Влияние кобальта на плотность и электросопротивление сплавов Al–Ni–Co–Ce в кристаллическом и жидком состояниях
- Авторы: Русанов Б.А.1, Сидоров В.Е.1,2, Стерхов Е.В.3, Петрова С.А.2,3, Русанова А.И.3, Сабирзянов А.А.4, Сидорова Е.Е.5
-
Учреждения:
- Уральский государственный педагогический университет
- Уральский федеральный университет
- Институт металлургии УрО РАН
- Уральский государственный университет путей сообщения
- Российский экономический университет им. Г.В. Плеханова
- Выпуск: № 4 (2023)
- Страницы: 426-436
- Раздел: Статьи
- URL: https://journals.rcsi.science/0235-0106/article/view/138743
- DOI: https://doi.org/10.31857/S0235010623040072
- EDN: https://elibrary.ru/XETTQJ
- ID: 138743
Цитировать
Полный текст
Аннотация
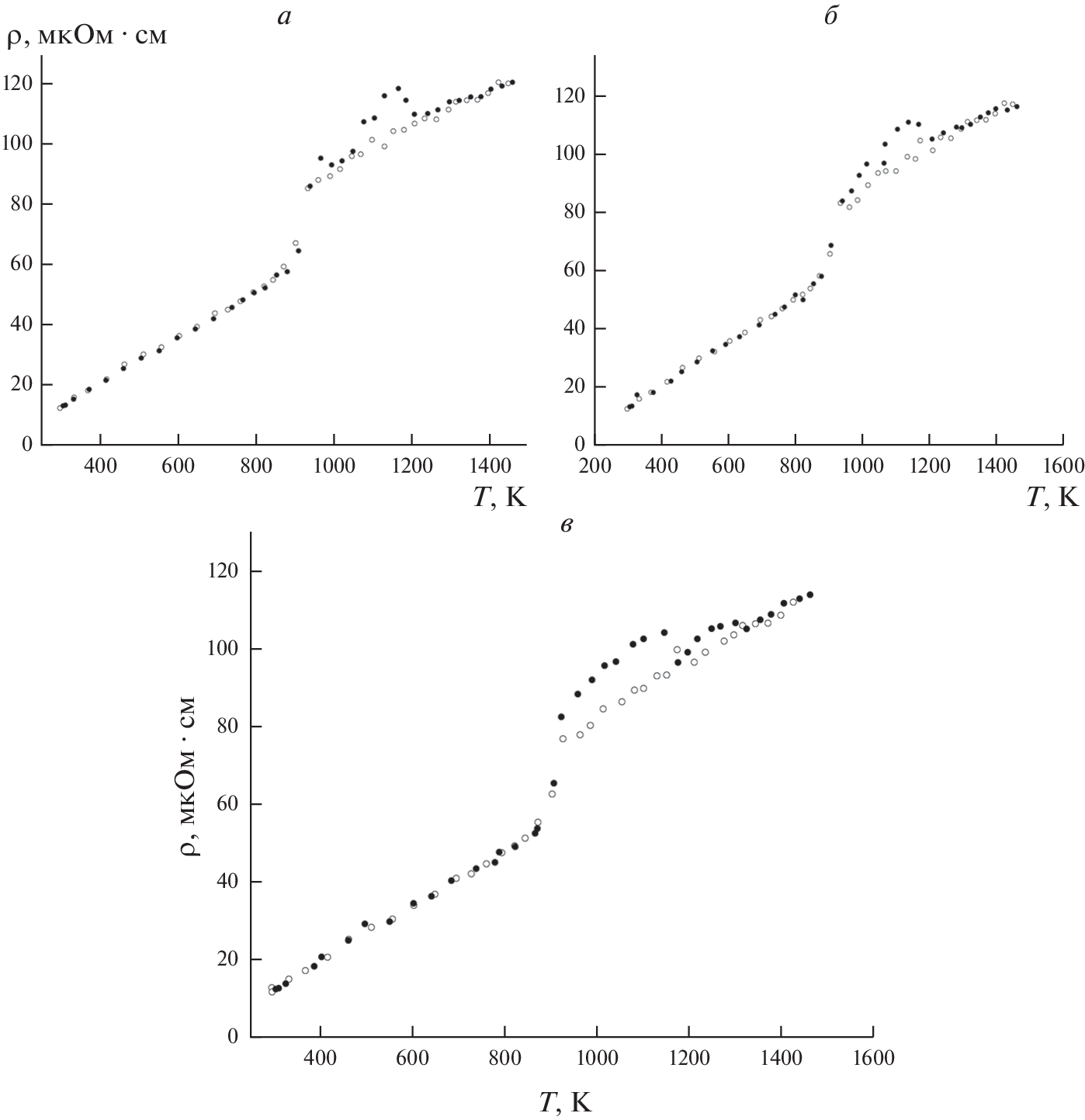
В работе изучены плотность (методом проникающего гамма-излучения) и электрическое сопротивление (бесконтактным методом во вращающемся магнитном поле) стеклообразующих сплавов Al–Ni–Co–Ce с различным соотношением переходных металлов. Установлено существование широкой двухфазной зоны и обнаружены скачкообразные изменения свойств при температурах солидус и ликвидус. Увеличение содержания кобальта с 2 до 4 ат. % приводит к уменьшению плотности сплавов на 2% и возрастанию электросопротивления на 3% в кристаллическом и жидком состояниях. Рассчитаны температурные коэффициенты изменения свойств. Обнаружен гистерезис плотности, возникающий при перегревах расплавов выше 1350 K. Данный факт связан с распадом крупномасштабных микронеоднородностей, существующих в расплавах при нагреве. Показано, что полученные результаты могут быть использованы для оптимизации процесса получения быстрозакаленных сплавов.
Ключевые слова
Об авторах
Б. А. Русанов
Уральский государственный педагогический университет
Автор, ответственный за переписку.
Email: rusanov@uspu.ru
Россия, Екатеринбург
В. Е. Сидоров
Уральский государственный педагогический университет; Уральский федеральный университет
Email: rusanov@uspu.ru
Россия, Екатеринбург; Россия, Екатеринбург
Е. В. Стерхов
Институт металлургии УрО РАН
Email: rusanov@uspu.ru
Россия, Екатеринбург
С. А. Петрова
Уральский федеральный университет; Институт металлургии УрО РАН
Email: rusanov@uspu.ru
Россия, Екатеринбург; Россия, Екатеринбург
А. И. Русанова
Институт металлургии УрО РАН
Email: rusanov@uspu.ru
Россия, Екатеринбург
А. А. Сабирзянов
Уральский государственный университет путей сообщения
Email: rusanov@uspu.ru
Россия, Екатеринбург
Е. Е. Сидорова
Российский экономический университет им. Г.В. Плеханова
Email: rusanov@uspu.ru
Россия, Москва
Список литературы
- Inoue A., Ohtera K., Tsai A.P., Masumoto T. Aluminum-based amorphous alloys with tensile strength above 980 MPa (100 kg/mm2) // Jpn. J. Appl. Phys. 1988. 27. P. L479–L482.
- Jones H., Suryanarayana C. Rapid quenching from the melt // J. Mater. Sci. 1973. 72. № 8. P. 705–753.
- Zhang L.M., Zhang S.D., Ma A.L., Umoh A.J., Hu H.X., Zheng Y.G., Yang B.J., Wang J.Q. Influence of cerium content on the corrosion behavior of Al–Co–Ce amorphous alloys in 0.6 M NaCl solution // J. Mat. Sci. & Tech. 2019. 35. № 7. P. 1378–1387.
- Tailleart N.R., Huang R., Aburada T., Horton D.J., Scully J.R. Effect of thermally induced relaxation on passivity and corrosion of an amorphous Al–Co–Ce alloy // Corr. Sci. 2012. 59. P. 238–248.
- Карфидов Э.А., Никитина Е.В., Русанов Б.А., Сидоров В.Е. Влияние кобальта на коррозионную стойкость аморфных сплавов Al–Ni–Co–R // Расплавы. 2022. 5. С. 477–484.
- Gloriant T., Greer A.L. // Nanostruct. Mat. 1998. 10. P. 389–396. https://doi.org/10.1016/S0965-9773(98)00079-8
- Li C.L., Wang P., Sun S.Q., Voisey K.T., McCartney D.G. // App. Surf. Sci. 2016. 384. P. 116–124. https://doi.org/10.1016/j.apsusc.2016.04.188
- Zhang Y., Warren P.J., Cerezo A. // Mater. Sci. Eng. A. 2002. 327. P. 109–115. https://doi.org/10.1016/S0921-5093(01)01888-3
- Abrosimova G., Aronin A., Budchenko A. // Mat. Lett. 2015. 139. P. 194–196. https://doi.org/10.1016/j.matlet.2014.10.076
- Radiguet B., Blavette D., Wanderka N., Banhart J., Sahoo K.L. // Appl. Phys. Lett. 2008. 92. P. 103126. https://doi.org/10.1063/1.2897303
- Louzguine-Luzgin D.V., Inoue A. // J. Alloys and Comp. 2005. 399. P. 78–85. https://doi.org/10.1016/j.jallcom.2005.02.018
- Bazlov A.I., Tabachkova N.Y., Zolotorevsky V.S., Louzguine-Luzgin D.V. Unusual crystallization of Al85Y8Ni5Co2 metallic glass observed in situ in TEM at different heating rates // Intermet. 2018. 94. P. 192–199.
- Jin L., Zhang L., Liu K., Che Z., Li K., Zhang M., Zhang B. Preparation of Al-based amorphous coatings and their properties // J. Rare Earths. 2021. 39. № 3. P. 340–347.
- Triveco Rios C., Suricach S., Bary M.D., Bolfarini C., Botta W.J., Kiminami C.S. Glass forming ability of the Al–Ce–Ni system // J. Non-Cryst. Sol. 2008. 354. P. 4874–4877.
- Абросимова Г.Е., Аронин А.С., Ширнина Д.П. Изменение структуры металлического стекла Al88Ni2Y10 при термообработке и деформации // Физика и техника высоких давлений. 2013. 23. № 1. С. 90–98.
- Suryanarayana C., Inoue A. Bulk metallic glasses. CRC Press. 2017.
- Русанов Б.А., Сидоров В.Е, Сон Л.Д. // Изв. вузов. Физика. 2022. 65. № 6. С. 112–118. https://doi.org/10.17223/00213411/65/6/112
- Bruker AXS. In DIFFRAC. EVA V5.1. Bruker AXS GmbH, Karlsruhe, Germany. 2019.
- Gates-Rector S., Blanton T. // Powder Diffr. 2019. 34. № 4. P. 352–360. https://doi.org/10.1017/S0885715619000812
- Rietveld H.M. // J. Appl. Cryst. 1969. 2. P. 65–71. https://doi.org/10.1107/S0021889869006558
- Coelho A.A. // J. Appl. Cryst. 2018. 51. P. 210–218. https://doi.org/10.1107/S1600576718000183
- Rusanov B.A., Baglasova E.S., Popel P.S., Sidorov V.E., Sabirzyanov A.A. // High Temp. 2018. 56. P. 439–443. https://doi.org/10.1134/S0018151X18020190
- Регель А.Р., Глазов В.М. Физические свойства электронных расплавов. М: Наука. 1980.
- Rusanov B.A., Sidorov V.E., Moroz A.I., Svec Sr.P., Janickovic D. // Tech. Phys. Lett. 2021. 47. P. 770–772. https://doi.org/10.1134/S1063785021080101
Дополнительные файлы








