Зажигание каменных углей лазерными импульсами второй гармоники неодимового лазера в режиме модуляции добротности
- Авторы: Адуев Б.П.1, Нурмухаметов Д.Р.1, Крафт Я.В.1, Исмагилов З.Р.1
-
Учреждения:
- Институт углехимии и химического материаловедения Федерального исследовательского центра угля и углехимии отделения Российской академии наук
- Выпуск: Том 43, № 3 (2024)
- Страницы: 55-67
- Раздел: Горение, взрыв и ударные волны
- URL: https://journals.rcsi.science/0207-401X/article/view/263294
- DOI: https://doi.org/10.31857/S0207401X24030067
- EDN: https://elibrary.ru/VGFYPJ
- ID: 263294
Цитировать
Полный текст
Аннотация
Изучено зажигание таблетизированных образцов каменных углей следующих марок: длинно-пламенного газового (ДГ), газового (Г), жирного (Ж), коксового (К), с размерами частиц ≤ 63 мкм лазерными импульсами с длиной волны λ = 532 нм, длительностью τi = 10 нс. При превышении критической плотности энергии излучения Hcr(1), конкретной для каждой марки угля, происходят оптический пробой и образование плотной плазмы со сплошным спектром свечения. По мере разлета и разрежения плазмы в спектрах регистрируется свечение ионов углерода CII, возбужденных атомов азота N, возбужденных молекул углерода C2 и окиси углерода CO. Максимум интенсивности свечения плазмы наблюдается по окончании лазерного импульса, время релаксации свечения составляет ~1 мкс. Амплитуда свечения плазмы нелинейно возрастает с ростом плотности энергии лазерных импульсов. При плотности энергии излучения H ≥ Hcr(2), конкретной для каждой марки угля, происходит инициирование термохимических реакций в объеме микрочастиц и зажигание угольных частиц в субмиллисекундном временном интервале.
Ключевые слова
Полный текст
ВВЕДЕНИЕ
Лазерное излучение в перспективе может быть использовано для розжига пылеугольного топлива в котельных установках. Для разработки такой технологии, прежде всего, необходимо проведение различного рода фундаментальных исследований механизма лазерного зажигания пылеугольного топлива. В качестве мощного теплового источника весьма удобно использовать импульсные лазеры, излучение которых нагревает частицы топлива, вызывая их воспламенение [1–11]. Важной практической характеристикой лазерного излучения для зажигания угля является минимальная тепловая энергия, при которой происходит воспламенение угольных частиц. Учет этих характеристик необходим при разработке безопасных методов работы с угольными частицами в шахтах и угольных печах [12, 13].
В наших работах [4–9] при воздействии импульсов неодимового лазера в режиме свободной генерации (τi = 120 мкс) с использованием регистрации зажигания электронно-оптической аппаратурой высокого временно́го разрешения установлены детали механизма зажигания некоторых каменных углей в зависимости от плотности энергии. Во время лазерного импульса происходит зажигание микровыступов на поверхности частиц углей при достижении пороговой плотности энергии Hcr(1). При увеличении H до Hcr(2) происходят инициирование химических реакций в объеме частиц, выход и зажигание летучих веществ за время ~10 мс. При увеличении плотности энергии излучения H до Hcr(3) происходит инициирование другого типа термохимических реакций, приводящих к зажиганию нелетучего остатка за время ≤100 мс.
В нашей работе [10] проведено исследование зажигания каменных углей импульсами первой гармоники неодимового лазера в режиме модулированной добротности с длиной волны λ = 1064 нм длительностью 14 нс). Выделены две стадии зажигания, имеющие пороговый характер. Первая стадия с порогом Hcr(1) связана с образованием плазменного факела, выходом и зажиганием летучих веществ. При увеличении плотности энергии до Hcr(2) во временно́м интервале ≤1 мс наблюдается зажигание нелетучего остатка угольных частиц. Таким образом, результаты работы [10] показали различие в механизмах лазерного зажигания углей импульсами с длительностью 120 мкс и 14 нс.
Для уточнения механизма зажигания рассмотренных в работе [10] марок углей необходимо проведение спектральных измерений. Настоящая работа является продолжением исследований, начатых в [10]. Для зажигания углей используется вторая гармоника неодимового лазера (532 нм, 10 нс). Проведено измерение энергетических характеристик зажигания и спектрально-кинетических характеристик свечения, возникающего при воздействии лазерных импульсов на таблетизированные образцы частиц углей с размерами ≤63 мкм. Проведено сравнение с результатами работы [10].
ОБЪЕКТЫ ИССЛЕДОВАНИЯ И МЕТОДИКА ЭКСПЕРИМЕНТА
В экспериментах применялись следующие марки углей Кузнецкого угольного бассейна (Россия): длинно-пламенный газовый (ДГ) Соколовского месторождения, газовый (Г) Ленинского месторождения, жирный (Ж) Никитинского месторождения, коксовый (К) Киселевско-Прокопьевского месторождения. Для получения экспериментальных образцов производили помол угля на шаровой мельнице АГО-2 и мокрое просеивание через сито с ячейкой 63 мкм. Просеянный порошок собирали в специальную посуду, закрытую для доступа воздуха. Распределение частиц по размерам проводилось с помощью лазерного дифрактометра Analystette 22 производства компании Fritsch (Germany). Размеры частиц находятся в диапазоне 0.5–63 мкм с максимумом распределения при 20 мкм. Результаты технического анализа приведены в табл. 1.
Таблица 1. Результаты технического анализа аналитических проб углей
Марка угля | Технический анализ, ٪ | С, % | ||
W a | Ad | V daf | ||
ДГ, шахта “им. В.Д. Ялевского” | 5.7 | 4.7 | 42.6 | 74.3 |
Г, шахта “им. Кирова” | 1.2 | 3.3 | 40.4 | 81.3 |
Ж, шахта “Тихова”, | 0.8 | 7.8 | 33.3 | 80.2 |
К, ООО “Участок Коксовый” | 0.6 | 4.9 | 21.3 | 87.7 |
Примечание: W a – влага аналитическая, Ad – зольность, V daf – выход летучих веществ, С – содержание углерода на органическую массу угля.
В экспериментах использовались прессованные образцы в виде таблеток плотностью ρ = 1 г/см3, диаметром 5 мм и толщиной 2 мм. Эксперименты проводились на установке, функциональная схема которой представлена на рис. 1.
Рис. 1. Функциональная схема экспериментальной установки: 1 – нейтральные светофильтры; 2 – светоделительная пластина; 3 – поворотное зеркало; 4 – линза (F = 25 см); 5 – экспериментальная сборка с образцом; 6, 8, 9 – линзы (F = 10 см); 7 – спектрально-временная щель; Л – импульсный Nd:YAG-лазер, Ф – фотодиод, ФХ – фотохронограф, П – полихроматор, СФХ – спектрофотохронограф “ВЗГЛЯД-2А”, БС – блок синхронизации, ПК – персональный компьютер, ФЭУ – фотоэлектронный умножитель, К – экспериментальная камера.
Зажигание углей осуществлялось при помощи единичных импульсов излучения второй гармоники (λ = 532 нм) YAG : Nd3+-лазера, работающего в режиме модуляции добротности с длительностью импульса τi = 10 нс и энергией в импульсе до 0.5 Дж. Излучение лазера ослаблялось нейтральными светофильтрами 1 (рис. 1). Для контроля энергии часть излучения (8%) отводилась прозрачной стеклянной пластиной 2 на калиброванный фотодиод. При помощи поворотного зеркала 3 и фокусирующей линзы 4 с фокусным расстоянием F = 25 см излучение направлялось на образец 5, находящийся на массивном основании в экспериментальной камере. Конструкция держателя позволяла устанавливать образец 5 под углом 45° к лазерному лучу и оптической оси измерительной схемы. Диаметр лазерного пятна на образце составлял d = 2.5 мм. Энергия лазерного излучения определялась с помощью пироэлектрического измерителя энергии PE50BF-C производства компании Ophir® Photonics (Israel).
Для регистрации свечения в приповерхностной области образца использовалось два канала. В первом канале изображение поверхности образца с помощью линзы 9 (рис. 1) с фокусным расстоянием 10 см строилось на фотокатоде фотоэлектронного умножителя в масштабе 1 : 1. По данному каналу регистрировалась кинетика интегрального по спектру свечения. Второй канал включает полихроматор и фотохронограф на базе электронно-оптического преобразователя (ЭОП), работающий в режиме линейной развертки, которые в едином комплексе представляют собой спектрофотохронограф. Изображение поверхности образца с помощью линзы 6 строилось в плоскости спектрально-временно́й щели 7. Отверстие в щели имело размеры 0.2 · 0.1 мм и определяло спектральное и временно́е разрешение регистрирующей системы. Изображение спектрально-временной щели с помощью линзы 8 в масштабе 1 : 1 передавалось на вход полихроматора. Таким образом, пространственное разрешение в области объекта соответствовало размеру щели. Полихроматор раскладывал свечение на составляющие в спектральном диапазоне 350–750 нм. Далее полоска спектра с помощью фотохронографа разворачивалась во времени. Световая матрица с выходного экрана ЭОП считывалась ПЗС-матрицей (ПЗС – прибор с зарядовой связью). Сигнал ПЗС-матрицы передавался на запоминающее устройство в компьютер для последующей цифровой обработки. Спектральное разрешение составляло величину равную 10 нм, временно́е разрешение определялось используемой разверткой фотохронографа. В данной работе использовалась развертка 520 нс/экран (временно́е разрешение – 7 нс) и разверта 2 мс/экран (временно́е разрешение – 20 мкс). Запуск лазера и развертки фотохронографа в соответствующие моменты времени осуществлялся с помощью импульсного генератора Г5-56.
Зарегистрированный сигнал представлял собой матрицу, вертикальные элементы которой позволяли построить спектр свечения образца в диапазоне 350− 750 нм в определенный момент времени, а горизонтальные элементы – кинетику свечения образца на выбранной длине волны в пределах указанного выше спектрального диапазона. Цифровую обработку информации по спектрам свечения, зарегистрированным на экране ЭОП, проводили с использованием прикладного пакета программ [14]. Для коррекции спектров свечения на спектральную чувствительность измерительного тракта применялся метод эталонной лампы [15].
ЭКСПЕРИМЕНТАЛЬНЫЕ РЕЗУЛЬТАТЫ
В работе проведено исследование порогов зажигания всех указанных выше марок углей и кинетических характеристик свечения в зависимости от плотности энергии лазерных импульсов. Эксперименты проводились в среде воздуха при атмосферном давлении. Использовался первый канал измерительной схемы (рис. 1). Для всех марок углей выделено два типа свечения, имеющие резко различающиеся пороговые характеристики в зависимости от плотности энергии лазерного излучения.
Типичные осциллограммы для угля марки ДГ представлены на рис. 2. Кинетические кривые свечения первого типа (рис. 2а) для углей марок Г, Ж, и К имеют аналогичный характер. Интенсивность свечения достигает максимального значения в момент окончания лазерного импульса. После этого следуют быстрый спад за время ~ 30–40 нс и последующая релаксация свечения во временном интервале ~1 мкс. На кинетической кривой свечения второго типа (рис. 2б) для угля марки Г, как и для угля марки ДГ, наблюдается два максимума. Для углей марок Ж и К второй максимум отсутствует. Для всех марок углей свечение второго типа регистрируется во временном интервале 30–500 мкс (рис. 2б).
Рис. 2. Типичные осциллограммы первого (а) и второго (б) типов свечения угля марки ДГ (на врезке представлен начальный участок свечения во временно́м интервале 0–60 нс; штриховая линия – лазерный импульс).
Зажигание энергетических материалов, к которым относятся взрывчатые вещества и различные виды топлив, в том числе и уголь, имеет статистический характер. В связи с этим измерялись вероятности появления обнаруженных типов свечения в зависимости от плотности энергии лазерных импульсов. Для этого проводилось облучение единичными импульсами N = 10 образцов определенной марки угля на фиксированной плотности энергии и вычислялась вероятность P:
(1)
где n – число зарегистрированных фотоумножителем вспышек.
Эксперименты повторялись при различных плотностях энергии для обоих типов свечения. Для примера, результат для угля марки ДГ представлен на рис. 3.
Рис. 3. Зависимость вероятности появления (Р) обнаруженных типов свечения для угля марки ДГ от плотности энергии лазерных импульсов: 1 – первый тип свечения, Hcr(1) = (0.40 ± 0.05) Дж/см2 (рис. 2а); 2 – второй тип свечения, Hcr(2) = (3.9 ± 0.4) Дж/см2 (рис. 2б).
В предположении, что вероятность события зажигания образцов распределяется по нормальному закону, экспериментальные точки аппроксимировались интегралом вероятностей, (кривые на рис. 3):
(2)
где H – плотность энергии лазерного излучения, Hcr – плотность энергии, соответствующая 50%-ной вероятности появления вспышки, которую принимаем за порог зажигания; ∆H – среднеквадратичное отклонение. Как видно из рис. 3, экспериментальные значения p(H) хорошо описываются выражением (2), что свидетельствует о правильности предположения о нормальном распределении p(H).
Эксперимент проводился для всех марок углей. Результаты обработки представлены в табл. 2.
Таблица 2. Пороги зажигания углей на различных стадиях
Марка угля | Hcr(1), Дж/см2 | Hcr(2), Дж/см2 |
ДГ | 0.40 ± 0.05 | 3.9 ± 0.4 |
Г | 0.30 ± 0.05 | 3.5 ± 0.3 |
Ж | 0.25 ± 0.03 | 3.0 ± 0.2 |
К | 0.20 ± 0.02 | 2.5 ± 0.2 |
Во второй серии экспериментов были проведены измерения амплитуды интенсивности свечения I всех марок углей в зависимости от плотности энергии H в момент времени, соответствующий окончанию лазерного импульса. Результаты представлены на рис. 4. Наблюдается существенно нелинейная зависимость I(H).
Рис. 4. Зависимость амплитуды интенсивности свечения I от плотности энергии H в момент времени, соответствующий окончанию лазерного импульса, для следующих марок угля: а – ДГ, б – Г, в – Ж, г – К.
В следующей серии экспериментов использовался второй канал регистрации свечения (рис. 1), с помощью которого возможно измерение спектров свечения образцов углей в различные моменты времени от начала лазерного импульса. Спектры свечения первого типа в моменты времени 20 и 100 нс от начала лазерного импульса для всех исследуемых марок углей представлены на рис. 5 и 6 соответственно. На рис. 5а участок спектра 500–560 нм перекрывается рассеянным лазерным излучением (532 нм), которое попадает на фотокатод ЭОП, несмотря на принятые меры для его фильтрации, и дает сигнал с амплитудой, как правило, выходящий за предел возможности измерительной аппаратуры. На спектры свечения через 100 нс (рис. 5б) после начала воздействия лазерного импульса рассеянное лазерное излучение влияния не оказывает.
Рис. 5. Спектры свечения образцов в момент времени 20 нс от начала лазерного импульса для следующих марок угля: а – ДГ, б – Г, в – Ж, г – К.
Рис. 6. Спектры свечения образцов в момент времени 100 нс от начала лазерного импульса следующих марок угля: а – ДГ, б – Г, в – Ж, г – К
На рис. 7 представлены спектры свечения в моменты времени, соответствующие максимумам на кинетических кривых типа представленной на рис. 2б для всех марок углей.
Рис. 7. Спектры свечения образцов в моменты времени, соответствующие максимумам на кинетических кривых типа рис. 2б, для следующих иарок угля: а – ДГ, б – Г, в – Ж, г – К. Штриховые кривые – аппроксимация формулой Планка при температуре (2400 ± 100) К.
ОБСУЖДЕНИЕ РЕЗУЛЬТАТОВ
Использование таблетизированных образцов связано с тем, что при воздействии мощного импульсного лазерного излучения на образцы насыпной плотности угольные частицы разлетаются в результате возникновения импульса отдачи при инициировании процессов в них, изучаемых в данной работе. Тем не менее изучаемые процессы связаны с зажиганием отдельных частиц, а распространение пламени между частицами образца отсутствует.
Этот вывод сделан на основании следующих экспериментов. В работе [1] угольные частицы зажигались в восходящем ламинарном потоке с использованием неодимового лазера с длительностью импульса 150 мкс. Концентрация частиц была такова, что исключалась передача пламени от одной частицы к другой, поэтому регистрировалось свечение отдельных частиц. Длительность свечения частиц антрацита и битумозного угля составляла 30 и 50 мс соответственно [1].
В наших экспериментах при зажигании угольных таблеток и образцов насыпной плотности лазерными импульсами с длительностью 120 мкс установлено, что максимальное время горения составляет от 30 до 100 мс для бурого угля [7, 8]. Таким образом, в условиях наших экспериментов регистрировалось горение отдельных частиц и отсутствовало распространение пламени в образцах углей. При использовании излучения с наносекундной длительностью импульса ситуация не изменится.
Прежде всего, отметим кардинальное различие спектрально-кинетических и энергетических характеристик стадий зажигания углей лазерными импульсами микросекундной [4–9] и наносекундной длительности, используемыми в [10] и данной работе. Это связано с различием мощности излучения при использовании импульсов с одинаковыми плотностями энергии, которые в 105 раз выше у импульсов наносекундной длительности.
Сравнение с результатами работы [10], где проводились исследования кинетических характеристик свечения при воздействии на образцы тех же марок углей излучением лазерных импульсов первой гармоники (1064 нм, 14 нс), позволяет сделать вывод о качественном подобии кинетических характеристик (рис. 2) при воздействии лазерным излучением различных длин волн. Как и в [10], наблюдается два типа кинетических зависимостей, интегральных по спектру свечения, имеющих пороговый характер.
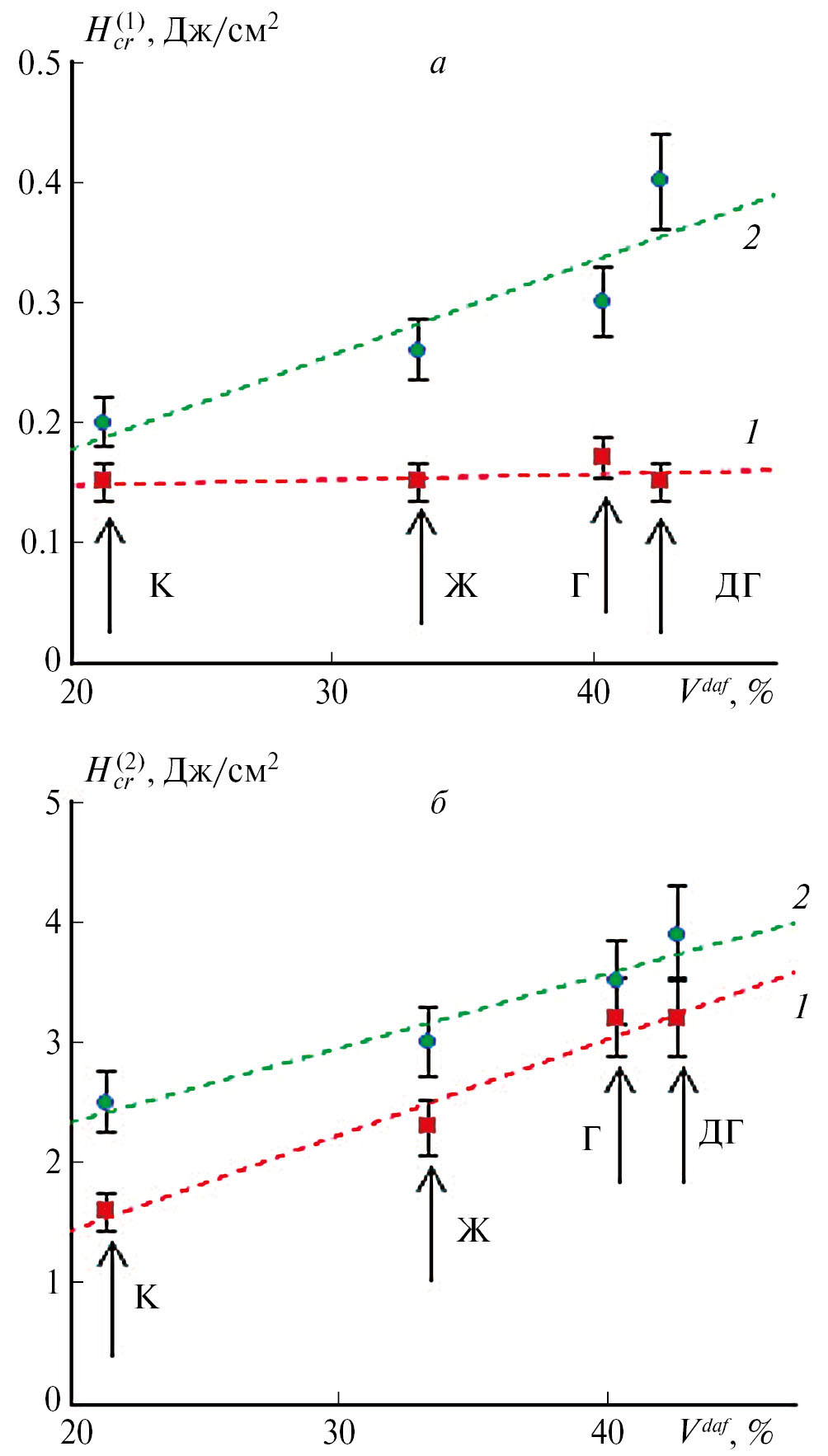
На рис. 8 представлены зависимости Hcr(1) и Hcr(2), от выхода летучих веществ, измеренные при воздействии излучением с λ = 532 и 1064 нм. Для λ = 532 нм значения Hcr взяты из табл. 2, для λ = 1064 нм – из работы [10]. Пороги для Hcr при использовании излучения с λ = 532 нм для каждой марки угля превышают соответствующие значения для излучения с λ = 1064 нм.
Рис. 8. Зависимости Hcr(1) (а) и Hcr(2) (б) от выхода летучих веществ, V daf, измеренные при воздействии излучением с λ = 1064 (1) и 532 нм (2).
Для однозначного объяснения различия значений Hcr для λ = 532 и 1064 нм требуются дополнительные исследования. На данном этапе можно предположить, что инициирование химических реакций в углях при поглощении излучения первой гармоники лазера с наносекундной длительностью импульса осуществляется при меньших плотностях энергии излучения.
В работе [10] диапазон плотностей мощности, воздействующей на образцы был следующим: W = = (0.15–9) ‧ 108 Вт/см2. В настоящей работе использован диапазон (0.15–5) ‧ 108 Вт/см2. Согласно изложенному в работах [16–19], в этом диапазоне плотностей мощности лазерных импульсов с длительностью ~108 с при поглощении излучения непрозрачными материалами происходят процессы плавления, испарения и оптический пробой, сопровождающийся лавинной ионизацией испаренного вещества.
Можно предположить, что при плотностях энергии H > Hcr(1) в соответствующих марках углей осуществляется оптический пробой с образованием частично ионизированной плазмы. С этих позиций рассмотрим зависимость интенсивности свечения образцов углей от плотности энергии лазерных импульсов (рис. 4). Рассматриваемое свечение возникает в результате излучательной рекомбинации электронов с ионами или в результате неупругого столкновения электронов с атомами в плазменном факеле.
Предполагаем, что интенсивность свечения пропорциональна концентрации электронов, образующихся в процессе лавинной ионизации вещества в поле электромагнитной волны во время лазерного импульса с плотностью энергии H > Hcr(1),
В этом случае можно получить I рабочую формулу для обработки зависимости амплитуды интенсивности свечения (I) от плотности энергии (H) лазерного импульса:
(3)
где A и H0 – подгоночные параметры; H0 имеет смысл характеристической плотности энергии, при которой интенсивность свечения при размножении электронов в процессе лавинной ионизации возрастает в 1.7 раза. Штриховые кривые на рис. 4 построены с помощью формулы (3) при значениях A и H0, указанных в табл. 3. Таким образом, нелинейные зависимости амплитуды свечения углей от плотности энергии лазерных импульсов удовлетворительно объясняются в рамках модели оптического пробоя исследуемых материалов.
Таблица 3. Значения параметров A и H0 для зависимости I(H) в формуле (3)
Марка угля | A | H0, Дж/см2 |
ДГ | 720 | 2,3 |
Г | 720 | 2,3 |
Ж | 720 | 1,8 |
К | 720 | 1,75 |
Рассмотрим спектры свечения первого типа, представленные на рис. 5. Спектры свечения, представленные на рис. 5а, измерены в момент окончания лазерного импульса и имеют сплошной характер. Для углей марок ДГ и Г максимум спектров свечения сосредоточен в УФ-области с максимумом при λ = 400 нм. Аналогичный спектр свечения мы получили при более жесткой фокусировке излучения и пробоя в среде воздуха при атмосферном давлении.
Для углей марок Ж и К максимумы спектров свечения находятся в видимой области (рис. 5в, г). Спектры свечения обоих типов, подобные спектрам на рис. 5, наблюдались при поглощении излучения CO2-лазера непрозрачными микровключениями в щелочногалоидных кристаллах и оптическом пробое [17]. Таким образом, спектры на рис. 5 можно связать с оптическим пробоем вещества и образованием плотной плазмы.
С течением времени происходит расширение и разрежение плазмы, поэтому в спектрах на рис. 6, измеренных через 100 нс после начала лазерного импульса, можно выделить линии возбужденных атомов азота N и углерода (нейтрального атома CI и однократно ионизированного атома CII). Наиболее интенсивные полосы свечения связаны с колебательно-вращательным излучением диуглеродной молекулы C2 (полосы Свана, переход a3Пи – d 3Пg) [22]: λ = 469 нм (∆λ = 450–475 нм, ∆ν = –1); λ = 500 нм (∆λ = 480–515 нм, ∆ν = 0); λ = 550 нм (∆λ = 525–565 нм, ∆ν = 1). Длины волн линий свечения, наблюдаемые во всех исследованных марках углей, собраны в табл. 4.
Следует отметить, что спектральное разрешение в наших экспериментах составляло 10 нм, поэтому наблюдаемые близкорасположенные пики свечения сгруппированы и их надежное разрешение возможно при использовании аппаратуры с лучшим спектральным разрешением, но, как правило, с гораздо худшим временны́м разрешением [18, 19], нежели в нашем случае.
Главный результат – это наблюдение свечения ионов CII, свидетельствующее об образовании частично ионизированной плазмы, возникающей в результате оптического пробоя угольных образцов. Таким образом, экспериментальные данные, предстваленные на рис. 5 и 6, также укладываются в рамки модели оптического пробоя и образования плазменного факела.
Проведем сравнительное качественное рассмотрение порогов Hcr(1) , которое мы связываем с началом оптического пробоя образцов (рис. 3). Напряженность поля электромагнитной волны при оптическом пробое зависит от частоты излучения [23]:
(4)
где Ecr(0) – напряженность поля для статического случая, τ – время релаксации импульса электрона в лавине, ω – частота лазерного излучения. Из выражения (4) следует, что в общем случае Ecr(ω2) > Ecr(ω1), поскольку ω2 = 2ω1. Так как Hcr ~ Ecr2, то Hcr(ω2) > Hcr(ω1) для соответствующей марки угля, что наблюдается в эксперименте (рис. 8).
При достижении критической плотностью энергии значения Hcr(2) (см. табл. 2 и рис. 2б) регистрируется свечение в субмиллисекундном временном интервале. Наблюдаемое свечение связано с инициированием термохимических реакций в объеме образцов углей, что приводит к воспламенению последних. В спектрах, представленных на рис. 7, можно выделить планковские составляющие с спектра, которые выделены штриховыми линиями. Яркостные температуры указаны в подписи к рис. 7. Свечение связано с раскаленными углеродными частицами. На планковские спектры накладываются спектры свечения, связанные с выходом и воспламенением летучих веществ. Процессы зажигания микрочастиц каменных углей с подобными спектрами свечения мы наблюдали ранее при воздействии излучения с λ = 1064 нм и длительностью 120 мкс [24].
5. ВЫВОДЫ
- При воздействии лазерных импульсов с длиной волны 532 нм длительностью 10 нс на микрочастицы каменных углей марок ДГ, Г, Ж, К выделено две стадии, различающиеся по кинетическим характеристикам свечения и порогам зажигания.
- При превышении плотности энергии Hcr(1), конкретной для каждой марки угля, происходят оптический пробой и образование плотной плазмы со сплошным спектром свечения. По мере разлета и разрежения плазмы в спектрах регистрируется свечение однократно ионизированных атомов углерода CII, возбужденных атомов азота N, возбужденных молекул углерода C2 и окиси углерода CO.
- Максимум интенсивности свечения, связанный с плазмой, наблюдается по окончании лазерного импульса, время релаксации свечения составляет ~1 мкс. Амплитуда интенсивности свечения плазмы нелинейно возрастает с ростом плотности энергии H лазерных импульсов выше Hcr(1) для соответствующей марки угля, что свидетельствует о лавинном характере процесса образования центров свечения.
- Пороги образования Hcr(1) при воздействии излучения с λ = 532 нм выше, чем Hcr(1), при воздействии излучения с λ = 1064 нм, что качественно согласуется с моделью оптического пробоя угольных образцов.
- При плотности энергии излучения H > Hcr(2), конкретной для каждой марки угля, происходят инициирование термохимических реакций в объеме микрочастиц углей, выход и зажигание летучих веществ и нелетучего остатка угольных частиц в субмиллисекундном временном интервале.
Авторы выражают благодарность А.Н. Заостровскому за предоставленные образцы углей, Н.И. Федоровой за проведение технического анализа образцов и В.Д. Волкову за подготовку экспериментальных образцов углей.
Исследование выполнено за счет гранта Российского научного фонда № 22-13-20041, (https://rscf.ru/project/22-13-20041/) и за счет гранта Кемеровской области – Кузбасса (соглашение с № 2 от 22.03.2022).
Об авторах
Б. П. Адуев
Институт углехимии и химического материаловедения Федерального исследовательского центра угля и углехимии отделения Российской академии наук
Автор, ответственный за переписку.
Email: lesinko-iuxm@yandex.ru
Россия, Кемерово
Д. Р. Нурмухаметов
Институт углехимии и химического материаловедения Федерального исследовательского центра угля и углехимии отделения Российской академии наук
Email: lesinko-iuxm@yandex.ru
Россия, Кемерово
Я. В. Крафт
Институт углехимии и химического материаловедения Федерального исследовательского центра угля и углехимии отделения Российской академии наук
Email: lesinko-iuxm@yandex.ru
Россия, Кемерово
З. Р. Исмагилов
Институт углехимии и химического материаловедения Федерального исследовательского центра угля и углехимии отделения Российской академии наук
Email: lesinko-iuxm@yandex.ru
Россия, Кемерово
Список литературы
- Chen J.C., Taniguchi M., Narato K., Ito K. // Combust and Flame. 1994. V. 97. № 1. P. 107; https://doi.org/10.1016/0010-2180(94)90119-8
- Глова А.Ф., Лысиков А.Ю., Зверев М.М. // Квантовая электрон. 2009. Т. 39. № 6. С. 537.
- Taniguchi M., Kobayashi H., Kiyama K., Shimogori Y. // Fuel. 2009. V. 88. № 8. P. 1478; https://doi.org/10.1016/j.fuel.2009.02.009
- Адуев Б.П., Нурмухаметов Д.Р., Крафт Я.В., Исмагилов З.Р. // Фмзика горения и взрыва. 2022. Т. 58. № 5. С. 115; https://doi.org/10.15372/FGV20220514
- Адуев Б.П., Нурмухаметов Д.Р., Крафт Я.В., Исмагилов З.Р. // Оптика спектроскопия. 2022. Т. 130. № 8. С. 1193; https://doi.org/10.21883/OS.2022.08.52905.3750-22
- Адуев Б.П., Нурмухаметов Д.Р., Крафт Я.В., Исмагилов З.Р. // Хим. физика. 2022. Т. 41. № 3. С. 13; https://doi.org/10.31857/S0207401X22030025
- Адуев Б.П., Нурмухаметов Д.Р., Нелюбина Н.В. и др. // Хим. физика. 2016. Т. 35. № 12. С. 47; https://doi.org/10.7868/S0207401X16120025
- Адуев Б.П., Нурмухаметов Д.Р., Ковалев Р.Ю. и др. // Оптика спектроскопия. 2018. Т. 125. № 2. С. 277; https://doi.org/10.21883/OS.2018.08.46373.29-18
- Aduev B.P., Kraft Y.V., Nurmukhametov D.R., Ismagilov Z.R. // Combust. Sci. Technol. 2022. P. 1; https://doi.org/10.1080/00102202.2022.2075699
- Адуев Б.П., Нурмухаметов Д.Р., Белокуров Г.М., Крафт Я.В., Исмагилов З.Р. // ХТТ. 2021. № 3. С. 65; https://doi.org/10.31857/S0023117721030026
- Коротких А.Г., Сорокин И.В., Архипов В.А. // Хим. физика. 2022. Т. 41. № 3. С. 41; https://doi.org/10.31857/S0207401X22030074
- Валиулин С.В., Онищук А.А., Палеев Д.Ю. // Хим. физика. 2021. Т. 40. № 4. С. 41; https://doi.org/10.31857/S0207401X21040130
- Адуев Б.П., Нурмухаметов Д.Р., Нелюбина Н.В., Лисков И.Ю., Исмагилов З.Р. // Хим. физика. 2023. Т. 42. № 3. С. 3; https://doi.org/10.31857/S0207401X23030032
- Швайко В.Н., Кречетов А.Г., Адуев Б.П., Гудилин А.В., Серов С.А. // ЖТБ. 2005. Т. 75. № 6. С. 59.
- Левшин Л.В., Салецкий А.М. Люминесценция и ее измерения. М.: МГУ, 1989.
- Делоне Н.Б. Взаимодействие лазерного излучения с веществом. Курс лекций. Уч. рук-во. М.: Наука, 1989.
- Горбунов А.В., Классен Н.В., Максимук М.Ю. // ЖТФ. 1992. Т.62. № 12. С. 39.
- Liu K., He C., Zhu C. et al. // Trends Analyt. Chem. 2021. V. 143. P. 116357; https://doi.org/10.1016/j.trac.2021.116357
- Cai J., Dong M., Zhang Y. et al. // Spectrochim. Acta, Part B. 2021. V. 180. P. 106195; https://doi.org/10.1016/j.sab.2021.106195
- Пирс Р., Гейдон А. Отождествление молекулярных спектров М: Из-во иностр. лит., 1949.
- NIST Standard Reference Database 78; https://dx.doi.org/10.18434/T4W30F
- Ikegami T., Nakanishi F., Uchiyama M., Ebihara K. // Thin Solid Films. 2004. V. 457. № 1. P. 7; https://doi.org/10.1016/j.tsf.2003.12.033
- Сверхкороткие световые импульсы // Под ред. Шапиро С., М.: Мир, 1981.
- Адуев Б.П., Нурмухаметов Д.Р., Крафт Я.В., Исмагилов З.Р. // Оптика и спектроскопия. 2020. Т. 128. № 12. С. 1898; https://doi.org/10.21883/OS.2020.12.50327.187-20
Дополнительные файлы










