqatCvAUfeBSjuyZL2yd9gzLbvyNv2Caerbov2D09 MBaeXatLxBI9gBaerbd9wDYLwzYbItLDharuavP1wzZbItLDhis9wB H5garqqtubsr4rNCHbGeaGqipy0de9vqqrpepC0xbbL8F4rqqrFfpe ea0pd9Zqpe0xc9q8qqaqFn0dXdir=xcvk9pIe9q8qqaq=dir=f0=yq aqVeLsFr0=vr0=vr0db8meaabaqaciaacaGaaeqabaWaaqaafaaake aaqaaaaaaaaaWdbiqadAgapaGbauaapeGaeyypa0JaamizaiaadAga caGGVaGaamizaiabeg9ak9aadaWgaaWcbaWdbiaadYgaa8aabeaaaa a@4499@  при ϑ l = ϑ int , MathType@MTEF@5@5@+= feaahqart1ev3aqatCvAUfeBSjuyZL2yd9gzLbvyNv2Caerbov2D09 MBaeXatLxBI9gBaerbd9wDYLwzYbItLDharuavP1wzZbItLDhis9wB H5garqqtubsr4rNCHbGeaGqipy0de9vqqrpepC0xbbL8F4rqqrFfpe ea0pd9Zqpe0xc9q8qqaqFn0dXdir=xcvk9pIe9q8qqaq=dir=f0=yq aqVeLsFr0=vr0=vr0db8meaabaqaciaacaGaaeqabaWaaqaafaaake aaqaaaaaaaaaWdbiabeg9ak9aadaWgaaWcbaWdbiaadYgaa8aabeaa k8qacqGH9aqpcqaHrpGspaWaaSbaaSqaa8qacaWGPbGaamOBaiaads haa8aabeaak8qacaGGSaaaaa@45D3@  то есть

f = 2 4/3 λ k l α ϑ int g D l ϰ ϑ ϑ int 1/3 × × 5 10 6 ϑ ϑ int α ϑ int 4 3 . MathType@MTEF@5@5@+= feaahqart1ev3aqatCvAUfeBSjuyZL2yd9gzLbvyNv2Caerbov2D09 MBaeXatLxBI9gBaerbd9wDYLwzYbItLDharuavP1wzZbItLDhis9wB H5garqqtubsr4rNCHbGeaGqipy0de9vqqrpepC0xbbL8F4rqqrFfpe ea0pd9Zqpe0xc9q8qqaqFn0dXdir=xcvk9pIe9q8qqaq=dir=f0=yq aqVeLsFr0=vr0=vr0db8meaabaqaciaacaGaaeqabaWaaqaafaaakq aaceqaaabaaaaaaaaapeGabmOza8aagaqba8qacqGH9aqpcaaIYaWd amaaCaaaleqabaWdbiaaisdacaGGVaGaaG4maaaakiabeU7aSjaadU gapaWaaSbaaSqaa8qacaWGSbaapaqabaGcpeWaamWaa8aabaWdbmaa laaapaqaa8qacqaHXoqydaqadaWdaeaapeGaeqy0dO0damaaBaaale aapeGaamyAaiaad6gacaWG0baapaqabaaak8qacaGLOaGaayzkaaGa am4zaaWdaeaapeGaamira8aadaWgaaWcbaWdbiaadYgaa8aabeaatu uDJXwAK1uy0HwmaeHbfv3ySLgzG0uy0Hgip5wzaGGbaOWdbiab=b=a 5daadaqadaWdaeaapeGaeqy0dO0damaaBaaaleaapeGaeyOhIukapa qabaGcpeGaeyOeI0Iaeqy0dO0damaaBaaaleaapeGaamyAaiaad6ga caWG0baapaqabaaak8qacaGLOaGaayzkaaaacaGLBbGaayzxaaWdam aaCaaaleqabaWdbiaaigdacaGGVaGaaG4maaaak8aacqGHxdaTaeaa cqGHxdaTcaaMe8+dbmaabmaapaqaa8qadaWcaaWdaeaapeGaaGynai abgwSixlaaigdacaaIWaWdamaaCaaaleqabaWdbiabgkHiTiaaiAda aaGcdaqadaWdaeaapeGaeqy0dO0damaaBaaaleaapeGaeyOhIukapa qabaGcpeGaeyOeI0Iaeqy0dO0damaaBaaaleaapeGaamyAaiaad6ga caWG0baapaqabaaak8qacaGLOaGaayzkaaaapaqaa8qacqaHXoqyda qadaWdaeaapeGaeqy0dO0damaaBaaaleaapeGaamyAaiaad6gacaWG 0baapaqabaaak8qacaGLOaGaayzkaaaaaiabgkHiTmaalaaapaqaa8 qacaaI0aaapaqaa8qacaaIZaaaaaGaayjkaiaawMcaaiaac6caaaaa @91E0@  (11)

Уравнения теплопереноса (1) и (2) приводят к следующим соотношениям при z=0 MathType@MTEF@5@5@+= feaahqart1ev3aqatCvAUfeBSjuyZL2yd9gzLbvyNv2Caerbov2D09 MBaeXatLxBI9gBaerbd9wDYLwzYbItLDharuavP1wzZbItLDhis9wB H5garqqtubsr4rNCHbGeaGqipy0de9vqqrpepC0xbbL8F4rqqrFfpe ea0pd9Zqpe0xc9q8qqaqFn0dXdir=xcvk9pIe9q8qqaq=dir=f0=yq aqVeLsFr0=vr0=vr0db8meaabaqaciaacaGaaeqabaWaaqaafaaake aaqaaaaaaaaaWdbiaadQhacqGH9aqpcaaIWaaaaa@3ED9@

ϖ β l υ s β l 2 k h 2 D l ϑ lA + U z G l Z A =0, MathType@MTEF@5@5@+= feaahqart1ev3aqatCvAUfeBSjuyZL2yd9gzLbvyNv2Caerbov2D09 MBaeXatLxBI9gBaerbd9wDYLwzYbItLDharuavP1wzZbItLDhis9wB H5garqqtubsr4rNCHbGeaGqipy0de9vqqrpepC0xbbL8F4rqqrFfpe ea0pd9Zqpe0xc9q8qqaqFn0dXdir=xcvk9pIe9q8qqaq=dir=f0=yq aqVeLsFr0=vr0=vr0db8meaabaqaciaacaGaaeqabaWaaqaafaaake aaqaaaaaaaaaWdbmaabmaapaqaa8qacqaHwpGDcqGHsislcqaHYoGy paWaaSbaaSqaa8qacaWGSbaapaqabaacciGcpeGae8xXdu3damaaBa aaleaapeGaam4CaaWdaeqaaOWdbiabgkHiTmaabmaapaqaa8qacqaH YoGypaWaa0baaSqaa8qacaWGSbaapaqaa8qacaaIYaaaaOGaeyOeI0 Iaam4Aa8aadaqhaaWcbaWdbiaadIgaa8aabaWdbiaaikdaaaaakiaa wIcacaGLPaaacaWGebWdamaaBaaaleaapeGaamiBaaWdaeqaaaGcpe GaayjkaiaawMcaaiabeg9ak9aadaWgaaWcbaWdbiaadYgacaWGbbaa paqabaGcpeGaey4kaSIaamyva8aadaWgaaWcbaWdbiaadQhaa8aabe aak8qacaWGhbWdamaaBaaaleaapeGaamiBaaWdaeqaaOWdbiaadQfa paWaaSbaaSqaa8qacaWGbbaapaqabaGcpeGaeyypa0JaaGimaiaacY caaaa@6105@  (12)

β s = υ s 2 D s 1± 1+ 4 D s υ s 2 ϖ+ k h 2 D s , MathType@MTEF@5@5@+= feaahqart1ev3aqatCvAUfeBSjuyZL2yd9gzLbvyNv2Caerbov2D09 MBaeXatLxBI9gBaerbd9wDYLwzYbItLDharuavP1wzZbItLDhis9wB H5garqqtubsr4rNCHbGeaGqipy0de9vqqrpepC0xbbL8F4rqqrFfpe ea0pd9Zqpe0xc9q8qqaqFn0dXdir=xcvk9pIe9q8qqaq=dir=f0=yq aqVeLsFr0=vr0=vr0db8meaabaqaciaacaGaaeqabaWaaqaafaaake aaqaaaaaaaaaWdbiabek7aI9aadaWgaaWcbaWdbiaadohaa8aabeaa k8qacqGH9aqpcqGHsisldaWcaaWdaeaaiiGapeGae8xXdu3damaaBa aaleaapeGaam4CaaWdaeqaaaGcbaWdbiaaikdacaWGebWdamaaBaaa leaapeGaam4CaaWdaeqaaaaak8qadaqadaWdaeaapeGaaGymaiabgg laXoaakaaapaqaa8qacaaIXaGaey4kaSYaaSaaa8aabaWdbiaaisda caWGebWdamaaBaaaleaapeGaam4CaaWdaeqaaaGcbaWdbiab=v8a19 aadaqhaaWcbaWdbiaadohaa8aabaWdbiaaikdaaaaaaOWaaeWaa8aa baWdbiabeA9a2jabgUcaRiaadUgapaWaa0baaSqaa8qacaWGObaapa qaa8qacaaIYaaaaOGaamira8aadaWgaaWcbaWdbiaadohaa8aabeaa aOWdbiaawIcacaGLPaaaaSqabaaakiaawIcacaGLPaaacaGGSaaaaa@5F09@  (13)

где U z = u z0 /z MathType@MTEF@5@5@+= feaahqart1ev3aqatCvAUfeBSjuyZL2yd9gzLbvyNv2Caerbov2D09 MBaeXatLxBI9gBaerbd9wDYLwzYbItLDharuavP1wzZbItLDhis9wB H5garqqtubsr4rNCHbGeaGqipy0de9vqqrpepC0xbbL8F4rqqrFfpe ea0pd9Zqpe0xc9q8qqaqFn0dXdir=xcvk9pIe9q8qqaq=dir=f0=yq aqVeLsFr0=vr0=vr0db8meaabaqaciaacaGaaeqabaWaaqaafaaake aaqaaaaaaaaaWdbiaadwfapaWaaSbaaSqaa8qacaWG6baapaqabaGc peGaeyypa0JaeyOeI0IaeyOaIyRaamyDa8aadaWgaaWcbaWdbiaadQ hacaaIWaaapaqabaGcpeGaai4laiabgkGi2kaadQhaaaa@47FF@  при z=0 MathType@MTEF@5@5@+= feaahqart1ev3aqatCvAUfeBSjuyZL2yd9gzLbvyNv2Caerbov2D09 MBaeXatLxBI9gBaerbd9wDYLwzYbItLDharuavP1wzZbItLDhis9wB H5garqqtubsr4rNCHbGeaGqipy0de9vqqrpepC0xbbL8F4rqqrFfpe ea0pd9Zqpe0xc9q8qqaqFn0dXdir=xcvk9pIe9q8qqaq=dir=f0=yq aqVeLsFr0=vr0=vr0db8meaabaqaciaacaGaaeqabaWaaqaafaaake aaqaaaaaaaaaWdbiaadQhacqGH9aqpcaaIWaaaaa@3ED9@   MathType@MTEF@5@5@+= feaahqart1ev3aqatCvAUfeBSjuyZL2yd9gzLbvyNv2CaerbuLwBLn hiov2DGi1BTfMBaeXatLxBI9gBaerbd9wDYLwzYbItLDharqqtubsr 4rNCHbGeaGqiVu0Je9sqqrpepC0xbbL8F4rqqrFfpeea0xe9Lq=Jc9 vqaqpepm0xbba9pwe9Q8fs0=yqaqpepae9pg0FirpepeKkFr0xfr=x fr=xb9adbaqaaeGaciGaaiaabeqaamaabaabaaGcbaacbaqcLbyaqa aaaaaaaaWdbiaa=rbiaaa@37C1@  скорость расширения ( u z0 MathType@MTEF@5@5@+= feaahqart1ev3aqatCvAUfeBSjuyZL2yd9gzLbvyNv2Caerbov2D09 MBaeXatLxBI9gBaerbd9wDYLwzYbItLDharuavP1wzZbItLDhis9wB H5garqqtubsr4rNCHbGeaGqipy0de9vqqrpepC0xbbL8F4rqqrFfpe ea0pd9Zqpe0xc9q8qqaqFn0dXdir=xcvk9pIe9q8qqaq=dir=f0=yq aqVeLsFr0=vr0=vr0db8meaabaqaciaacaGaaeqabaWaaqaafaaake aaqaaaaaaaaaWdbiaadwhapaWaaSbaaSqaa8qacaWG6bGaaGimaaWd aeqaaaaa@3F27@   MathType@MTEF@5@5@+= feaahqart1ev3aqatCvAUfeBSjuyZL2yd9gzLbvyNv2CaerbuLwBLn hiov2DGi1BTfMBaeXatLxBI9gBaerbd9wDYLwzYbItLDharqqtubsr 4rNCHbGeaGqiVu0Je9sqqrpepC0xbbL8F4rqqrFfpeea0xe9Lq=Jc9 vqaqpepm0xbba9pwe9Q8fs0=yqaqpepae9pg0FirpepeKkFr0xfr=x fr=xb9adbaqaaeGaciGaaiaabeqaamaabaabaaGcbaacbaqcLbyaqa aaaaaaaaWdbiaa=rbiaaa@37C1@  установившаяся z MathType@MTEF@5@5@+= feaahqart1ev3aqatCvAUfeBSjuyZL2yd9gzLbvyNv2Caerbov2D09 MBaeXatLxBI9gBaerbd9wDYLwzYbItLDharuavP1wzZbItLDhis9wB H5garqqtubsr4rNCHbGeaGqipy0de9vqqrpepC0xbbL8F4rqqrFfpe ea0pd9Zqpe0xc9q8qqaqFn0dXdir=xcvk9pIe9q8qqaq=dir=f0=yq aqVeLsFr0=vr0=vr0db8meaabaqaciaacaGaaeqabaWaaqaafaaake aaqaaaaaaaaaWdbiaadQhaaaa@3D19@   MathType@MTEF@5@5@+= feaahqart1ev3aqatCvAUfeBSjuyZL2yd9gzLbvyNv2CaerbuLwBLn hiov2DGi1BTfMBaeXatLxBI9gBaerbd9wDYLwzYbItLDharqqtubsr 4rNCHbGeaGqiVu0Je9sqqrpepC0xbbL8F4rqqrFfpeea0xe9Lq=Jc9 vqaqpepm0xbba9pwe9Q8fs0=yqaqpepae9pg0FirpepeKkFr0xfr=x fr=xb9adbaqaaeGaciGaaiaabeqaamaabaabaaGcbaacbaqcLbyaqa aaaaaaaaWdbiaa=rbiaaa@37C1@  компонента скорости жидкости).

Объединяя уравнения (9) и (12), получаем β l MathType@MTEF@5@5@+= feaahqart1ev3aqatCvAUfeBSjuyZL2yd9gzLbvyNv2Caerbov2D09 MBaeXatLxBI9gBaerbd9wDYLwzYbItLDharuavP1wzZbItLDhis9wB H5garqqtubsr4rNCHbGeaGqipy0de9vqqrpepC0xbbL8F4rqqrFfpe ea0pd9Zqpe0xc9q8qqaqFn0dXdir=xcvk9pIe9q8qqaq=dir=f0=yq aqVeLsFr0=vr0=vr0db8meaabaqaciaacaGaaeqabaWaaqaafaaake aaqaaaaaaaaaWdbiabek7aI9aadaWgaaWcbaWdbiaadYgaa8aabeaa aaa@3F06@  в виде:

β l = υ s 2 D l 1± 1+ 4 D l υ s 2 ϖ+ k h 2 D l U z G l Г k h 2 + G l . MathType@MTEF@5@5@+= feaahqart1ev3aqatCvAUfeBSjuyZL2yd9gzLbvyNv2Caerbov2D09 MBaeXatLxBI9gBaerbd9wDYLwzYbItLDharuavP1wzZbItLDhis9wB H5garqqtubsr4rNCHbGeaGqipy0de9vqqrpepC0xbbL8F4rqqrFfpe ea0pd9Zqpe0xc9q8qqaqFn0dXdir=xcvk9pIe9q8qqaq=dir=f0=yq aqVeLsFr0=vr0=vr0db8meaabaqaciaacaGaaeqabaWaaqaafaaake aaqaaaaaaaaaWdbiabek7aI9aadaWgaaWcbaWdbiaadYgaa8aabeaa k8qacqGH9aqpcqGHsisldaWcaaWdaeaapeGaeqyXdu3damaaBaaale aapeGaam4CaaWdaeqaaaGcbaWdbiaaikdacaWGebWdamaaBaaaleaa peGaamiBaaWdaeqaaaaak8qadaqadaWdaeaapeGaaGymaiabgglaXo aakaaapaqaa8qacaaIXaGaey4kaSYaaSaaa8aabaWdbiaaisdacaWG ebWdamaaBaaaleaapeGaamiBaaWdaeqaaaGcbaWdbiabew8a19aada qhaaWcbaWdbiaadohaa8aabaWdbiaaikdaaaaaaOWaaeWaa8aabaWd biabeA9a2jabgUcaRiaadUgapaWaa0baaSqaa8qacaWGObaapaqaa8 qacaaIYaaaaOGaamira8aadaWgaaWcbaWdbiaadYgaa8aabeaak8qa cqGHsisldaWcaaWdaeaapeGaamyva8aadaWgaaWcbaWdbiaadQhaa8 aabeaak8qacaWGhbWdamaaBaaaleaapeGaamiBaaWdaeqaaaGcbaWd biaabobbcaWGRbWdamaaDaaaleaapeGaamiAaaWdaeaapeGaaGOmaa aakiabgUcaRiaadEeapaWaaSbaaSqaa8qacaWGSbaapaqabaaaaaGc peGaayjkaiaawMcaaaWcbeaaaOGaayjkaiaawMcaaiaac6caaaa@6B42@  (14)

Также важно отметить, что знаки ± MathType@MTEF@5@5@+= feaahqart1ev3aqatCvAUfeBSjuyZL2yd9gzLbvyNv2Caerbov2D09 MBaeXatLxBI9gBaerbd9wDYLwzYbItLDharuavP1wzZbItLDhis9wB H5garqqtubsr4rNCHbGeaGqipy0de9vqqrpepC0xbbL8F4rqqrFfpe ea0pd9Zqpe0xc9q8qqaqFn0dXdir=xcvk9pIe9q8qqaq=dir=f0=yq aqVeLsFr0=vr0=vr0db8meaabaqaciaacaGaaeqabaWaaqaafaaake aaqaaaaaaaaaWdbiabgglaXcaa@3E08@  в выражениях для β s MathType@MTEF@5@5@+= feaahqart1ev3aqatCvAUfeBSjuyZL2yd9gzLbvyNv2Caerbov2D09 MBaeXatLxBI9gBaerbd9wDYLwzYbItLDharuavP1wzZbItLDhis9wB H5garqqtubsr4rNCHbGeaGqipy0de9vqqrpepC0xbbL8F4rqqrFfpe ea0pd9Zqpe0xc9q8qqaqFn0dXdir=xcvk9pIe9q8qqaq=dir=f0=yq aqVeLsFr0=vr0=vr0db8meaabaqaciaacaGaaeqabaWaaqaafaaake aaqaaaaaaaaaWdbiabek7aI9aadaWgaaWcbaWdbiaadohaa8aabeaa aaa@3F0D@  и β l MathType@MTEF@5@5@+= feaahqart1ev3aqatCvAUfeBSjuyZL2yd9gzLbvyNv2Caerbov2D09 MBaeXatLxBI9gBaerbd9wDYLwzYbItLDharuavP1wzZbItLDhis9wB H5garqqtubsr4rNCHbGeaGqipy0de9vqqrpepC0xbbL8F4rqqrFfpe ea0pd9Zqpe0xc9q8qqaqFn0dXdir=xcvk9pIe9q8qqaq=dir=f0=yq aqVeLsFr0=vr0=vr0db8meaabaqaciaacaGaaeqabaWaaqaafaaake aaqaaaaaaaaaWdbiabek7aI9aadaWgaaWcbaWdbiaadYgaa8aabeaa aaa@3F06@  определяют, будут ли возмущения затухать или же усиливаться. К примеру, если возмущения возникают в твердой фазе при z<0 MathType@MTEF@5@5@+= feaahqart1ev3aqatCvAUfeBSjuyZL2yd9gzLbvyNv2Caerbov2D09 MBaeXatLxBI9gBaerbd9wDYLwzYbItLDharuavP1wzZbItLDhis9wB H5garqqtubsr4rNCHbGeaGqipy0de9vqqrpepC0xbbL8F4rqqrFfpe ea0pd9Zqpe0xc9q8qqaqFn0dXdir=xcvk9pIe9q8qqaq=dir=f0=yq aqVeLsFr0=vr0=vr0db8meaabaqaciaacaGaaeqabaWaaqaafaaake aaqaaaaaaaaaWdbiaadQhacqGH8aapcaaIWaaaaa@3ED7@  на некотором расстоянии от межфазной границы z=0 MathType@MTEF@5@5@+= feaahqart1ev3aqatCvAUfeBSjuyZL2yd9gzLbvyNv2Caerbov2D09 MBaeXatLxBI9gBaerbd9wDYLwzYbItLDharuavP1wzZbItLDhis9wB H5garqqtubsr4rNCHbGeaGqipy0de9vqqrpepC0xbbL8F4rqqrFfpe ea0pd9Zqpe0xc9q8qqaqFn0dXdir=xcvk9pIe9q8qqaq=dir=f0=yq aqVeLsFr0=vr0=vr0db8meaabaqaciaacaGaaeqabaWaaqaafaaake aaqaaaaaaaaaWdbiaadQhacqGH9aqpcaaIWaaaaa@3ED9@ , то они будут затухать или усиливаться, в случае отрицательного или положительного значения β s MathType@MTEF@5@5@+= feaahqart1ev3aqatCvAUfeBSjuyZL2yd9gzLbvyNv2Caerbov2D09 MBaeXatLxBI9gBaerbd9wDYLwzYbItLDharuavP1wzZbItLDhis9wB H5garqqtubsr4rNCHbGeaGqipy0de9vqqrpepC0xbbL8F4rqqrFfpe ea0pd9Zqpe0xc9q8qqaqFn0dXdir=xcvk9pIe9q8qqaq=dir=f0=yq aqVeLsFr0=vr0=vr0db8meaabaqaciaacaGaaeqabaWaaqaafaaake aaqaaaaaaaaaWdbiabek7aI9aadaWgaaWcbaWdbiaadohaa8aabeaa aaa@3F0D@ . Если же возмущения возникают в жидкости вдали от межфазной границы и распространяются в ее сторону, то они будут затухать или усиливаться в зависимости от знака β l MathType@MTEF@5@5@+= feaahqart1ev3aqatCvAUfeBSjuyZL2yd9gzLbvyNv2Caerbov2D09 MBaeXatLxBI9gBaerbd9wDYLwzYbItLDharuavP1wzZbItLDhis9wB H5garqqtubsr4rNCHbGeaGqipy0de9vqqrpepC0xbbL8F4rqqrFfpe ea0pd9Zqpe0xc9q8qqaqFn0dXdir=xcvk9pIe9q8qqaq=dir=f0=yq aqVeLsFr0=vr0=vr0db8meaabaqaciaacaGaaeqabaWaaqaafaaake aaqaaaaaaaaaWdbiabek7aI9aadaWgaaWcbaWdbiaadYgaa8aabeaa aaa@3F06@  (отрицательного или положительного). В реальных лабораторных установках или природных процессах это соответствует ограниченной области процесса кристаллизации: твердые стенки расположены на определенных расстояниях z<0 MathType@MTEF@5@5@+= feaahqart1ev3aqatCvAUfeBSjuyZL2yd9gzLbvyNv2Caerbov2D09 MBaeXatLxBI9gBaerbd9wDYLwzYbItLDharuavP1wzZbItLDhis9wB H5garqqtubsr4rNCHbGeaGqipy0de9vqqrpepC0xbbL8F4rqqrFfpe ea0pd9Zqpe0xc9q8qqaqFn0dXdir=xcvk9pIe9q8qqaq=dir=f0=yq aqVeLsFr0=vr0=vr0db8meaabaqaciaacaGaaeqabaWaaqaafaaake aaqaaaaaaaaaWdbiaadQhacqGH8aapcaaIWaaaaa@3ED7@  в твердом материале и z>0 MathType@MTEF@5@5@+= feaahqart1ev3aqatCvAUfeBSjuyZL2yd9gzLbvyNv2Caerbov2D09 MBaeXatLxBI9gBaerbd9wDYLwzYbItLDharuavP1wzZbItLDhis9wB H5garqqtubsr4rNCHbGeaGqipy0de9vqqrpepC0xbbL8F4rqqrFfpe ea0pd9Zqpe0xc9q8qqaqFn0dXdir=xcvk9pIe9q8qqaq=dir=f0=yq aqVeLsFr0=vr0=vr0db8meaabaqaciaacaGaaeqabaWaaqaafaaake aaqaaaaaaaaaWdbiaadQhacqGH+aGpcaaIWaaaaa@3EDB@  в жидкой фазе.

Из уравнений (8) и (9) получаем дисперсионное соотношение:

ϖ П 2 ϖ, k h = П 1 ϖ, k h , MathType@MTEF@5@5@+= feaahqart1ev3aqatCvAUfeBSjuyZL2yd9gzLbvyNv2Caerbov2D09 MBaeXatLxBI9gBaerbd9wDYLwzYbItLDharuavP1wzZbItLDhis9wB H5garqqtubsr4rNCHbGeaGqipy0de9vqqrpepC0xbbL8F4rqqrFfpe ea0pd9Zqpe0xc9q8qqaqFn0dXdir=xcvk9pIe9q8qqaq=dir=f0=yq aqVeLsFr0=vr0=vr0db8meaabaqaciaacaGaaeqabaWaaqaafaaake aaqaaaaaaaaaWdbiabeA9a2jaab+bbpaWaaSbaaSqaa8qacaaIYaaa paqabaGcpeWaaeWaa8aabaWdbiabeA9a2jaacYcacaWGRbWdamaaBa aaleaapeGaamiAaaWdaeqaaaGcpeGaayjkaiaawMcaaiabg2da9iaa b+bbpaWaaSbaaSqaa8qacaaIXaaapaqabaGcpeWaaeWaa8aabaWdbi abeA9a2jaacYcacaWGRbWdamaaBaaaleaapeGaamiAaaWdaeqaaaGc peGaayjkaiaawMcaaiaacYcaaaa@5058@  (15)

Где

П 1 ϖ, k h = f Г k h 2 c l υ s Г k h 2 k s υ s G s D s k s β s Г k h 2 + G s , MathType@MTEF@5@5@+= feaahqart1ev3aqatCvAUfeBSjuyZL2yd9gzLbvyNv2Caerbov2D09 MBaeXatLxBI9gBaerbd9wDYLwzYbItLDharuavP1wzZbItLDhis9wB H5garqqtubsr4rNCHbGeaGqipy0de9vqqrpepC0xbbL8F4rqqrFfpe ea0pd9Zqpe0xc9q8qqaqFn0dXdir=xcvk9pIe9q8qqaq=dir=f0=yq aqVeLsFr0=vr0=vr0db8meaabaqaciaacaGaaeqabaWaaqaafaaakq aaceqaamXvP5Mu1n3CPfMBaeHbtngAV9gBc92BRneaiyaacqWFFqWZ daWgaaWcbaaeaaaaaaaaa8qacaaIXaaapaqabaGcpeWaaeWaa8aaba WdbiabeA9a2jaacYcacaWGRbWdamaaBaaaleaapeGaamiAaaWdaeqa aaGcpeGaayjkaiaawMcaaiabg2da9iqadAgagaqbaiab=nbbdlaadU gapaWaa0baaSqaa8qacaWGObaapaqaa8qacaaIYaaaaOGaeyOeI0Ia am4ya8aadaWgaaWcbaWdbiaadYgaa8aabeaak8qacqaHfpqDpaWaaS baaSqaa8qacaWGZbaapaqabaGcpeGae83eemSaam4Aa8aadaqhaaWc baWdbiaadIgaa8aabaWdbiaaikdaaaGccqGHsislaeaacqGHsislca aMe8+aaSaaa8aabaWdbiaadUgapaWaaSbaaSqaa8qacaWGZbaapaqa baGcpeGaeqyXdu3damaaBaaaleaapeGaam4CaaWdaeqaaOWdbiaadE eapaWaaSbaaSqaa8qacaWGZbaapaqabaaakeaapeGaamira8aadaWg aaWcbaWdbiaadohaa8aabeaaaaGcpeGaeyOeI0Iaam4Aa8aadaWgaa WcbaWdbiaadohaa8aabeaak8qacqaHYoGypaWaaSbaaSqaa8qacaWG ZbaapaqabaGcpeWaaeWaa8aabaWdbiab=nbbdlaadUgapaWaa0baaS qaa8qacaWGObaapaqaa8qacaaIYaaaaOGaey4kaSIaam4ra8aadaWg aaWcbaWdbiaadohaa8aabeaaaOWdbiaawIcacaGLPaaacaGGSaaaaa a@7CB7@  (16)

П 2 ϖ, k h = c l ϑ ϑ int + L V . MathType@MTEF@5@5@+= feaahqart1ev3aqatCvAUfeBSjuyZL2yd9gzLbvyNv2Caerbov2D09 MBaeXatLxBI9gBaerbd9wDYLwzYbItLDharuavP1wzZbItLDhis9wB H5garqqtubsr4rNCHbGeaGqipy0de9vqqrpepC0xbbL8F4rqqrFfpe ea0pd9Zqpe0xc9q8qqaqFn0dXdir=xcvk9pIe9q8qqaq=dir=f0=yq aqVeLsFr0=vr0=vr0db8meaabaqaciaacaGaaeqabaWaaqaafaaake aatCvAUjvDZnxAH5garyWuJH2BVXMqV92AdbacgaGae83he88aaSba aSqaaabaaaaaaaaapeGaaGOmaaWdaeqaaOWdbmaabmaapaqaa8qacq aHwpGDcaGGSaGaam4Aa8aadaWgaaWcbaWdbiaadIgaa8aabeaaaOWd biaawIcacaGLPaaacqGH9aqpcaWGJbWdamaaBaaaleaapeGaamiBaa WdaeqaaOWdbmaabmaapaqaa8qacqaHrpGspaWaaSbaaSqaa8qacqGH EisPa8aabeaak8qacqGHsislcqaHrpGspaWaaSbaaSqaa8qacaWGPb GaamOBaiaadshaa8aabeaaaOWdbiaawIcacaGLPaaacqGHRaWkcaWG mbWdamaaBaaaleaapeGaamOvaaWdaeqaaOWdbiaac6caaaa@5FC4@  (17)

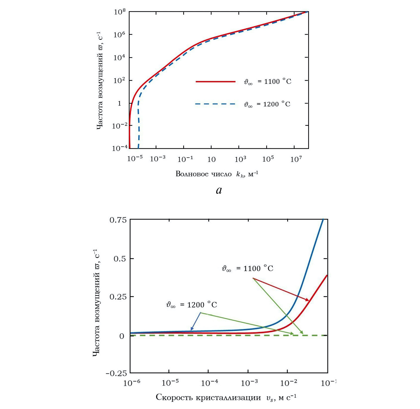
На рис. 2a приведены дисперсионные кривые, рассчитанные в соответствии с соотношением (15) для расплавленного металла, параметры которого приведены в работе [34]. Анализ уравнения (15) показал наличие только вещественных решений. Из графиков видно, что процесс направленной кристаллизации при наличии интенсивной конвекции является морфологически неустойчивым ( ϖ MathType@MTEF@5@5@+= feaahqart1ev3aqatCvAUfeBSjuyZL2yd9gzLbvyNv2Caerbov2D09 MBaeXatLxBI9gBaerbd9wDYLwzYbItLDharuavP1wzZbItLDhis9wB H5garqqtubsr4rNCHbGeaGqipy0de9vqqrpepC0xbbL8F4rqqrFfpe ea0pd9Zqpe0xc9q8qqaqFn0dXdir=xcvk9pIe9q8qqaq=dir=f0=yq aqVeLsFr0=vr0=vr0db8meaabaqaciaacaGaaeqabaWaaqaafaaake aaqaaaaaaaaaWdbiabeA9a2baa@3DF3@  растет с увеличением волнового числа k h MathType@MTEF@5@5@+= feaahqart1ev3aqatCvAUfeBSjuyZL2yd9gzLbvyNv2Caerbov2D09 MBaeXatLxBI9gBaerbd9wDYLwzYbItLDharuavP1wzZbItLDhis9wB H5garqqtubsr4rNCHbGeaGqipy0de9vqqrpepC0xbbL8F4rqqrFfpe ea0pd9Zqpe0xc9q8qqaqFn0dXdir=xcvk9pIe9q8qqaq=dir=f0=yq aqVeLsFr0=vr0=vr0db8meaabaqaciaacaGaaeqabaWaaqaafaaake aaqaaaaaaaaaWdbiaadUgapaWaaSbaaSqaa8qacaWGObaapaqabaaa aa@3E51@  и уменьшением температуры жидкости вдали от фронта кристаллизации ϑ MathType@MTEF@5@5@+= feaahqart1ev3aqatCvAUfeBSjuyZL2yd9gzLbvyNv2Caerbov2D09 MBaeXatLxBI9gBaerbd9wDYLwzYbItLDharuavP1wzZbItLDhis9wB H5garqqtubsr4rNCHbGeaGqipy0de9vqqrpepC0xbbL8F4rqqrFfpe ea0pd9Zqpe0xc9q8qqaqFn0dXdir=xcvk9pIe9q8qqaq=dir=f0=yq aqVeLsFr0=vr0=vr0db8meaabaqaciaacaGaaeqabaWaaqaafaaake aaqaaaaaaaaaWdbiabeg9ak9aadaWgaaWcbaWdbiabg6HiLcWdaeqa aaaa@3F8D@ , см. рис. 2a и рис. 3a). Такое поведение следует из ϖ>0 MathType@MTEF@5@5@+= feaahqart1ev3aqatCvAUfeBSjuyZL2yd9gzLbvyNv2Caerbov2D09 MBaeXatLxBI9gBaerbd9wDYLwzYbItLDharuavP1wzZbItLDhis9wB H5garqqtubsr4rNCHbGeaGqipy0de9vqqrpepC0xbbL8F4rqqrFfpe ea0pd9Zqpe0xc9q8qqaqFn0dXdir=xcvk9pIe9q8qqaq=dir=f0=yq aqVeLsFr0=vr0=vr0db8meaabaqaciaacaGaaeqabaWaaqaafaaake aaqaaaaaaaaaWdbiabeA9a2jabg6da+iaaicdaaaa@3FB5@ , рассчитанного в широком диапазоне волновых чисел k h MathType@MTEF@5@5@+= feaahqart1ev3aqatCvAUfeBSjuyZL2yd9gzLbvyNv2Caerbov2D09 MBaeXatLxBI9gBaerbd9wDYLwzYbItLDharuavP1wzZbItLDhis9wB H5garqqtubsr4rNCHbGeaGqipy0de9vqqrpepC0xbbL8F4rqqrFfpe ea0pd9Zqpe0xc9q8qqaqFn0dXdir=xcvk9pIe9q8qqaq=dir=f0=yq aqVeLsFr0=vr0=vr0db8meaabaqaciaacaGaaeqabaWaaqaafaaake aaqaaaaaaaaaWdbiaadUgapaWaaSbaaSqaa8qacaWGObaapaqabaaa aa@3E51@ . При этом для всех точек, показанных на рис.2a, значение β s MathType@MTEF@5@5@+= feaahqart1ev3aqatCvAUfeBSjuyZL2yd9gzLbvyNv2Caerbov2D09 MBaeXatLxBI9gBaerbd9wDYLwzYbItLDharuavP1wzZbItLDhis9wB H5garqqtubsr4rNCHbGeaGqipy0de9vqqrpepC0xbbL8F4rqqrFfpe ea0pd9Zqpe0xc9q8qqaqFn0dXdir=xcvk9pIe9q8qqaq=dir=f0=yq aqVeLsFr0=vr0=vr0db8meaabaqaciaacaGaaeqabaWaaqaafaaake aaqaaaaaaaaaWdbiabek7aI9aadaWgaaWcbaWdbiaadohaa8aabeaa aaa@3F0D@  отрицательно. Физически это означает, что возмущение температуры твердой фазы, возникающее на некотором расстоянии от фронта кристаллизации при z<0 MathType@MTEF@5@5@+= feaahqart1ev3aqatCvAUfeBSjuyZL2yd9gzLbvyNv2Caerbov2D09 MBaeXatLxBI9gBaerbd9wDYLwzYbItLDharuavP1wzZbItLDhis9wB H5garqqtubsr4rNCHbGeaGqipy0de9vqqrpepC0xbbL8F4rqqrFfpe ea0pd9Zqpe0xc9q8qqaqFn0dXdir=xcvk9pIe9q8qqaq=dir=f0=yq aqVeLsFr0=vr0=vr0db8meaabaqaciaacaGaaeqabaWaaqaafaaake aaqaaaaaaaaaWdbiaadQhacqGH8aapcaaIWaaaaa@3ED7@  (например, флуктуация температуры на охлаждаемой стенке), уменьшается с ростом z MathType@MTEF@5@5@+= feaahqart1ev3aqatCvAUfeBSjuyZL2yd9gzLbvyNv2Caerbov2D09 MBaeXatLxBI9gBaerbd9wDYLwzYbItLDharuavP1wzZbItLDhis9wB H5garqqtubsr4rNCHbGeaGqipy0de9vqqrpepC0xbbL8F4rqqrFfpe ea0pd9Zqpe0xc9q8qqaqFn0dXdir=xcvk9pIe9q8qqaq=dir=f0=yq aqVeLsFr0=vr0=vr0db8meaabaqaciaacaGaaeqabaWaaqaafaaake aaqaaaaaaaaaWdbiaadQhaaaa@3D19@  и возмущает границу раздела «твердое тело MathType@MTEF@5@5@+= feaahqart1ev3aqatCvAUfeBSjuyZL2yd9gzLbvyNv2CaerbuLwBLn hiov2DGi1BTfMBaeXatLxBI9gBaerbd9wDYLwzYbItLDharqqtubsr 4rNCHbGeaGqiVu0Je9sqqrpepC0xbbL8F4rqqrFfpeea0xe9Lq=Jc9 vqaqpepm0xbba9pwe9Q8fs0=yqaqpepae9pg0FirpepeKkFr0xfr=x fr=xb9adbaqaaeGaciGaaiaabeqaamaabaabaaGcbaacbaqcLbyaqa aaaaaaaaWdbiaa=nbiaaa@37C0@  жидкость» при z=0 MathType@MTEF@5@5@+= feaahqart1ev3aqatCvAUfeBSjuyZL2yd9gzLbvyNv2Caerbov2D09 MBaeXatLxBI9gBaerbd9wDYLwzYbItLDharuavP1wzZbItLDhis9wB H5garqqtubsr4rNCHbGeaGqipy0de9vqqrpepC0xbbL8F4rqqrFfpe ea0pd9Zqpe0xc9q8qqaqFn0dXdir=xcvk9pIe9q8qqaq=dir=f0=yq aqVeLsFr0=vr0=vr0db8meaabaqaciaacaGaaeqabaWaaqaafaaake aaqaaaaaaaaaWdbiaadQhacqGH9aqpcaaIWaaaaa@3ED9@ . Также важно отметить, что β s <0 MathType@MTEF@5@5@+= feaahqart1ev3aqatCvAUfeBSjuyZL2yd9gzLbvyNv2Caerbov2D09 MBaeXatLxBI9gBaerbd9wDYLwzYbItLDharuavP1wzZbItLDhis9wB H5garqqtubsr4rNCHbGeaGqipy0de9vqqrpepC0xbbL8F4rqqrFfpe ea0pd9Zqpe0xc9q8qqaqFn0dXdir=xcvk9pIe9q8qqaq=dir=f0=yq aqVeLsFr0=vr0=vr0db8meaabaqaciaacaGaaeqabaWaaqaafaaake aaqaaaaaaaaaWdbiabek7aI9aadaWgaaWcbaWdbiaadohaa8aabeaa k8qacqGH8aapcaaIWaaaaa@40E5@  и β l <0 MathType@MTEF@5@5@+= feaahqart1ev3aqatCvAUfeBSjuyZL2yd9gzLbvyNv2Caerbov2D09 MBaeXatLxBI9gBaerbd9wDYLwzYbItLDharuavP1wzZbItLDhis9wB H5garqqtubsr4rNCHbGeaGqipy0de9vqqrpepC0xbbL8F4rqqrFfpe ea0pd9Zqpe0xc9q8qqaqFn0dXdir=xcvk9pIe9q8qqaq=dir=f0=yq aqVeLsFr0=vr0=vr0db8meaabaqaciaacaGaaeqabaWaaqaafaaake aaqaaaaaaaaaWdbiabek7aI9aadaWgaaWcbaWdbiaadYgaa8aabeaa k8qacqGH8aapcaaIWaaaaa@40DE@  описывают затухающие возмущения, распространяющиеся от охлаждаемой границы при z<0 MathType@MTEF@5@5@+= feaahqart1ev3aqatCvAUfeBSjuyZL2yd9gzLbvyNv2Caerbov2D09 MBaeXatLxBI9gBaerbd9wDYLwzYbItLDharuavP1wzZbItLDhis9wB H5garqqtubsr4rNCHbGeaGqipy0de9vqqrpepC0xbbL8F4rqqrFfpe ea0pd9Zqpe0xc9q8qqaqFn0dXdir=xcvk9pIe9q8qqaq=dir=f0=yq aqVeLsFr0=vr0=vr0db8meaabaqaciaacaGaaeqabaWaaqaafaaake aaqaaaaaaaaaWdbiaadQhacqGH8aapcaaIWaaaaa@3ED7@  в жидкую фазу при z>0 MathType@MTEF@5@5@+= feaahqart1ev3aqatCvAUfeBSjuyZL2yd9gzLbvyNv2Caerbov2D09 MBaeXatLxBI9gBaerbd9wDYLwzYbItLDharuavP1wzZbItLDhis9wB H5garqqtubsr4rNCHbGeaGqipy0de9vqqrpepC0xbbL8F4rqqrFfpe ea0pd9Zqpe0xc9q8qqaqFn0dXdir=xcvk9pIe9q8qqaq=dir=f0=yq aqVeLsFr0=vr0=vr0db8meaabaqaciaacaGaaeqabaWaaqaafaaake aaqaaaaaaaaaWdbiaadQhacqGH+aGpcaaIWaaaaa@3EDB@ .

 

Рис. 2. а MathType@MTEF@5@5@+= feaahqart1ev3aqatCvAUfeBSjuyZL2yd9gzLbvyNv2CaerbuLwBLn hiov2DGi1BTfMBaeXatLxBI9gBaerbd9wDYLwzYbItLDharqqtubsr 4rNCHbGeaGqiVu0Je9sqqrpepC0xbbL8F4rqqrFfpeea0xe9Lq=Jc9 vqaqpepm0xbba9pwe9Q8fs0=yqaqpepae9pg0FirpepeKkFr0xfr=x fr=xb9adbaqaaeGaciGaaiaabeqaamaabaabaaGcbaacbeqcLbyaqa aaaaaaaaWdbiaa=nbiaaa@37C1@  Дисперсионные кривые, построенные в соответствии с выражением (15), v s = 10 6 MathType@MTEF@5@5@+= feaahqart1ev3aqatCvAUfeBSjuyZL2yd9gzLbvyNv2Caerbov2D09 MBaeXatLxBI9gBaerbd9wDYLwzYbItLDharuavP1wzZbItLDhis9wB H5garqqtubsr4rNCHbGeaGqipy0de9vqqrpepC0xbbL8F4rqqrFfpe ea0pd9Zqpe0xc9q8qqaqFn0dXdir=xcvk9pIe9q8qqaq=dir=f0=yq aqVeLsFr0=vr0=vr0db8meaabaqaciaacaGaaeqabaWaaqaafaaake aaqaaaaaaaaaWdbiaadAhapaWaaSbaaSqaa8qacaWGZbaapaqabaGc peGaeyypa0JaaGymaiaaicdapaWaaWbaaSqabeaapeGaeyOeI0IaaG Onaaaaaaa@42F5@  м/с; б MathType@MTEF@5@5@+= feaahqart1ev3aqatCvAUfeBSjuyZL2yd9gzLbvyNv2CaerbuLwBLn hiov2DGi1BTfMBaeXatLxBI9gBaerbd9wDYLwzYbItLDharqqtubsr 4rNCHbGeaGqiVu0Je9sqqrpepC0xbbL8F4rqqrFfpeea0xe9Lq=Jc9 vqaqpepm0xbba9pwe9Q8fs0=yqaqpepae9pg0FirpepeKkFr0xfr=x fr=xb9adbaqaaeGaciGaaiaabeqaamaabaabaaGcbaacbeqcLbyaqa aaaaaaaaWdbiaa=nbiaaa@37C1@  частота возмущений в зависимости от скорости кристаллизации при k h =0 MathType@MTEF@5@5@+= feaahqart1ev3aqatCvAUfeBSjuyZL2yd9gzLbvyNv2Caerbov2D09 MBaeXatLxBI9gBaerbd9wDYLwzYbItLDharuavP1wzZbItLDhis9wB H5garqqtubsr4rNCHbGeaGqipy0de9vqqrpepC0xbbL8F4rqqrFfpe ea0pd9Zqpe0xc9q8qqaqFn0dXdir=xcvk9pIe9q8qqaq=dir=f0=yq aqVeLsFr0=vr0=vr0db8meaabaqaciaacaGaaeqabaWaaqaafaaake aaqaaaaaaaaaWdbiaadUgapaWaaSbaaSqaa8qacaWGObaapaqabaGc peGaeyypa0JaaGimaaaa@402B@  (динамические возмущения), показанная в соответствии с выражением (15). Для каждой температуры имеется два решения: одно решение устойчивое, при ϖ=0 MathType@MTEF@5@5@+= feaahqart1ev3aqatCvAUfeBSjuyZL2yd9gzLbvyNv2Caerbov2D09 MBaeXatLxBI9gBaerbd9wDYLwzYbItLDharuavP1wzZbItLDhis9wB H5garqqtubsr4rNCHbGeaGqipy0de9vqqrpepC0xbbL8F4rqqrFfpe ea0pd9Zqpe0xc9q8qqaqFn0dXdir=xcvk9pIe9q8qqaq=dir=f0=yq aqVeLsFr0=vr0=vr0db8meaabaqaciaacaGaaeqabaWaaqaafaaake aaqaaaaaaaaaWdbiabeA9a2jabg2da9iaaicdaaaa@3FB3@ , второе MathType@MTEF@5@5@+= feaahqart1ev3aqatCvAUfeBSjuyZL2yd9gzLbvyNv2CaerbuLwBLn hiov2DGi1BTfMBaeXatLxBI9gBaerbd9wDYLwzYbItLDharqqtubsr 4rNCHbGeaGqiVu0Je9sqqrpepC0xbbL8F4rqqrFfpeea0xe9Lq=Jc9 vqaqpepm0xbba9pwe9Q8fs0=yqaqpepae9pg0FirpepeKkFr0xfr=x fr=xb9adbaqaaeGaciGaaiaabeqaamaabaabaaGcbaacbeqcLbyaqa aaaaaaaaWdbiaa=rbiaaa@37C2@  неустойчивое, при ϖ>0 MathType@MTEF@5@5@+= feaahqart1ev3aqatCvAUfeBSjuyZL2yd9gzLbvyNv2Caerbov2D09 MBaeXatLxBI9gBaerbd9wDYLwzYbItLDharuavP1wzZbItLDhis9wB H5garqqtubsr4rNCHbGeaGqipy0de9vqqrpepC0xbbL8F4rqqrFfpe ea0pd9Zqpe0xc9q8qqaqFn0dXdir=xcvk9pIe9q8qqaq=dir=f0=yq aqVeLsFr0=vr0=vr0db8meaabaqaciaacaGaaeqabaWaaqaafaaake aaqaaaaaaaaaWdbiabeA9a2jabg6da+iaaicdaaaa@3FB5@ . Физические параметры взяты для расплавленного металла из работы [34] (табл. 1).

 

Рис. 3. а MathType@MTEF@5@5@+= feaahqart1ev3aqatCvAUfeBSjuyZL2yd9gzLbvyNv2CaerbuLwBLn hiov2DGi1BTfMBaeXatLxBI9gBaerbd9wDYLwzYbItLDharqqtubsr 4rNCHbGeaGqiVu0Je9sqqrpepC0xbbL8F4rqqrFfpeea0xe9Lq=Jc9 vqaqpepm0xbba9pwe9Q8fs0=yqaqpepae9pg0FirpepeKkFr0xfr=x fr=xb9adbaqaaeGaciGaaiaabeqaamaabaabaaGcbaacbeqcLbyaqa aaaaaaaaWdbiaa=nbiaaa@37C1@  Дисперсионные кривые, построенные в соответствии с выражением (15), v s = 10 6 MathType@MTEF@5@5@+= feaahqart1ev3aqatCvAUfeBSjuyZL2yd9gzLbvyNv2Caerbov2D09 MBaeXatLxBI9gBaerbd9wDYLwzYbItLDharuavP1wzZbItLDhis9wB H5garqqtubsr4rNCHbGeaGqipy0de9vqqrpepC0xbbL8F4rqqrFfpe ea0pd9Zqpe0xc9q8qqaqFn0dXdir=xcvk9pIe9q8qqaq=dir=f0=yq aqVeLsFr0=vr0=vr0db8meaabaqaciaacaGaaeqabaWaaqaafaaake aaqaaaaaaaaaWdbiaadAhapaWaaSbaaSqaa8qacaWGZbaapaqabaGc peGaeyypa0JaaGymaiaaicdapaWaaWbaaSqabeaapeGaeyOeI0IaaG Onaaaaaaa@42F5@  м/с; б MathType@MTEF@5@5@+= feaahqart1ev3aqatCvAUfeBSjuyZL2yd9gzLbvyNv2CaerbuLwBLn hiov2DGi1BTfMBaeXatLxBI9gBaerbd9wDYLwzYbItLDharqqtubsr 4rNCHbGeaGqiVu0Je9sqqrpepC0xbbL8F4rqqrFfpeea0xe9Lq=Jc9 vqaqpepm0xbba9pwe9Q8fs0=yqaqpepae9pg0FirpepeKkFr0xfr=x fr=xb9adbaqaaeGaciGaaiaabeqaamaabaabaaGcbaacbeqcLbyaqa aaaaaaaaWdbiaa=nbiaaa@37C1@  частота возмущения в зависимости от скорости кристаллизации при k h =0 MathType@MTEF@5@5@+= feaahqart1ev3aqatCvAUfeBSjuyZL2yd9gzLbvyNv2Caerbov2D09 MBaeXatLxBI9gBaerbd9wDYLwzYbItLDharuavP1wzZbItLDhis9wB H5garqqtubsr4rNCHbGeaGqipy0de9vqqrpepC0xbbL8F4rqqrFfpe ea0pd9Zqpe0xc9q8qqaqFn0dXdir=xcvk9pIe9q8qqaq=dir=f0=yq aqVeLsFr0=vr0=vr0db8meaabaqaciaacaGaaeqabaWaaqaafaaake aaqaaaaaaaaaWdbiaadUgapaWaaSbaaSqaa8qacaWGObaapaqabaGc peGaeyypa0JaaGimaaaa@402B@  (динамические возмущения), показанная в соответствии с выражением (15). Для каждой температуры имеется два решения, одно решение устойчивое, при ϖ=0 MathType@MTEF@5@5@+= feaahqart1ev3aqatCvAUfeBSjuyZL2yd9gzLbvyNv2Caerbov2D09 MBaeXatLxBI9gBaerbd9wDYLwzYbItLDharuavP1wzZbItLDhis9wB H5garqqtubsr4rNCHbGeaGqipy0de9vqqrpepC0xbbL8F4rqqrFfpe ea0pd9Zqpe0xc9q8qqaqFn0dXdir=xcvk9pIe9q8qqaq=dir=f0=yq aqVeLsFr0=vr0=vr0db8meaabaqaciaacaGaaeqabaWaaqaafaaake aaqaaaaaaaaaWdbiabeA9a2jabg2da9iaaicdaaaa@3FB3@ , второе MathType@MTEF@5@5@+= feaahqart1ev3aqatCvAUfeBSjuyZL2yd9gzLbvyNv2CaerbuLwBLn hiov2DGi1BTfMBaeXatLxBI9gBaerbd9wDYLwzYbItLDharqqtubsr 4rNCHbGeaGqiVu0Je9sqqrpepC0xbbL8F4rqqrFfpeea0xe9Lq=Jc9 vqaqpepm0xbba9pwe9Q8fs0=yqaqpepae9pg0FirpepeKkFr0xfr=x fr=xb9adbaqaaeGaciGaaiaabeqaamaabaabaaGcbaacbeqcLbyaqa aaaaaaaaWdbiaa=rbiaaa@37C2@  неустойчивое, при ϖ>0 MathType@MTEF@5@5@+= feaahqart1ev3aqatCvAUfeBSjuyZL2yd9gzLbvyNv2Caerbov2D09 MBaeXatLxBI9gBaerbd9wDYLwzYbItLDharuavP1wzZbItLDhis9wB H5garqqtubsr4rNCHbGeaGqipy0de9vqqrpepC0xbbL8F4rqqrFfpe ea0pd9Zqpe0xc9q8qqaqFn0dXdir=xcvk9pIe9q8qqaq=dir=f0=yq aqVeLsFr0=vr0=vr0db8meaabaqaciaacaGaaeqabaWaaqaafaaake aaqaaaaaaaaaWdbiabeA9a2jabg6da+iaaicdaaaa@3FB5@ . Физические параметры взяты для магмы [34] (табл.1).

 

На рис. 3а приведены дисперсионные кривые, рассчитанные аналогично металлу из уравнения (15), для магмы, данные также были взяты из работы [34] и представлены в табл. 1. На рис. 2a и рис. 3a видно, что поведение кривых подобно для металла и магмы. Значения β s <0 MathType@MTEF@5@5@+= feaahqart1ev3aqatCvAUfeBSjuyZL2yd9gzLbvyNv2Caerbov2D09 MBaeXatLxBI9gBaerbd9wDYLwzYbItLDharuavP1wzZbItLDhis9wB H5garqqtubsr4rNCHbGeaGqipy0de9vqqrpepC0xbbL8F4rqqrFfpe ea0pd9Zqpe0xc9q8qqaqFn0dXdir=xcvk9pIe9q8qqaq=dir=f0=yq aqVeLsFr0=vr0=vr0db8meaabaqaciaacaGaaeqabaWaaqaafaaake aaqaaaaaaaaaWdbiabek7aI9aadaWgaaWcbaWdbiaadohaa8aabeaa k8qacqGH8aapcaaIWaaaaa@40E5@  и β l <0 MathType@MTEF@5@5@+= feaahqart1ev3aqatCvAUfeBSjuyZL2yd9gzLbvyNv2Caerbov2D09 MBaeXatLxBI9gBaerbd9wDYLwzYbItLDharuavP1wzZbItLDhis9wB H5garqqtubsr4rNCHbGeaGqipy0de9vqqrpepC0xbbL8F4rqqrFfpe ea0pd9Zqpe0xc9q8qqaqFn0dXdir=xcvk9pIe9q8qqaq=dir=f0=yq aqVeLsFr0=vr0=vr0db8meaabaqaciaacaGaaeqabaWaaqaafaaake aaqaaaaaaaaaWdbiabek7aI9aadaWgaaWcbaWdbiaadYgaa8aabeaa k8qacqGH8aapcaaIWaaaaa@40DE@ , как и в случае металла, описывают затухающие возмущения, распространяющиеся от охлаждаемой твердой стенки к жидкости. Другими словами, при кристаллизации двух разных систем частота возмущений ϖ MathType@MTEF@5@5@+= feaahqart1ev3aqatCvAUfeBSjuyZL2yd9gzLbvyNv2Caerbov2D09 MBaeXatLxBI9gBaerbd9wDYLwzYbItLDharuavP1wzZbItLDhis9wB H5garqqtubsr4rNCHbGeaGqipy0de9vqqrpepC0xbbL8F4rqqrFfpe ea0pd9Zqpe0xc9q8qqaqFn0dXdir=xcvk9pIe9q8qqaq=dir=f0=yq aqVeLsFr0=vr0=vr0db8meaabaqaciaacaGaaeqabaWaaqaafaaake aaqaaaaaaaaaWdbiabeA9a2baa@3DF3@  в зависимости от волнового числа k h MathType@MTEF@5@5@+= feaahqart1ev3aqatCvAUfeBSjuyZL2yd9gzLbvyNv2Caerbov2D09 MBaeXatLxBI9gBaerbd9wDYLwzYbItLDharuavP1wzZbItLDhis9wB H5garqqtubsr4rNCHbGeaGqipy0de9vqqrpepC0xbbL8F4rqqrFfpe ea0pd9Zqpe0xc9q8qqaqFn0dXdir=xcvk9pIe9q8qqaq=dir=f0=yq aqVeLsFr0=vr0=vr0db8meaabaqaciaacaGaaeqabaWaaqaafaaake aaqaaaaaaaaaWdbiaadUgapaWaaSbaaSqaa8qacaWGObaapaqabaaa aa@3E51@  имеет подобное поведение.

 

Таблица 1. Теплофизические параметры.

Параметр

Металл

Магма

Температура жидкости вдали от фронта кристаллизации, ϑ MathType@MTEF@5@5@+= feaahqart1ev3aqatCvAUfeBSjuyZL2yd9gzLbvyNv2Caerbov2D09 MBaeXatLxBI9gBaerbd9wDYLwzYbItLDharuavP1wzZbItLDhis9wB H5garqqtubsr4rNCHbGeaGqipy0de9vqqrpepC0xbbL8F4rqqrFfpe ea0pd9Zqpe0xc9q8qqaqFn0dXdir=xcvk9pIe9q8qqaq=dir=f0=yq aqVeLsFr0=vr0=vr0db8meaabaqaciaacaGaaeqabaWaaqaafaaake aaqaaaaaaaaaWdbiabeg9ak9aadaWgaaWcbaWdbiabg6HiLcWdaeqa aaaa@3F8D@

1185 ºС

1100 ºС

Температура фазового перехода чистого вещества, ϑ * MathType@MTEF@5@5@+= feaahqart1ev3aqatCvAUfeBSjuyZL2yd9gzLbvyNv2Caerbov2D09 MBaeXatLxBI9gBaerbd9wDYLwzYbItLDharuavP1wzZbItLDhis9wB H5garqqtubsr4rNCHbGeaGqipy0de9vqqrpepC0xbbL8F4rqqrFfpe ea0pd9Zqpe0xc9q8qqaqFn0dXdir=xcvk9pIe9q8qqaq=dir=f0=yq aqVeLsFr0=vr0=vr0db8meaabaqaciaacaGaaeqabaWaaqaafaaake aaqaaaaaaaaaWdbiabeg9ak9aadaWgaaWcbaWdbiaacQcaa8aabeaa aaa@3ECA@

1085 ºС

1000 ºС

Удельная теплота, c l MathType@MTEF@5@5@+= feaahqart1ev3aqatCvAUfeBSjuyZL2yd9gzLbvyNv2Caerbov2D09 MBaeXatLxBI9gBaerbd9wDYLwzYbItLDharuavP1wzZbItLDhis9wB H5garqqtubsr4rNCHbGeaGqipy0de9vqqrpepC0xbbL8F4rqqrFfpe ea0pd9Zqpe0xc9q8qqaqFn0dXdir=xcvk9pIe9q8qqaq=dir=f0=yq aqVeLsFr0=vr0=vr0db8meaabaqaciaacaGaaeqabaWaaqaafaaake aaqaaaaaaaaaWdbiaadogapaWaaSbaaSqaa8qacaWGSbaapaqabaaa aa@3E4D@

3·107 Дж/м ³ MathType@MTEF@5@5@+= feaahqart1ev3aqatCvAUfeBSjuyZL2yd9gzLbvyNv2CaerbuLwBLn hiov2DGi1BTfMBaeXatLxBI9gBaerbd9wDYLwzYbItLDharqqtubsr 4rNCHbGeaGqiVu0Je9sqqrpepC0xbbL8F4rqqrFfpeea0xe9Lq=Jc9 vqaqpepm0xbba9pwe9Q8fs0=yqaqpepae9pg0FirpepeKkFr0xfr=x fr=xb9adbaqaaeGaciGaaiaabeqaamaabaabaaGcbaacbaqcLbyaqa aaaaaaaaWdbiaa=nlaaaa@3840@ ·ºС

2×106 Дж/м ³ MathType@MTEF@5@5@+= feaahqart1ev3aqatCvAUfeBSjuyZL2yd9gzLbvyNv2CaerbuLwBLn hiov2DGi1BTfMBaeXatLxBI9gBaerbd9wDYLwzYbItLDharqqtubsr 4rNCHbGeaGqiVu0Je9sqqrpepC0xbbL8F4rqqrFfpeea0xe9Lq=Jc9 vqaqpepm0xbba9pwe9Q8fs0=yqaqpepae9pg0FirpepeKkFr0xfr=x fr=xb9adbaqaaeGaciGaaiaabeqaamaabaabaaGcbaacbaqcLbyaqa aaaaaaaaWdbiaa=nlaaaa@3840@ ·ºС

Теплопроводность твердого тела, k s MathType@MTEF@5@5@+= feaahqart1ev3aqatCvAUfeBSjuyZL2yd9gzLbvyNv2Caerbov2D09 MBaeXatLxBI9gBaerbd9wDYLwzYbItLDharuavP1wzZbItLDhis9wB H5garqqtubsr4rNCHbGeaGqipy0de9vqqrpepC0xbbL8F4rqqrFfpe ea0pd9Zqpe0xc9q8qqaqFn0dXdir=xcvk9pIe9q8qqaq=dir=f0=yq aqVeLsFr0=vr0=vr0db8meaabaqaciaacaGaaeqabaWaaqaafaaake aaqaaaaaaaaaWdbiaadUgapaWaaSbaaSqaa8qacaWGZbaapaqabaaa aa@3E5C@

244 Вт/м·ºС

1 Вт/м·ºС

Теплопроводность жидкости, k l MathType@MTEF@5@5@+= feaahqart1ev3aqatCvAUfeBSjuyZL2yd9gzLbvyNv2Caerbov2D09 MBaeXatLxBI9gBaerbd9wDYLwzYbItLDharuavP1wzZbItLDhis9wB H5garqqtubsr4rNCHbGeaGqipy0de9vqqrpepC0xbbL8F4rqqrFfpe ea0pd9Zqpe0xc9q8qqaqFn0dXdir=xcvk9pIe9q8qqaq=dir=f0=yq aqVeLsFr0=vr0=vr0db8meaabaqaciaacaGaaeqabaWaaqaafaaake aaqaaaaaaaaaWdbiaadUgapaWaaSbaaSqaa8qacaWGSbaapaqabaaa aa@3E55@

166 Вт/м·ºС

1 Вт/м·ºС

Параметр скрытой теплоты, L V MathType@MTEF@5@5@+= feaahqart1ev3aqatCvAUfeBSjuyZL2yd9gzLbvyNv2Caerbov2D09 MBaeXatLxBI9gBaerbd9wDYLwzYbItLDharuavP1wzZbItLDhis9wB H5garqqtubsr4rNCHbGeaGqipy0de9vqqrpepC0xbbL8F4rqqrFfpe ea0pd9Zqpe0xc9q8qqaqFn0dXdir=xcvk9pIe9q8qqaq=dir=f0=yq aqVeLsFr0=vr0=vr0db8meaabaqaciaacaGaaeqabaWaaqaafaaake aaqaaaaaaaaaWdbiaadYeapaWaaSbaaSqaa8qacaWGwbaapaqabaaa aa@3E20@

1700·106 Дж/м ³ MathType@MTEF@5@5@+= feaahqart1ev3aqatCvAUfeBSjuyZL2yd9gzLbvyNv2CaerbuLwBLn hiov2DGi1BTfMBaeXatLxBI9gBaerbd9wDYLwzYbItLDharqqtubsr 4rNCHbGeaGqiVu0Je9sqqrpepC0xbbL8F4rqqrFfpeea0xe9Lq=Jc9 vqaqpepm0xbba9pwe9Q8fs0=yqaqpepae9pg0FirpepeKkFr0xfr=x fr=xb9adbaqaaeGaciGaaiaabeqaamaabaabaaGcbaacbaqcLbyaqa aaaaaaaaWdbiaa=nlaaaa@3840@

1350·106 Дж/м ³ MathType@MTEF@5@5@+= feaahqart1ev3aqatCvAUfeBSjuyZL2yd9gzLbvyNv2CaerbuLwBLn hiov2DGi1BTfMBaeXatLxBI9gBaerbd9wDYLwzYbItLDharqqtubsr 4rNCHbGeaGqiVu0Je9sqqrpepC0xbbL8F4rqqrFfpeea0xe9Lq=Jc9 vqaqpepm0xbba9pwe9Q8fs0=yqaqpepae9pg0FirpepeKkFr0xfr=x fr=xb9adbaqaaeGaciGaaiaabeqaamaabaabaaGcbaacbaqcLbyaqa aaaaaaaaWdbiaa=nlaaaa@3840@

Кинематическая вязкость, ϰ MathType@MTEF@5@5@+= feaahqart1ev3aqatCvAUfeBSjuyZL2yd9gzLbvyNv2Caerbov2D09 MBaeXatLxBI9gBaerbd9wDYLwzYbItLDharuavP1wzZbItLDhis9wB H5garqqtubsr4rNCHbGeaGqipy0de9vqqrpepC0xbbL8F4rqqrFfpe ea0pd9Zqpe0xc9q8qqaqFn0dXdir=xcvk9pIe9q8qqaq=dir=f0=yq aqVeLsFr0=vr0=vr0db8meaabaqaciaacaGaaeqabaWaaqaafaaake aatuuDJXwAK1uy0HwmaeHbfv3ySLgzG0uy0Hgip5wzaGGbcabaaaaa aaaapeGae8h8dKpaaa@4818@

0.004·10-4 м ² MathType@MTEF@5@5@+= feaahqart1ev3aqatCvAUfeBSjuyZL2yd9gzLbvyNv2CaerbuLwBLn hiov2DGi1BTfMBaeXatLxBI9gBaerbd9wDYLwzYbItLDharqqtubsr 4rNCHbGeaGqiVu0Je9sqqrpepC0xbbL8F4rqqrFfpeea0xe9Lq=Jc9 vqaqpepm0xbba9pwe9Q8fs0=yqaqpepae9pg0FirpepeKkFr0xfr=x fr=xb9adbaqaaeGaciGaaiaabeqaamaabaabaaGcbaacbaqcLbyaqa aaaaaaaaWdbiaa=jlaaaa@383F@ ¹ MathType@MTEF@5@5@+= feaahqart1ev3aqatCvAUfeBSjuyZL2yd9gzLbvyNv2CaerbuLwBLn hiov2DGi1BTfMBaeXatLxBI9gBaerbd9wDYLwzYbItLDharqqtubsr 4rNCHbGeaGqiVu0Je9sqqrpepC0xbbL8F4rqqrFfpeea0xe9Lq=Jc9 vqaqpepm0xbba9pwe9Q8fs0=yqaqpepae9pg0FirpepeKkFr0xfr=x fr=xb9adbaqaaeGaciGaaiaabeqaamaabaabaaGcbaacbaqcLbyaqa aaaaaaaaWdbiaa=Llaaaa@3846@

10- ² MathType@MTEF@5@5@+= feaahqart1ev3aqatCvAUfeBSjuyZL2yd9gzLbvyNv2CaerbuLwBLn hiov2DGi1BTfMBaeXatLxBI9gBaerbd9wDYLwzYbItLDharqqtubsr 4rNCHbGeaGqiVu0Je9sqqrpepC0xbbL8F4rqqrFfpeea0xe9Lq=Jc9 vqaqpepm0xbba9pwe9Q8fs0=yqaqpepae9pg0FirpepeKkFr0xfr=x fr=xb9adbaqaaeGaciGaaiaabeqaamaabaabaaGcbaacbaqcLbyaqa aaaaaaaaWdbiaa=jlaaaa@383F@ м ² MathType@MTEF@5@5@+= feaahqart1ev3aqatCvAUfeBSjuyZL2yd9gzLbvyNv2CaerbuLwBLn hiov2DGi1BTfMBaeXatLxBI9gBaerbd9wDYLwzYbItLDharqqtubsr 4rNCHbGeaGqiVu0Je9sqqrpepC0xbbL8F4rqqrFfpeea0xe9Lq=Jc9 vqaqpepm0xbba9pwe9Q8fs0=yqaqpepae9pg0FirpepeKkFr0xfr=x fr=xb9adbaqaaeGaciGaaiaabeqaamaabaabaaGcbaacbaqcLbyaqa aaaaaaaaWdbiaa=jlaaaa@383F@

Коэффициент теплового расширения, α MathType@MTEF@5@5@+= feaahqart1ev3aqatCvAUfeBSjuyZL2yd9gzLbvyNv2Caerbov2D09 MBaeXatLxBI9gBaerbd9wDYLwzYbItLDharuavP1wzZbItLDhis9wB H5garqqtubsr4rNCHbGeaGqipy0de9vqqrpepC0xbbL8F4rqqrFfpe ea0pd9Zqpe0xc9q8qqaqFn0dXdir=xcvk9pIe9q8qqaq=dir=f0=yq aqVeLsFr0=vr0=vr0db8meaabaqaciaacaGaaeqabaWaaqaafaaake aaqaaaaaaaaaWdbiabeg7aHbaa@3DB9@

2·10-4 ºС- ¹ MathType@MTEF@5@5@+= feaahqart1ev3aqatCvAUfeBSjuyZL2yd9gzLbvyNv2CaerbuLwBLn hiov2DGi1BTfMBaeXatLxBI9gBaerbd9wDYLwzYbItLDharqqtubsr 4rNCHbGeaGqiVu0Je9sqqrpepC0xbbL8F4rqqrFfpeea0xe9Lq=Jc9 vqaqpepm0xbba9pwe9Q8fs0=yqaqpepae9pg0FirpepeKkFr0xfr=x fr=xb9adbaqaaeGaciGaaiaabeqaamaabaabaaGcbaacbaqcLbyaqa aaaaaaaaWdbiaa=Llaaaa@3846@

5·10-5 ºС- ¹ MathType@MTEF@5@5@+= feaahqart1ev3aqatCvAUfeBSjuyZL2yd9gzLbvyNv2CaerbuLwBLn hiov2DGi1BTfMBaeXatLxBI9gBaerbd9wDYLwzYbItLDharqqtubsr 4rNCHbGeaGqiVu0Je9sqqrpepC0xbbL8F4rqqrFfpeea0xe9Lq=Jc9 vqaqpepm0xbba9pwe9Q8fs0=yqaqpepae9pg0FirpepeKkFr0xfr=x fr=xb9adbaqaaeGaciGaaiaabeqaamaabaabaaGcbaacbaqcLbyaqa aaaaaaaaWdbiaa=Llaaaa@3846@

Безразмерная постоянная, λ MathType@MTEF@5@5@+= feaahqart1ev3aqatCvAUfeBSjuyZL2yd9gzLbvyNv2Caerbov2D09 MBaeXatLxBI9gBaerbd9wDYLwzYbItLDharuavP1wzZbItLDhis9wB H5garqqtubsr4rNCHbGeaGqipy0de9vqqrpepC0xbbL8F4rqqrFfpe ea0pd9Zqpe0xc9q8qqaqFn0dXdir=xcvk9pIe9q8qqaq=dir=f0=yq aqVeLsFr0=vr0=vr0db8meaabaqaciaacaGaaeqabaWaaqaafaaake aaqaaaaaaaaaWdbiabeU7aSbaa@3DCE@

0.056

0.056

Коэффициент диффузии, D C MathType@MTEF@5@5@+= feaahqart1ev3aqatCvAUfeBSjuyZL2yd9gzLbvyNv2Caerbov2D09 MBaeXatLxBI9gBaerbd9wDYLwzYbItLDharuavP1wzZbItLDhis9wB H5garqqtubsr4rNCHbGeaGqipy0de9vqqrpepC0xbbL8F4rqqrFfpe ea0pd9Zqpe0xc9q8qqaqFn0dXdir=xcvk9pIe9q8qqaq=dir=f0=yq aqVeLsFr0=vr0=vr0db8meaabaqaciaacaGaaeqabaWaaqaafaaake aaqaaaaaaaaaWdbiaadseapaWaaSbaaSqaa8qacaWGdbaapaqabaaa aa@3E05@

10-9 м ² MathType@MTEF@5@5@+= feaahqart1ev3aqatCvAUfeBSjuyZL2yd9gzLbvyNv2CaerbuLwBLn hiov2DGi1BTfMBaeXatLxBI9gBaerbd9wDYLwzYbItLDharqqtubsr 4rNCHbGeaGqiVu0Je9sqqrpepC0xbbL8F4rqqrFfpeea0xe9Lq=Jc9 vqaqpepm0xbba9pwe9Q8fs0=yqaqpepae9pg0FirpepeKkFr0xfr=x fr=xb9adbaqaaeGaciGaaiaabeqaamaabaabaaGcbaacbaqcLbyaqa aaaaaaaaWdbiaa=jlaaaa@383F@

2·10- ¹ MathType@MTEF@5@5@+= feaahqart1ev3aqatCvAUfeBSjuyZL2yd9gzLbvyNv2CaerbuLwBLn hiov2DGi1BTfMBaeXatLxBI9gBaerbd9wDYLwzYbItLDharqqtubsr 4rNCHbGeaGqiVu0Je9sqqrpepC0xbbL8F4rqqrFfpeea0xe9Lq=Jc9 vqaqpepm0xbba9pwe9Q8fs0=yqaqpepae9pg0FirpepeKkFr0xfr=x fr=xb9adbaqaaeGaciGaaiaabeqaamaabaabaaGcbaacbaqcLbyaqa aaaaaaaaWdbiaa=Llaaaa@3846@ ¹ MathType@MTEF@5@5@+= feaahqart1ev3aqatCvAUfeBSjuyZL2yd9gzLbvyNv2CaerbuLwBLn hiov2DGi1BTfMBaeXatLxBI9gBaerbd9wDYLwzYbItLDharqqtubsr 4rNCHbGeaGqiVu0Je9sqqrpepC0xbbL8F4rqqrFfpeea0xe9Lq=Jc9 vqaqpepm0xbba9pwe9Q8fs0=yqaqpepae9pg0FirpepeKkFr0xfr=x fr=xb9adbaqaaeGaciGaaiaabeqaamaabaabaaGcbaacbaqcLbyaqa aaaaaaaaWdbiaa=Llaaaa@3846@ м ² MathType@MTEF@5@5@+= feaahqart1ev3aqatCvAUfeBSjuyZL2yd9gzLbvyNv2CaerbuLwBLn hiov2DGi1BTfMBaeXatLxBI9gBaerbd9wDYLwzYbItLDharqqtubsr 4rNCHbGeaGqiVu0Je9sqqrpepC0xbbL8F4rqqrFfpeea0xe9Lq=Jc9 vqaqpepm0xbba9pwe9Q8fs0=yqaqpepae9pg0FirpepeKkFr0xfr=x fr=xb9adbaqaaeGaciGaaiaabeqaamaabaabaaGcbaacbaqcLbyaqa aaaaaaaaWdbiaa=jlaaaa@383F@

Коэффициенты теплопроводности в жидкой фазе, D l MathType@MTEF@5@5@+= feaahqart1ev3aqatCvAUfeBSjuyZL2yd9gzLbvyNv2Caerbov2D09 MBaeXatLxBI9gBaerbd9wDYLwzYbItLDharuavP1wzZbItLDhis9wB H5garqqtubsr4rNCHbGeaGqipy0de9vqqrpepC0xbbL8F4rqqrFfpe ea0pd9Zqpe0xc9q8qqaqFn0dXdir=xcvk9pIe9q8qqaq=dir=f0=yq aqVeLsFr0=vr0=vr0db8meaabaqaciaacaGaaeqabaWaaqaafaaake aaqaaaaaaaaaWdbiaadseapaWaaSbaaSqaa8qacaWGSbaapaqabaaa aa@3E2E@

5.533·10-6 м ² MathType@MTEF@5@5@+= feaahqart1ev3aqatCvAUfeBSjuyZL2yd9gzLbvyNv2CaerbuLwBLn hiov2DGi1BTfMBaeXatLxBI9gBaerbd9wDYLwzYbItLDharqqtubsr 4rNCHbGeaGqiVu0Je9sqqrpepC0xbbL8F4rqqrFfpeea0xe9Lq=Jc9 vqaqpepm0xbba9pwe9Q8fs0=yqaqpepae9pg0FirpepeKkFr0xfr=x fr=xb9adbaqaaeGaciGaaiaabeqaamaabaabaaGcbaacbaqcLbyaqa aaaaaaaaWdbiaa=jlaaaa@383F@

5·10-7 м ² MathType@MTEF@5@5@+= feaahqart1ev3aqatCvAUfeBSjuyZL2yd9gzLbvyNv2CaerbuLwBLn hiov2DGi1BTfMBaeXatLxBI9gBaerbd9wDYLwzYbItLDharqqtubsr 4rNCHbGeaGqiVu0Je9sqqrpepC0xbbL8F4rqqrFfpeea0xe9Lq=Jc9 vqaqpepm0xbba9pwe9Q8fs0=yqaqpepae9pg0FirpepeKkFr0xfr=x fr=xb9adbaqaaeGaciGaaiaabeqaamaabaabaaGcbaacbaqcLbyaqa aaaaaaaaWdbiaa=jlaaaa@383F@

Коэффициенты теплопроводности в твердой фазе, D s MathType@MTEF@5@5@+= feaahqart1ev3aqatCvAUfeBSjuyZL2yd9gzLbvyNv2Caerbov2D09 MBaeXatLxBI9gBaerbd9wDYLwzYbItLDharuavP1wzZbItLDhis9wB H5garqqtubsr4rNCHbGeaGqipy0de9vqqrpepC0xbbL8F4rqqrFfpe ea0pd9Zqpe0xc9q8qqaqFn0dXdir=xcvk9pIe9q8qqaq=dir=f0=yq aqVeLsFr0=vr0=vr0db8meaabaqaciaacaGaaeqabaWaaqaafaaake aaqaaaaaaaaaWdbiaadseapaWaaSbaaSqaa8qacaWGZbaapaqabaaa aa@3E35@

8.414·10-6 м ² MathType@MTEF@5@5@+= feaahqart1ev3aqatCvAUfeBSjuyZL2yd9gzLbvyNv2CaerbuLwBLn hiov2DGi1BTfMBaeXatLxBI9gBaerbd9wDYLwzYbItLDharqqtubsr 4rNCHbGeaGqiVu0Je9sqqrpepC0xbbL8F4rqqrFfpeea0xe9Lq=Jc9 vqaqpepm0xbba9pwe9Q8fs0=yqaqpepae9pg0FirpepeKkFr0xfr=x fr=xb9adbaqaaeGaciGaaiaabeqaamaabaabaaGcbaacbaqcLbyaqa aaaaaaaaWdbiaa=jlaaaa@383F@

5·10-7 м ² MathType@MTEF@5@5@+= feaahqart1ev3aqatCvAUfeBSjuyZL2yd9gzLbvyNv2CaerbuLwBLn hiov2DGi1BTfMBaeXatLxBI9gBaerbd9wDYLwzYbItLDharqqtubsr 4rNCHbGeaGqiVu0Je9sqqrpepC0xbbL8F4rqqrFfpeea0xe9Lq=Jc9 vqaqpepm0xbba9pwe9Q8fs0=yqaqpepae9pg0FirpepeKkFr0xfr=x fr=xb9adbaqaaeGaciGaaiaabeqaamaabaabaaGcbaacbaqcLbyaqa aaaaaaaaWdbiaa=jlaaaa@383F@

 

Обнаруженная морфологическая неустойчивость является следствием возмущений, возникающих на охлаждаемой стенке при z<0 MathType@MTEF@5@5@+= feaahqart1ev3aqatCvAUfeBSjuyZL2yd9gzLbvyNv2Caerbov2D09 MBaeXatLxBI9gBaerbd9wDYLwzYbItLDharuavP1wzZbItLDhis9wB H5garqqtubsr4rNCHbGeaGqipy0de9vqqrpepC0xbbL8F4rqqrFfpe ea0pd9Zqpe0xc9q8qqaqFn0dXdir=xcvk9pIe9q8qqaq=dir=f0=yq aqVeLsFr0=vr0=vr0db8meaabaqaciaacaGaaeqabaWaaqaafaaake aaqaaaaaaaaaWdbiaadQhacqGH8aapcaaIWaaaaa@3ED7@ . В случае бесконечной области кристаллизации такого решения не существует из-за требования затухания возмущений при z MathType@MTEF@5@5@+= feaahqart1ev3aqatCvAUfeBSjuyZL2yd9gzLbvyNv2Caerbov2D09 MBaeXatLxBI9gBaerbd9wDYLwzYbItLDharuavP1wzZbItLDhis9wB H5garqqtubsr4rNCHbGeaGqipy0de9vqqrpepC0xbbL8F4rqqrFfpe ea0pd9Zqpe0xc9q8qqaqFn0dXdir=xcvk9pIe9q8qqaq=dir=f0=yq aqVeLsFr0=vr0=vr0db8meaabaqaciaacaGaaeqabaWaaqaafaaake aaqaaaaaaaaaWdbiaadQhacqGHsgIRcqGHsislcqGHEisPaaa@4164@ . Следствием обнаруженной неустойчивости является развитие морфологических возмущений в жидкости на границе раздела фаз и появление двухфазной области, заполненной дендритоподобными структурами, как это было показано в экспериментах [34].

Кроме морфологических возмущений с k h 0 MathType@MTEF@5@5@+= feaahqart1ev3aqatCvAUfeBSjuyZL2yd9gzLbvyNv2Caerbov2D09 MBaeXatLxBI9gBaerbd9wDYLwzYbItLDharuavP1wzZbItLDhis9wB H5garqqtubsr4rNCHbGeaGqipy0de9vqqrpepC0xbbL8F4rqqrFfpe ea0pd9Zqpe0xc9q8qqaqFn0dXdir=xcvk9pIe9q8qqaq=dir=f0=yq aqVeLsFr0=vr0=vr0db8meaabaqaciaacaGaaeqabaWaaqaafaaake aaqaaaaaaaaaWdbiaadUgapaWaaSbaaSqaa8qacaWGObaapaqabaGc peGaeyiyIKRaaGimaaaa@40EC@ , в кристаллизующейся системе могут существовать и динамические возмущения с k h =0 MathType@MTEF@5@5@+= feaahqart1ev3aqatCvAUfeBSjuyZL2yd9gzLbvyNv2Caerbov2D09 MBaeXatLxBI9gBaerbd9wDYLwzYbItLDharuavP1wzZbItLDhis9wB H5garqqtubsr4rNCHbGeaGqipy0de9vqqrpepC0xbbL8F4rqqrFfpe ea0pd9Zqpe0xc9q8qqaqFn0dXdir=xcvk9pIe9q8qqaq=dir=f0=yq aqVeLsFr0=vr0=vr0db8meaabaqaciaacaGaaeqabaWaaqaafaaake aaqaaaaaaaaaWdbiaadUgapaWaaSbaaSqaa8qacaWGObaapaqabaGc peGaeyypa0JaaGimaaaa@402B@ , представляющие собой возмущения установившейся скорости кристаллизации υ s MathType@MTEF@5@5@+= feaahqart1ev3aqatCvAUfeBSjuyZL2yd9gzLbvyNv2Caerbov2D09 MBaeXatLxBI9gBaerbd9wDYLwzYbItLDharuavP1wzZbItLDhis9wB H5garqqtubsr4rNCHbGeaGqipy0de9vqqrpepC0xbbL8F4rqqrFfpe ea0pd9Zqpe0xc9q8qqaqFn0dXdir=xcvk9pIe9q8qqaq=dir=f0=yq aqVeLsFr0=vr0=vr0db8meaabaqaciaacaGaaeqabaWaaqaafaaake aaqaaaaaaaaaWdbiabew8a19aadaWgaaWcbaWdbiaadohaa8aabeaa aaa@3F33@ . На рис. 2б показана зависимость частоты возмущений от скорости υ s MathType@MTEF@5@5@+= feaahqart1ev3aqatCvAUfeBSjuyZL2yd9gzLbvyNv2Caerbov2D09 MBaeXatLxBI9gBaerbd9wDYLwzYbItLDharuavP1wzZbItLDhis9wB H5garqqtubsr4rNCHbGeaGqipy0de9vqqrpepC0xbbL8F4rqqrFfpe ea0pd9Zqpe0xc9q8qqaqFn0dXdir=xcvk9pIe9q8qqaq=dir=f0=yq aqVeLsFr0=vr0=vr0db8meaabaqaciaacaGaaeqabaWaaqaafaaake aaqaaaaaaaaaWdbiabew8a19aadaWgaaWcbaWdbiaadohaa8aabeaa aaa@3F33@  при двух различных температурах ϑ MathType@MTEF@5@5@+= feaahqart1ev3aqatCvAUfeBSjuyZL2yd9gzLbvyNv2Caerbov2D09 MBaeXatLxBI9gBaerbd9wDYLwzYbItLDharuavP1wzZbItLDhis9wB H5garqqtubsr4rNCHbGeaGqipy0de9vqqrpepC0xbbL8F4rqqrFfpe ea0pd9Zqpe0xc9q8qqaqFn0dXdir=xcvk9pIe9q8qqaq=dir=f0=yq aqVeLsFr0=vr0=vr0db8meaabaqaciaacaGaaeqabaWaaqaafaaake aaqaaaaaaaaaWdbiabeg9ak9aadaWgaaWcbaWdbiabg6HiLcWdaeqa aaaa@3F8D@ , для металла, а на рис. 3б представлена та же зависимость при двух разных температурах, для магмы. Были обнаружены две ветви решения, одна из которых является динамически неустойчивой ( ϖ>0 MathType@MTEF@5@5@+= feaahqart1ev3aqatCvAUfeBSjuyZL2yd9gzLbvyNv2Caerbov2D09 MBaeXatLxBI9gBaerbd9wDYLwzYbItLDharuavP1wzZbItLDhis9wB H5garqqtubsr4rNCHbGeaGqipy0de9vqqrpepC0xbbL8F4rqqrFfpe ea0pd9Zqpe0xc9q8qqaqFn0dXdir=xcvk9pIe9q8qqaq=dir=f0=yq aqVeLsFr0=vr0=vr0db8meaabaqaciaacaGaaeqabaWaaqaafaaake aaqaaaaaaaaaWdbiabeA9a2jabg6da+iaaicdaaaa@3FB5@ , сплошная линия на рисунках 2б и 3б), а другая MathType@MTEF@5@5@+= feaahqart1ev3aqatCvAUfeBSjuyZL2yd9gzLbvyNv2CaerbuLwBLn hiov2DGi1BTfMBaeXatLxBI9gBaerbd9wDYLwzYbItLDharqqtubsr 4rNCHbGeaGqiVu0Je9sqqrpepC0xbbL8F4rqqrFfpeea0xe9Lq=Jc9 vqaqpepm0xbba9pwe9Q8fs0=yqaqpepae9pg0FirpepeKkFr0xfr=x fr=xb9adbaqaaeGaciGaaiaabeqaamaabaabaaGcbaacbaqcLbyaqa aaaaaaaaWdbiaa=rbiaaa@37C1@  устойчивой ( ϖ=0 MathType@MTEF@5@5@+= feaahqart1ev3aqatCvAUfeBSjuyZL2yd9gzLbvyNv2Caerbov2D09 MBaeXatLxBI9gBaerbd9wDYLwzYbItLDharuavP1wzZbItLDhis9wB H5garqqtubsr4rNCHbGeaGqipy0de9vqqrpepC0xbbL8F4rqqrFfpe ea0pd9Zqpe0xc9q8qqaqFn0dXdir=xcvk9pIe9q8qqaq=dir=f0=yq aqVeLsFr0=vr0=vr0db8meaabaqaciaacaGaaeqabaWaaqaafaaake aaqaaaaaaaaaWdbiabeA9a2jabg2da9iaaicdaaaa@3FB3@ , пунктирная линия на рисунках 2б и 3б). Отметим, что корень ϖ=0 MathType@MTEF@5@5@+= feaahqart1ev3aqatCvAUfeBSjuyZL2yd9gzLbvyNv2Caerbov2D09 MBaeXatLxBI9gBaerbd9wDYLwzYbItLDharuavP1wzZbItLDhis9wB H5garqqtubsr4rNCHbGeaGqipy0de9vqqrpepC0xbbL8F4rqqrFfpe ea0pd9Zqpe0xc9q8qqaqFn0dXdir=xcvk9pIe9q8qqaq=dir=f0=yq aqVeLsFr0=vr0=vr0db8meaabaqaciaacaGaaeqabaWaaqaafaaake aaqaaaaaaaaaWdbiabeA9a2jabg2da9iaaicdaaaa@3FB3@  из уравнения (15) находится аналитически для динамических возмущений при k h =0 MathType@MTEF@5@5@+= feaahqart1ev3aqatCvAUfeBSjuyZL2yd9gzLbvyNv2Caerbov2D09 MBaeXatLxBI9gBaerbd9wDYLwzYbItLDharuavP1wzZbItLDhis9wB H5garqqtubsr4rNCHbGeaGqipy0de9vqqrpepC0xbbL8F4rqqrFfpe ea0pd9Zqpe0xc9q8qqaqFn0dXdir=xcvk9pIe9q8qqaq=dir=f0=yq aqVeLsFr0=vr0=vr0db8meaabaqaciaacaGaaeqabaWaaqaafaaake aaqaaaaaaaaaWdbiaadUgapaWaaSbaaSqaa8qacaWGObaapaqabaGc peGaeyypa0JaaGimaaaa@402B@ . Кроме этого, Z = Z A MathType@MTEF@5@5@+= feaahqart1ev3aqatCvAUfeBSjuyZL2yd9gzLbvyNv2Caerbov2D09 MBaeXatLxBI9gBaerbd9wDYLwzYbItLDharuavP1wzZbItLDhis9wB H5garqqtubsr4rNCHbGeaGqipy0de9vqqrpepC0xbbL8F4rqqrFfpe ea0pd9Zqpe0xc9q8qqaqFn0dXdir=xcvk9pIe9q8qqaq=dir=f0=yq aqVeLsFr0=vr0=vr0db8meaabaqaciaacaGaaeqabaWaaqaafaaake aaqaaaaaaaaaWdbiqadQfagaqbaiabg2da9iaadQfapaWaaSbaaSqa a8qacaqGbbaapaqabaaaaa@4008@  и d Z /dt=0 MathType@MTEF@5@5@+= feaahqart1ev3aqatCvAUfeBSjuyZL2yd9gzLbvyNv2Caerbov2D09 MBaeXatLxBI9gBaerbd9wDYLwzYbItLDharuavP1wzZbItLDhis9wB H5garqqtubsr4rNCHbGeaGqipy0de9vqqrpepC0xbbL8F4rqqrFfpe ea0pd9Zqpe0xc9q8qqaqFn0dXdir=xcvk9pIe9q8qqaq=dir=f0=yq aqVeLsFr0=vr0=vr0db8meaabaqaciaacaGaaeqabaWaaqaafaaake aaqaaaaaaaaaWdbiaadsgaceWGAbGbauaacaGGVaGaamizaiaadsha cqGH9aqpcaaIWaaaaa@4243@ , т.е. система имеет нулевое возмущение скорости и кристаллизуется с установившейся скоростью υ s MathType@MTEF@5@5@+= feaahqart1ev3aqatCvAUfeBSjuyZL2yd9gzLbvyNv2Caerbov2D09 MBaeXatLxBI9gBaerbd9wDYLwzYbItLDharuavP1wzZbItLDhis9wB H5garqqtubsr4rNCHbGeaGqipy0de9vqqrpepC0xbbL8F4rqqrFfpe ea0pd9Zqpe0xc9q8qqaqFn0dXdir=xcvk9pIe9q8qqaq=dir=f0=yq aqVeLsFr0=vr0=vr0db8meaabaqaciaacaGaaeqabaWaaqaafaaake aaqaaaaaaaaaWdbiabew8a19aadaWgaaWcbaWdbiaadohaa8aabeaa aaa@3F33@ . Какая из этих двух ветвей решения будет реализована, зависит от того, усиливает ли конвекция (создавая неоднородности в полях температуры и концентрации) или ослабляет (выравнивая температуру и концентрацию) динамические возмущения вблизи границы раздела твердое тело/жидкость. Ответ на этот вопрос зависит от характера конвективных течений и расположения кристаллизующегося объекта.

Отметим, что двухфазная область часто возникает в различных геофизических явлениях замерзания льда и застывания магмы, а также в металлургических и химических процессах равновесной и неравновесной кристаллизации расплавов и растворов [36 MathType@MTEF@5@5@+= feaahqart1ev3aqatCvAUfeBSjuyZL2yd9gzLbvyNv2CaerbuLwBLn hiov2DGi1BTfMBaeXatLxBI9gBaerbd9wDYLwzYbItLDharqqtubsr 4rNCHbGeaGqiVu0Je9sqqrpepC0xbbL8F4rqqrFfpeea0xe9Lq=Jc9 vqaqpepm0xbba9pwe9Q8fs0=yqaqpepae9pg0FirpepeKkFr0xfr=x fr=xb9adbaqaaeGaciGaaiaabeqaamaabaabaaGcbaacbaqcLbyaqa aaaaaaaaWdbiaa=nbiaaa@37C0@ 44]. Этим объясняется необходимость разработки теории динамической устойчивости таких процессов под действием конвекции. При возникновении двухфазной области между чисто твердой и жидкой фазами малые температурные возмущения могут вызвать новый сценарий колебательной кристаллизации, когда двухфазный слой динамически неустойчив и колеблется вблизи своей установившейся скорости затвердевания. Такой процесс существенно изменяет распределение примеси в твердом материале и приводит к явлению слоистой ликвации примеси, возникающей в результате динамических колебаний двухфазной области. Для описания этого эффекта в рамках интенсивной конвекции в жидкости далее развита модель с поверхностью разрыва и выполнен анализ ее устойчивости к малым динамическим возмущениям. Эта поверхность разрыва отражает свойства реальной двухфазной области с помощью нового граничного условия. Данное условие представляет собой равенство градиента температуры фазового перехода и градиента температуры жидкой фазы на границе раздела. Кроме этого, это условие определяет отсутствие переохлаждения перед поверхностью разрыва (двухфазной областью) в жидкости. Такой анализ динамической устойчивости проводится ниже в духе ранее разработанных теорий без конвекции [42, 43].

Динамическая неустойчивость затвердевания с двухфазной областью

Рассмотрим узкую квазиравновесную двухфазную область, возникающую перед плоской межфазной границей между твердым телом и жидкостью. Переохлаждение в двухфазной зоне полностью компенсируется скрытой теплотой. Для простоты анализа мы далее заменяем двухфазную область поверхностью разрыва между чисто твердой и чисто жидкой фазами [44, 45] (рис. 1б). Отметим также, что конвекция заторможена в междендритных промежутках, что приводит к накоплению там примеси. Поэтому в математическую модель направленной кристаллизации с двухфазной областью (поверхностью разрыва) требуется включить концентрацию примеси C l MathType@MTEF@5@5@+= feaahqart1ev3aqatCvAUfeBSjuyZL2yd9gzLbvyNv2Caerbov2D09 MBaeXatLxBI9gBaerbd9wDYLwzYbItLDharuavP1wzZbItLDhis9wB H5garqqtubsr4rNCHbGeaGqipy0de9vqqrpepC0xbbL8F4rqqrFfpe ea0pd9Zqpe0xc9q8qqaqFn0dXdir=xcvk9pIe9q8qqaq=dir=f0=yq aqVeLsFr0=vr0=vr0db8meaabaqaciaacaGaaeqabaWaaqaafaaake aaqaaaaaaaaaWdbiaadoeapaWaaSbaaSqaa8qacaWGSbaapaqabaaa aa@3E2D@  бинарной системы. Таким образом, модель состоит из уравнений теплопроводности (1), (2) и уравнения диффузии примеси в жидкой фазе (диффузией примеси в твердом материале пренебрегаем):

C l t +u C l = D C 2 C l + υ s C l z ,  z> Z t , MathType@MTEF@5@5@+= feaahqart1ev3aqatCvAUfeBSjuyZL2yd9gzLbvyNv2Caerbov2D09 MBaeXatLxBI9gBaerbd9wDYLwzYbItLDharuavP1wzZbItLDhis9wB H5garqqtubsr4rNCHbGeaGqipy0de9vqqrpepC0xbbL8F4rqqrFfpe ea0pd9Zqpe0xc9q8qqaqFn0dXdir=xcvk9pIe9q8qqaq=dir=f0=yq aqVeLsFr0=vr0=vr0db8meaabaqaciaacaGaaeqabaWaaqaafaaakq aaceqaaabaaaaaaaaapeWaaSaaa8aabaWdbiabgkGi2kaadoeapaWa aSbaaSqaa8qacaWGSbaapaqabaaakeaapeGaeyOaIyRaamiDaaaacq GHRaWkcaWH1bGaeyyXICTaey4bIeTaam4qa8aadaWgaaWcbaWdbiaa dYgaa8aabeaak8qacqGH9aqpcaWGebWdamaaBaaaleaapeGaam4qaa WdaeqaaOWdbiabgEGir=aadaahaaWcbeqaa8qacaaIYaaaaOGaam4q a8aadaWgaaWcbaWdbiaadYgaa8aabeaak8qacqGHRaWkiiGacqWFfp qDpaWaaSbaaSqaa8qacaWGZbaapaqabaGcpeWaaSaaa8aabaWdbiab gkGi2kaadoeapaWaaSbaaSqaa8qacaWGSbaapaqabaaakeaapeGaey OaIyRaamOEaaaacaGGSaGaaqoOaaqaaiaadQhacqGH+aGpceWGAbGb auaadaqadaWdaeaapeGaamiDaaGaayjkaiaawMcaaiaacYcaaaaa@64AC@  (18)

где D C MathType@MTEF@5@5@+= feaahqart1ev3aqatCvAUfeBSjuyZL2yd9gzLbvyNv2Caerbov2D09 MBaeXatLxBI9gBaerbd9wDYLwzYbItLDharuavP1wzZbItLDhis9wB H5garqqtubsr4rNCHbGeaGqipy0de9vqqrpepC0xbbL8F4rqqrFfpe ea0pd9Zqpe0xc9q8qqaqFn0dXdir=xcvk9pIe9q8qqaq=dir=f0=yq aqVeLsFr0=vr0=vr0db8meaabaqaciaacaGaaeqabaWaaqaafaaake aaqaaaaaaaaaWdbiaadseapaWaaSbaaSqaa8qacaWGdbaapaqabaaa aa@3E05@   MathType@MTEF@5@5@+= feaahqart1ev3aqatCvAUfeBSjuyZL2yd9gzLbvyNv2CaerbuLwBLn hiov2DGi1BTfMBaeXatLxBI9gBaerbd9wDYLwzYbItLDharqqtubsr 4rNCHbGeaGqiVu0Je9sqqrpepC0xbbL8F4rqqrFfpeea0xe9Lq=Jc9 vqaqpepm0xbba9pwe9Q8fs0=yqaqpepae9pg0FirpepeKkFr0xfr=x fr=xb9adbaqaaeGaciGaaiaabeqaamaabaabaaGcbaacbaqcLbyaqa aaaaaaaaWdbiaa=rbiaaa@37C1@  коэффициент диффузии [46, 47], а Z t MathType@MTEF@5@5@+= feaahqart1ev3aqatCvAUfeBSjuyZL2yd9gzLbvyNv2Caerbov2D09 MBaeXatLxBI9gBaerbd9wDYLwzYbItLDharuavP1wzZbItLDhis9wB H5garqqtubsr4rNCHbGeaGqipy0de9vqqrpepC0xbbL8F4rqqrFfpe ea0pd9Zqpe0xc9q8qqaqFn0dXdir=xcvk9pIe9q8qqaq=dir=f0=yq aqVeLsFr0=vr0=vr0db8meaabaqaciaacaGaaeqabaWaaqaafaaake aaqaaaaaaaaaWdbiqadQfagaqbamaabmaapaqaa8qacaWG0baacaGL OaGaayzkaaaaaa@3FA6@   MathType@MTEF@5@5@+= feaahqart1ev3aqatCvAUfeBSjuyZL2yd9gzLbvyNv2CaerbuLwBLn hiov2DGi1BTfMBaeXatLxBI9gBaerbd9wDYLwzYbItLDharqqtubsr 4rNCHbGeaGqiVu0Je9sqqrpepC0xbbL8F4rqqrFfpeea0xe9Lq=Jc9 vqaqpepm0xbba9pwe9Q8fs0=yqaqpepae9pg0FirpepeKkFr0xfr=x fr=xb9adbaqaaeGaciGaaiaabeqaamaabaabaaGcbaacbaqcLbyaqa aaaaaaaaWdbiaa=rbiaaa@37C1@  определяет динамические возмущения границы раздела, которая заменяет двухфазную область ( Z =0 MathType@MTEF@5@5@+= feaahqart1ev3aqatCvAUfeBSjuyZL2yd9gzLbvyNv2Caerbov2D09 MBaeXatLxBI9gBaerbd9wDYLwzYbItLDharuavP1wzZbItLDhis9wB H5garqqtubsr4rNCHbGeaGqipy0de9vqqrpepC0xbbL8F4rqqrFfpe ea0pd9Zqpe0xc9q8qqaqFn0dXdir=xcvk9pIe9q8qqaq=dir=f0=yq aqVeLsFr0=vr0=vr0db8meaabaqaciaacaGaaeqabaWaaqaafaaake aaqaaaaaaaaaWdbiqadQfagaqbaiabg2da9iaaicdaaaa@3EC5@ , если рассматривется стационарный сценарий кристаллизации). Поскольку температура фазового перехода зависит от концентрации примеси, граничное условие (3) следует переписать следующим образом:

ϑ int = ϑ l = ϑ s = ϑ * +F C l , z= Z t , MathType@MTEF@5@5@+= feaahqart1ev3aqatCvAUfeBSjuyZL2yd9gzLbvyNv2Caerbov2D09 MBaeXatLxBI9gBaerbd9wDYLwzYbItLDharuavP1wzZbItLDhis9wB H5garqqtubsr4rNCHbGeaGqipy0de9vqqrpepC0xbbL8F4rqqrFfpe ea0pd9Zqpe0xc9q8qqaqFn0dXdir=xcvk9pIe9q8qqaq=dir=f0=yq aqVeLsFr0=vr0=vr0db8meaabaqaciaacaGaaeqabaWaaqaafaaake aaqaaaaaaaaaWdbiabeg9ak9aadaWgaaWcbaWdbiaadMgacaWGUbGa amiDaaWdaeqaaOWdbiabg2da9iabeg9ak9aadaWgaaWcbaWdbiaadY gaa8aabeaak8qacqGH9aqpcqaHrpGspaWaaSbaaSqaa8qacaWGZbaa paqabaGcpeGaeyypa0Jaeqy0dO0damaaBaaaleaapeGaaiOkaaWdae qaaOWdbiabgUcaRiaadAeadaqadaWdaeaapeGaam4qa8aadaWgaaWc baWdbiaadYgaa8aabeaaaOWdbiaawIcacaGLPaaacaGGSaGaaqoOai aadQhacqGH9aqpceWGAbGbauaadaqadaWdaeaapeGaamiDaaGaayjk aiaawMcaaiaacYcaaaa@5B06@  (19)

где функция F C l MathType@MTEF@5@5@+= feaahqart1ev3aqatCvAUfeBSjuyZL2yd9gzLbvyNv2Caerbov2D09 MBaeXatLxBI9gBaerbd9wDYLwzYbItLDharuavP1wzZbItLDhis9wB H5garqqtubsr4rNCHbGeaGqipy0de9vqqrpepC0xbbL8F4rqqrFfpe ea0pd9Zqpe0xc9q8qqaqFn0dXdir=xcvk9pIe9q8qqaq=dir=f0=yq aqVeLsFr0=vr0=vr0db8meaabaqaciaacaGaaeqabaWaaqaafaaake aaqaaaaaaaaaWdbiaadAeadaqadaWdaeaapeGaam4qa8aadaWgaaWc baWdbiaadYgaa8aabeaaaOWdbiaawIcacaGLPaaaaaa@40BA@  определяется из фазовой диаграммы ( F C l =m C l MathType@MTEF@5@5@+= feaahqart1ev3aqatCvAUfeBSjuyZL2yd9gzLbvyNv2Caerbov2D09 MBaeXatLxBI9gBaerbd9wDYLwzYbItLDharuavP1wzZbItLDhis9wB H5garqqtubsr4rNCHbGeaGqipy0de9vqqrpepC0xbbL8F4rqqrFfpe ea0pd9Zqpe0xc9q8qqaqFn0dXdir=xcvk9pIe9q8qqaq=dir=f0=yq aqVeLsFr0=vr0=vr0db8meaabaqaciaacaGaaeqabaWaaqaafaaake aaqaaaaaaaaaWdbiaadAeadaqadaWdaeaapeGaam4qa8aadaWgaaWc baWdbiaadYgaa8aabeaaaOWdbiaawIcacaGLPaaacqGH9aqpcaWGTb Gaam4qa8aadaWgaaWcbaWdbiaadYgaa8aabeaaaaa@44C5@  для линейной фазовой диаграммы, m MathType@MTEF@5@5@+= feaahqart1ev3aqatCvAUfeBSjuyZL2yd9gzLbvyNv2Caerbov2D09 MBaeXatLxBI9gBaerbd9wDYLwzYbItLDharuavP1wzZbItLDhis9wB H5garqqtubsr4rNCHbGeaGqipy0de9vqqrpepC0xbbL8F4rqqrFfpe ea0pd9Zqpe0xc9q8qqaqFn0dXdir=xcvk9pIe9q8qqaq=dir=f0=yq aqVeLsFr0=vr0=vr0db8meaabaqaciaacaGaaeqabaWaaqaafaaake aaqaaaaaaaaaWdbiaad2gaaaa@3D0C@   MathType@MTEF@5@5@+= feaahqart1ev3aqatCvAUfeBSjuyZL2yd9gzLbvyNv2CaerbuLwBLn hiov2DGi1BTfMBaeXatLxBI9gBaerbd9wDYLwzYbItLDharqqtubsr 4rNCHbGeaGqiVu0Je9sqqrpepC0xbbL8F4rqqrFfpeea0xe9Lq=Jc9 vqaqpepm0xbba9pwe9Q8fs0=yqaqpepae9pg0FirpepeKkFr0xfr=x fr=xb9adbaqaaeGaciGaaiaabeqaamaabaabaaGcbaacbaqcLbyaqa aaaaaaaaWdbiaa=rbiaaa@37C1@  равновесный наклон линии ликвидус).

Условие теплового баланса (4) выполняется на границе раздела Z t MathType@MTEF@5@5@+= feaahqart1ev3aqatCvAUfeBSjuyZL2yd9gzLbvyNv2Caerbov2D09 MBaeXatLxBI9gBaerbd9wDYLwzYbItLDharuavP1wzZbItLDhis9wB H5garqqtubsr4rNCHbGeaGqipy0de9vqqrpepC0xbbL8F4rqqrFfpe ea0pd9Zqpe0xc9q8qqaqFn0dXdir=xcvk9pIe9q8qqaq=dir=f0=yq aqVeLsFr0=vr0=vr0db8meaabaqaciaacaGaaeqabaWaaqaafaaake aaqaaaaaaaaaWdbiqadQfagaqbamaabmaapaqaa8qacaWG0baacaGL OaGaayzkaaaaaa@3FA6@ . Для замыкания математической модели необходимо записать условие квазиравновесности границы раздела фаз [44, 45]:

ϑ l z = F C l C l z , z= Z t , MathType@MTEF@5@5@+= feaahqart1ev3aqatCvAUfeBSjuyZL2yd9gzLbvyNv2Caerbov2D09 MBaeXatLxBI9gBaerbd9wDYLwzYbItLDharuavP1wzZbItLDhis9wB H5garqqtubsr4rNCHbGeaGqipy0de9vqqrpepC0xbbL8F4rqqrFfpe ea0pd9Zqpe0xc9q8qqaqFn0dXdir=xcvk9pIe9q8qqaq=dir=f0=yq aqVeLsFr0=vr0=vr0db8meaabaqaciaacaGaaeqabaWaaqaafaaake aaqaaaaaaaaaWdbmaalaaapaqaa8qacqGHciITcqaHrpGspaWaaSba aSqaa8qacaWGSbaapaqabaaakeaapeGaeyOaIyRaamOEaaaacqGH9a qpceWGgbWdayaafaWdbmaabmaapaqaa8qacaWGdbWdamaaBaaaleaa peGaamiBaaWdaeqaaaGcpeGaayjkaiaawMcaamaalaaapaqaa8qacq GHciITcaWGdbWdamaaBaaaleaapeGaamiBaaWdaeqaaaGcbaWdbiab gkGi2kaadQhaaaGaaiilaiaaKdkacaWG6bGaeyypa0JabmOwayaafa WaaeWaa8aabaWdbiaadshaaiaawIcacaGLPaaacaGGSaaaaa@5790@  (20)

где F C l =dF/d C l MathType@MTEF@5@5@+= feaahqart1ev3aqatCvAUfeBSjuyZL2yd9gzLbvyNv2Caerbov2D09 MBaeXatLxBI9gBaerbd9wDYLwzYbItLDharuavP1wzZbItLDhis9wB H5garqqtubsr4rNCHbGeaGqipy0de9vqqrpepC0xbbL8F4rqqrFfpe ea0pd9Zqpe0xc9q8qqaqFn0dXdir=xcvk9pIe9q8qqaq=dir=f0=yq aqVeLsFr0=vr0=vr0db8meaabaqaciaacaGaaeqabaWaaqaafaaake aaqaaaaaaaaaWdbiqadAeapaGbauaapeWaaeWaa8aabaWdbiaadoea paWaaSbaaSqaa8qacaWGSbaapaqabaaak8qacaGLOaGaayzkaaGaey ypa0JaamizaiaadAeacaGGVaGaamizaiaadoeapaWaaSbaaSqaa8qa caWGSbaapaqabaaaaa@474E@  и F =m MathType@MTEF@5@5@+= feaahqart1ev3aqatCvAUfeBSjuyZL2yd9gzLbvyNv2Caerbov2D09 MBaeXatLxBI9gBaerbd9wDYLwzYbItLDharuavP1wzZbItLDhis9wB H5garqqtubsr4rNCHbGeaGqipy0de9vqqrpepC0xbbL8F4rqqrFfpe ea0pd9Zqpe0xc9q8qqaqFn0dXdir=xcvk9pIe9q8qqaq=dir=f0=yq aqVeLsFr0=vr0=vr0db8meaabaqaciaacaGaaeqabaWaaqaafaaake aaqaaaaaaaaaWdbiqadAeapaGbauaapeGaeyypa0JaamyBaaaa@3F08@  в случае линейного уравнения линии ликвидус.

В результате математическая модель направленной кристаллизации с двухфазной областью, замененной на поверхность разрыва фаз, состоит из уравнений (1), (2), (18), и граничных условий (4), (19) и (20).

В случае стационарного процесса затвердевания также выполняются выражения (6) и (7) при Z =0 MathType@MTEF@5@5@+= feaahqart1ev3aqatCvAUfeBSjuyZL2yd9gzLbvyNv2Caerbov2D09 MBaeXatLxBI9gBaerbd9wDYLwzYbItLDharuavP1wzZbItLDhis9wB H5garqqtubsr4rNCHbGeaGqipy0de9vqqrpepC0xbbL8F4rqqrFfpe ea0pd9Zqpe0xc9q8qqaqFn0dXdir=xcvk9pIe9q8qqaq=dir=f0=yq aqVeLsFr0=vr0=vr0db8meaabaqaciaacaGaaeqabaWaaqaafaaake aaqaaaaaaaaaWdbiqadQfagaqbaiabg2da9iaaicdaaaa@3EC5@ . Из уравнения диффузии примеси (18) при z=0 MathType@MTEF@5@5@+= feaahqart1ev3aqatCvAUfeBSjuyZL2yd9gzLbvyNv2Caerbov2D09 MBaeXatLxBI9gBaerbd9wDYLwzYbItLDharuavP1wzZbItLDhis9wB H5garqqtubsr4rNCHbGeaGqipy0de9vqqrpepC0xbbL8F4rqqrFfpe ea0pd9Zqpe0xc9q8qqaqFn0dXdir=xcvk9pIe9q8qqaq=dir=f0=yq aqVeLsFr0=vr0=vr0db8meaabaqaciaacaGaaeqabaWaaqaafaaake aaqaaaaaaaaaWdbiaadQhacqGH9aqpcaaIWaaaaa@3ED9@ , получаем

d 2 C l0 d z 2 = υ s G C D C ,  G C = d C l0 dz . MathType@MTEF@5@5@+= feaahqart1ev3aqatCvAUfeBSjuyZL2yd9gzLbvyNv2Caerbov2D09 MBaeXatLxBI9gBaerbd9wDYLwzYbItLDharuavP1wzZbItLDhis9wB H5garqqtubsr4rNCHbGeaGqipy0de9vqqrpepC0xbbL8F4rqqrFfpe ea0pd9Zqpe0xc9q8qqaqFn0dXdir=xcvk9pIe9q8qqaq=dir=f0=yq aqVeLsFr0=vr0=vr0db8meaabaqaciaacaGaaeqabaWaaqaafaaake aaqaaaaaaaaaWdbmaalaaapaqaa8qacaWGKbWdamaaCaaaleqabaWd biaaikdaaaGccaWGdbWdamaaBaaaleaapeGaamiBaiaaicdaa8aabe aaaOqaa8qacaWGKbGaamOEa8aadaahaaWcbeqaa8qacaaIYaaaaaaa kiabg2da9iabgkHiTmaalaaapaqaaGGac8qacqWFfpqDpaWaaSbaaS qaa8qacaWGZbaapaqabaGcpeGaam4ra8aadaWgaaWcbaWdbiaadoea a8aabeaaaOqaa8qacaWGebWdamaaBaaaleaapeGaam4qaaWdaeqaaa aak8qacaGGSaGaaqoOaiaadEeapaWaaSbaaSqaa8qacaWGdbaapaqa baGcpeGaeyypa0ZaaSaaa8aabaWdbiaadsgacaWGdbWdamaaBaaale aapeGaamiBaiaaicdaa8aabeaaaOqaa8qacaWGKbGaamOEaaaacaGG Uaaaaa@596B@  (21)

Подстрочным индексом "0", как и ранее, обозначены решения, соответствующие установившемуся состоянию.

Двухфазная область может быть динамически неустойчивой, в то время как ее скорость кристаллизации колеблется около квазистационарной скорости υ s MathType@MTEF@5@5@+= feaahqart1ev3aqatCvAUfeBSjuyZL2yd9gzLbvyNv2Caerbov2D09 MBaeXatLxBI9gBaerbd9wDYLwzYbItLDharuavP1wzZbItLDhis9wB H5garqqtubsr4rNCHbGeaGqipy0de9vqqrpepC0xbbL8F4rqqrFfpe ea0pd9Zqpe0xc9q8qqaqFn0dXdir=xcvk9pIe9q8qqaq=dir=f0=yq aqVeLsFr0=vr0=vr0db8meaabaqaciaacaGaaeqabaWaaqaafaaake aaqaaaaaaaaaWdbiabew8a19aadaWgaaWcbaWdbiaadohaa8aabeaa aaa@3F33@ . Поэтому ниже анализируется динамическая неустойчивость кристаллизации с поверхностью разрыва (рис. 1б). В этом случае возмущения имеют тот же вид с E=exp ϖt MathType@MTEF@5@5@+= feaahqart1ev3aqatCvAUfeBSjuyZL2yd9gzLbvyNv2Caerbov2D09 MBaeXatLxBI9gBaerbd9wDYLwzYbItLDharuavP1wzZbItLDhis9wB H5garqqtubsr4rNCHbGeaGqipy0de9vqqrpepC0xbbL8F4rqqrFfpe ea0pd9Zqpe0xc9q8qqaqFn0dXdir=xcvk9pIe9q8qqaq=dir=f0=yq aqVeLsFr0=vr0=vr0db8meaabaqaciaacaGaaeqabaWaaqaafaaake aaqaaaaaaaaaWdbiaadweacqGH9aqpcaqGLbGaaeiEaiaabchadaqa daWdaeaapeGaeqO1dyNaamiDaaGaayjkaiaawMcaaaaa@453A@  и C l ' = C lA Eexp βz MathType@MTEF@5@5@+= feaahqart1ev3aqatCvAUfeBSjuyZL2yd9gzLbvyNv2Caerbov2D09 MBaeXatLxBI9gBaerbd9wDYLwzYbItLDharuavP1wzZbItLDhis9wB H5garqqtubsr4rNCHbGeaGqipy0de9vqqrpepC0xbbL8F4rqqrFfpe ea0pd9Zqpe0xc9q8qqaqFn0dXdir=xcvk9pIe9q8qqaq=dir=f0=yq aqVeLsFr0=vr0=vr0db8meaabaqaciaacaGaaeqabaWaaqaafaaake aaqaaaaaaaaaWdbiaadoeapaWaa0baaSqaa8qacaWGSbaapaqaa8qa caGGNaaaaOGaeyypa0Jaam4qa8aadaWgaaWcbaWdbiaadYgacaWGbb aapaqabaGcpeGaamyraiaabwgacaqG4bGaaeiCamaabmaapaqaa8qa cqaHYoGycaWG6baacaGLOaGaayzkaaaaaa@4AD4@ , где β MathType@MTEF@5@5@+= feaahqart1ev3aqatCvAUfeBSjuyZL2yd9gzLbvyNv2Caerbov2D09 MBaeXatLxBI9gBaerbd9wDYLwzYbItLDharuavP1wzZbItLDhis9wB H5garqqtubsr4rNCHbGeaGqipy0de9vqqrpepC0xbbL8F4rqqrFfpe ea0pd9Zqpe0xc9q8qqaqFn0dXdir=xcvk9pIe9q8qqaq=dir=f0=yq aqVeLsFr0=vr0=vr0db8meaabaqaciaacaGaaeqabaWaaqaafaaake aaqaaaaaaaaaWdbiabek7aIbaa@3DBB@   MathType@MTEF@5@5@+= feaahqart1ev3aqatCvAUfeBSjuyZL2yd9gzLbvyNv2CaerbuLwBLn hiov2DGi1BTfMBaeXatLxBI9gBaerbd9wDYLwzYbItLDharqqtubsr 4rNCHbGeaGqiVu0Je9sqqrpepC0xbbL8F4rqqrFfpeea0xe9Lq=Jc9 vqaqpepm0xbba9pwe9Q8fs0=yqaqpepae9pg0FirpepeKkFr0xfr=x fr=xb9adbaqaaeGaciGaaiaabeqaamaabaabaaGcbaacbaqcLbyaqa aaaaaaaaWdbiaa=nbiaaa@37C0@  коэффициент нарастания/затухания возмущений для концентрации примеси, а C lA MathType@MTEF@5@5@+= feaahqart1ev3aqatCvAUfeBSjuyZL2yd9gzLbvyNv2Caerbov2D09 MBaeXatLxBI9gBaerbd9wDYLwzYbItLDharuavP1wzZbItLDhis9wB H5garqqtubsr4rNCHbGeaGqipy0de9vqqrpepC0xbbL8F4rqqrFfpe ea0pd9Zqpe0xc9q8qqaqFn0dXdir=xcvk9pIe9q8qqaq=dir=f0=yq aqVeLsFr0=vr0=vr0db8meaabaqaciaacaGaaeqabaWaaqaafaaake aaqaaaaaaaaaWdbiaadoeapaWaaSbaaSqaa8qacaWGSbGaamyqaaWd aeqaaaaa@3EF3@   MathType@MTEF@5@5@+= feaahqart1ev3aqatCvAUfeBSjuyZL2yd9gzLbvyNv2CaerbuLwBLn hiov2DGi1BTfMBaeXatLxBI9gBaerbd9wDYLwzYbItLDharqqtubsr 4rNCHbGeaGqiVu0Je9sqqrpepC0xbbL8F4rqqrFfpeea0xe9Lq=Jc9 vqaqpepm0xbba9pwe9Q8fs0=yqaqpepae9pg0FirpepeKkFr0xfr=x fr=xb9adbaqaaeGaciGaaiaabeqaamaabaabaaGcbaacbaqcLbyaqa aaaaaaaaWdbiaa=rbiaaa@37C1@  амплитуда возмущений концентрации примеси.

Подставляя теперь возмущения в граничные условия (4), (19) и (20), получаем четыре уравнения для амплитуд возмущений при z=0 MathType@MTEF@5@5@+= feaahqart1ev3aqatCvAUfeBSjuyZL2yd9gzLbvyNv2Caerbov2D09 MBaeXatLxBI9gBaerbd9wDYLwzYbItLDharuavP1wzZbItLDhis9wB H5garqqtubsr4rNCHbGeaGqipy0de9vqqrpepC0xbbL8F4rqqrFfpe ea0pd9Zqpe0xc9q8qqaqFn0dXdir=xcvk9pIe9q8qqaq=dir=f0=yq aqVeLsFr0=vr0=vr0db8meaabaqaciaacaGaaeqabaWaaqaafaaake aaqaaaaaaaaaWdbiaadQhacqGH9aqpcaaIWaaaaa@3ED9@ . Как и прежде, сейчас выполняются уравнения (8) и (10). Два других уравнения имеют следующий вид:

ϑ lA F C lA + G l F G C Z A =0, MathType@MTEF@5@5@+= feaahqart1ev3aqatCvAUfeBSjuyZL2yd9gzLbvyNv2Caerbov2D09 MBaeXatLxBI9gBaerbd9wDYLwzYbItLDharuavP1wzZbItLDhis9wB H5garqqtubsr4rNCHbGeaGqipy0de9vqqrpepC0xbbL8F4rqqrFfpe ea0pd9Zqpe0xc9q8qqaqFn0dXdir=xcvk9pIe9q8qqaq=dir=f0=yq aqVeLsFr0=vr0=vr0db8meaabaqaciaacaGaaeqabaWaaqaafaaake aaqaaaaaaaaaWdbiabeg9ak9aadaWgaaWcbaWdbiaadYgacaWGbbaa paqabaGcpeGaeyOeI0IabmOra8aagaqba8qacaWGdbWdamaaBaaale aapeGaamiBaiaadgeaa8aabeaak8qacqGHRaWkdaqadaWdaeaapeGa am4ra8aadaWgaaWcbaWdbiaadYgaa8aabeaak8qacqGHsislceWGgb WdayaafaWdbiaadEeapaWaaSbaaSqaa8qacaWGdbaapaqabaaak8qa caGLOaGaayzkaaGaamOwa8aadaWgaaWcbaWdbiaadgeaa8aabeaak8 qacqGH9aqpcaaIWaGaaiilaaaa@51F2@  (22)

β l ϑ lA β F + G C F C lA + + υ s G C F D C υ s G l D l G C 2 F Z A =0, MathType@MTEF@5@5@+= feaahqart1ev3aqatCvAUfeBSjuyZL2yd9gzLbvyNv2Caerbov2D09 MBaeXatLxBI9gBaerbd9wDYLwzYbItLDharuavP1wzZbItLDhis9wB H5garqqtubsr4rNCHbGeaGqipy0de9vqqrpepC0xbbL8F4rqqrFfpe ea0pd9Zqpe0xc9q8qqaqFn0dXdir=xcvk9pIe9q8qqaq=dir=f0=yq aqVeLsFr0=vr0=vr0db8meaabaqaciaacaGaaeqabaWaaqaafaaakq aaceqaaabaaaaaaaaapeGaeqOSdi2damaaBaaaleaapeGaamiBaaWd aeqaaOWdbiabeg9ak9aadaWgaaWcbaWdbiaadYgacaWGbbaapaqaba GcpeGaeyOeI0YaaeWaa8aabaWdbiabek7aIjqadAeapaGbauaapeGa ey4kaSIaam4ra8aadaWgaaWcbaWdbiaadoeaa8aabeaak8qaceWGgb WdayaagaaapeGaayjkaiaawMcaaiaadoeapaWaaSbaaSqaa8qacaWG SbGaamyqaaWdaeqaaOWdbiabgUcaRaqaaiabgUcaRiaaysW7daqada WdaeaapeWaaSaaa8aabaWdbiabew8a19aadaWgaaWcbaWdbiaadoha a8aabeaak8qacaWGhbWdamaaBaaaleaapeGaam4qaaWdaeqaaOWdbi qadAeapaGbauaaaeaapeGaamira8aadaWgaaWcbaWdbiaadoeaa8aa beaaaaGcpeGaeyOeI0YaaSaaa8aabaWdbiabew8a19aadaWgaaWcba Wdbiaadohaa8aabeaak8qacaWGhbWdamaaBaaaleaapeGaamiBaaWd aeqaaaGcbaWdbiaadseapaWaaSbaaSqaa8qacaWGSbaapaqabaaaaO WdbiabgkHiTiaadEeapaWaa0baaSqaa8qacaWGdbaapaqaa8qacaaI YaaaaOGabmOra8aagaGbaaWdbiaawIcacaGLPaaacaWGAbWdamaaBa aaleaapeGaamyqaaWdaeqaaOWdbiabg2da9iaaicdacaGGSaaaaaa@6E39@  (23)

где F =0 MathType@MTEF@5@5@+= feaahqart1ev3aqatCvAUfeBSjuyZL2yd9gzLbvyNv2Caerbov2D09 MBaeXatLxBI9gBaerbd9wDYLwzYbItLDharuavP1wzZbItLDhis9wB H5garqqtubsr4rNCHbGeaGqipy0de9vqqrpepC0xbbL8F4rqqrFfpe ea0pd9Zqpe0xc9q8qqaqFn0dXdir=xcvk9pIe9q8qqaq=dir=f0=yq aqVeLsFr0=vr0=vr0db8meaabaqaciaacaGaaeqabaWaaqaafaaake aaqaaaaaaaaaWdbiqadAeapaGbayaapeGaeyypa0JaaGimaaaa@3ED1@  в случае линейного уравнения линии ликвидус.

Уравнения (1), (2) и (18) позволяют выразить β l ϖ MathType@MTEF@5@5@+= feaahqart1ev3aqatCvAUfeBSjuyZL2yd9gzLbvyNv2Caerbov2D09 MBaeXatLxBI9gBaerbd9wDYLwzYbItLDharuavP1wzZbItLDhis9wB H5garqqtubsr4rNCHbGeaGqipy0de9vqqrpepC0xbbL8F4rqqrFfpe ea0pd9Zqpe0xc9q8qqaqFn0dXdir=xcvk9pIe9q8qqaq=dir=f0=yq aqVeLsFr0=vr0=vr0db8meaabaqaciaacaGaaeqabaWaaqaafaaake aaqaaaaaaaaaWdbiabek7aI9aadaWgaaWcbaWdbiaadYgaa8aabeaa k8qadaqadaWdaeaapeGaeqO1dyhacaGLOaGaayzkaaaaaa@42A1@ , β s ϖ MathType@MTEF@5@5@+= feaahqart1ev3aqatCvAUfeBSjuyZL2yd9gzLbvyNv2Caerbov2D09 MBaeXatLxBI9gBaerbd9wDYLwzYbItLDharuavP1wzZbItLDhis9wB H5garqqtubsr4rNCHbGeaGqipy0de9vqqrpepC0xbbL8F4rqqrFfpe ea0pd9Zqpe0xc9q8qqaqFn0dXdir=xcvk9pIe9q8qqaq=dir=f0=yq aqVeLsFr0=vr0=vr0db8meaabaqaciaacaGaaeqabaWaaqaafaaake aaqaaaaaaaaaWdbiabek7aI9aadaWgaaWcbaWdbiaadohaa8aabeaa k8qadaqadaWdaeaapeGaeqO1dyhacaGLOaGaayzkaaaaaa@42A8@  и β ϖ MathType@MTEF@5@5@+= feaahqart1ev3aqatCvAUfeBSjuyZL2yd9gzLbvyNv2Caerbov2D09 MBaeXatLxBI9gBaerbd9wDYLwzYbItLDharuavP1wzZbItLDhis9wB H5garqqtubsr4rNCHbGeaGqipy0de9vqqrpepC0xbbL8F4rqqrFfpe ea0pd9Zqpe0xc9q8qqaqFn0dXdir=xcvk9pIe9q8qqaq=dir=f0=yq aqVeLsFr0=vr0=vr0db8meaabaqaciaacaGaaeqabaWaaqaafaaake aaqaaaaaaaaaWdbiabek7aInaabmaapaqaa8qacqaHwpGDaiaawIca caGLPaaaaaa@413C@  следующим образом:

β l = υ s 2 D l 1± 1+ 4 D l υ s 2 ϖ+ U z G C a , MathType@MTEF@5@5@+= feaahqart1ev3aqatCvAUfeBSjuyZL2yd9gzLbvyNv2Caerbov2D09 MBaeXatLxBI9gBaerbd9wDYLwzYbItLDharuavP1wzZbItLDhis9wB H5garqqtubsr4rNCHbGeaGqipy0de9vqqrpepC0xbbL8F4rqqrFfpe ea0pd9Zqpe0xc9q8qqaqFn0dXdir=xcvk9pIe9q8qqaq=dir=f0=yq aqVeLsFr0=vr0=vr0db8meaabaqaciaacaGaaeqabaWaaqaafaaake aaqaaaaaaaaaWdbiabek7aI9aadaWgaaWcbaWdbiaadYgaa8aabeaa k8qacqGH9aqpcqGHsisldaWcaaWdaeaaiiGapeGae8xXdu3damaaBa aaleaapeGaam4CaaWdaeqaaaGcbaWdbiaaikdacaWGebWdamaaBaaa leaapeGaamiBaaWdaeqaaaaak8qadaqadaWdaeaapeGaaGymaiabgg laXoaakaaapaqaa8qacaaIXaGaey4kaSYaaSaaa8aabaWdbiaaisda caWGebWdamaaBaaaleaapeGaamiBaaWdaeqaaaGcbaWdbiab=v8a19 aadaqhaaWcbaWdbiaadohaa8aabaWdbiaaikdaaaaaaOWaaeWaa8aa baWdbiabeA9a2jabgUcaRmaalaaapaqaa8qacaWGvbWdamaaBaaale aapeGaamOEaaWdaeqaaOWdbiaadEeapaWaaSbaaSqaa8qacaWGdbaa paqabaaakeaapeGaamyyaaaaaiaawIcacaGLPaaaaSqabaaakiaawI cacaGLPaaacaGGSaaaaa@5F1B@  (24)

β s = υ s 2 D s 1± 1+ 4 D s ϖ υ s 2 , MathType@MTEF@5@5@+= feaahqart1ev3aqatCvAUfeBSjuyZL2yd9gzLbvyNv2Caerbov2D09 MBaeXatLxBI9gBaerbd9wDYLwzYbItLDharuavP1wzZbItLDhis9wB H5garqqtubsr4rNCHbGeaGqipy0de9vqqrpepC0xbbL8F4rqqrFfpe ea0pd9Zqpe0xc9q8qqaqFn0dXdir=xcvk9pIe9q8qqaq=dir=f0=yq aqVeLsFr0=vr0=vr0db8meaabaqaciaacaGaaeqabaWaaqaafaaake aaqaaaaaaaaaWdbiabek7aI9aadaWgaaWcbaWdbiaadohaa8aabeaa k8qacqGH9aqpcqGHsisldaWcaaWdaeaaiiGapeGae8xXdu3damaaBa aaleaapeGaam4CaaWdaeqaaaGcbaWdbiaaikdacaWGebWdamaaBaaa leaapeGaam4CaaWdaeqaaaaak8qadaqadaWdaeaapeGaaGymaiabgg laXoaakaaapaqaa8qacaaIXaGaey4kaSYaaSaaa8aabaWdbiaaisda caWGebWdamaaBaaaleaapeGaam4CaaWdaeqaaOWdbiabeA9a2bWdae aapeGae8xXdu3damaaDaaaleaapeGaam4CaaWdaeaapeGaaGOmaaaa aaaabeaaaOGaayjkaiaawMcaaiaacYcaaaa@5746@  (25)

β= υ s 2 D C 1± 1+ 4 D C υ s 2 ϖ+ U z G C b , MathType@MTEF@5@5@+= feaahqart1ev3aqatCvAUfeBSjuyZL2yd9gzLbvyNv2Caerbov2D09 MBaeXatLxBI9gBaerbd9wDYLwzYbItLDharuavP1wzZbItLDhis9wB H5garqqtubsr4rNCHbGeaGqipy0de9vqqrpepC0xbbL8F4rqqrFfpe ea0pd9Zqpe0xc9q8qqaqFn0dXdir=xcvk9pIe9q8qqaq=dir=f0=yq aqVeLsFr0=vr0=vr0db8meaabaqaciaacaGaaeqabaWaaqaafaaake aaqaaaaaaaaaWdbiabek7aIjabg2da9iabgkHiTmaalaaapaqaaGGa c8qacqWFfpqDpaWaaSbaaSqaa8qacaWGZbaapaqabaaakeaapeGaaG OmaiaadseapaWaaSbaaSqaa8qacaWGdbaapaqabaaaaOWdbmaabmaa paqaa8qacaaIXaGaeyySae7aaOaaa8aabaWdbiaaigdacqGHRaWkda WcaaWdaeaapeGaaGinaiaadseapaWaaSbaaSqaa8qacaWGdbaapaqa baaakeaapeGae8xXdu3damaaDaaaleaapeGaam4CaaWdaeaapeGaaG OmaaaaaaGcdaqadaWdaeaapeGaeqO1dyNaey4kaSYaaSaaa8aabaWd biaadwfapaWaaSbaaSqaa8qacaWG6baapaqabaGcpeGaam4ra8aada WgaaWcbaWdbiaadoeaa8aabeaaaOqaa8qacaWGIbaaaaGaayjkaiaa wMcaaaWcbeaaaOGaayjkaiaawMcaaiaacYcaaaa@5D65@  (26)

где

b ϖ = k s β s F G C G s + c l υ s f G C F L V + c l ϑ ϑ int ϖ k s υ s G s / D s k s β s F + c l υ s f F , MathType@MTEF@5@5@+= feaahqart1ev3aqatCvAUfeBSjuyZL2yd9gzLbvyNv2Caerbov2D09 MBaeXatLxBI9gBaerbd9wDYLwzYbItLDharuavP1wzZbItLDhis9wB H5garqqtubsr4rNCHbGeaGqipy0de9vqqrpepC0xbbL8F4rqqrFfpe ea0pd9Zqpe0xc9q8qqaqFn0dXdir=xcvk9pIe9q8qqaq=dir=f0=yq aqVeLsFr0=vr0=vr0db8meaabaqaciaacaGaaeqabaWaaqaafaaake aaqaaaaaaaaaWdbiaadkgadaqadaWdaeaapeGaeqO1dyhacaGLOaGa ayzkaaGaeyypa0JaeyOeI0YaaSaaa8aabaWdbiaadUgapaWaaSbaaS qaa8qacaWGZbaapaqabaGcpeGaeqOSdi2damaaBaaaleaapeGaam4C aaWdaeqaaOWdbmaabmaapaqaa8qaceWGgbWdayaafaWdbiaadEeapa WaaSbaaSqaa8qacaWGdbaapaqabaGcpeGaeyOeI0Iaam4ra8aadaWg aaWcbaWdbiaadohaa8aabeaaaOWdbiaawIcacaGLPaaacqGHRaWkda qadaWdaeaapeGaam4ya8aadaWgaaWcbaWdbiaadYgaa8aabeaaiiGa k8qacqWFfpqDpaWaaSbaaSqaa8qacaWGZbaapaqabaGcpeGaeyOeI0 IabmOza8aagaqbaaWdbiaawIcacaGLPaaacaWGhbWdamaaBaaaleaa peGaam4qaaWdaeqaaOWdbiqadAeapaGbauaapeGaeyOeI0YaaeWaa8 aabaWdbiaadYeapaWaaSbaaSqaa8qacaWGwbaapaqabaGcpeGaey4k aSIaam4ya8aadaWgaaWcbaWdbiaadYgaa8aabeaak8qadaqadaWdae aapeGaeqy0dO0damaaBaaaleaapeGaeyOhIukapaqabaGcpeGaeyOe I0Iaeqy0dO0damaaBaaaleaapeGaamyAaiaad6gacaWG0baapaqaba aak8qacaGLOaGaayzkaaaacaGLOaGaayzkaaGaeqO1dyNaeyOeI0Ia am4Aa8aadaWgaaWcbaWdbiaadohaa8aabeaak8qacqWFfpqDpaWaaS baaSqaa8qacaWGZbaapaqabaGcpeGaam4ra8aadaWgaaWcbaWdbiaa dohaa8aabeaak8qacaGGVaGaamira8aadaWgaaWcbaWdbiaadohaa8 aabeaaaOqaa8qacaWGRbWdamaaBaaaleaapeGaam4CaaWdaeqaaOWd biabek7aI9aadaWgaaWcbaWdbiaadohaa8aabeaak8qaceWGgbWday aafaWdbiabgUcaRmaabmaapaqaa8qacaWGJbWdamaaBaaaleaapeGa amiBaaWdaeqaaOWdbiab=v8a19aadaWgaaWcbaWdbiaadohaa8aabe aak8qacqGHsislceWGMbWdayaafaaapeGaayjkaiaawMcaaiqadAea paGbauaaaaWdbiaacYcaaaa@8F63@

a ϖ = F b ϖ + G C G l . MathType@MTEF@5@5@+= feaahqart1ev3aqatCvAUfeBSjuyZL2yd9gzLbvyNv2Caerbov2D09 MBaeXatLxBI9gBaerbd9wDYLwzYbItLDharuavP1wzZbItLDhis9wB H5garqqtubsr4rNCHbGeaGqipy0de9vqqrpepC0xbbL8F4rqqrFfpe ea0pd9Zqpe0xc9q8qqaqFn0dXdir=xcvk9pIe9q8qqaq=dir=f0=yq aqVeLsFr0=vr0=vr0db8meaabaqaciaacaGaaeqabaWaaqaafaaake aaqaaaaaaaaaWdbiaadggadaqadaWdaeaapeGaeqO1dyhacaGLOaGa ayzkaaGaeyypa0JabmOra8aagaqba8qadaWadaWdaeaapeGaamOyam aabmaapaqaa8qacqaHwpGDaiaawIcacaGLPaaacqGHRaWkcaWGhbWd amaaBaaaleaapeGaam4qaaWdaeqaaaGcpeGaay5waiaaw2faaiabgk HiTiaadEeapaWaaSbaaSqaa8qacaWGSbaapaqabaGcpeGaaiOlaaaa @4FB0@

Как и ранее, знаки β l MathType@MTEF@5@5@+= feaahqart1ev3aqatCvAUfeBSjuyZL2yd9gzLbvyNv2Caerbov2D09 MBaeXatLxBI9gBaerbd9wDYLwzYbItLDharuavP1wzZbItLDhis9wB H5garqqtubsr4rNCHbGeaGqipy0de9vqqrpepC0xbbL8F4rqqrFfpe ea0pd9Zqpe0xc9q8qqaqFn0dXdir=xcvk9pIe9q8qqaq=dir=f0=yq aqVeLsFr0=vr0=vr0db8meaabaqaciaacaGaaeqabaWaaqaafaaake aaqaaaaaaaaaWdbiabek7aI9aadaWgaaWcbaWdbiaadYgaa8aabeaa aaa@3F06@ , β s MathType@MTEF@5@5@+= feaahqart1ev3aqatCvAUfeBSjuyZL2yd9gzLbvyNv2Caerbov2D09 MBaeXatLxBI9gBaerbd9wDYLwzYbItLDharuavP1wzZbItLDhis9wB H5garqqtubsr4rNCHbGeaGqipy0de9vqqrpepC0xbbL8F4rqqrFfpe ea0pd9Zqpe0xc9q8qqaqFn0dXdir=xcvk9pIe9q8qqaq=dir=f0=yq aqVeLsFr0=vr0=vr0db8meaabaqaciaacaGaaeqabaWaaqaafaaake aaqaaaaaaaaaWdbiabek7aI9aadaWgaaWcbaWdbiaadohaa8aabeaa aaa@3F0D@  и β MathType@MTEF@5@5@+= feaahqart1ev3aqatCvAUfeBSjuyZL2yd9gzLbvyNv2Caerbov2D09 MBaeXatLxBI9gBaerbd9wDYLwzYbItLDharuavP1wzZbItLDhis9wB H5garqqtubsr4rNCHbGeaGqipy0de9vqqrpepC0xbbL8F4rqqrFfpe ea0pd9Zqpe0xc9q8qqaqFn0dXdir=xcvk9pIe9q8qqaq=dir=f0=yq aqVeLsFr0=vr0=vr0db8meaabaqaciaacaGaaeqabaWaaqaafaaake aaqaaaaaaaaaWdbiabek7aIbaa@3DBB@  определяют направление эволюции возмущений, распространяющихся к границе раздела из твердой или жидкой фаз.

Теперь, исключая амплитуды возмущений из уравнений (8), (10), (22) и (23), получаем следующее выражение для ϖ MathType@MTEF@5@5@+= feaahqart1ev3aqatCvAUfeBSjuyZL2yd9gzLbvyNv2Caerbov2D09 MBaeXatLxBI9gBaerbd9wDYLwzYbItLDharuavP1wzZbItLDhis9wB H5garqqtubsr4rNCHbGeaGqipy0de9vqqrpepC0xbbL8F4rqqrFfpe ea0pd9Zqpe0xc9q8qqaqFn0dXdir=xcvk9pIe9q8qqaq=dir=f0=yq aqVeLsFr0=vr0=vr0db8meaabaqaciaacaGaaeqabaWaaqaafaaake aaqaaaaaaaaaWdbiabeA9a2baa@3DF3@ :

υ s G C F / D C υ s G l / D l G C 2 F + β l F G C G l β l β F G C F +b ϖ =0. MathType@MTEF@5@5@+= feaahqart1ev3aqatCvAUfeBSjuyZL2yd9gzLbvyNv2Caerbov2D09 MBaeXatLxBI9gBaerbd9wDYLwzYbItLDharuavP1wzZbItLDhis9wB H5garqqtubsr4rNCHbGeaGqipy0de9vqqrpepC0xbbL8F4rqqrFfpe ea0pd9Zqpe0xc9q8qqaqFn0dXdir=xcvk9pIe9q8qqaq=dir=f0=yq aqVeLsFr0=vr0=vr0db8meaabaqaciaacaGaaeqabaWaaqaafaaake aaqaaaaaaaaaWdbmaalaaapaqaaGGac8qacqWFfpqDpaWaaSbaaSqa a8qacaWGZbaapaqabaGcpeGaam4ra8aadaWgaaWcbaWdbiaadoeaa8 aabeaak8qaceWGgbWdayaafaWdbiaac+cacaWGebWdamaaBaaaleaa peGaam4qaaWdaeqaaOWdbiabgkHiTiab=v8a19aadaWgaaWcbaWdbi aadohaa8aabeaak8qacaWGhbWdamaaBaaaleaapeGaamiBaaWdaeqa aOWdbiaac+cacaWGebWdamaaBaaaleaapeGaamiBaaWdaeqaaOWdbi abgkHiTiaadEeapaWaa0baaSqaa8qacaWGdbaapaqaa8qacaaIYaaa aOGabmOra8aagaGba8qacqGHRaWkcqaHYoGypaWaaSbaaSqaa8qaca WGSbaapaqabaGcpeWaaeWaa8aabaWdbiqadAeapaGbauaapeGaam4r a8aadaWgaaWcbaWdbiaadoeaa8aabeaak8qacqGHsislcaWGhbWdam aaBaaaleaapeGaamiBaaWdaeqaaaGcpeGaayjkaiaawMcaaaWdaeaa peWaaeWaa8aabaWdbiabek7aI9aadaWgaaWcbaWdbiaadYgaa8aabe aak8qacqGHsislcqaHYoGyaiaawIcacaGLPaaaceWGgbWdayaafaWd biabgkHiTiaadEeapaWaaSbaaSqaa8qacaWGdbaapaqabaGcpeGabm Ora8aagaGbaaaapeGaey4kaSIaamOyamaabmaapaqaa8qacqaHwpGD aiaawIcacaGLPaaacqGH9aqpcaaIWaGaaiOlaaaa@72B4@  (27)

Знак ϖ MathType@MTEF@5@5@+= feaahqart1ev3aqatCvAUfeBSjuyZL2yd9gzLbvyNv2Caerbov2D09 MBaeXatLxBI9gBaerbd9wDYLwzYbItLDharuavP1wzZbItLDhis9wB H5garqqtubsr4rNCHbGeaGqipy0de9vqqrpepC0xbbL8F4rqqrFfpe ea0pd9Zqpe0xc9q8qqaqFn0dXdir=xcvk9pIe9q8qqaq=dir=f0=yq aqVeLsFr0=vr0=vr0db8meaabaqaciaacaGaaeqabaWaaqaafaaake aaqaaaaaaaaaWdbiabeA9a2baa@3DF3@  (действительной части ϖ MathType@MTEF@5@5@+= feaahqart1ev3aqatCvAUfeBSjuyZL2yd9gzLbvyNv2Caerbov2D09 MBaeXatLxBI9gBaerbd9wDYLwzYbItLDharuavP1wzZbItLDhis9wB H5garqqtubsr4rNCHbGeaGqipy0de9vqqrpepC0xbbL8F4rqqrFfpe ea0pd9Zqpe0xc9q8qqaqFn0dXdir=xcvk9pIe9q8qqaq=dir=f0=yq aqVeLsFr0=vr0=vr0db8meaabaqaciaacaGaaeqabaWaaqaafaaake aaqaaaaaaaaaWdbiabeA9a2baa@3DF3@  ) в уравнении (27) определяет устойчивость/неустойчивость процесса к малым динамическим возмущениям (устойчивость наступает при ϖ<0 MathType@MTEF@5@5@+= feaahqart1ev3aqatCvAUfeBSjuyZL2yd9gzLbvyNv2Caerbov2D09 MBaeXatLxBI9gBaerbd9wDYLwzYbItLDharuavP1wzZbItLDhis9wB H5garqqtubsr4rNCHbGeaGqipy0de9vqqrpepC0xbbL8F4rqqrFfpe ea0pd9Zqpe0xc9q8qqaqFn0dXdir=xcvk9pIe9q8qqaq=dir=f0=yq aqVeLsFr0=vr0=vr0db8meaabaqaciaacaGaaeqabaWaaqaafaaake aaqaaaaaaaaaWdbiabeA9a2jabgYda8iaaicdaaaa@3FB1@ , а неустойчивость MathType@MTEF@5@5@+= feaahqart1ev3aqatCvAUfeBSjuyZL2yd9gzLbvyNv2CaerbuLwBLn hiov2DGi1BTfMBaeXatLxBI9gBaerbd9wDYLwzYbItLDharqqtubsr 4rNCHbGeaGqiVu0Je9sqqrpepC0xbbL8F4rqqrFfpeea0xe9Lq=Jc9 vqaqpepm0xbba9pwe9Q8fs0=yqaqpepae9pg0FirpepeKkFr0xfr=x fr=xb9adbaqaaeGaciGaaiaabeqaamaabaabaaGcbaacbaqcLbyaqa aaaaaaaaWdbiaa=nbiaaa@37C0@  при ϖ>0 MathType@MTEF@5@5@+= feaahqart1ev3aqatCvAUfeBSjuyZL2yd9gzLbvyNv2Caerbov2D09 MBaeXatLxBI9gBaerbd9wDYLwzYbItLDharuavP1wzZbItLDhis9wB H5garqqtubsr4rNCHbGeaGqipy0de9vqqrpepC0xbbL8F4rqqrFfpe ea0pd9Zqpe0xc9q8qqaqFn0dXdir=xcvk9pIe9q8qqaq=dir=f0=yq aqVeLsFr0=vr0=vr0db8meaabaqaciaacaGaaeqabaWaaqaafaaake aaqaaaaaaaaaWdbiabeA9a2jabg6da+iaaicdaaaa@3FB5@  ).

Анализ выражения (27) для магмы показал наличие только вещественных корней. Они показаны на рис.4 в плоскости ϖ υ s MathType@MTEF@5@5@+= feaahqart1ev3aqatCvAUfeBSjuyZL2yd9gzLbvyNv2Caerbov2D09 MBaeXatLxBI9gBaerbd9wDYLwzYbItLDharuavP1wzZbItLDhis9wB H5garqqtubsr4rNCHbGeaGqipy0de9vqqrpepC0xbbL8F4rqqrFfpe ea0pd9Zqpe0xc9q8qqaqFn0dXdir=xcvk9pIe9q8qqaq=dir=f0=yq aqVeLsFr0=vr0=vr0db8meaabaqaciaacaGaaeqabaWaaqaafaaake aaqaaaaaaaaaWdbiabeA9a2naabmaapaqaa8qacqaHfpqDpaWaaSba aSqaa8qacaWGZbaapaqabaaak8qacaGLOaGaayzkaaaaaa@42CE@  для различных температур ϑ MathType@MTEF@5@5@+= feaahqart1ev3aqatCvAUfeBSjuyZL2yd9gzLbvyNv2Caerbov2D09 MBaeXatLxBI9gBaerbd9wDYLwzYbItLDharuavP1wzZbItLDhis9wB H5garqqtubsr4rNCHbGeaGqipy0de9vqqrpepC0xbbL8F4rqqrFfpe ea0pd9Zqpe0xc9q8qqaqFn0dXdir=xcvk9pIe9q8qqaq=dir=f0=yq aqVeLsFr0=vr0=vr0db8meaabaqaciaacaGaaeqabaWaaqaafaaake aaqaaaaaaaaaWdbiabeg9ak9aadaWgaaWcbaWdbiabg6HiLcWdaeqa aaaa@3F8D@  (значения расчетных параметров для магмы взяты из работ [34, 46, 47], табл.1).

 

Рис. 4. Зависимость частоты динамических возмущений от скорости кристаллизации в соответствии с выражением (27) для магмы. Физические параметры магмы приведены в табл. 1 по данным работ [34, 46].

 

На рисунке отражено, что частота возмущений положительна. Двигаясь слева направо вдоль горизонтальной оси υ s MathType@MTEF@5@5@+= feaahqart1ev3aqatCvAUfeBSjuyZL2yd9gzLbvyNv2Caerbov2D09 MBaeXatLxBI9gBaerbd9wDYLwzYbItLDharuavP1wzZbItLDhis9wB H5garqqtubsr4rNCHbGeaGqipy0de9vqqrpepC0xbbL8F4rqqrFfpe ea0pd9Zqpe0xc9q8qqaqFn0dXdir=xcvk9pIe9q8qqaq=dir=f0=yq aqVeLsFr0=vr0=vr0db8meaabaqaciaacaGaaeqabaWaaqaafaaake aaqaaaaaaaaaWdbiabew8a19aadaWgaaWcbaWdbiaadohaa8aabeaa aaa@3F33@ , мы видим, что ϖ MathType@MTEF@5@5@+= feaahqart1ev3aqatCvAUfeBSjuyZL2yd9gzLbvyNv2Caerbov2D09 MBaeXatLxBI9gBaerbd9wDYLwzYbItLDharuavP1wzZbItLDhis9wB H5garqqtubsr4rNCHbGeaGqipy0de9vqqrpepC0xbbL8F4rqqrFfpe ea0pd9Zqpe0xc9q8qqaqFn0dXdir=xcvk9pIe9q8qqaq=dir=f0=yq aqVeLsFr0=vr0=vr0db8meaabaqaciaacaGaaeqabaWaaqaafaaake aaqaaaaaaaaaWdbiabeA9a2baa@3DF3@  имеет два решения. Оба решения означают неустойчивость. Первое решение (положительные значения ϖ MathType@MTEF@5@5@+= feaahqart1ev3aqatCvAUfeBSjuyZL2yd9gzLbvyNv2Caerbov2D09 MBaeXatLxBI9gBaerbd9wDYLwzYbItLDharuavP1wzZbItLDhis9wB H5garqqtubsr4rNCHbGeaGqipy0de9vqqrpepC0xbbL8F4rqqrFfpe ea0pd9Zqpe0xc9q8qqaqFn0dXdir=xcvk9pIe9q8qqaq=dir=f0=yq aqVeLsFr0=vr0=vr0db8meaabaqaciaacaGaaeqabaWaaqaafaaake aaqaaaaaaaaaWdbiabeA9a2baa@3DF3@ , сплошная линия), означает неустойчивость и увеличивается при увеличении скорости кристаллизации. Второе решение (также положительные значения ϖ MathType@MTEF@5@5@+= feaahqart1ev3aqatCvAUfeBSjuyZL2yd9gzLbvyNv2Caerbov2D09 MBaeXatLxBI9gBaerbd9wDYLwzYbItLDharuavP1wzZbItLDhis9wB H5garqqtubsr4rNCHbGeaGqipy0de9vqqrpepC0xbbL8F4rqqrFfpe ea0pd9Zqpe0xc9q8qqaqFn0dXdir=xcvk9pIe9q8qqaq=dir=f0=yq aqVeLsFr0=vr0=vr0db8meaabaqaciaacaGaaeqabaWaaqaafaaake aaqaaaaaaaaaWdbiabeA9a2baa@3DF3@ , пунктирная линия), показывает неустойчивое решение, которое асимптотически приближается к нулю при увеличении скорости кристаллизации. Важным моментом является то, что β s <0 MathType@MTEF@5@5@+= feaahqart1ev3aqatCvAUfeBSjuyZL2yd9gzLbvyNv2Caerbov2D09 MBaeXatLxBI9gBaerbd9wDYLwzYbItLDharuavP1wzZbItLDhis9wB H5garqqtubsr4rNCHbGeaGqipy0de9vqqrpepC0xbbL8F4rqqrFfpe ea0pd9Zqpe0xc9q8qqaqFn0dXdir=xcvk9pIe9q8qqaq=dir=f0=yq aqVeLsFr0=vr0=vr0db8meaabaqaciaacaGaaeqabaWaaqaafaaake aaqaaaaaaaaaWdbiabek7aI9aadaWgaaWcbaWdbiaadohaa8aabeaa k8qacqGH8aapcaaIWaaaaa@40E5@ , β l <0 MathType@MTEF@5@5@+= feaahqart1ev3aqatCvAUfeBSjuyZL2yd9gzLbvyNv2Caerbov2D09 MBaeXatLxBI9gBaerbd9wDYLwzYbItLDharuavP1wzZbItLDhis9wB H5garqqtubsr4rNCHbGeaGqipy0de9vqqrpepC0xbbL8F4rqqrFfpe ea0pd9Zqpe0xc9q8qqaqFn0dXdir=xcvk9pIe9q8qqaq=dir=f0=yq aqVeLsFr0=vr0=vr0db8meaabaqaciaacaGaaeqabaWaaqaafaaake aaqaaaaaaaaaWdbiabek7aI9aadaWgaaWcbaWdbiaadYgaa8aabeaa k8qacqGH8aapcaaIWaaaaa@40DE@  и β<0 MathType@MTEF@5@5@+= feaahqart1ev3aqatCvAUfeBSjuyZL2yd9gzLbvyNv2Caerbov2D09 MBaeXatLxBI9gBaerbd9wDYLwzYbItLDharuavP1wzZbItLDhis9wB H5garqqtubsr4rNCHbGeaGqipy0de9vqqrpepC0xbbL8F4rqqrFfpe ea0pd9Zqpe0xc9q8qqaqFn0dXdir=xcvk9pIe9q8qqaq=dir=f0=yq aqVeLsFr0=vr0=vr0db8meaabaqaciaacaGaaeqabaWaaqaafaaake aaqaaaaaaaaaWdbiabek7aIjabgYda8iaaicdaaaa@3F79@  для всех точек на рис. 4. Как и ранее, это означает, что возмущение, возникающее на охлаждаемой стенке при z<0 MathType@MTEF@5@5@+= feaahqart1ev3aqatCvAUfeBSjuyZL2yd9gzLbvyNv2Caerbov2D09 MBaeXatLxBI9gBaerbd9wDYLwzYbItLDharuavP1wzZbItLDhis9wB H5garqqtubsr4rNCHbGeaGqipy0de9vqqrpepC0xbbL8F4rqqrFfpe ea0pd9Zqpe0xc9q8qqaqFn0dXdir=xcvk9pIe9q8qqaq=dir=f0=yq aqVeLsFr0=vr0=vr0db8meaabaqaciaacaGaaeqabaWaaqaafaaake aaqaaaaaaaaaWdbiaadQhacqGH8aapcaaIWaaaaa@3ED7@ , распространяется через границу раздела фаз (поверхность разрыва) в жидкую фазу и приводит к динамическим возмущениям. В обоих случаях конвекция будет создавать локальные неоднородности полей температуры и концентрации, которые в свою очередь будут приводить к неустойчивости. Аналогичное поведение частоты возмущений было получено для расплавленного металла: были найдены две кривые, означающие неустойчивость. То есть возмущение, исходящее от охлаждаемой стенки, будет усиливаться ( ϖ>0 MathType@MTEF@5@5@+= feaahqart1ev3aqatCvAUfeBSjuyZL2yd9gzLbvyNv2Caerbov2D09 MBaeXatLxBI9gBaerbd9wDYLwzYbItLDharuavP1wzZbItLDhis9wB H5garqqtubsr4rNCHbGeaGqipy0de9vqqrpepC0xbbL8F4rqqrFfpe ea0pd9Zqpe0xc9q8qqaqFn0dXdir=xcvk9pIe9q8qqaq=dir=f0=yq aqVeLsFr0=vr0=vr0db8meaabaqaciaacaGaaeqabaWaaqaafaaake aaqaaaaaaaaaWdbiabeA9a2jabg6da+iaaicdaaaa@3FB5@ , неустойчивость) за счет конвекции. В результате разрывная граница становится динамически неустойчивой и квазистационарный процесс кристаллизации с постоянной скоростью υ s MathType@MTEF@5@5@+= feaahqart1ev3aqatCvAUfeBSjuyZL2yd9gzLbvyNv2Caerbov2D09 MBaeXatLxBI9gBaerbd9wDYLwzYbItLDharuavP1wzZbItLDhis9wB H5garqqtubsr4rNCHbGeaGqipy0de9vqqrpepC0xbbL8F4rqqrFfpe ea0pd9Zqpe0xc9q8qqaqFn0dXdir=xcvk9pIe9q8qqaq=dir=f0=yq aqVeLsFr0=vr0=vr0db8meaabaqaciaacaGaaeqabaWaaqaafaaake aaqaaaaaaaaaWdbiabew8a19aadaWgaaWcbaWdbiaadohaa8aabeaa aaa@3F33@  разрушается.

ЗАКЛЮЧЕНИЕ

В настоящей работе было изучено влияние малых морфологических/динамических возмущений на процесс направленной кристаллизации в конечной области с учетом интенсивной конвекции в жидкости. Прежде всего, исследован вопрос об устойчивости плоской границы раздела твердое тело/жидкость, движущейся в установившемся режиме, к малым морфологическим возмущениям поля температуры и скорости кристаллизации. Для этого выведено дисперсионное соотношение, определяющее частоту возмущений, как функцию волнового числа и других параметров системы. Анализ этого соотношения для расплавленного металла и магмы показал, что ϖ MathType@MTEF@5@5@+= feaahqart1ev3aqatCvAUfeBSjuyZL2yd9gzLbvyNv2Caerbov2D09 MBaeXatLxBI9gBaerbd9wDYLwzYbItLDharuavP1wzZbItLDhis9wB H5garqqtubsr4rNCHbGeaGqipy0de9vqqrpepC0xbbL8F4rqqrFfpe ea0pd9Zqpe0xc9q8qqaqFn0dXdir=xcvk9pIe9q8qqaq=dir=f0=yq aqVeLsFr0=vr0=vr0db8meaabaqaciaacaGaaeqabaWaaqaafaaake aaqaaaaaaaaaWdbiabeA9a2baa@3DF3@  положительна в широком диапазоне волновых чисел. Этому решению соответствуют отрицательные значения коэффициентов усиления/затухания возмущений β s MathType@MTEF@5@5@+= feaahqart1ev3aqatCvAUfeBSjuyZL2yd9gzLbvyNv2Caerbov2D09 MBaeXatLxBI9gBaerbd9wDYLwzYbItLDharuavP1wzZbItLDhis9wB H5garqqtubsr4rNCHbGeaGqipy0de9vqqrpepC0xbbL8F4rqqrFfpe ea0pd9Zqpe0xc9q8qqaqFn0dXdir=xcvk9pIe9q8qqaq=dir=f0=yq aqVeLsFr0=vr0=vr0db8meaabaqaciaacaGaaeqabaWaaqaafaaake aaqaaaaaaaaaWdbiabek7aI9aadaWgaaWcbaWdbiaadohaa8aabeaa aaa@3F0D@  и β l MathType@MTEF@5@5@+= feaahqart1ev3aqatCvAUfeBSjuyZL2yd9gzLbvyNv2Caerbov2D09 MBaeXatLxBI9gBaerbd9wDYLwzYbItLDharuavP1wzZbItLDhis9wB H5garqqtubsr4rNCHbGeaGqipy0de9vqqrpepC0xbbL8F4rqqrFfpe ea0pd9Zqpe0xc9q8qqaqFn0dXdir=xcvk9pIe9q8qqaq=dir=f0=yq aqVeLsFr0=vr0=vr0db8meaabaqaciaacaGaaeqabaWaaqaafaaake aaqaaaaaaaaaWdbiabek7aI9aadaWgaaWcbaWdbiaadYgaa8aabeaa aaa@3F06@ . Отрицательные знаки этих коэффициентов свидетельствуют о том, что морфологические возмущения распространяются вдоль направления кристаллизации z MathType@MTEF@5@5@+= feaahqart1ev3aqatCvAUfeBSjuyZL2yd9gzLbvyNv2Caerbov2D09 MBaeXatLxBI9gBaerbd9wDYLwzYbItLDharuavP1wzZbItLDhis9wB H5garqqtubsr4rNCHbGeaGqipy0de9vqqrpepC0xbbL8F4rqqrFfpe ea0pd9Zqpe0xc9q8qqaqFn0dXdir=xcvk9pIe9q8qqaq=dir=f0=yq aqVeLsFr0=vr0=vr0db8meaabaqaciaacaGaaeqabaWaaqaafaaake aaqaaaaaaaaaWdbiaadQhaaaa@3D19@ . А именно, при колебаниях температуры на охлажденной стенке (при z<0 MathType@MTEF@5@5@+= feaahqart1ev3aqatCvAUfeBSjuyZL2yd9gzLbvyNv2Caerbov2D09 MBaeXatLxBI9gBaerbd9wDYLwzYbItLDharuavP1wzZbItLDhis9wB H5garqqtubsr4rNCHbGeaGqipy0de9vqqrpepC0xbbL8F4rqqrFfpe ea0pd9Zqpe0xc9q8qqaqFn0dXdir=xcvk9pIe9q8qqaq=dir=f0=yq aqVeLsFr0=vr0=vr0db8meaabaqaciaacaGaaeqabaWaaqaafaaake aaqaaaaaaaaaWdbiaadQhacqGH8aapcaaIWaaaaa@3ED7@  ) на некотором расстоянии от границы раздела фаз это возмущение распространяется на жидкую фазу и делает границу раздела твердое тело/жидкость морфологически неустойчивой. Кроме того, показано, что плоская граница раздела твердое тело/жидкость может быть неустойчива к динамическим возмущениям с нулевым волновым числом (возмущениям установившейся скорости кристаллизации υ s MathType@MTEF@5@5@+= feaahqart1ev3aqatCvAUfeBSjuyZL2yd9gzLbvyNv2Caerbov2D09 MBaeXatLxBI9gBaerbd9wDYLwzYbItLDharuavP1wzZbItLDhis9wB H5garqqtubsr4rNCHbGeaGqipy0de9vqqrpepC0xbbL8F4rqqrFfpe ea0pd9Zqpe0xc9q8qqaqFn0dXdir=xcvk9pIe9q8qqaq=dir=f0=yq aqVeLsFr0=vr0=vr0db8meaabaqaciaacaGaaeqabaWaaqaafaaake aaqaaaaaaaaaWdbiabew8a19aadaWgaaWcbaWdbiaadohaa8aabeaa aaa@3F33@  ) в широком диапазоне υ s MathType@MTEF@5@5@+= feaahqart1ev3aqatCvAUfeBSjuyZL2yd9gzLbvyNv2Caerbov2D09 MBaeXatLxBI9gBaerbd9wDYLwzYbItLDharuavP1wzZbItLDhis9wB H5garqqtubsr4rNCHbGeaGqipy0de9vqqrpepC0xbbL8F4rqqrFfpe ea0pd9Zqpe0xc9q8qqaqFn0dXdir=xcvk9pIe9q8qqaq=dir=f0=yq aqVeLsFr0=vr0=vr0db8meaabaqaciaacaGaaeqabaWaaqaafaaake aaqaaaaaaaaaWdbiabew8a19aadaWgaaWcbaWdbiaadohaa8aabeaa aaa@3F33@ . Отметим, что здесь неустойчивая ветвь решений одновременно сосуществует с устойчивой. При этом кристаллизующийся расплав/раствор выбирает одну из них в зависимости от влияния конвекции, которая может либо усиливать, либо ослаблять динамические возмущения, исходящие от твердой фазы (охлаждаемой стенки). Эта морфологическая/динамическая неустойчивость развивается со временем и приводит к образованию двухфазного слоя между чисто твердым материалом и жидкостью.

Для изучения устойчивости такого процесса к динамическим возмущениям (возмущениям установившейся скорости кристаллизации с двухфазной зоной) проведен линейный анализ динамической устойчивости с конвекцией. Результатом этой теории, в которой двухфазная область заменена поверхностью разрыва, является уравнение для частоты динамических возмущений в зависимости от физических параметров системы. Анализ этого уравнения показал, что динамические возмущения могут эволюционировать от твердого тела к жидкому материалу. А именно, если возмущение возникает на охлаждаемой стенке при z<0 MathType@MTEF@5@5@+= feaahqart1ev3aqatCvAUfeBSjuyZL2yd9gzLbvyNv2Caerbov2D09 MBaeXatLxBI9gBaerbd9wDYLwzYbItLDharuavP1wzZbItLDhis9wB H5garqqtubsr4rNCHbGeaGqipy0de9vqqrpepC0xbbL8F4rqqrFfpe ea0pd9Zqpe0xc9q8qqaqFn0dXdir=xcvk9pIe9q8qqaq=dir=f0=yq aqVeLsFr0=vr0=vr0db8meaabaqaciaacaGaaeqabaWaaqaafaaake aaqaaaaaaaaaWdbiaadQhacqGH8aapcaaIWaaaaa@3ED7@ , то оно уменьшается и распространяется в жидкую фазу при z>0 MathType@MTEF@5@5@+= feaahqart1ev3aqatCvAUfeBSjuyZL2yd9gzLbvyNv2Caerbov2D09 MBaeXatLxBI9gBaerbd9wDYLwzYbItLDharuavP1wzZbItLDhis9wB H5garqqtubsr4rNCHbGeaGqipy0de9vqqrpepC0xbbL8F4rqqrFfpe ea0pd9Zqpe0xc9q8qqaqFn0dXdir=xcvk9pIe9q8qqaq=dir=f0=yq aqVeLsFr0=vr0=vr0db8meaabaqaciaacaGaaeqabaWaaqaafaaake aaqaaaaaaaaaWdbiaadQhacqGH+aGpcaaIWaaaaa@3EDB@  при β s <0 MathType@MTEF@5@5@+= feaahqart1ev3aqatCvAUfeBSjuyZL2yd9gzLbvyNv2Caerbov2D09 MBaeXatLxBI9gBaerbd9wDYLwzYbItLDharuavP1wzZbItLDhis9wB H5garqqtubsr4rNCHbGeaGqipy0de9vqqrpepC0xbbL8F4rqqrFfpe ea0pd9Zqpe0xc9q8qqaqFn0dXdir=xcvk9pIe9q8qqaq=dir=f0=yq aqVeLsFr0=vr0=vr0db8meaabaqaciaacaGaaeqabaWaaqaafaaake aaqaaaaaaaaaWdbiabek7aI9aadaWgaaWcbaWdbiaadohaa8aabeaa k8qacqGH8aapcaaIWaaaaa@40E5@ , β l <0 MathType@MTEF@5@5@+= feaahqart1ev3aqatCvAUfeBSjuyZL2yd9gzLbvyNv2Caerbov2D09 MBaeXatLxBI9gBaerbd9wDYLwzYbItLDharuavP1wzZbItLDhis9wB H5garqqtubsr4rNCHbGeaGqipy0de9vqqrpepC0xbbL8F4rqqrFfpe ea0pd9Zqpe0xc9q8qqaqFn0dXdir=xcvk9pIe9q8qqaq=dir=f0=yq aqVeLsFr0=vr0=vr0db8meaabaqaciaacaGaaeqabaWaaqaafaaake aaqaaaaaaaaaWdbiabek7aI9aadaWgaaWcbaWdbiaadYgaa8aabeaa k8qacqGH8aapcaaIWaaaaa@40DE@  и β<0 MathType@MTEF@5@5@+= feaahqart1ev3aqatCvAUfeBSjuyZL2yd9gzLbvyNv2Caerbov2D09 MBaeXatLxBI9gBaerbd9wDYLwzYbItLDharuavP1wzZbItLDhis9wB H5garqqtubsr4rNCHbGeaGqipy0de9vqqrpepC0xbbL8F4rqqrFfpe ea0pd9Zqpe0xc9q8qqaqFn0dXdir=xcvk9pIe9q8qqaq=dir=f0=yq aqVeLsFr0=vr0=vr0db8meaabaqaciaacaGaaeqabaWaaqaafaaake aaqaaaaaaaaaWdbiabek7aIjabgYda8iaaicdaaaa@3F79@ . Это возмущение может эволюционировать со временем и приводить к динамической неустойчивости в широком диапазоне скоростей кристаллизации υ s MathType@MTEF@5@5@+= feaahqart1ev3aqatCvAUfeBSjuyZL2yd9gzLbvyNv2Caerbov2D09 MBaeXatLxBI9gBaerbd9wDYLwzYbItLDharuavP1wzZbItLDhis9wB H5garqqtubsr4rNCHbGeaGqipy0de9vqqrpepC0xbbL8F4rqqrFfpe ea0pd9Zqpe0xc9q8qqaqFn0dXdir=xcvk9pIe9q8qqaq=dir=f0=yq aqVeLsFr0=vr0=vr0db8meaabaqaciaacaGaaeqabaWaaqaafaaake aaqaaaaaaaaaWdbiabew8a19aadaWgaaWcbaWdbiaadohaa8aabeaa aaa@3F33@ . Система имеет две ветви решений (обе неустойчивые), которые сосуществуют одновременно. Конвекция в расплаве приводит к усилению динамических возмущений. В результате поверхность разрыва, имитирующая двухфазную область, оказывается неустойчивой к малым динамическим возмущениям скорости кристаллизации, т.е. устойчивый процесс с двухфазной областью разрушается. В системе образуется более сложный сценарий кристаллизации с неустановившейся скоростью и переменной толщиной двухфазного слоя.

В результате проведенного исследования можно сделать следующие основные выводы. Плоская граница раздела твердое тело/жидкость (двухфазная область) может оказаться неустойчивой к малым морфологическим/динамическим возмущениям при наличии интенсивной конвекции в жидкости, если рассматривать конечную область кристаллизации. Ключевым фактором здесь является конечность области кристаллизации, ограниченной твердыми стенками, что характерно для любого реального процесса, происходящего в природе, лаборатории или на промышленном предприятии. А именно, зарождение возмущений происходит на твердых стенках из-за флуктуаций тепломассообменного оборудования, которые приводят к морфологической/динамической неустойчивости. Если бы мы проводили данное исследование в бесконечной области, то были бы вынуждены отбросить решения, найденные из условий ограниченности возмущений на бесконечном расстоянии от границы раздела фаз. Это позволяет сделать вывод о том, что конечность области кристаллизации и ее протяженность являются основными факторами, влияющими на морфологическую/динамическую неустойчивость.

Это означает, что ряд теорий устойчивой/неустойчивой кристаллизации с конвекцией (а возможно, и при ее отсутствии) необходимо пересмотреть с учетом ограниченности области кристаллизации. К этому, например, относится теория устойчивого роста вершины дендрита, позволяющая отбирать установившуюся скорость роста кристалла в зависимости от кривизны и переохлаждения [48 MathType@MTEF@5@5@+= feaahqart1ev3aqatCvAUfeBSjuyZL2yd9gzLbvyNv2CaerbuLwBLn hiov2DGi1BTfMBaeXatLxBI9gBaerbd9wDYLwzYbItLDharqqtubsr 4rNCHbGeaGqiVu0Je9sqqrpepC0xbbL8F4rqqrFfpeea0xe9Lq=Jc9 vqaqpepm0xbba9pwe9Q8fs0=yqaqpepae9pg0FirpepeKkFr0xfr=x fr=xb9adbaqaaeGaciGaaiaabeqaamaabaabaaGcbaacbaqcLbyaqa aaaaaaaaWdbiaa=nbiaaa@37C0@ 52]. Другой пример MathType@MTEF@5@5@+= feaahqart1ev3aqatCvAUfeBSjuyZL2yd9gzLbvyNv2CaerbuLwBLn hiov2DGi1BTfMBaeXatLxBI9gBaerbd9wDYLwzYbItLDharqqtubsr 4rNCHbGeaGqiVu0Je9sqqrpepC0xbbL8F4rqqrFfpeea0xe9Lq=Jc9 vqaqpepm0xbba9pwe9Q8fs0=yqaqpepae9pg0FirpepeKkFr0xfr=x fr=xb9adbaqaaeGaciGaaiaabeqaamaabaabaaGcbaacbaqcLbyaqa aaaaaaaaWdbiaa=rbiaaa@37C1@  устойчивость границы раздела лед/океан к морфологическим возмущениям с учетом конечной глубины жидкости [53 MathType@MTEF@5@5@+= feaahqart1ev3aqatCvAUfeBSjuyZL2yd9gzLbvyNv2CaerbuLwBLn hiov2DGi1BTfMBaeXatLxBI9gBaerbd9wDYLwzYbItLDharqqtubsr 4rNCHbGeaGqiVu0Je9sqqrpepC0xbbL8F4rqqrFfpeea0xe9Lq=Jc9 vqaqpepm0xbba9pwe9Q8fs0=yqaqpepae9pg0FirpepeKkFr0xfr=x fr=xb9adbaqaaeGaciGaaiaabeqaamaabaabaaGcbaacbaqcLbyaqa aaaaaaaaWdbiaa=nbiaaa@37C0@ 55].

ФИНАНСИРОВАНИЕ

Работа выполнена при финансовой поддержке Российского научного фонда (грант 23-19-00337).

ПРИЛОЖЕНИЕ

В этом разделе мы поясняем математический вывод граничных условий (8) MathType@MTEF@5@5@+= feaahqart1ev3aqatCvAUfeBSjuyZL2yd9gzLbvyNv2CaerbuLwBLn hiov2DGi1BTfMBaeXatLxBI9gBaerbd9wDYLwzYbItLDharqqtubsr 4rNCHbGeaGqiVu0Je9sqqrpepC0xbbL8F4rqqrFfpeea0xe9Lq=Jc9 vqaqpepm0xbba9pwe9Q8fs0=yqaqpepae9pg0FirpepeKkFr0xfr=x fr=xb9adbaqaaeGaciGaaiaabeqaamaabaabaaGcbaacbaqcLbyaqa aaaaaaaaWdbiaa=nbiaaa@37C0@ (10), используя в качестве примера граничное условие (8): ϑ l = ϑ s MathType@MTEF@5@5@+= feaahqart1ev3aqatCvAUfeBSjuyZL2yd9gzLbvyNv2Caerbov2D09 MBaeXatLxBI9gBaerbd9wDYLwzYbItLDharuavP1wzZbItLDhis9wB H5garqqtubsr4rNCHbGeaGqipy0de9vqqrpepC0xbbL8F4rqqrFfpe ea0pd9Zqpe0xc9q8qqaqFn0dXdir=xcvk9pIe9q8qqaq=dir=f0=yq aqVeLsFr0=vr0=vr0db8meaabaqaciaacaGaaeqabaWaaqaafaaake aaqaaaaaaaaaWdbiabeg9ak9aadaWgaaWcbaWdbiaadYgaa8aabeaa k8qacqGH9aqpcqaHrpGspaWaaSbaaSqaa8qacaWGZbaapaqabaaaaa@4327@ . Итак, разлагая это равенство в ряд Тейлора при z=0 MathType@MTEF@5@5@+= feaahqart1ev3aqatCvAUfeBSjuyZL2yd9gzLbvyNv2Caerbov2D09 MBaeXatLxBI9gBaerbd9wDYLwzYbItLDharuavP1wzZbItLDhis9wB H5garqqtubsr4rNCHbGeaGqipy0de9vqqrpepC0xbbL8F4rqqrFfpe ea0pd9Zqpe0xc9q8qqaqFn0dXdir=xcvk9pIe9q8qqaq=dir=f0=yq aqVeLsFr0=vr0=vr0db8meaabaqaciaacaGaaeqabaWaaqaafaaake aaqaaaaaaaaaWdbiaadQhacqGH9aqpcaaIWaaaaa@3ED9@  и сохраняя только линейные члены, получаем

ϑ s0 + d ϑ s0 dz z=0 Z + ϑ s ' = ϑ l0 + d ϑ l0 dz z=0 Z + ϑ l ' , z=0. MathType@MTEF@5@5@+= feaahqart1ev3aqatCvAUfeBSjuyZL2yd9gzLbvyNv2Caerbov2D09 MBaeXatLxBI9gBaerbd9wDYLwzYbItLDharuavP1wzZbItLDhis9wB H5garqqtubsr4rNCHbGeaGqipy0de9vqqrpepC0xbbL8F4rqqrFfpe ea0pd9Zqpe0xc9q8qqaqFn0dXdir=xcvk9pIe9q8qqaq=dir=f0=yq aqVeLsFr0=vr0=vr0db8meaabaqaciaacaGaaeqabaWaaqaafaaake aaqaaaaaaaaaWdbiabeg9ak9aadaWgaaWcbaWdbiaadohacaaIWaaa paqabaGcpeGaey4kaSYaaeWaa8aabaWdbmaalaaapaqaa8qacaWGKb Gaeqy0dO0damaaBaaaleaapeGaam4Caiaaicdaa8aabeaaaOqaa8qa caWGKbGaamOEaaaaaiaawIcacaGLPaaapaWaaSbaaSqaa8qacaWG6b Gaeyypa0JaaGimaaWdaeqaaOWdbiqadQfagaqbaiabgUcaRiabeg9a knaaDaaaleaacaWGZbaakeaacaGGNaaaaiabg2da9iabeg9ak9aada WgaaWcbaWdbiaadYgacaaIWaaapaqabaGcpeGaey4kaSYaaeWaa8aa baWdbmaalaaapaqaa8qacaWGKbGaeqy0dO0damaaBaaaleaapeGaam iBaiaaicdaa8aabeaaaOqaa8qacaWGKbGaamOEaaaaaiaawIcacaGL PaaapaWaaSbaaSqaa8qacaWG6bGaeyypa0JaaGimaaWdaeqaaOWdbi qadQfagaqbaiabgUcaRiabeg9aknaaDaaaleaacaWGSbaakeaacaGG NaaaaiaacYcacaa5GcGaamOEaiabg2da9iaaicdacaGGUaaaaa@6E02@

Отметим, что возмущения предполагаются достаточно малыми, чтобы все граничные условия можно было перенести на невозмущенную границу z=0 MathType@MTEF@5@5@+= feaahqart1ev3aqatCvAUfeBSjuyZL2yd9gzLbvyNv2Caerbov2D09 MBaeXatLxBI9gBaerbd9wDYLwzYbItLDharuavP1wzZbItLDhis9wB H5garqqtubsr4rNCHbGeaGqipy0de9vqqrpepC0xbbL8F4rqqrFfpe ea0pd9Zqpe0xc9q8qqaqFn0dXdir=xcvk9pIe9q8qqaq=dir=f0=yq aqVeLsFr0=vr0=vr0db8meaabaqaciaacaGaaeqabaWaaqaafaaake aaqaaaaaaaaaWdbiaadQhacqGH9aqpcaaIWaaaaa@3ED9@ . Тогда, имея в виду невозмущенное равенство ϑ s0 = ϑ l0 MathType@MTEF@5@5@+= feaahqart1ev3aqatCvAUfeBSjuyZL2yd9gzLbvyNv2Caerbov2D09 MBaeXatLxBI9gBaerbd9wDYLwzYbItLDharuavP1wzZbItLDhis9wB H5garqqtubsr4rNCHbGeaGqipy0de9vqqrpepC0xbbL8F4rqqrFfpe ea0pd9Zqpe0xc9q8qqaqFn0dXdir=xcvk9pIe9q8qqaq=dir=f0=yq aqVeLsFr0=vr0=vr0db8meaabaqaciaacaGaaeqabaWaaqaafaaake aaqaaaaaaaaaWdbiabeg9ak9aadaWgaaWcbaWdbiaadohacaaIWaaa paqabaGcpeGaeyypa0Jaeqy0dO0damaaBaaaleaapeGaamiBaiaaic daa8aabeaaaaa@449B@  при z=0 MathType@MTEF@5@5@+= feaahqart1ev3aqatCvAUfeBSjuyZL2yd9gzLbvyNv2Caerbov2D09 MBaeXatLxBI9gBaerbd9wDYLwzYbItLDharuavP1wzZbItLDhis9wB H5garqqtubsr4rNCHbGeaGqipy0de9vqqrpepC0xbbL8F4rqqrFfpe ea0pd9Zqpe0xc9q8qqaqFn0dXdir=xcvk9pIe9q8qqaq=dir=f0=yq aqVeLsFr0=vr0=vr0db8meaabaqaciaacaGaaeqabaWaaqaafaaake aaqaaaaaaaaaWdbiaadQhacqGH9aqpcaaIWaaaaa@3ED9@ , приходим к следующему выражению:

ϑ s ' ϑ l ' + G s G l Z =0, z=0. MathType@MTEF@5@5@+= feaahqart1ev3aqatCvAUfeBSjuyZL2yd9gzLbvyNv2Caerbov2D09 MBaeXatLxBI9gBaerbd9wDYLwzYbItLDharuavP1wzZbItLDhis9wB H5garqqtubsr4rNCHbGeaGqipy0de9vqqrpepC0xbbL8F4rqqrFfpe ea0pd9Zqpe0xc9q8qqaqFn0dXdir=xcvk9pIe9q8qqaq=dir=f0=yq aqVeLsFr0=vr0=vr0db8meaabaqaciaacaGaaeqabaWaaqaafaaake aaqaaaaaaaaaWdbiabeg9aknaaDaaaleaacaWGZbaakeaacaGGNaaa aiabgkHiTiabeg9aknaaDaaaleaacaWGSbaakeaacaGGNaaaaiabgU caRmaabmaapaqaa8qacaWGhbWdamaaBaaaleaapeGaam4CaaWdaeqa aOWdbiabgkHiTiaadEeapaWaaSbaaSqaa8qacaWGSbaapaqabaaak8 qacaGLOaGaayzkaaGabmOwayaafaGaeyypa0JaaGimaiaacYcacaa5 GcGaamOEaiabg2da9iaaicdacaGGUaaaaa@5436@

Теперь, чтобы получить уравнение (8), учтем в этом равенстве возмущения ϑ s ' MathType@MTEF@5@5@+= feaahqart1ev3aqatCvAUfeBSjuyZL2yd9gzLbvyNv2Caerbov2D09 MBaeXatLxBI9gBaerbd9wDYLwzYbItLDharuavP1wzZbItLDhis9wB H5garqqtubsr4rNCHbGeaGqipy0de9vqqrpepC0xbbL8F4rqqrFfpe ea0pd9Zqpe0xc9q8qqaqFn0dXdir=xcvk9pIe9q8qqaq=dir=f0=yq aqVeLsFr0=vr0=vr0db8meaabaqaciaacaGaaeqabaWaaqaafaaake aaqaaaaaaaaaWdbiabeg9aknaaDaaaleaacaWGZbaakeaacaGGNaaa aaaa@3F9C@ , ϑ l ' MathType@MTEF@5@5@+= feaahqart1ev3aqatCvAUfeBSjuyZL2yd9gzLbvyNv2Caerbov2D09 MBaeXatLxBI9gBaerbd9wDYLwzYbItLDharuavP1wzZbItLDhis9wB H5garqqtubsr4rNCHbGeaGqipy0de9vqqrpepC0xbbL8F4rqqrFfpe ea0pd9Zqpe0xc9q8qqaqFn0dXdir=xcvk9pIe9q8qqaq=dir=f0=yq aqVeLsFr0=vr0=vr0db8meaabaqaciaacaGaaeqabaWaaqaafaaake aaqaaaaaaaaaWdbiabeg9aknaaDaaaleaacaWGSbaakeaacaGGNaaa aaaa@3F95@  и Z MathType@MTEF@5@5@+= feaahqart1ev3aqatCvAUfeBSjuyZL2yd9gzLbvyNv2Caerbov2D09 MBaeXatLxBI9gBaerbd9wDYLwzYbItLDharuavP1wzZbItLDhis9wB H5garqqtubsr4rNCHbGeaGqipy0de9vqqrpepC0xbbL8F4rqqrFfpe ea0pd9Zqpe0xc9q8qqaqFn0dXdir=xcvk9pIe9q8qqaq=dir=f0=yq aqVeLsFr0=vr0=vr0db8meaabaqaciaacaGaaeqabaWaaqaafaaake aaqaaaaaaaaaWdbiqadQfagaqbaaaa@3D05@ . Аналогичным образом можно получить выражения (9) и (10).

Теперь покажем, как получить β l MathType@MTEF@5@5@+= feaahqart1ev3aqatCvAUfeBSjuyZL2yd9gzLbvyNv2Caerbov2D09 MBaeXatLxBI9gBaerbd9wDYLwzYbItLDharuavP1wzZbItLDhis9wB H5garqqtubsr4rNCHbGeaGqipy0de9vqqrpepC0xbbL8F4rqqrFfpe ea0pd9Zqpe0xc9q8qqaqFn0dXdir=xcvk9pIe9q8qqaq=dir=f0=yq aqVeLsFr0=vr0=vr0db8meaabaqaciaacaGaaeqabaWaaqaafaaake aaqaaaaaaaaaWdbiabek7aI9aadaWgaaWcbaWdbiaadYgaa8aabeaa aaa@3F06@  из выражения (14). Для этого введем стационарные проекции скоростей жидкости u x0 MathType@MTEF@5@5@+= feaahqart1ev3aqatCvAUfeBSjuyZL2yd9gzLbvyNv2Caerbov2D09 MBaeXatLxBI9gBaerbd9wDYLwzYbItLDharuavP1wzZbItLDhis9wB H5garqqtubsr4rNCHbGeaGqipy0de9vqqrpepC0xbbL8F4rqqrFfpe ea0pd9Zqpe0xc9q8qqaqFn0dXdir=xcvk9pIe9q8qqaq=dir=f0=yq aqVeLsFr0=vr0=vr0db8meaabaqaciaacaGaaeqabaWaaqaafaaake aaqaaaaaaaaaWdbiaadwhapaWaaSbaaSqaa8qacaWG4bGaaGimaaWd aeqaaaaa@3F25@ , u y0 MathType@MTEF@5@5@+= feaahqart1ev3aqatCvAUfeBSjuyZL2yd9gzLbvyNv2Caerbov2D09 MBaeXatLxBI9gBaerbd9wDYLwzYbItLDharuavP1wzZbItLDhis9wB H5garqqtubsr4rNCHbGeaGqipy0de9vqqrpepC0xbbL8F4rqqrFfpe ea0pd9Zqpe0xc9q8qqaqFn0dXdir=xcvk9pIe9q8qqaq=dir=f0=yq aqVeLsFr0=vr0=vr0db8meaabaqaciaacaGaaeqabaWaaqaafaaake aaqaaaaaaaaaWdbiaadwhapaWaaSbaaSqaa8qacaWG5bGaaGimaaWd aeqaaaaa@3F26@ , u z0 MathType@MTEF@5@5@+= feaahqart1ev3aqatCvAUfeBSjuyZL2yd9gzLbvyNv2Caerbov2D09 MBaeXatLxBI9gBaerbd9wDYLwzYbItLDharuavP1wzZbItLDhis9wB H5garqqtubsr4rNCHbGeaGqipy0de9vqqrpepC0xbbL8F4rqqrFfpe ea0pd9Zqpe0xc9q8qqaqFn0dXdir=xcvk9pIe9q8qqaq=dir=f0=yq aqVeLsFr0=vr0=vr0db8meaabaqaciaacaGaaeqabaWaaqaafaaake aaqaaaaaaaaaWdbiaadwhapaWaaSbaaSqaa8qacaWG6bGaaGimaaWd aeqaaaaa@3F27@  и их морфологические возмущения u x ' MathType@MTEF@5@5@+= feaahqart1ev3aqatCvAUfeBSjuyZL2yd9gzLbvyNv2Caerbov2D09 MBaeXatLxBI9gBaerbd9wDYLwzYbItLDharuavP1wzZbItLDhis9wB H5garqqtubsr4rNCHbGeaGqipy0de9vqqrpepC0xbbL8F4rqqrFfpe ea0pd9Zqpe0xc9q8qqaqFn0dXdir=xcvk9pIe9q8qqaq=dir=f0=yq aqVeLsFr0=vr0=vr0db8meaabaqaciaacaGaaeqabaWaaqaafaaake aaqaaaaaaaaaWdbiaadwhadaqhaaWcbaGaamiEaaGcbaGaai4jaaaa aaa@3EF3@ , u y ' MathType@MTEF@5@5@+= feaahqart1ev3aqatCvAUfeBSjuyZL2yd9gzLbvyNv2Caerbov2D09 MBaeXatLxBI9gBaerbd9wDYLwzYbItLDharuavP1wzZbItLDhis9wB H5garqqtubsr4rNCHbGeaGqipy0de9vqqrpepC0xbbL8F4rqqrFfpe ea0pd9Zqpe0xc9q8qqaqFn0dXdir=xcvk9pIe9q8qqaq=dir=f0=yq aqVeLsFr0=vr0=vr0db8meaabaqaciaacaGaaeqabaWaaqaafaaake aaqaaaaaaaaaWdbiaadwhadaqhaaWcbaGaamyEaaGcbaGaai4jaaaa aaa@3EF4@  и u z ' MathType@MTEF@5@5@+= feaahqart1ev3aqatCvAUfeBSjuyZL2yd9gzLbvyNv2Caerbov2D09 MBaeXatLxBI9gBaerbd9wDYLwzYbItLDharuavP1wzZbItLDhis9wB H5garqqtubsr4rNCHbGeaGqipy0de9vqqrpepC0xbbL8F4rqqrFfpe ea0pd9Zqpe0xc9q8qqaqFn0dXdir=xcvk9pIe9q8qqaq=dir=f0=yq aqVeLsFr0=vr0=vr0db8meaabaqaciaacaGaaeqabaWaaqaafaaake aaqaaaaaaaaaWdbiaadwhadaqhaaWcbaGaamOEaaGcbaGaai4jaaaa aaa@3EF5@ . Учитывая это, получаем u x = u x0 + u x ' MathType@MTEF@5@5@+= feaahqart1ev3aqatCvAUfeBSjuyZL2yd9gzLbvyNv2Caerbov2D09 MBaeXatLxBI9gBaerbd9wDYLwzYbItLDharuavP1wzZbItLDhis9wB H5garqqtubsr4rNCHbGeaGqipy0de9vqqrpepC0xbbL8F4rqqrFfpe ea0pd9Zqpe0xc9q8qqaqFn0dXdir=xcvk9pIe9q8qqaq=dir=f0=yq aqVeLsFr0=vr0=vr0db8meaabaqaciaacaGaaeqabaWaaqaafaaake aaqaaaaaaaaaWdbiaadwhapaWaaSbaaSqaa8qacaWG4baapaqabaGc peGaeyypa0JaamyDa8aadaWgaaWcbaWdbiaadIhacaaIWaaapaqaba GcpeGaey4kaSIaamyDamaaDaaaleaacaWG4baakeaacaGGNaaaaaaa @466B@ , u y = u y0 + u y ' MathType@MTEF@5@5@+= feaahqart1ev3aqatCvAUfeBSjuyZL2yd9gzLbvyNv2Caerbov2D09 MBaeXatLxBI9gBaerbd9wDYLwzYbItLDharuavP1wzZbItLDhis9wB H5garqqtubsr4rNCHbGeaGqipy0de9vqqrpepC0xbbL8F4rqqrFfpe ea0pd9Zqpe0xc9q8qqaqFn0dXdir=xcvk9pIe9q8qqaq=dir=f0=yq aqVeLsFr0=vr0=vr0db8meaabaqaciaacaGaaeqabaWaaqaafaaake aaqaaaaaaaaaWdbiaadwhapaWaaSbaaSqaa8qacaWG5baapaqabaGc peGaeyypa0JaamyDa8aadaWgaaWcbaWdbiaadMhacaaIWaaapaqaba GcpeGaey4kaSIaamyDamaaDaaaleaacaWG5baakeaacaGGNaaaaaaa @466E@  и u z = u z0 + u z ' MathType@MTEF@5@5@+= feaahqart1ev3aqatCvAUfeBSjuyZL2yd9gzLbvyNv2Caerbov2D09 MBaeXatLxBI9gBaerbd9wDYLwzYbItLDharuavP1wzZbItLDhis9wB H5garqqtubsr4rNCHbGeaGqipy0de9vqqrpepC0xbbL8F4rqqrFfpe ea0pd9Zqpe0xc9q8qqaqFn0dXdir=xcvk9pIe9q8qqaq=dir=f0=yq aqVeLsFr0=vr0=vr0db8meaabaqaciaacaGaaeqabaWaaqaafaaake aaqaaaaaaaaaWdbiaadwhapaWaaSbaaSqaa8qacaWG6baapaqabaGc peGaeyypa0JaamyDa8aadaWgaaWcbaWdbiaadQhacaaIWaaapaqaba GcpeGaey4kaSIaamyDamaaDaaaleaacaWG6baakeaacaGGNaaaaaaa @4671@ . Теперь, принимая во внимание ϑ l0 = ϑ l0 z MathType@MTEF@5@5@+= feaahqart1ev3aqatCvAUfeBSjuyZL2yd9gzLbvyNv2Caerbov2D09 MBaeXatLxBI9gBaerbd9wDYLwzYbItLDharuavP1wzZbItLDhis9wB H5garqqtubsr4rNCHbGeaGqipy0de9vqqrpepC0xbbL8F4rqqrFfpe ea0pd9Zqpe0xc9q8qqaqFn0dXdir=xcvk9pIe9q8qqaq=dir=f0=yq aqVeLsFr0=vr0=vr0db8meaabaqaciaacaGaaeqabaWaaqaafaaake aaqaaaaaaaaaWdbiabeg9ak9aadaWgaaWcbaWdbiaadYgacaaIWaaa paqabaGcpeGaeyypa0Jaeqy0dO0damaaBaaaleaapeGaamiBaiaaic daa8aabeaak8qadaqadaWdaeaapeGaamOEaaGaayjkaiaawMcaaaaa @4755@ , получаем

ϑ l ' t υ s d ϑ l0 dz υ s ϑ l ' z + u x0 + u x ' ϑ l ' x + u y0 + u y ' ϑ l ' y + u z0 + u z ' d ϑ l0 dz + ϑ l ' z = = D l d 2 ϑ l0 d z 2 + 2 ϑ l ' z 2 + 2 ϑ l ' x 2 + 2 ϑ l ' y 2 . MathType@MTEF@5@5@+= feaahqart1ev3aqatCvAUfeBSjuyZL2yd9gzLbvyNv2Caerbov2D09 MBaeXatLxBI9gBaerbd9wDYLwzYbItLDharuavP1wzZbItLDhis9wB H5garqqtubsr4rNCHbGeaGqipy0de9vqqrpepC0xbbL8F4rqqrFfpe ea0pd9Zqpe0xc9q8qqaqFn0dXdir=xcvk9pIe9q8qqaq=dir=f0=yq aqVeLsFr0=vr0=vr0db8meaabaqaciaacaGaaeqabaWaaqaafaaakq aabeqaaabaaaaaaaaapeWaaSaaa8aabaWdbiabgkGi2kabeg9aknaa DaaaleaacaWGSbaakeaacaGGNaaaaaWdaeaapeGaeyOaIyRaamiDaa aacqGHsislcqaHfpqDpaWaaSbaaSqaa8qacaWGZbaapaqabaGcpeWa aSaaa8aabaWdbiaadsgacqaHrpGspaWaaSbaaSqaa8qacaWGSbGaaG imaaWdaeqaaaGcbaWdbiaadsgacaWG6baaaiabgkHiTiabew8a19aa daWgaaWcbaWdbiaadohaa8aabeaak8qadaWcaaWdaeaapeGaeyOaIy Raeqy0dO0aa0baaSqaaiaadYgaaOqaaiaacEcaaaaapaqaa8qacqGH ciITcaWG6baaaiabgUcaRmaabmaapaqaa8qacaWG1bWdamaaBaaale aapeGaamiEaiaaicdaa8aabeaak8qacqGHRaWkcaWG1bWaa0baaSqa aiaadIhaaOqaaiaacEcaaaaacaGLOaGaayzkaaWaaSaaa8aabaWdbi abgkGi2kabeg9aknaaDaaaleaacaWGSbaakeaacaGGNaaaaaWdaeaa peGaeyOaIyRaamiEaaaacqGHRaWkdaqadaWdaeaapeGaamyDa8aada WgaaWcbaWdbiaadMhacaaIWaaapaqabaGcpeGaey4kaSIaamyDamaa DaaaleaacaWG5baakeaacaGGNaaaaaGaayjkaiaawMcaamaalaaapa qaa8qacqGHciITcqaHrpGsdaqhaaWcbaGaamiBaaGcbaGaai4jaaaa a8aabaWdbiabgkGi2kaadMhaaaGaey4kaSYaaeWaa8aabaWdbiaadw hapaWaaSbaaSqaa8qacaWG6bGaaGimaaWdaeqaaOWdbiabgUcaRiaa dwhadaqhaaWcbaGaamOEaaGcbaGaai4jaaaaaiaawIcacaGLPaaada qadaWdaeaapeWaaSaaa8aabaWdbiaadsgacqaHrpGspaWaaSbaaSqa a8qacaWGSbGaaGimaaWdaeqaaaGcbaWdbiaadsgacaWG6baaaiabgU caRmaalaaapaqaa8qacqGHciITcqaHrpGsdaqhaaWcbaGaamiBaaGc baGaai4jaaaaa8aabaWdbiabgkGi2kaadQhaaaaacaGLOaGaayzkaa Gaeyypa0dabaGaeyypa0Jaamira8aadaWgaaWcbaWdbiaadYgaa8aa beaak8qadaqadaWdaeaapeWaaSaaa8aabaWdbiaadsgapaWaaWbaaS qabeaapeGaaGOmaaaakiabeg9ak9aadaWgaaWcbaWdbiaadYgacaaI WaaapaqabaaakeaapeGaamizaiaadQhapaWaaWbaaSqabeaapeGaaG OmaaaaaaGccqGHRaWkdaWcaaWdaeaapeGaeyOaIy7damaaCaaaleqa baWdbiaaikdaaaGccqaHrpGsdaqhaaWcbaGaamiBaaGcbaGaai4jaa aaa8aabaWdbiabgkGi2kaadQhapaWaaWbaaSqabeaapeGaaGOmaaaa aaGccqGHRaWkdaWcaaWdaeaapeGaeyOaIy7damaaCaaaleqabaWdbi aaikdaaaGccqaHrpGsdaqhaaWcbaGaamiBaaGcbaGaai4jaaaaa8aa baWdbiabgkGi2kaadIhapaWaaWbaaSqabeaapeGaaGOmaaaaaaGccq GHRaWkdaWcaaWdaeaapeGaeyOaIy7damaaCaaaleqabaWdbiaaikda aaGccqaHrpGsdaqhaaWcbaGaamiBaaGcbaGaai4jaaaaa8aabaWdbi abgkGi2kaadMhapaWaaWbaaSqabeaapeGaaGOmaaaaaaaakiaawIca caGLPaaacaGGUaaaaaa@C5E2@

Важными аспектами выполненного анализа являются следующие факторы:

(i) В теории учитываются только линейные члены по морфологическим и динамическим возмущениям.

(ii) Учитывается, что уравнение стационарной теплопроводности имеет вид:

υ s d ϑ l0 dz = D l d 2 ϑ l0 d z 2 . MathType@MTEF@5@5@+= feaahqart1ev3aqatCvAUfeBSjuyZL2yd9gzLbvyNv2Caerbov2D09 MBaeXatLxBI9gBaerbd9wDYLwzYbItLDharuavP1wzZbItLDhis9wB H5garqqtubsr4rNCHbGeaGqipy0de9vqqrpepC0xbbL8F4rqqrFfpe ea0pd9Zqpe0xc9q8qqaqFn0dXdir=xcvk9pIe9q8qqaq=dir=f0=yq aqVeLsFr0=vr0=vr0db8meaabaqaciaacaGaaeqabaWaaqaafaaake aaqaaaaaaaaaWdbiabgkHiTGGaciab=v8a19aadaWgaaWcbaWdbiaa dohaa8aabeaak8qadaWcaaWdaeaapeGaamizaiabeg9ak9aadaWgaa WcbaWdbiaadYgacaaIWaaapaqabaaakeaapeGaamizaiaadQhaaaGa eyypa0Jaamira8aadaWgaaWcbaWdbiaadYgaa8aabeaak8qadaWcaa WdaeaapeGaamiza8aadaahaaWcbeqaa8qacaaIYaaaaOGaeqy0dO0d amaaBaaaleaapeGaamiBaiaaicdaa8aabeaaaOqaa8qacaWGKbGaam OEa8aadaahaaWcbeqaa8qacaaIYaaaaaaakiaac6caaaa@53D9@

(iii) Учитываются граничные условия прилипания жидкости к межфазной границе:

u x0 = u y0 = u z0 , ïðè z=0. MathType@MTEF@5@5@+= feaahqart1ev3aqatCvAUfeBSjuyZL2yd9gzLbvyNv2Caerbov2D09 MBaeXatLxBI9gBaerbd9wDYLwzYbItLDharuavP1wzZbItLDhis9wB H5garqqtubsr4rNCHbGeaGqipy0de9vqqrpepC0xbbL8F4rqqrFfpe ea0pd9Zqpe0xc9q8qqaqFn0dXdir=xcvk9pIe9q8qqaq=dir=f0=yq aqVeLsFr0=vr0=vr0db8meaabaqaciaacaGaaeqabaWaaqaafaaake aaqaaaaaaaaaWdbiaadwhapaWaaSbaaSqaa8qacaWG4bGaaGimaaWd aeqaaOWdbiabg2da9iaadwhapaWaaSbaaSqaa8qacaWG5bGaaGimaa WdaeqaaOWdbiabg2da9iaadwhapaWaaSbaaSqaa8qacaWG6bGaaGim aaWdaeqaaOWdbiaacYcacaa5GcGaam47aiaadcpacaWGOdGaaqoOai aadQhacqGH9aqpcaaIWaGaaiOlaaaa@531B@

(iv) Учитывается линейный вид возмущения скорости жидкости:

u z = u z0 + u z0 z Z + u z ' =0,  MathType@MTEF@5@5@+= feaahqart1ev3aqatCvAUfeBSjuyZL2yd9gzLbvyNv2Caerbov2D09 MBaeXatLxBI9gBaerbd9wDYLwzYbItLDharuavP1wzZbItLDhis9wB H5garqqtubsr4rNCHbGeaGqipy0de9vqqrpepC0xbbL8F4rqqrFfpe ea0pd9Zqpe0xc9q8qqaqFn0dXdir=xcvk9pIe9q8qqaq=dir=f0=yq aqVeLsFr0=vr0=vr0db8meaabaqaciaacaGaaeqabaWaaqaafaaake aaqaaaaaaaaaWdbiaadwhapaWaaSbaaSqaa8qacaWG6baapaqabaGc peGaeyypa0JaamyDa8aadaWgaaWcbaWdbiaadQhacaaIWaaapaqaba GcpeGaey4kaSYaaSaaa8aabaWdbiabgkGi2kaadwhapaWaaSbaaSqa a8qacaWG6bGaaGimaaWdaeqaaaGcbaWdbiabgkGi2kaadQhaaaGabm OwayaafaGaey4kaSIaamyDamaaDaaaleaacaWG6baakeaacaGGNaaa aiabg2da9iaaicdacaGGSaGaaqoOaaaa@5355@  при z=0 MathType@MTEF@5@5@+= feaahqart1ev3aqatCvAUfeBSjuyZL2yd9gzLbvyNv2Caerbov2D09 MBaeXatLxBI9gBaerbd9wDYLwzYbItLDharuavP1wzZbItLDhis9wB H5garqqtubsr4rNCHbGeaGqipy0de9vqqrpepC0xbbL8F4rqqrFfpe ea0pd9Zqpe0xc9q8qqaqFn0dXdir=xcvk9pIe9q8qqaq=dir=f0=yq aqVeLsFr0=vr0=vr0db8meaabaqaciaacaGaaeqabaWaaqaafaaake aaqaaaaaaaaaWdbiaadQhacqGH9aqpcaaIWaaaaa@3ED9@  где   u z ' = U z Z , MathType@MTEF@5@5@+= feaahqart1ev3aqatCvAUfeBSjuyZL2yd9gzLbvyNv2Caerbov2D09 MBaeXatLxBI9gBaerbd9wDYLwzYbItLDharuavP1wzZbItLDhis9wB H5garqqtubsr4rNCHbGeaGqipy0de9vqqrpepC0xbbL8F4rqqrFfpe ea0pd9Zqpe0xc9q8qqaqFn0dXdir=xcvk9pIe9q8qqaq=dir=f0=yq aqVeLsFr0=vr0=vr0db8meaabaqaciaacaGaaeqabaWaaqaafaaake aaqaaaaaaaaaWdbiaaKdkacaWG1bWaa0baaSqaaiaadQhaaOqaaiaa cEcaaaGaeyypa0Jaamyva8aadaWgaaWcbaWdbiaadQhaa8aabeaak8 qaceWGAbGbauaacaGGSaaaaa@4569@  при  z=0. MathType@MTEF@5@5@+= feaahqart1ev3aqatCvAUfeBSjuyZL2yd9gzLbvyNv2Caerbov2D09 MBaeXatLxBI9gBaerbd9wDYLwzYbItLDharuavP1wzZbItLDhis9wB H5garqqtubsr4rNCHbGeaGqipy0de9vqqrpepC0xbbL8F4rqqrFfpe ea0pd9Zqpe0xc9q8qqaqFn0dXdir=xcvk9pIe9q8qqaq=dir=f0=yq aqVeLsFr0=vr0=vr0db8meaabaqaciaacaGaaeqabaWaaqaafaaake aaqaaaaaaaaaWdbiaaKdkacaWG6bGaeyypa0JaaGimaiaac6caaaa@4111@

Отметим, что подстановка в это уравнение возмущений, приводит к выражениям (12) и (14) при z=0. MathType@MTEF@5@5@+= feaahqart1ev3aqatCvAUfeBSjuyZL2yd9gzLbvyNv2Caerbov2D09 MBaeXatLxBI9gBaerbd9wDYLwzYbItLDharuavP1wzZbItLDhis9wB H5garqqtubsr4rNCHbGeaGqipy0de9vqqrpepC0xbbL8F4rqqrFfpe ea0pd9Zqpe0xc9q8qqaqFn0dXdir=xcvk9pIe9q8qqaq=dir=f0=yq aqVeLsFr0=vr0=vr0db8meaabaqaciaacaGaaeqabaWaaqaafaaake aaqaaaaaaaaaWdbiaadQhacqGH9aqpcaaIWaGaaiOlaaaa@3F8B@

×

Об авторах

Е. В. Маковеева

Уральский федеральный университет имени первого Президента России Б.Н. Ельцина

Email: dmitri.alexandrov@urfu.ru
Россия, Екатеринбург

И. Е. Корозникова

Уральский федеральный университет имени первого Президента России Б.Н. Ельцина

Email: dmitri.alexandrov@urfu.ru
Россия, Екатеринбург

А. Е. Глебова

Уральский федеральный университет имени первого Президента России Б.Н. Ельцина

Email: dmitri.alexandrov@urfu.ru
Россия, Екатеринбург

А. А. Иванов

Уральский федеральный университет имени первого Президента России Б.Н. Ельцина

Email: dmitri.alexandrov@urfu.ru
Россия, Екатеринбург

Д. В. Александров

Уральский федеральный университет имени первого Президента России Б.Н. Ельцина

Автор, ответственный за переписку.
Email: dmitri.alexandrov@urfu.ru
Россия, Екатеринбург

Список литературы

  1. Dantzig J.A., Rappaz M. Solidification: 2nd Edition – Revised & Expanded. EPFL Press, Lausanne. 2017.
  2. Fisher D., Kurz W. Fundamentals of solidification // Fundamentals of Solidification. 1998. P. 1–316.
  3. Alexandrov D.V., Zubarev A.Y. Patterns in soft and biological matters // Philosophical Transactions of the Royal Society A. 2020. 378. № 2171. P. 20200002.
  4. Kurz W., Fisher D.J., Trivedi R. Progress in modelling solidification microstructures in metals and alloys: dendrites and cells from 1700 to 2000 // International Materials Reviews. 2019. 64. № 6. P. 311–354.
  5. Kurz W., Rappaz M., Trivedi R. Progress in modelling solidification microstructures in metals and alloys. Part II: dendrites from 2001 to 2018 // International Materials Reviews. 2021. 66. № 1. P. 30–76.
  6. Galenko P.K., Toropova L.V., Alexandrov D.V., Phanikumar G., Assadi H., Reinartz M., Paul P., Fang Y., Lippmann S. Anomalous kinetics, patterns formation in recalescence, and final microstructure of rapidly solidified Al-rich Al-Ni alloys // Acta Materialia. 2022. 241. P. 118384.
  7. Alexandrov D.V., Galenko P.K. The shape of dendritic tips // Philosophical Transactions of the Royal Society A. 2020. 378. № 2171. P. 20190243.
  8. Александров Д.В., Дубовой Г.Ю., Малыгин А.П., Низовцева И.Г., Торопова Л.В. Затвердевание трехкомпонентных систем с нелинейной фазовой диаграммой // Расплавы. 2017. № 1. С. 3–17.
  9. Александров Д.В., Низовцева И.Г., Александрова И.В., Иванов А.А., Стародумов И.О., Торопова Л.В., Гусакова О.В., Шепелевич В.Г. К теории направленного затвердевания при наличии области фазового превращения // Расплавы. 2020. № 5. С. 469–479.
  10. Ivanov A.A., Alexandrova I.V., Alexandrov D.V. Towards the theory of phase transformations in metastable liquids. Analytical solutions and stability analysis // European Physical Journal Special Topics. 2020. 229. P. 365–373.
  11. Wang H., Liu F., Wang K., Zhai H. Oscillatory morphological stability for rapid directional solidification: effect of non-linear liquidus and solidus // Acta Materialia. 2011. 59. № 14. P. 5859–5867.
  12. Makoveeva E.V., Ivanov A.A., Alexandrova I.V., Alexandrov D.V. Directional crystallization with a mushy region. Part 1: linear analysis of dynamic stability // European Physical Journal Special Topics. 2023. 232. P. 1119–1127.
  13. Makoveeva E.V., Ivanov A.A., Alexandrova I.V., Alexandrov D.V. Directional crystallization with a mushy region. Part 2: nonlinear analysis of dynamic stability // European Physical Journal Special Topics. 2023. 232. P. 1129–1139.
  14. Mullins W.W., Sekerka R.F. Stability of a planar interface during solidification of a dilute binary alloy // Journal of Applied Physics. 1964. 35. № 2. P. 444–451.
  15. Sekerka R.F. A stability function for explicit evaluation of the Mullins‐Sekerka interface stability criterion // Journal of Applied Physics. 1965. 36. № 1. P. 264–268.
  16. Sekerka R.F. Morphological stability // Journal of Crystal Growth. 1968. 3. P. 71–81.
  17. Cserti J., Tichy G. Stability of anisotropic liquid-solid interfaces // Acta Metallurgica. 1986. 34. № 6. P. 1029–1034.
  18. Wilson L.O. The effect of fluctuating growth rates on segregation in crystals grown from the melt // Journal of Crystal Growth. 1980. 48. № 3. P. 435–458.
  19. Wheeler A.A. The effect of a periodic growth rate on the morphological stability of a freezing binary alloy //Journal of Crystal Growth. 1984. 67. № 1. P. 8–26.
  20. Wollhöver K., Scheiwe M.W., Hartmann U., Körber C. On morphological stability of planar phase boundaries during unidirectional transient solidification of binary aqueous solutions // International Journal of Heat and Mass Transfer. 1985. 28. № 5. P. 897–902.
  21. Alexandrov D.V. Self-similar solidification: morphological stability of the regime // International Journal of Heat and Mass Transfer. 2004. 47. № 6–7. P. 1383–1389.
  22. Laxmanan V. Morphological transitions in the rapid solidification regime: a re-examination of the fundamental validity of the absolute stability concept of Mullins and Sekerka //Acta Metallurgica. 1989. 37. № 4. P. 1109–1119.
  23. Alexandrov D.V., Ivanov A.O. Dynamic stability analysis of the solidification of binary melts in the presence of a mushy region: changeover of instability // Journal of Crystal Growth. 2000. 210. № 4. P. 797–810.
  24. Alexandrov D.V., Malygin A.P. Convective instability of directional crystallization in a forced flow: the role of brine channels in a mushy layer on nonlinear dynamics of binary systems // International Journal of Heat and Mass Transfer. 2011. 54. № . 5–6. P. 1144–1149.
  25. Solomon T.H., Hartley R.R., Lee A.T. Aggregation and chimney formation during the solidification of ammonium chloride // Physical Review E. 1999. 60. № 3. P. 3063.
  26. Katz R.F., Worster M.G. Simulation of directional solidification, thermochemical convection, and chimney formation in a Hele-Shaw cell // Journal of Computational Physics. 2008. 227. № 23. P. 9823–9840.
  27. Delves R.T. Theory of stability of a solid-liquid interface during growth from stirred melts // Journal of Crystal Growth. 1968. 3. P. 562–568.
  28. Coriell S.R., Hurle D.T. J., Sekerka R.F. Interface stability during crystal growth: the effect of stirring // Journal of Crystal Growth. 1976. 32. № 1. P. 1–7.
  29. Favier J.J., Rouzaud A. Morphological stability of the solidification interface under convective conditions // Journal of Crystal Growth. 1983. 64. № 2. P. 367–379.
  30. Forth S.A., Wheeler A.A. Coupled convective and morphological instability in a simple model of the solidification of a binary alloy, including a shear flow // Journal of Fluid Mechanics. 1992. 236. P. 61–94.
  31. Chen Y.J., Davis S.H. Directional solidification of a binary alloy into a cellular convective flow: localized morphologies // Journal of Fluid Mechanics. 1999. 395. P. 253–270.
  32. Alexandrov D.V., Malygin A.P. Flow-induced morphological instability and solidification with the slurry and mushy layers in the presence of convection // International Journal of Heat and Mass Transfer. 2012. 55. № 11–12. P. 3196–3204.
  33. Makoveeva E.V., Alexandrov D.V. Morphological stability analysis of a planar crystallization front with convection // European Physical Journal Special Topics. 2023. 232. P. 1109–1117.
  34. Kerr R.C., Woods A.W., Worster M.G., Huppert H.E. Solidification of an alloy cooled from above Part 1. Equilibrium growth // Journal of Fluid Mechanics. 1990. 216. P. 323–342.
  35. Turner J.S., Huppert H.E., Sparks R.S.J. Komatiites II: Experimental and theoretical investigations of post-emplacement cooling and crystallization // Journal of Petrology. 1986. 27. № 2. P. 397–437.
  36. Peppin S.S. L., Aussillous P., Huppert H.E., Worster M.G. Steady-state mushy layers: experiments and theory //Journal of Fluid Mechanics. 2007. 570. P. 69–77.
  37. Peppin S.S. L., Huppert H.E., Worster M.G. Steady-state solidification of aqueous ammonium chloride // Journal of Fluid Mechanics. 2008. 599. P. 465–476.
  38. Huguet L., Alboussiere T., Bergman M.I., Deguen R., Labrosse S., Lesœur G. Structure of a mushy layer under hypergravity with implications for Earth’s inner core // Geophysical Journal International. 2016. 204. № 3. P. 1729–1755.
  39. Alexandrov D.V., Netreba A.V., Malygin A.P. Time-dependent crystallization in magma chambers and lava lakes cooled from above: the role of convection and kinetics on nonlinear dynamics of binary systems // International Journal of Heat and Mass Transfer. 2012. 55. № 4. P. 1189–1196.
  40. Nizovtseva I.G., Alexandrov D.V. The effect of density changes on crystallization with a mushy layer // Philosophical Transactions of the Royal Society A. 2020. 378. № 2171. P. 20190248.
  41. Makoveeva E.V. Steady-state crystallization with a mushy layer: a test of theory with experiments // European Physical Journal Special Topics. 2023. P. 1165 –1169.
  42. Galenko P.K., Danilov D.A. Selection of the dynamically stable regime of rapid solidification front motion in an isothermal binary alloy // Journal of Crystal Growth. – 2000. 216. № 1–4. P. 512–526.
  43. Alexandrov D.V., Mansurov V.V. Dynamic stability of a solidification process of a binary melt in the presence of a broad quasiequilibrium mushy region //Scripta Materialia. 1996. 35. № 7. P. 787–790.
  44. Buevich Y.A., Iskakova L.Y., Mansurov V.V. Design of processes involving directional solidification with an equilibrium two-phase zone // Teplofizika Vysokikh Temperatur. 1991. 29. № 2. P. 286–293.
  45. Alexandrov D., Buyevich Y., Mansurov V., Vabischevich P., Churbanov A. Directional solidification of binary melts in the presence of a mushy region // Numerical Methods in Engineering’96 (Paris, 9–13 September 1996). 1996. С. 697–706.
  46. Чернов А.А. Об одной модели затвердевания магмы в процессе эксплозивного вулканического извержения // Прикладная механика и техническая физика. ٢٠٠٣. 44. № 5. С. 89–90.
  47. Долбак А.Е., Жачук Р.А., Ольшанецкий Б.З. Диффузия Cu по чистой поверхности Si (١١١) // Физика и техника полупроводников. ٢٠٠١. 35. № 9. С. 1063–1066.
  48. Pelcé P. Dynamics of Curved Fronts. Academic Press, Boston, MA. 1988.
  49. Bouissou P., Pelcé P. Effect of a forced flow on dendritic growth // Physical Review A. 1989. 40. № 11. P. 6673.
  50. Alexandrov D.V., Galenko P.K. Dendritic growth with the six-fold symmetry: theoretical predictions and experimental verification // Journal of Physics and Chemistry of Solids. 2017. 108. P. 98–103.
  51. Kessler D.A., Koplik J., Levine H. Pattern selection in fingered growth phenomena // Advances in Physics. 1988. 37. № 3. P. 255–339.
  52. Торопова Л.В., Александров Д.В., Галенко П.К. К вопросу об устойчивом росте анизотропного дендрита при конвективном теплопереносе в жидкой фазе у поверхности дендрита // Расплавы. ٢٠١٨. № 3. С. 320–329.
  53. Feltham D.L., Worster M.G. Flow-induced morphological instability of a mushy layer // Journal of Fluid Mechanics. 1999. 391. P. 337–357.
  54. Feltham D.L., Worster M.G., Wettlaufer J.S. The influence of ocean flow on newly forming sea ice //Journal of Geophysical Research: Oceans. 2002. 107. – № C2. P. 1119.
  55. Alexandrov D.V., Malygin A.P. Convective instability of solidification with a phase transition zone // Journal of Experimental and Theoretical Physics. 2011. 112. P. 596–601.

Дополнительные файлы

Доп. файлы
Действие
1. JATS XML
2. Рис. 1. а  Схема морфологически неустойчивой кристаллизации с плоской границей раздела «твердое тело-жидкость»; б  схема динамически неустойчивой кристаллизации с поверхностью разрыва.

Скачать (277KB)
3. Рис. 2. а  Дисперсионные кривые, построенные в соответствии с выражением (15),  м/с; б  частота возмущений в зависимости от скорости кристаллизации при  (динамические возмущения), показанная в соответствии с выражением (15). Для каждой температуры имеется два решения: одно решение устойчивое, при , второе  неустойчивое, при . Физические параметры взяты для расплавленного металла из работы [34] (табл. 1).

Скачать (188KB)
4. Рис. 3. а  Дисперсионные кривые, построенные в соответствии с выражением (15),  м/с; б  частота возмущения в зависимости от скорости кристаллизации при  (динамические возмущения), показанная в соответствии с выражением (15). Для каждой температуры имеется два решения, одно решение устойчивое, при , второе  неустойчивое, при . Физические параметры взяты для магмы [34] (табл.1).

Скачать (158KB)
5. Рис. 4. Зависимость частоты динамических возмущений от скорости кристаллизации в соответствии с выражением (27) для магмы. Физические параметры магмы приведены в табл. 1 по данным работ [34, 46].

Скачать (65KB)

© Российская академия наук, 2024

Согласие на обработку персональных данных с помощью сервиса «Яндекс.Метрика»

1. Я (далее – «Пользователь» или «Субъект персональных данных»), осуществляя использование сайта https://journals.rcsi.science/ (далее – «Сайт»), подтверждая свою полную дееспособность даю согласие на обработку персональных данных с использованием средств автоматизации Оператору - федеральному государственному бюджетному учреждению «Российский центр научной информации» (РЦНИ), далее – «Оператор», расположенному по адресу: 119991, г. Москва, Ленинский просп., д.32А, со следующими условиями.

2. Категории обрабатываемых данных: файлы «cookies» (куки-файлы). Файлы «cookie» – это небольшой текстовый файл, который веб-сервер может хранить в браузере Пользователя. Данные файлы веб-сервер загружает на устройство Пользователя при посещении им Сайта. При каждом следующем посещении Пользователем Сайта «cookie» файлы отправляются на Сайт Оператора. Данные файлы позволяют Сайту распознавать устройство Пользователя. Содержимое такого файла может как относиться, так и не относиться к персональным данным, в зависимости от того, содержит ли такой файл персональные данные или содержит обезличенные технические данные.

3. Цель обработки персональных данных: анализ пользовательской активности с помощью сервиса «Яндекс.Метрика».

4. Категории субъектов персональных данных: все Пользователи Сайта, которые дали согласие на обработку файлов «cookie».

5. Способы обработки: сбор, запись, систематизация, накопление, хранение, уточнение (обновление, изменение), извлечение, использование, передача (доступ, предоставление), блокирование, удаление, уничтожение персональных данных.

6. Срок обработки и хранения: до получения от Субъекта персональных данных требования о прекращении обработки/отзыва согласия.

7. Способ отзыва: заявление об отзыве в письменном виде путём его направления на адрес электронной почты Оператора: info@rcsi.science или путем письменного обращения по юридическому адресу: 119991, г. Москва, Ленинский просп., д.32А

8. Субъект персональных данных вправе запретить своему оборудованию прием этих данных или ограничить прием этих данных. При отказе от получения таких данных или при ограничении приема данных некоторые функции Сайта могут работать некорректно. Субъект персональных данных обязуется сам настроить свое оборудование таким способом, чтобы оно обеспечивало адекватный его желаниям режим работы и уровень защиты данных файлов «cookie», Оператор не предоставляет технологических и правовых консультаций на темы подобного характера.

9. Порядок уничтожения персональных данных при достижении цели их обработки или при наступлении иных законных оснований определяется Оператором в соответствии с законодательством Российской Федерации.

10. Я согласен/согласна квалифицировать в качестве своей простой электронной подписи под настоящим Согласием и под Политикой обработки персональных данных выполнение мною следующего действия на сайте: https://journals.rcsi.science/ нажатие мною на интерфейсе с текстом: «Сайт использует сервис «Яндекс.Метрика» (который использует файлы «cookie») на элемент с текстом «Принять и продолжить».