Towards a theory of growth of a crystal system in supercooled/supersaturated liquids
- Authors: Makoveeva E.V.1, Koroznikova I.E.1, Glebova A.E.1, Ivanov A.A.1, Nikishina M.A.1, Toropova L.V.1, Alexandrov D.V.1
-
Affiliations:
- Ural Federal University named after B.N. Yeltsin
- Issue: No 1 (2024)
- Pages: 36-59
- Section: Articles
- URL: https://journals.rcsi.science/0235-0106/article/view/256462
- DOI: https://doi.org/10.31857/S0235010624010041
- ID: 256462
Cite item
Full Text
Abstract
The process of nucleation and growth of spherical crystals at initial and intermediate stages of bulk crystallization in metastable liquids (supercooled melts and supersaturated solutions) is studied. An integrodifferential model of the balance and kinetic equations with corresponding boundary and initial conditions is formulated taking into account non-stationary temperature/concentration field around each evolving particle (taking into account its non-stationary growth rate). The model is solved using the saddle-point method for calculating a Laplace-type integral in parametric form. The particle-radius distribution function, supercooling/supersaturation of the liquid, total number of particles in the liquid and their average size are found analytically. Melt supercooling (solution supersaturation) decreases with time due to the release of latent heat of the phase transformation by the growing crystals. The particle-radius distribution function is limited by the maximum size of crystals and shifts towards larger sizes with time as a result of nucleation of new crystals and growth of existing crystals.
Full Text
ВВЕДЕНИЕ
Объемные фазовые превращения из метастабильного и неравновесного состояния широко распространены в природе (замерзание воды, застывание лавы), а также часто используются в лабораторных и промышленных установках для кристаллизации металлических расплавов и пересыщенных растворов (например, затвердевание жидких капель в электромагнитных левитаторах) [1–7]. Важным примером практического применения являются кристаллизаторы с непрерывным перемешиванием для производства фармацевтических препаратов и пищевых добавок с особыми свойствами [8–11].
Все эти процессы основаны на эволюции полидисперсного ансамбля частиц на начальных и промежуточных стадиях объемной кристаллизации, когда размеры кристаллов малы, а среднее расстояние между ними намного больше их характерного размера. Кинетические и балансовые уравнения, описывающие эти стадии процесса объемной кристаллизации, зависят от скорости роста отдельных кристаллов, которые в свою очередь зависят от текущего размера частиц (радиуса или объема частиц) и переохлаждения/пересыщения жидкости [12–16].
Чтобы определить зависимость скорости роста отдельной частицы от этих переменных, необходимо решить задачу типа задачи Стефана для роста сферического агрегата в переохлажденной/пересыщенной жидкости. Такая задача с неизвестной подвижной границей фазового превращения не имеет точного аналитического решения. Поэтому одним из часто используемых подходов для определения скорости роста отдельной частицы является гипотеза о квазистационарном тепловом/концентрационном поле вокруг этой частицы. При таком предположении можно интегрировать уравнение теплопроводности/диффузии примеси, не зависящее от времени. В результате получается квазистационарная скорость роста для отдельной частицы, которая приблизительно описывает эволюцию кристалла только для достаточно медленных процессов его роста [15, 16].
Однако, когда на начальных стадиях система сильно переохлаждена/пересыщена, зародыши новой фазы оказываются в крайне неравновесных условиях и растут с большой скоростью. В этом случае гипотеза о квазистационарности теплового/концентрационного поля вокруг каждого растущего зародыша не может адекватно соответствовать рассматриваемому процессу.
Для того, чтобы учесть нестационарность теплового/концентрационного поля вокруг сферического зародыша, была разработана аналитическая теория на основе приближенного решения задачи Стефана с использованием метода дифференциальных рядов [17–19]. Таким образом была определена скорость роста отдельной частицы в тепловом поле [17], концентрационном поле [18] и термоконцентрационном поле [19].
Найденные законы для скорости роста зародыша зависят от времени и переохлаждения/пересыщения жидкости. Устранив явную зависимость от времени с помощью соответствующего выражения для радиуса частицы, ученые нашли скорость роста сферических кристаллов в зависимости от их радиуса и текущего значения переохлаждения/пересыщения жидкости [20, 21]. Эти законы существенно отличаются от ранее известных квазистационарных формул и имеют предельные переходы к ним.
Данная работа посвящена математическому моделированию роста полидисперсного ансамбля сферических кристаллов в переохлажденных/пересыщенных жидкостях с учетом нестационарной скорости роста каждой отдельной частицы. Для решения интегро-дифференциальной модели используется метод седловой точки для вычисления интеграла лапласовского типа [22, 23]. Показано, что этот метод сходится достаточно быстро и нескольких первых членов разложения достаточно для описания реальной кристаллизующейся системы.
УРАВНЕНИЯ МОДЕЛИ
Рассмотрим однокомпонентную переохлажденную или пересыщенную систему, в которой происходят нуклеация и рост частиц. Частота (темп) нуклеации является основным кинетическим параметром уменьшения степени метастабильности жидкости.
Методы расчета частоты нуклеации частиц, а также сама молекулярно-кинетическая теория зарождения рассматриваются во многих работах (см., например, [24, 25]). Молекулярно-кинетическая теория нуклеации основана на предположении, что в результате флуктуаций плотности в метастабильных расплавах или растворах могут образовываться микроядра новой фазы. Впоследствии эти ядра становятся способными к дальнейшему росту, когда их размер превышает критический радиус r*.
Из термодинамики известно, что для возникновения сферической частицы новой фазы радиусом r в первоначально однокомпонентной системе необходимо совершить работу, равную
(1)
где: γi - поверхностное натяжение, ρs – плотность стабильной твердой фазы, и μl > μs – химические потенциалы исходной жидкой и стабильной твердой фаз.
Для метастабильной жидкой системы μl > μs , следовательно,W(r) достигает максимума, соответствующего некоторому критическому размеру частиц r*. Поскольку W(r) равно изменению термодинамического потенциала Гиббса, который минимален в стабильном состоянии, частицы с радиусом r < r* неустойчивы и исчезают, а частицы с радиусом r > r* неустойчивы и растут. Ядра с радиусом r = r* находятся в неустойчивом равновесии с матричной средой. Работа их образования W* следует из уравнения (1) при r = r*:
(2)
Разность между химическими потенциалами может быть рассчитана из уравнения Гиббса–Гельмгольца [26]:
(3)
где L — скрытая теплота фазового перехода на единицу массы вещества, ϑl и ϑp – температуры расплава и фазового перехода.
Возникновение ядер новой фазы в метастабильной системе можно рассматривать как прохождение через энергетический барьер высотой W*, который препятствует зарождению. В этом случае скорость нуклеации I может быть представлена как экспоненциальная функция высоты энергетического барьера [25–27]. Следовательно, используя уравнения (2) и (3), имеем
(4)
где kB — постоянная Больцмана.
Можно также отметить, что предэкспоненциальный фактор I* не сильно зависит от переохлаждения/пересыщения [24]. Предэкспоненциальный коэффициент может быть функцией r [28], но в рассматриваемой теории, где скорость нуклеации является частью граничного условия, I*
можно считать постоянным. Более того, поскольку , уравнение (4) может быть переписано как
(5)
Упомянутая модель справедлива для однокомпонентных расплавов и может быть модифицирована в случае бинарных расплавов, поскольку изменение свободной энергии в результате зарождения зависит от состава расплава. Как показано в работах [29–31], поверхностной примесной диффузией растущих зародышей можно пренебречь, и скорость нуклеации может быть записана аналогично уравнению (5). В этом случае температура фазового перехода ϑp, входящая в Δϑ, зависит от концентрации Cl примеси, и поэтому ϑp следует заменить функцией ϑp (Cl) . Для удобства введем начальное переохлаждение Δϑ0 и запишем уравнение (5) в виде
(6)
где p — безразмерное число Гиббса, соответствующее начальному переохлаждению Δϑ0, а уравнение (6) дает скорость нуклеации как функцию относительного переохлаждения ϖ = Δϑ /Δϑ0.
В случае пересыщенных растворов выражение, аналогичное уравнению (6), имеет вид [32],
, (7)
где Cp — концентрация при насыщении, Ms — молекулярная масса, Rg — универсальная газовая постоянная, ϑs — температура раствора.
Рост частиц в результате нуклеации включает поверхностные процессы, отвод тепла от границы раздела фаз или подвод кристаллизующегося компонента к этой границе. Такая задача представляет собой задачу тепломассопереноса стефановского типа с движущейся границей фазового перехода.
Далее будем использовать формулу, полученную в работах [20, 21] для скорости роста сферического кристалла в однокомпонентном переохлажденном расплаве. Это уравнение является обобщением, включающим в себя нестационарность теплового поля вокруг сферической частицы и зависимость температуры кристаллизации от кривизны межфазной границы:
(8)
где τ — время роста частицы, , , и — кинетические коэффициенты, а α — коэффициент поверхностного натяжения, λl — коэффициент теплопроводности (см. подробнее ссылки в работах [20, 21]).
Уравнение (8) показывает, что скорость роста является нелинейной функцией переохлаждения расплава Δϑ. Для очень маленьких кристаллов, когда , скорость роста не зависит от их размера для χ = 0.
В случае пересыщенных растворов выражение (8) преобразуется таким образом:
(9)
где Cp обозначает концентрацию насыщения.
Уравнение (9) показывает ту же зависимость скорости роста, но для пересыщенных систем, где ΔC и D — соответственно пересыщение и коэффициент диффузии.
Обратим внимание, что существуют теории роста, которые используют выражения, отличные от уравнений (8) и (9) [8–11]. Использование этих выражений позволяет изучить взаимодействие между зарождением и эволюцией ансамблей частиц в метастабильных средах. Теория, разработанная далее, может быть легко скорректирована для использования различных выражений скорости роста частиц.
Рассмотрим суспензию твердых сферических частиц в макроскопически однородной переохлажденной однокомпонентной или пересыщенной жидкости. Эволюция такой двухфазной среды описывается кинетическим уравнением типа Фоккера–Планка для функции распределения частиц по радиусу и уравнением теплового баланса для переохлаждения расплава Δϑ. Пренебрегая случайными флуктуациями в скоростях роста частиц и предполагая, что распределение температуры не зависит от пространственных координат, имеем
(10)
(11)
где ρm и Cm — постоянные плотность и теплоемкость, а τ обозначает время процесса эволюции системы частиц. Здесь мы предполагаем, что жидкость, которая ранее не содержала кристаллов, почти мгновенно охлаждается в нулевой момент времени до температуры ниже температуры кристаллизации на величину Δϑ0. Тогда граничные условия, накладываемые на решения уравнений (10) и (11), имеют вид
(12)
(13)
Последнее условие определяет поток кристаллов, который проходит критический барьер нуклеации. Выражения (4)–(13) представляют собой общую систему уравнений для описания начальной и промежуточной стадий объемной кристаллизации.
КИНЕТИКА СНЯТИЯ ПЕРЕОХЛАЖДЕНИЯ/ПЕРЕСЫЩЕНИЯ
Введем, а также следующие безразмерные функции и параметры
(14)
Здесь t и s — безразмерные временная и пространственная переменные, ϖ — безразмерное переохлаждение, Ψ — безразмерная функция распределения частиц по радиусу, τ и l0 — характерные масштабы времени и длины, а безразмерные параметры b1 и описывают соответственно эффекты скрытой теплоты кристаллизации и поверхностного натяжения.
Упомянутая математическая модель может быть переписана в безразмерной форме с помощью выражений (14). Для простоты математических преобразований рассмотрим случай . Тогда получим
(15)
(16)
(17)
(18)
Уравнения модели (15)–(18) имеют место для переохлажденных и пересыщенных жидкостей, а функция g(ϖ) в граничном условии (18) определяет кинетику нуклеации. Например, рассматривая кинетику Вебера–Вольмера–Френкеля–Зельдовича (Weber–Volmer–Frenkel–Zel’dovich, WVFZ) для переохлажденных расплавов (подстрочный индекс sm), получаем из уравнения (6)
(19)
При анализе различных экспериментальных данных часто используется кинетика нуклеации Майера (Meirs) [33]. В этом случае, , и
(20)
Отметим, что параметр p для кинетики Майера должен быть найден из экспериментальных данных. Также следует учитывать, что ϖ — относительное переохлаждение, когда речь идет о переохлажденных расплавах.
По аналогии, анализируя пересыщенный раствор (подстрочный индекс ss), вводим следующие безразмерные функции и параметры:
(21)
Здесь ϖ — безразмерное пересыщение, ΔC0— начальное пересыщение раствора, описывает эффект концентрации при насыщении, а остальные безразмерные переменные и параметры описаны ранее.
Аналогично уравнению (19) для переохлажденных расплавов из уравнения (7) получаем следующее выражение для пересыщенных растворов, используя кинетику WVFZ [33]:
(22)
где . В случае кинетики Майера для пересыщенных растворов , что дает [33]
(23)
Отметим, что ϖ представляет собой относительное пересыщение, когда описывают пересыщенные растворы.
Особо подчеркнем, что выражения (15) и (16) являются сильно нелинейными интегро-дифференциальными уравнениями, которые управляют кинетикой переохлаждения/пересыщения. Решение этой модели основано на методе седловой точки для интеграла типа Лапласа [15, 33]. Используя эту технику, мы продемонстрируем аналитический метод решения рассматриваемой модели.
Для простоты рассмотрим случай пренебрежимо малого α*. Теория, учитывающая этот эффект, была разработана в статье [34]. Точное аналитическое решение уравнения (15), с условиями (17) и (18), имеет вид
(24)
где
где — модифицированное время, а — функция Хевисайда.
Интегрирование безразмерной скорости роста кристаллов дает
Этот закон роста получен для переохлажденных расплавов с помощью выражений (8) и (14). Имея дело с пересыщенными растворами, приходим к тому же результату, используя выражения (9) и (21). В обоих случаях получаем безразмерный радиус частицы s как функцию t и v с учетом начального условия s = 0 при t = v:
(25)
При v = 0 выражение (25) определяет радиус самых крупных частиц, существующих в метастабильной жидкости.
Заменяя теперь при любом фиксированном t на новую переменную v, получаем
Это выражение показывает, что пределы интегрирования и относительно t соответствуют пределам интегрирования v = t и v = 0 относительно v. Теперь, комбинируя (24), (25) и (16), имеем:
(26)
где
(27)
а определяется формулами (19), (20), (22) и (23).
Важным моментом является то, что для всех рассматриваемых кинетик нуклеации. Этот вывод следует из выражений (19), (20), (22) и (23). Например, рассматривая упомянутые кинетики для переохлажденных расплавов, получаем (WVFZ) и (Meirs). Это означает, что g(v) имеет точку максимума при v = 0 (в граничной точке).
Оценивая теперь производные по v с помощью выражения (26), получаем, что три первых из них равны нулю при v = 0 для всех кинетик нуклеации. Однако n-я производная при n ≥ 4. Первые ненулевые производные перечислены в табл. 1, где
Таблица 1. Параметры и функции аналитического решения для различных кинетических механизмов
Примечание: z = z(x1 (t)) = xi(t), а Ψ0, Ψ15, Ψ2 и Ψ3 приведены в прил. A.
Оценивая интеграл типа Лапласа (26) с помощью метода седловой точки [22, 23], получаем
(28)
(29)
где Г(‧) обозначает гамма-функцию Эйлера, а
Первые четыре коэффициента приведены в прил. А.
Подставляя
в левую часть выражения (26) с учетом (28), получаем дифференциальное уравнение для безразмерной степени метастабильности ϖ (переохлаждения или пересыщения)
Интегрируя это уравнение, имеем
(30)
Теперь, комбинируя (30) и , находим
(31)
Выражения (30) и (31) определяют полное аналитическое решение для ϖ в параметрической форме (x1 представляет собой параметр решения). Заметим, что ϖ0 — основной (фундаментальный) вклад, а ϖ = ϖi (i ≥ 1) дает i-е приближение, учитывающее поправки к ϖ0 (эти функции выписаны в прил. A и табл. 1). Для i-го приближения имеем
На рис. 1–5 показано аналитическое решение для степени метастабильности ϖ и функции распределения Ψ частиц по радиусам (теплофизические параметры приведены в табл. 2).
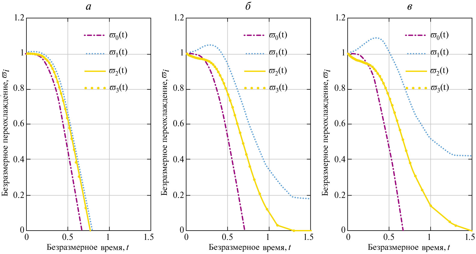
Рис. 1. Безразмерная степень метастабильности ϖ = Δϑ/Δϑ₀ в зависимости от безразмерного времени t = τ/τ₀ : а – кинетика нуклеации WVFZ для Δϑ₀ = 373K, р = 66.9 и γ* = 1.66·10⁻⁴; б – кинетика нуклеации WVFZ для Δϑ₀ = 573K, р = 7.4 и γ* = 2.18·10⁻⁴; в – кинетика нуклеации Meirs для Δϑ₀= 573K, р = 4 и γ* = 2.18·10⁻⁴.
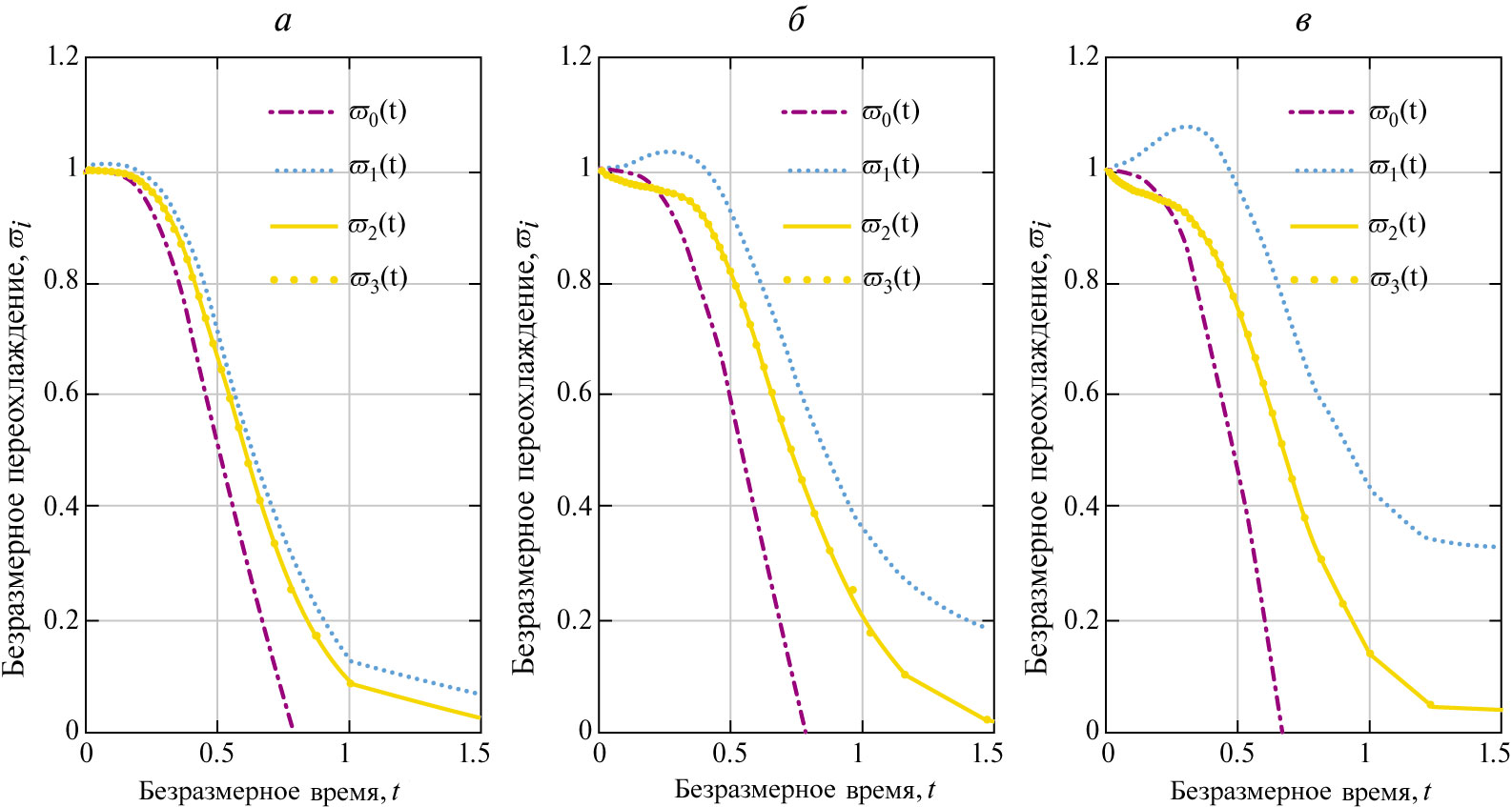
Рис. 2. Безразмерная степень метастабильности ϖ = Δϑ/Δϑ₀ в зависимости от безразмерного времени t = τ/τ₀ : а – кинетика нуклеации WVFZ для Δϑ₀ = 373K, р = 66.9 и γ* = 1.66·10⁻¹; б – кинетика нуклеации WVFZ для Δϑ₀ = 573K, р = 7.4 и γ* = 2.18·10⁻¹; в – кинетика нуклеации Meirs для Δϑ₀= 573K, р = 4 и γ* = 2.18·10⁻¹.
Табл. 2. Теплофизические параметры
Параметр | Значение |
Поверхностное натяжение, γi | 0.3 Дж/м2 |
Температура фазового перехода, ϑp | 1 273 K |
Плотность твердой фазы, ρs | 7.8103 кг/м3 |
Скрытая теплота, L | 0.9106 Дж/кг |
Плотность, ρ1, ρm | 7103 кг/м3 |
Коэффициент теплопроводности, λl | 63 Дж/м·К·с |
Кинетический коэффициент, β | 0.510–7 м/с·K |
Теплоемкость, Cm | 840 Дж/кг·К |
Частота нуклеации, I0 | 1011 1/м3·с |
Расчеты показывают, что основной вклад ϖ0 имеет правильную тенденцию, но численно отличается от полного решения уравнения (30) с поправками (отличается от решений ϖ2 и ϖ3). Принимая во внимание ϖ1, ϖ2 и ϖ3, приходим к выводу, что учет третьей (ϖ2) и четвертой (ϖ3) поправок дает почти совпадающее решение. Поэтому с практической точки зрения мы можем ограничиться третьим приближением ϖ2.
Наши расчеты показывают, что этот вывод справедлив и для достаточно малых значений p ∼10-1. В этом случае ряд (30) быстро сходится из-за малых значений γ* (которые порядка 10–2 – 10–4 для реальных метастабильных расплавов) при любых фиксированных x1 и t.
Аналитические решения (24) и (30) позволяют найти функцию распределения частиц по радиусам помня, что максимальный размер частиц задается формулой
(32)
Таким образом, функция распределения имеет вид:
(33)
где
Важным моментом является то, что переменная s всегда меньше или равна sm, а x1(t) определяется (31) как обратная функция. i-я аппроксимация функции распределения (33) приведена в прил. B.
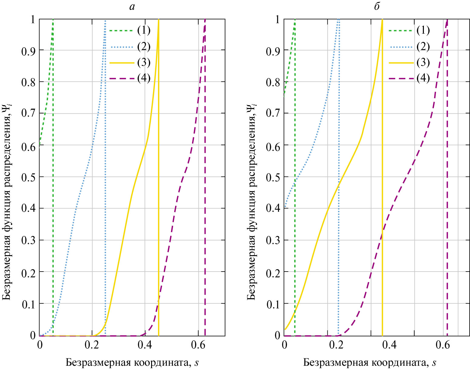
Рис. 3. Функция распределения Ψ(s,t) в зависимости от безразмерного радиуса кристаллов s = r/l₀ в различные элементы t = τ/τ₀ для кинетики нуклеации WVFZ, где Ψᵢ(s,t) = Ψ₃(s,t): a – Δϑ₀ = 373K, p = 66.9, (1) – x₁ = 0.05, t = 0.05, (2) – x₁ = 0.25, t = 0.254, (3) – x₁ = 0.45, t = 0.493, (4) – x₁ = 0.625, t = 1.489; б – Δϑ₀, (1) – x₁ = 0.05, t = 0.05, (2) – x₁ = 0.25, t = 0.255, (3) – x₁ = 0.45, t = 0.475, (4) – x₁ = 0.742, t = 2.038. Вертикальные линии показывают максимальный размер sm частиц для различных моментов времени. Линии (4), соответствуют полностью переохлажденной жидкости (ϖ = 0).
На рис. 3 показана функция распределения частиц по радиусам, построенная с учетом четырех коэффициентов ak (x1) (см. прил. A). Эта функция эволюционирует со временем и ограничена максимальным радиусом sm (t) сферических кристаллов.
В моменты, близкие к начальному времени, функция распределения содержит кристаллы размером 0 < s < sm (t). Кристаллы растут, выделяют скрытую теплоту кристаллизации и частично компенсируют переохлаждение жидкости. Поэтому процесс их зарождения практически прекращается, и происходит практически только укрупнение существующих частиц в менее переохлажденной жидкости (функция распределения смещается в сторону больших размеров кристаллов).
Полученные аналитические решения позволяют найти общее число N(x1(t)) частиц в метастабильной жидкости и их средний размер L̅(x1(t)) в момент :
(34)
(35)
i-е приближения этих функций выписаны в прил. B.
Особо отметим влияние нестационарности в скоростях роста частиц (параметр γ*) на эволюцию ансамбля кристаллов. Во-первых, при увеличении γ* скорость роста частиц уменьшается, кристаллы выделяют меньше теплоты кристаллизации, а степень метастабильности (переохлаждение или пересыщение) уменьшается медленнее.
Рис. 4. Функция распределения Ψ(s,t) в зависимости от безразмерного радиуса кристаллов s = r/l₀ в различные элементы t = τ/τ₀ для кинетики нуклеации WVFZ, где Ψᵢ(s,t) = Ψ₃(s,t): Δϑ₀ = 373K, p = 66.9 (1) – x₁ = 0.625, t = 1.489, (2) – x₁ = 0.639, t = 1.489. Вертикальные линии показывают максимальный размер sm частиц для различных времен.
i-е приближения для безразмерного числа кристаллов и их среднего радиуса показаны на рис. 5.
Рис. 5. Относительное количество кристаллов nᵢ = Nᵢ(x₁)/N₃(x*) (a) и их средний радиус uᵢ = L̅ᵢ(x₁)/L̅₃(x*) (б) в зависимости от безразмерного времени t = τ/τ₀ для кинетики нуклеации WVFZ, ∆i₀ = 573K , p = 7.4 . Здесь нижний индекс “*” обозначает полностью переохлажденное состояние жидкости (ϖ = 0, x* = 0.742, t* = 2.038).
Как легко видеть, третье и четвертое приближения совпадают, т. е. n2 ≈ n3, и u2 ≈ u3. Это снова означает быструю сходимость решений и возможность использования третьего приближения для практических расчетов.
Выпишем теперь переохлаждение расплава Δϑ и функцию распределения частиц по радиусу Ψ в размерной форме:
(36)
(37)
(38)
Эти формулы могут быть использованы для построения графика размерных значений переохлаждения расплава и функции распределения.
ЗАКЛЮЧЕНИЕ
В данном исследовании построена математическая модель эволюции полидисперсного ансамбля кристаллов с учетом нестационарной скорости роста каждого сферического зародыша. Теория учитывает нестационарность теплового/концентрационного поля вокруг растущего сферического кристалла. Эффект нестационарности входит в выражение для скорости роста сферического кристалла и существенно влияет на динамику кристаллического ансамбля в метастабильной жидкости.
Для решения интегро-дифференциальной модели кинетического и балансового уравнений с соответствующими граничными и начальными условиями был использован метод седловой точки. Этот метод позволил получить полное аналитическое решение задачи в параметрической форме (функция распределения частиц по радиусам, переохлаждение/пересыщение жидкости, общее количество частиц в жидкости и их средний размер).
Наши расчеты показывают, что первые четыре приближения по методу седловой точки дают сходящееся решение для рассматриваемых кинетик нуклеации (WVFZ и Meirs). Функция распределения увеличивается вплоть до максимального размера кристаллов и смещается в сторону больших радиусов с увеличением времени. Нестационарность роста отдельных частиц существенно влияет на динамическое поведение всего кристаллического ансамбля.
Довольно часто зарождение и рост кристаллов сопровождаются направленным фазовым превращением вдоль выбранного пространственного направления. Движущей силой для направленного движения является градиент температуры и/или концентрации. В таких процессах зарождение и рост кристаллов могут проиодить в двухфазном слое, заполненном дендритоподобными структурами [35–41]. Поэтому имеет смысл расширить настоящую теорию на такие более сложные системы с подвижными границами области кристаллизации. Это представляет собой важное направление для будущих исследований, которое следует развивать путем обобщения настоящей теории и теории двухфазного слоя [42–51].
Другим важным направлением расширения нашей теории является рассмотрение флуктуаций в скоростях роста частиц. Это явление описывается кинетическим уравнением второго порядка в терминах пространственной переменной [25] (методы его решения описаны в работах [1, 52–56] в применении к задачам о зарождении и росте кристаллов). В частности, такие флуктуации играют важную роль при высоких переохлаждениях/пересыщениях в метастабильной жидкости.
Развиваемая теория определяет начальное состояние расплавов и растворов на заключительной стадии фазового превращения, когда такие процессы, как оствальдово созревание, коагуляция и фрагментация кристаллов, являются преобладающими [25, 57–60].
Работа выполнена при финансовой поддержке Российского научного фонда (грант 23–19–00337).
ПРИЛОЖЕНИЕ A
Коэффициенты и функции, входящие в аналитическое решение:
ПРИЛОЖЕНИЕ B
i-е приближения для функции распределения частиц по радиусам, общего числа частиц и их среднего размера определяются следующими выражениями:
где i -0, 1, 2, ...
About the authors
E. V. Makoveeva
Ural Federal University named after B.N. Yeltsin
Email: dmitri.alexandrov@urfu.ru
Russian Federation, Yekaterinburg
I. E. Koroznikova
Ural Federal University named after B.N. Yeltsin
Email: dmitri.alexandrov@urfu.ru
Russian Federation, Yekaterinburg
A. E. Glebova
Ural Federal University named after B.N. Yeltsin
Email: dmitri.alexandrov@urfu.ru
Russian Federation, Yekaterinburg
A. A. Ivanov
Ural Federal University named after B.N. Yeltsin
Email: dmitri.alexandrov@urfu.ru
Russian Federation, Yekaterinburg
M. A. Nikishina
Ural Federal University named after B.N. Yeltsin
Email: dmitri.alexandrov@urfu.ru
Russian Federation, Yekaterinburg
L. V. Toropova
Ural Federal University named after B.N. Yeltsin
Email: dmitri.alexandrov@urfu.ru
Russian Federation, Yekaterinburg
D. V. Alexandrov
Ural Federal University named after B.N. Yeltsin
Author for correspondence.
Email: dmitri.alexandrov@urfu.ru
Russian Federation, Yekaterinburg
References
- Alexandrov D.V., Ivanov A.A., Nizovtseva I.G. et al. // Crystals. 2022. 12. № 7. Р. 949. https://doi.org/10.3390/cryst12070949
- Martin S., Kauffman P. The evolution of under-ice melt ponds, or double diffusion at the freezing point // Journal of Fluid Mechanics. 1974. 64. № 3. Р. 507–528.
- Kurz W., Fisher D. J. Fundamentals of Solidification. Aedermannsdorf: Trans Tech Publications, 1989.
- Alexandrov D.V., Malygin A.P. // Doklady earth sciences. Springer Nature BV, 2006. 411. № 2. Р. 1407–1411. https://doi.org/10.1134/S1028334X06090169
- Herlach D., Galenko P., Holland-Moritz D. Metastable Solids from Undercooled Melts. Amsterdam, The Netherlands: Elsevier, 2007.
- Alexandrov D.V., Malygin A.P. // Physics of the Earth and Planetary Interiors. 2011. 189. № 3–4. Р. 134–141. https://doi.org/10.1016/j.pepi.2011.08.004
- Alexandrov D.V., Zubarev A.Y. // Phil. Trans. R. Soc. А. 2019. 377. № 2143. Р. 20180353. https://doi.org/10.1098/rsta.2018.0353
- Vollmer U., Raisch J. // Control Engineering Practice. 2001. 9. № 8. Р. 837–845. https://doi.org/10.1016/S0967–0661(01)00048-X
- Rachah A., Noll D., Espitalier F., Baillon F. // Intern. J. of Math. Modelling and Numerical Optimisation. 2015. 6. № 2. Р. 159–183. https://doi.org/10.1504/IJMMNO.2015.069968
- Alexandrov D.V. // Chemical Engineering Science. 2014. 117. Р. 156–160. https://doi.org/10.1016/j.ces.2014.06.012
- Makoveeva E.V., Alexandrov D.V., Ivanov A.A. // Crystals. 2022. 12. № 11. Р. 1634. https://doi.org/10.3390/cryst12111634
- Buyevich Y.A., Mansurov V.V. // J. of crystal growth. 1990. 104. № 4. Р. 861–867. https://doi.org/10.1016/0022–0248(90)90112-X
- Barlow D.A. // J. Cryst. Growth. 2009. 311. № 8. Р. 2480–-2483. https://doi.org/10.1016/j.jcrysgro.2009.02.035
- Barlow D.A. // J. Cryst. Growth. 2017. 470. Р. 8–14. https://doi.org/10.1016/j.jcrysgro.2017.03.053
- Alexandrov D.V., Malygin A.P. Transient nucleation kinetics of crystal growth at the intermediate stage of bulk phase transitions //Journal of Physics A: Mathematical and Theoretical. 2013. V. 46. № 45. Р. 455101. https://doi.org/10.1088/1751–8113/46/45/455101
- Aleksandrov D.V., Aleksandrova I.V., Ivanov A.A., Malygin A.P., Starodumov I.O., Toropova L.V. // Rasplavy. 2019. № 3. P. 219–233. [In Russian]. https://doi.org/10.1134/S0235010619030022
- Alexandrov D.V. // J. Phys. A: Mathematical and Theoretical. 2018. 51. № 7. Р. 075102. https://doi.org/10.1088/1751–8121/aaa5b7
- Alexandrov D.V., Nizovtseva I.G., Alexandrova I.V. // Intern. Journal of Heat and Mass Transfer. 2019. 128. Р. 46–53. https://doi.org/10.1016/j.ijheatmasstransfer.2018.08.119
- Alexandrov D.V., Alexandrova I.V. // Phil. Trans. R. Soc. 2019. 377. № 2143. Р. 20180209. https://doi.org/10.1098/rsta.2018.0209
- Alexandrova I.V., Alexandrov D.V. // Phil. Trans. R. Soc. 2020. 378. № 2171. Р. 20190245. https://doi.org/10.1098/rsta.2019.0245
- Alexandrova I.V., Ivanov A.A., Malygin A.P. et al. // The European Physical Journal Special Topics. 2022. 231. № 6. Р. 1089–1100. https://doi.org/10.1140/epjs/s11734–022–00513-w
- Alexandrov D.V. // The European Physical Journal Special Topics. 2020. 229. № 2–3. Р. 383–404 https://doi.org/10.1140/epjst/e2019–900049–4
- Fedoryuk M.V. The method of the pass. M.: Nauka, 1977.
- Frenkel J. Kinetic Theory of Liquids. New York: Dover Publications, 1945.
- Lifshitz E.M., Pitaevskii L.P. Physical Kinetics. Oxford: Pergamon, 1981.
- Landau L.D., Lifshitz E.M. Statistical physics. Pergamon Press, Oxford, UK, 1980.
- Garside J., Gaska C., Mullin J. // J. Cryst. Growth. 1972. 13. Р. 510–516. https://doi.org/10.1016/0022–0248(72)90290–4
- Shneidman V.A. // Physical Review E. 2010. 82. № 3. Р. 031603. https://doi.org/10.1103/PhysRevE.82.031603
- Thompson C., Spaepen F. // Acta Metallurgica. 1983. 31. № 12. Р. 2021–2027. https://doi.org/10.1016/0001–6160(83)90019–6
- Avdonin N.A. Mathematical description of crystallization processes. Zinatne, Riga, 1980.
- Gherras N., Fevotte G. // J. Cryst. Growth. 2012. 342. № 1. Р. 88–98. https://doi.org/10.1016/j.jcrysgro.2011.06.058
- Kidyarov B.I. Kinetics of crystal formation from the liquid phase. Novosibirsk: Nauka, 1979.
- Makoveeva E.V., Alexandrov D.V. // Philosoph. Magazine Letters. 2018. 98. № 5. Р. 199–208.https://doi.org/10.1080/09500839.2018.1522459
- Alexandrov D.V., Zubarev A.Y. Phase-structural and non-linear effects in heterogeneous systems // The European Physical Journal Special Topics. 2020. 229. Р. 2881–2884.
- Alexandrov D.V., Galenko P.K. // Phil. Trans. R. Soc. 2021. 379. № 2205. Р. 20200325. https://doi.org/10.1098/rsta.2020.0325
- Alexandrov D.V., Ivanov A.O. // J. Cryst. Growth. 2000. 210. № 4. Р. 797–810. https://doi.org/10.1016/S0022–0248(99)00763–0
- Karma A., Rappel W. // Physical review E. 1998. 57. № 4. Р. 4323. https://doi.org/10.1103/PhysRevE.57.4323
- Tong X., Beckermann C., Karma A., Li Q. // Physical Review E. 2001. 63. № 6. 061601. https://doi.org/10.1103/PhysRevE.63.061601
- Alexandrov D.V., Galenko P.K. // J. Phys. and Chem. Solids. 2017. 108. Р. 98–103. https://doi.org/10.1016/j.jpcs.2017.04.016
- Alexandrov D.V., Aseev D.L. One-dimensional solidification of an alloy with a mushy zone: thermodiffusion and temperature-dependent diffusivity // Journal of Fluid Mechanics. 2005. 527. Р. 57–66.
- Galenko P.K., Zhuravlev V.A. Physics of dendrites: computational experiments. World Scientific, 1994.
- Huppert H.E. The fluid mechanics of solidification // Journal of Fluid Mechanics. 1990. 212. Р. 209–240.
- Hills R.N., Loper D.E., Roberts P.H. A thermodynamically consistent model of a mushy zone // Q.J. Appl. Math. 1983. 36. Р. 505–539.
- Alexandrov D.V. Self-similar solidification: morphological stability of the regime // International journal of heat and mass transfer. 2004. 47. № 6–7. Р. 1383–1389.
- Alexandrov D.V., Nizovtseva I.G., Malygin A.P. et al. // J. Phys.: Condensed Matter. 2008. 20. № 11. Р. 114105. https://doi.org/10.1088/0953–8984/20/11/114105
- Alexandrov D.V., Malygin A.P. Self-similar solidification of an alloy from a cooled boundary // International journal of heat and mass transfer. 2006. 49. № 3–4. Р. 763–769.
- Alexandrov D.V., Aseev D.L., Nizovtseva I.G. et al. // International journal of heat and mass transfer. 2007. 50. № 17–18. Р. 3616–3623. https://doi.org/10.1016/j.ijheatmasstransfer.2007.02.006
- Fowler A.C. // IMA Journal of Applied Mathematics. 1985. 35. № 2. Р. 159–174. https://doi.org/10.1093/imamat/35.2.159
- Alexandrov D.V., Malygin A.P. // International journal of heat and mass transfer. 2012. 55. № 11–12. Р. 3196–3204. https://doi.org/10.1016/j.ijheatmasstransfer.2012.02.048
- Worster M.G. Solidification of an alloy from a cooled boundary // Journal of Fluid Mechanics. 1986. 167. Р. 481–501.
- Borisov V.T. Teoriya dvukhfaznoy zony metallicheskikh slitkov [The theory of the two-phase zone of metal ingots]. M.: Metallurgiya, 1987. [In Russian].
- Makoveeva E., Alexandrov D., Ivanov A. // Mathematical Methods in the Applied Sciences. 2021. 44. № 16. Р. 12244–12251. https://doi.org/10.1002/mma.6970
- Alexandrov D.V. // Physics Letters A. 2014. 378. № 21. Р. 1501–1504. https://doi.org/10.1016/j.physleta.2014.03.051
- Alexandrov D.V., Nizovtseva I.G. // Proceedings of the Royal Society A: Mathematical, Physical and Engineering Sciences. 2014. 470. № 2162. Р. 20130647. https://doi.org/10.1098/rspa.2013.0647
- Makoveeva E.V., Alexandrov D.V. // Phil. Trans. R. Soc. A. 2021. 379. № 2205. Р. 20200307. https://doi.org/10.1098/rsta.2020.0307
- Nikishina M.A., Alexandrov D.V. // Phil. Trans. R. Soc. A. 2021. 379. № 2205. Р. 20200306. https://doi.org/10.1098/rsta.2020.0306
- Slezov V.V. Kinetics of first-order phase transitions. Weinheim: Wiley, 2009.
- Alyab’eva A.V., Buyevich Y.A., Mansurov V.V. Evolution of a particulate assemblage due to coalescence combined with coagulation // J. de Physique II. 1994. 4. № 6. Р. 951–957.
- Alexandrova I.V., Alexandrov D.V., Makoveeva E.V. // Phil. Trans. R. Soc. A. 2021. 379. № 2205. Р. 20200308. https://doi.org/10.1098/rsta.2020.0308
- Alexandrova I.V., Alexandrov D.V. // The European Physical Journal Special Topics. 2022. 231. № 6. Р. 1115–1121. https://doi.org/10.1140/epjs/s11734–022–00522–9
Supplementary files








