Influence of the Quasi-Biennial Oscillation on the Dynamics of the Stratospheric Polar Vortices According to Satellite Observations
- Authors: Zuev V.V.1, Maslennikova E.A.1,2, Savelieva E.S.1
-
Affiliations:
- Institute of Monitoring of Climatic and Ecological Systems of the Siberian Branch of the Russian Academy of Sciences
- National Research Tomsk State University
- Issue: No 5 (2023)
- Pages: 36-44
- Section: ФИЗИЧЕСКИЕ ОСНОВЫ ИССЛЕДОВАНИЯ ЗЕМЛИ ИЗ КОСМОСА
- URL: https://journals.rcsi.science/0205-9614/article/view/140976
- DOI: https://doi.org/10.31857/S0205961423050093
- EDN: https://elibrary.ru/XOGYAA
- ID: 140976
Cite item
Full Text
Abstract
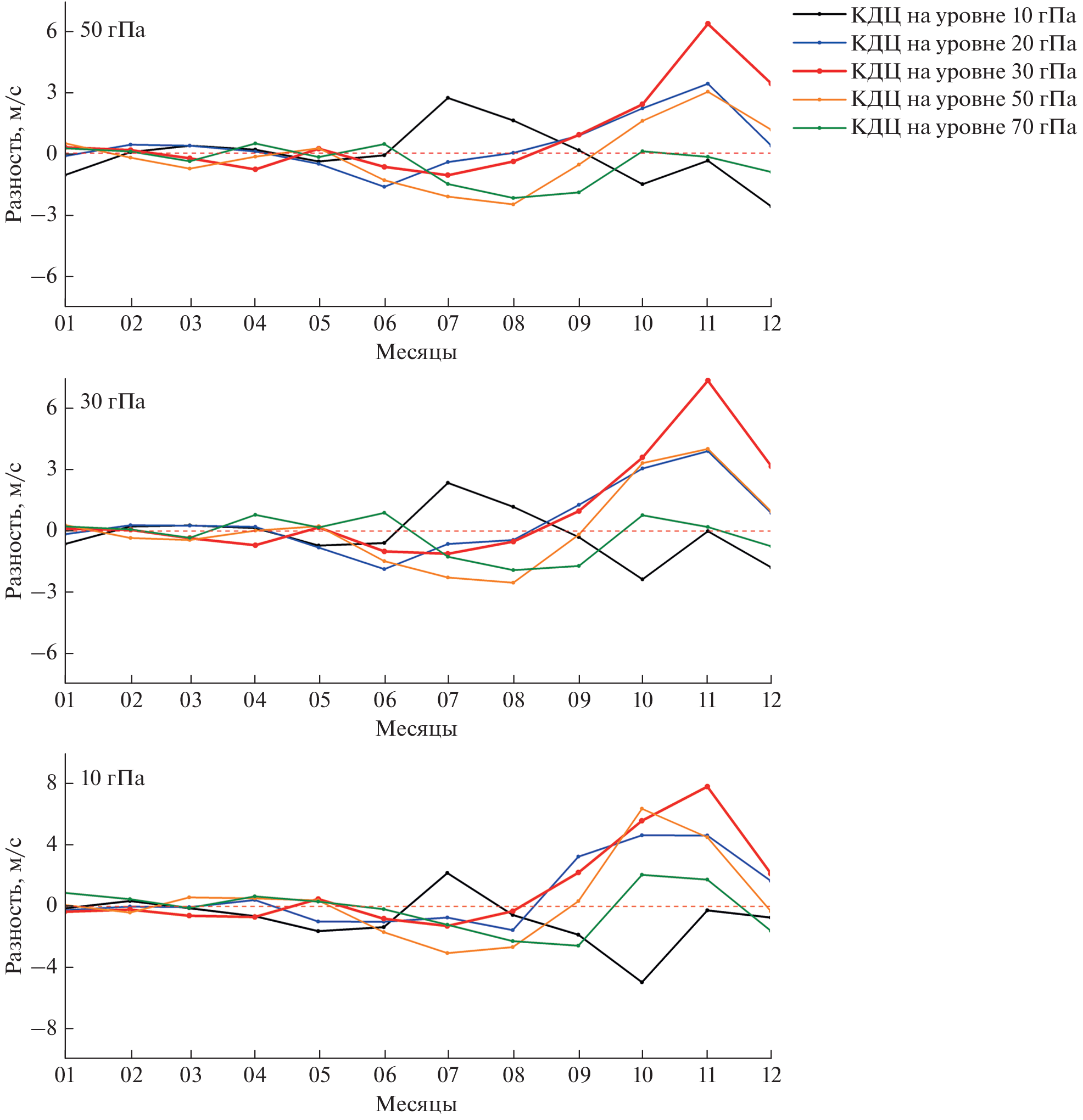
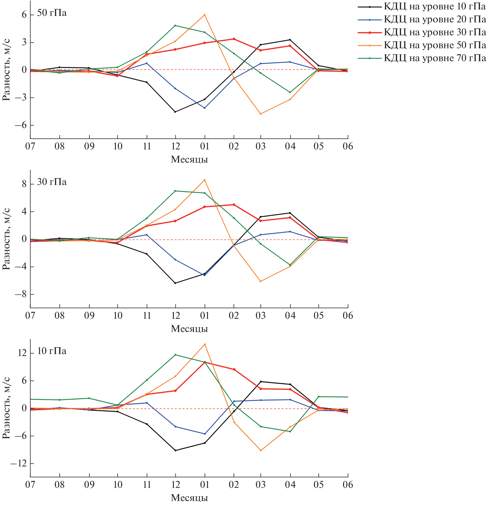
The duration of polar ozone depletion events depends on the phase of the quasi-biennial oscillation (QBO). The QBO determines the location of the subtropical critical wind line that influences the propagation of planetary waves into the stratosphere. As a result, the polar vortex intensifies during the western phase of the QBO and weakens during the eastern phase, which manifests itself in the timing, duration, and intensity of stratospheric ozone depletion. Polar ozone depletion occurs inside the strong polar vortex from late winter to spring due to the occurrence of heterogeneous and photochemical ozone destruction reactions in the presence of solar radiation. We studied the effect of QBO phases at different isobaric levels on the dynamics of the stratospheric polar vortices based on satellite data from the Goddard Space Flight Center NASA. It is shown that the QBO at the 30 hPa pressure level has a predominant effect on the dynamics of the polar vortices. This is observed from September to December, especially in October and November, in the dynamics of the Antarctic polar vortex, and throughout the entire period of its existence in the dynamics of the Arctic polar vortex.
About the authors
V. V. Zuev
Institute of Monitoring of Climatic and Ecological Systems of the Siberian Branch of the Russian Academy of Sciences
Email: maslennikovaerika@gmail.com
Russia, Tomsk
E. A. Maslennikova
Institute of Monitoring of Climatic and Ecological Systems of the Siberian Branch of the Russian Academy of Sciences; National Research Tomsk State University
Author for correspondence.
Email: maslennikovaerika@gmail.com
Russia, Tomsk; Russia, Tomsk
E. S. Savelieva
Institute of Monitoring of Climatic and Ecological Systems of the Siberian Branch of the Russian Academy of Sciences
Email: maslennikovaerika@gmail.com
Russia, Tomsk
References
- Агеева В.Ю., Груздев А.Н., Елохов А.С., Мохов И.И., Зуева Н.Е. Внезапные стратосферные потепления: статистические характеристики и влияние на общее содержание NO2 и O3 // Изв. РАН. ФАО. 2017. Т. 53. № 5. С. 545–555. [Ageyeva V.Y., Gruzdev A.N., Elokhov A.S., Mokhov I.I., Zueva N.E. Sudden stratospheric warmings: statistical characteristics and influence on NO2 and O3 total contents // Izv. Atmos. Ocean. Phys. 2017. V. 53. № 5. P. 477–486. https://doi.org/10.1134/S0001433817050036]10.1134/S0001433817050036].https://doi.org/10.7868/S0003351517050014
- Криволуцкий А.А., Репнев А.И. Результаты российские исследований средней атмосферы в 2007–2010 гг. // Изв. РАН. Физика атмосферы и океана. 2012. Т. 48. № 3. С. 334–345. [Krivolutsky A.A., Repnev A.I. Results of Russian studies of the middle atmosphere, 2007–2010 // Izv. Atmos. Ocean. Phys. 2012. V. 48. № 3. P. 299–308. https://doi.org/10.1134/S000143381203005X].https://doi.org/10.31857/S0002-351555648-65
- Погорельцев А.И., Савенкова Е.Н. Межгодовая и климатическая изменчивость сроков весенней перестройки циркуляции стратосферы // Ученые записки РГГМУ. 2010. № 11. С. 53–62.
- Фролькис В.А., Кароль И.Л., Киселёв А.А. Существует ли связь между квазидвухлетними колебаниями атмосферы и изменениями содержания озона и температуры в Антарктиде? // Труды ГГО. 2021. № 601. С. 19–34.
- Baldwin M.P., Gray L.J., Dunkerton T.J., Hamilton K., Haynes P.H., Randel W.J., Holton J.R., Alexander M.J., Hirota I., Horinouchi T., Jones D.B.A., Kinnersley J.S., Marquardt C., Sato K., Takahashi M. The quasi-biennial oscillation // Rev. Geophys. 2001. V. 39. № 2. P. 179–229. https://doi.org/10.1007/978-1-4020-8217-7_4
- Camp C.D., Tung K.-K. The influence of the solar cycle and QBO on the late-winter stratospheric polar vortex // J. Atmos. Sci. 2007. V. 64. № 4. P. 1267–1283. https://doi.org/10.1175/JAS3883.1
- Chen W., Wei K. Interannual variability of the winter stratospheric polar vortex in the Northern Hemisphere and their relations to QBO and ENSO // Adv. Atmos. Sci. 2009. V. 26. № 5. P. 855–863. https://doi.org/10.1007/s00376-009-8168-6
- Calvo N., Giorgetta M.A., Peña-Ortiz C. Sensitivity of the boreal winter circulation in the middle atmosphere to the quasi-biennial oscillation in MAECHAM5 simulations // J. Geophys. Res. 2007. V. 112. № 10. P. D10124. https://doi.org/10.1029/2006JD007844
- Finlayson-Pitts B.J., Pitts J.N. Chemistry of the Upper and Lower Atmosphere: Theory, Experiments, and Applications. California: Academic Press, 2000. 969 p.
- Ford E.A.K., Hibbins R.E., Jarvis M.J. QBO effects on Antarctic mesospheric winds and polar vortex dynamics // Geophys. Res. Lett. 2009. V. 36. № 20. P. L20801. https://doi.org/10.1029/2009GL039848
- Garfinkel C.I., Hartmann D.L. Effects of the El Niño–Southern Oscillation and the Quasi-Biennial Oscillation on polar temperatures in the stratosphere // J. Geophys. Res. 2007. V. 112. № 19. P. D19112. https://doi.org/10.1029/2007JD008481
- Garfinkel C.I., Shaw T.A., Hartmann D.L., Waugh D.W. Does the Holton–Tan mechanism explain how the quasi-biennial oscillation modulates the Arctic polar vortex? // J. Atmos. Sci. 2012. V. 69. № 5. P. 1713‒1733. https://doi.org/10.1175/JAS-D-11-0209.1
- Gelaro R., McCarty W., Suárez M.J., Todling R., Molod A., Takacs L., Randles C.A., Darmenov A., Bosilovich M.G., Reichle R., Wargan K., Coy L., Cullather R., Draper C., Akella S., Buchard V., Conaty A., da Silva A.M., Gu W., Kim G.-K., Koster R., Lucchesi R., Merkova D., Nielsen J.E., Partyka G., Pawson S., Putman W., Rienecker M., Schubert S.D., Sienkiewicz M., Zhao B. The Modern-Era Retrospective Analysis for Research and Applications, Version 2 (MERRA-2) // J. Climate. 2017. V. 30. № 14. P. 5419–5454. https://doi.org/10.1175/JCLI-D-16-0758.1
- Holton J.R., Tan H.C. The influence of the equatorial quasi-biennial oscillation on the global circulation at 50 mb // J. Atmos. Sci. 1980. V. 37. № 10. P. 2200–2208. https://doi.org/10.1175/1520-0469(1980)037 <2200:TIOTEQ>2.0.CO;2
- Hampson J., Haynes P. Influence of the equatorial QBO on the extratropical stratosphere // J. Atmos. Sci. 2006. V. 63. № 3. P. 936–951. https://doi.org/10.1175/JAS3657.1
- Hu Y., Tung K.K. Tropospheric and equatorial influences on planetary-wave amplitude in the stratosphere // Geophys. Res. Lett. 2002. V. 29. № 2. P. 1019. https://doi.org/10.1029/2001GL013762
- Hitchman M.H., Huesmann A.S. Seasonal influence of the quasi-biennial oscillation on stratospheric jets and Rossby wave breaking // J. Atmos. Sci. 2009. V. 66. № 4. P. 935–946. https://doi.org/10.1175/2008JAS2631.1
- Haigh J.D., Roscoe H.K. The final warming date of the Antarctic polar vortex and influences on its interannual variability // J. Climate. 2009. V. 22. № 22. P. 5809–5819. https://doi.org/10.1175/2009JCLI2865.1
- Kinnersley J.S., Tung K.K. Mechanisms for the extratropical QBO in circulation and ozone // J. Atmos. Sci. 1999. V. 56. № 12. P. 1942‒1962. https://doi.org/10.1175/1520-0469(1999)056<1942: MFTEQI>2.0.CO;2
- Klekociuk A.R., Tully M.B., Alexander S.P., Dargaville R.J., Deschamps L.L., Fraser P.J., Gies H.P., Henderson S.I., Javorniczky J., Krummel P.B., Petelina S.V., Shanklin J.D., Siddaway J.M., Stone K.A. The Antarctic ozone hole during 2010 // Aust. Meteorol. Ocean. 2011. V. 61. № 4. P. 253–267. https://doi.org/10.22499/2.6104.006
- Manney G.L., Zurek R.W., O’Neill A., Swinbank R. On the motion of air through the stratospheric polar vortex // J. Atmos. Sci. 1994. V. 51. № 20. P. 2973‒2994. https://doi.org/10.1175/1520-0469(1994)051<2973:OTMOAT>2.0.CO;2
- Naito Y., Yoden S. Behavior of planetary waves before and after stratospheric sudden warming events in several phases of the equatorial QBO // J. Atmos. Sci. 2006. V. 63. № 6. P. 1637–1649. https://doi.org/10.1175/JAS3702.1
- Naoe H., Shibata K. Equatorial quasi-biennial oscillation influence on northern winter extratropical circulation // J. Geophys. Res. 2010. V. 115. № 19. P. D19102. https://doi.org/10.1029/2009JD012952
- Niwano M., Takahashi M. The influence of the equatorial QBO on the Northern Hemisphere winter circulation of a GCM // J. Meteor. Soc. Jpn. 1998. V. 76. № 3. P. 453–461. https://doi.org/10.2151/jmsj1965.76.3_453
- O’Sullivan D., Young R. Modeling the quasi-biennial oscillation’s effect on the winter stratospheric circulation // J. Atmos. Sci. 1992. V. 49. № 24. P. 2437–2448. https://doi.org/10.1175/1520-0469(1992)049<2437: MTQBOE>2.0.CO;2
- Pascoe C.L., Gray L.J., Scaife A.A. A GCM study of the influence of equatorial winds on the timing of sudden stratospheric warmings // Geophys. Res. Lett. 2006. V. 33. № 6. P. L06825. https://doi.org/10.1029/2005GL024715
- Ruzmaikin A., Feynman J., Jiang X., Yung Y.L. Extratropical signature of the quasi-biennial oscillation // J. Geophys. Res. 2005. V. 110, № 11. P. D11111. https://doi.org/10.1029/2004JD005382
- Sobel A.H., Plumb R.A., Waugh D.W. Methods of calculating transport across the polar vortex edge // J. Atmos. Sci. 1997. V. 54. № 18. P. 2241–2260. https://doi.org/10.1175/1520-0469(1997)054<2241:MOCTAT>2.0.CO;2
- Thomas M.A., Giorgetta M.A., Timmreck C., Graf H.-F., Stenchikov G. Simulation of the climate impact of Mt. Pinatubo eruption using ECHAM5 – Part 2: Sensitivity to the phase of the QBO and ENSO // Atmos. Chem. Phys. 2009. V. 9. № 9. P. 3001–3009. https://doi.org/10.5194/acp-9-3001-2009
- Thomas M.A., Timmreck C., Giorgetta M.A., Graf H.-F., Stenchikov G. Simulation of the climate impact of Mt. Pinatubo eruption using ECHAM5 – Part 1: Sensitivity to the modes of atmospheric circulation and boundary conditions // Atmos. Chem. Phys. 2009. V. 9. № 2. P. 757–769. https://doi.org/10.5194/acp-9-757-2009
- Zuev V.V., Zueva N.E., Savelieva E.S. The role of the Mt. Merapi eruption in the 2011 Arctic ozone depletion // Atmos. Environ. 2017. V. 166. P. 327–333. https://doi.org/10.1016/j.atmosenv.2017.07.040
- Zuev V.V., Savelieva E. The cause of the spring strengthening of the Antarctic polar vortex // Dynam. Atmos. Oceans. 2019a. V. 87. P. 101097. https://doi.org/10.1016/j.dynatmoce.2019.101097
- Zuev V.V., Savelieva E. The cause of the strengthening of the Antarctic polar vortex during October–November periods // J. Atmos. Sol.-Terr. Phys. 2019b. V. 190. P. 1–5. https://doi.org/10.1016/j.jastp.2019.04.016
Supplementary files





