Interannual Dynamics of Structural and Functional Characteristics of Macrophytobenthos in the Coastal Zone of a Recreational Complex (Sevastopol, Black Sea)
- Authors: Kovardakov S.A.1, Rodionova N.Y.1
-
Affiliations:
- Kovalevsky Institute of Biology of the Southern Seas, Russian Academy of Sciences
- Issue: Vol 50, No 5 (2024)
- Pages: 337-348
- Section: ОРИГИНАЛЬНЫЕ СТАТЬИ
- Accepted: 02.12.2024
- Published: 02.12.2024
- URL: https://journals.rcsi.science/0134-3475/article/view/271876
- DOI: https://doi.org/10.31857/S0134347524050029
- ID: 271876
Cite item
Full Text
Abstract
A comparison of the interannual (1985, 2004, and 2015) dynamics of nine structural and functional characteristics of macrophytobenthos in the coastal waters of the Victory Park (a developing recreational zone of the city of Sevastopol, including the city beach) was carried out using one-way analysis of variance (ANOVA), factor analysis, and principal component analysis (PCA) and taking into account the depth of macrophyte habitat and concentrations of mineral forms of nitrogen and phosphorus. Interannual statistically significant differences have been found for most of the analyzed variables. It has been shown that rearrangement of the macrophytobenthos structure occurs with an increase in the nutrient pressure on the water area. Perennial dominant species are replaced by physiologically active and rapidly growing ephemeral species with a developed surface; the biomass of dominant species decreases against the background of increased biomass of epiphytes and associated species. As the nutrient pressure decreases, the bottom phytocoenosis begins to recover.
Full Text
На протяжении последних 50-ти лет морская эвтрофикация стала главной угрозой для прибрежных экосистем во всем мире (Smith et al., 2006; State of the environment …, 2008; Malone, Newton, 2020). Повышение уровня питательных веществ способствует трансформации морских экосистем, ухудшая качество среды, снижая видовое разнообразие и изменяя структуру и функционирование сообществ (Березенко, 2016; Панкеева, Миронова, 2019; Rabalais et al., 2009).
Весомой составляющей общего эвтрофирования прибрежных акваторий Черного моря является возрастающая рекреационная нагрузка, которая оказывает существенное отрицательное воздействие на прибрежные экосистемы, снижая рекреационную привлекательность побережья (Григорьева, Чекмарева, 2013; Непомнящий, Макеева, 2020; Schulz, 1981).
Главную роль в формировании первичной продукции прибрежных морских экосистем и в процессах их самоочищения играет макрофитобентос. От его состояния зависит качество среды и функционирование гидробионтов, обитающих в прибрежье. Изучение закономерностей формирования донных фитоценозов остается весьма актуальным в условиях комплексного освоения береговой зоны и увеличения антропогенной нагрузки на морские прибрежные экосистемы (Вержевская, Миньковская, 2020; Дьяков и др., 2020).
Макрофитобентос российского сектора Черного моря достаточно хорошо изучен. В рамках данной статьи сошлемся лишь на наиболее важные современные публикации, посвященные, в основном, динамике биоразнообразия (Афанасьев, 2010; Громов, 2012; Папунов, 2012; Теюбова, 2012; Никитина, Лисовская, 2013; Березенко, 2016; Степаньян, 2018; Миронова, Панкеева, 2021; Садогурський и др., 2021; Milchakova, 2011). Не так много работ, в которых обсуждаются закономерности формирования донных сообществ в разных экологических условиях. Это связано со сложностью анализа и интерпретации данных из-за большого количества факторов и измеряемых признаков. В ряде случаев для этого подходят многомерные статистические методы, называемые также методами ординации (Новаковский, 2008). При наличии большого количества переменных они позволяют на основе анализа различных биотических и абиотических факторов выявить структурные и функциональные закономерности межвидовых связей в биоценозах во взаимодействии с факторами среды (Хайлов, Парчевский, 1983; Афанасьев, Абдуллин, 2014; Афанасьев и др., 2017; Lee et al., 2022).
В прибрежной рекреационной акватории парка Победы г. Севастополь нет выпусков хозяйственно-бытовых стоков, основная биогенная нагрузка возникает в летнее время в результате жизнедеятельности рекреантов. По итогам тридцатилетнего (1985–2015 гг.) мониторинга накоплены данные о динамике макрофитобентоса и изменении гидрохимических показателей азота и фосфора на этом участке. Анализ этих данных методами многомерной статистики позволяет перейти к выявлению закономерностей формирования донной растительности с учетом изменяющихся условий.
Цель работы – оценить межгодовую динамику основных структурно-функциональных параметров макрофитобентоса в прибрежной акватории парка Победы г. Севастополь с учетом биогенной нагрузки и распределения макрофитобентоса по глубине. Применив дисперсионный и факторный анализы, выделить из всей совокупности независимых переменных минимальное число переменных, наилучшим образом описывающих структурные и функциональные перестройки донной растительности; найти новые (или уточнить уже имеющиеся) интерпретации формирования параметров макрофитобентоса в условиях усиления рекреационной нагрузки на акваторию.
МАТЕРИАЛ И МЕТОДИКА
В работе использованы материалы гидроботанических съемок, проводившихся в июле 1985, 2004 и 2015 гг. в прибрежной морской акватории г. Севастополь (район парка Победы) (рис. 1). Здесь на участке протяженностью около 1 км расположен городской пляж с гидротехническими сооружениями, предохраняющими берег от размыва.
Рис. 1. Карта-схема с участком отбора проб и расположением станций.
Пробы брали на семи стандартных гидроботанических разрезах на глубинах 0.5, 2 и 4 м по общепринятой методике (Калугина-Гутник, 1969). Всего было собрано и проанализировано 244 пробы. Водоросли разделили на три группы: вид-эдификатор цистозира Ericaria crinita (Duby) Molinari & Guiry, 2020 (Phaeophyta), эпифиты цистозиры и группа сопутствующих видов. Для каждой группы определяли общую массу макрофитов и вычисляли вклад в биомассу фитоценоза по глубине. Коэффициент эпифитирования цистозиры (КЭ) рассчитывали как отношение массы эпифитов к массе цистозиры (Ковардаков, Фирсов, 2007).
Среднюю удельную поверхность фитоценоза (S/W)Ф на разных глубинах рассчитывали по алгоритму (Хайлов и др., 2004). Величину удельной поверхности водорослей разных видов брали из литературных источников (Миничева и др., 2003; Беленикина, 2005).
Анализ проб воды на содержание минерального фосфора (PO43–) и суммарного минерального азота (NO2– + NO3– + NH4+) проводили по стандартным гидрохимическим методикам (Руководство …, 2003). Содержание растворенного неорганического фосфора (PO43–) определяли колориметрически, используя модифицированный метод Морфи и Райли, основанный на колориметрировании молибденовой гетерополисини. Для ускорения реакции применяли калий сурьмяновиннокислый, в качестве восстановителя использовали аскорбиновую кислоту. Максимум оптической плотности образовавшегося соединения наблюдали при длине волны 885 нм. Определение нитритного азота (NO2–) проводили по методу, основанному на образовании азокраски при взаимодействии нитрита с сульфаниламидом и α-нафтилэтилендиамином солянокислым. Оптическую плотность измеряли при длине волны 543 нм. Нитраты (NO2–) определяли колориметрически после их восстановления на кадмиевых колонках до нитритного азота. Определение массовой концентрации аммонийной формы азота основано на образовании индофенолового синего при взаимодействии аммиака в щелочной среде с гипохлоритом и фенолом и фотометрическом измерении оптической плотности ярко-голубого соединения с максимумом в спектре поглощения при длине волны 630 нм.
Статистическую обработку проводили в прикладном пакете Statistica 12 при помощи однофакторного дисперсионного и факторного анализов с применением метода главных компонент. В дисперсионном анализе глубину отбора проб не анализировали, т.к. в разные годы пробы отбирались по одной сетке станций. Уравнения, описывающие связь значений переменных со значениями главных компонент, рассчитывали в программе CurveExpert 1.3. Критерии выборочной адекватности Кайзера–Мейера–Олкина (Cureton, D’Agostino, 1993) и сферичности Бартлетта (Лемешко, Миркин, 2004) для обоснования правомочности применения к данным факторного анализа устанавливали при помощи программы статистической обработки информации PAST 4.12b.
Для дисперсионного и факторного анализов использовали средние значения параметров макрофитобентоса и среды (табл. 1).
Таблица 1. Характеристики макрофитобентоса и среды прибрежной акватории парка Победы г. Севастополь, использованные для анализа
Глубина, м | CN | CP | BФ | BЦ | BЭ | BСВ | NЦ, экз/м2 | WСЛ, г | KЭ | (S/W)Ф, м2/кг | ИПФ |
мкМ/л | кг/м2 | ||||||||||
1985 г. | |||||||||||
0.5 | 1.78 | 0.32 | 5.61 | 4.30 | 0.81 | 0.50 | 284 | 15.13 | 0.19 | 8.63 | 48.37 |
0.5 | 1.69 | 0.14 | 6.99 | 6.44 | 0.39 | 0.16 | 900 | 7.15 | 0.06 | 6.75 | 47.18 |
0.5 | 1.69 | 0.12 | 5.09 | 4.88 | 0.14 | 0.07 | 612 | 7.97 | 0.03 | 6.38 | 32.43 |
0.5 | 1.93 | 0.27 | 5.36 | 4.88 | 0.24 | 0.24 | 672 | 7.27 | 0.05 | 6.69 | 35.87 |
0.5 | 0.87 | 0.09 | 4.02 | 3.60 | 0.25 | 0.17 | 584 | 6.17 | 0.07 | 7.48 | 30.05 |
0.5 | 1.78 | 0.09 | 10.97 | 8.45 | 1.79 | 0.72 | 1140 | 7.41 | 0.21 | 6.37 | 69.85 |
0.5 | 1.64 | 0.11 | 6.80 | 6.56 | 0.12 | 0.11 | 1400 | 4.69 | 0.02 | 6.11 | 41.50 |
2.0 | 1.78 | 0.32 | 4.79 | 3.99 | 0.42 | 0.38 | 400 | 9.98 | 0.11 | 7.18 | 34.36 |
2.0 | 1.69 | 0.14 | 7.23 | 6.11 | 0.62 | 0.50 | 536 | 11.41 | 0.10 | 7.05 | 50.98 |
2.0 | 1.69 | 0.12 | 7.02 | 6.23 | 0.38 | 0.41 | 464 | 13.43 | 0.06 | 6.33 | 44.49 |
2.0 | 1.93 | 0.27 | 5.36 | 4.88 | 0.35 | 0.13 | 672 | 7.27 | 0.07 | 7.02 | 37.63 |
2.0 | 0.87 | 0.09 | 6.17 | 5.59 | 0.32 | 0.25 | 388 | 14.42 | 0.06 | 6.96 | 42.91 |
2.0 | 1.78 | 0.09 | 5.99 | 3.76 | 1.15 | 1.08 | 888 | 4.23 | 0.31 | 6.79 | 40.65 |
2.0 | 1.64 | 0.11 | 6.67 | 5.85 | 0.49 | 0.33 | 852 | 6.86 | 0.08 | 6.68 | 44.56 |
4.0 | 1.78 | 0.32 | 7.06 | 5.60 | 0.78 | 0.68 | 596 | 9.39 | 0.14 | 7.25 | 51.16 |
4.0 | 1.69 | 0.14 | 6.93 | 6.80 | 0.07 | 0.07 | 452 | 15.05 | 0.01 | 6.08 | 42.18 |
4.0 | 1.69 | 0.12 | 4.93 | 3.80 | 0.41 | 0.72 | 516 | 7.37 | 0.11 | 6.23 | 30.71 |
4.0 | 1.93 | 0.27 | 4.33 | 3.74 | 0.32 | 0.27 | 508 | 7.37 | 0.09 | 6.73 | 29.16 |
4.0 | 0.87 | 0.09 | 3.99 | 3.17 | 0.48 | 0.34 | 324 | 9.80 | 0.15 | 7.75 | 30.95 |
4.0 | 1.78 | 0.09 | 7.27 | 6.10 | 0.60 | 0.57 | 784 | 7.78 | 0.10 | 6.93 | 50.39 |
4.0 | 1.64 | 0.11 | 5.74 | 5.11 | 0.38 | 0.25 | 608 | 8.40 | 0.07 | 6.74 | 38.68 |
2004 г. | |||||||||||
0.5 | 4.91 | 0.45 | 5.63 | 3.31 | 1.04 | 1.28 | 586 | 5.65 | 0.31 | 17.47 | 98.35 |
0.5 | 4.34 | 0.44 | 5.72 | 3.13 | 1.08 | 1.51 | 524 | 5.97 | 0.34 | 22.58 | 129.14 |
0.5 | 4.00 | 0.43 | 4.92 | 3.70 | 0.53 | 0.70 | 778 | 4.75 | 0.14 | 14.72 | 72.48 |
0.5 | 7.09 | 0.44 | 3.88 | 2.48 | 0.70 | 0.70 | 456 | 5.44 | 0.28 | 7.86 | 30.48 |
0.5 | 2.87 | 0.40 | 7.55 | 4.80 | 1.26 | 1.49 | 942 | 5.10 | 0.26 | 19.45 | 146.78 |
0.5 | 2.80 | 0.39 | 5.91 | 4.02 | 0.78 | 1.11 | 876 | 4.59 | 0.19 | 18.47 | 109.14 |
0.5 | 2.64 | 0.40 | 5.96 | 5.21 | 0.37 | 0.38 | 1348 | 3.87 | 0.07 | 7.58 | 45.15 |
2.0 | 4.91 | 0.45 | 6.60 | 2.48 | 2.00 | 2.12 | 534 | 4.65 | 0.80 | 29.51 | 194.71 |
2.0 | 4.34 | 0.44 | 6.76 | 2.37 | 2.08 | 2.31 | 532 | 4.45 | 0.88 | 29.02 | 196.05 |
2.0 | 4.00 | 0.43 | 5.18 | 2.47 | 1.38 | 1.33 | 590 | 4.18 | 0.56 | 23.99 | 124.16 |
2.0 | 7.09 | 0.44 | 5.71 | 3.51 | 0.89 | 1.31 | 506 | 6.94 | 0.25 | 21.55 | 123.04 |
2.0 | 2.87 | 0.40 | 5.09 | 2.75 | 1.10 | 1.23 | 502 | 5.49 | 0.40 | 20.87 | 106.28 |
2.0 | 2.80 | 0.39 | 6.60 | 3.99 | 1.28 | 1.33 | 918 | 4.35 | 0.32 | 18.20 | 120.05 |
2.0 | 2.64 | 0.40 | 7.11 | 5.13 | 0.90 | 1.08 | 896 | 5.72 | 0.18 | 9.85 | 70.03 |
4.0 | 4.91 | 0.45 | 4.57 | 2.22 | 1.16 | 1.18 | 504 | 4.40 | 0.52 | 24.40 | 111.47 |
4.0 | 4.34 | 0.44 | 8.03 | 2.71 | 2.64 | 2.67 | 596 | 4.55 | 0.97 | 25.69 | 206.16 |
4.0 | 4.00 | 0.43 | 4.98 | 2.24 | 1.58 | 1.16 | 604 | 3.72 | 0.70 | 12.10 | 60.29 |
4.0 | 7.09 | 0.44 | 5.50 | 3.31 | 1.04 | 1.15 | 520 | 6.36 | 0.32 | 13.23 | 72.76 |
4.0 | 2.87 | 0.40 | 5.50 | 3.01 | 1.15 | 1.35 | 592 | 5.08 | 0.38 | 17.93 | 98.70 |
4.0 | 2.80 | 0.39 | 6.36 | 3.52 | 1.40 | 1.44 | 840 | 4.19 | 0.40 | 12.15 | 77.25 |
4.0 | 2.64 | 0.40 | 5.70 | 3.76 | 0.88 | 1.06 | 704 | 5.34 | 0.23 | 15.96 | 90.99 |
2015 г. | |||||||||||
0.5 | 3.93 | 0.38 | 3.49 | 2.26 | 1.14 | 0.09 | 371 | 6.08 | 0.51 | 19.77 | 68.97 |
0.5 | 3.41 | 0.29 | 4.28 | 2.93 | 1.21 | 0.15 | 437 | 6.70 | 0.41 | 11.86 | 50.78 |
0.5 | 3.43 | 0.28 | 5.88 | 4.77 | 0.91 | 0.21 | 646 | 7.38 | 0.19 | 9.66 | 56.83 |
0.5 | 3.91 | 0.36 | 2.34 | 1.73 | 0.50 | 0.10 | 258 | 6.72 | 0.29 | 9.25 | 21.61 |
0.5 | 1.27 | 0.25 | 3.45 | 2.36 | 1.07 | 0.02 | 368 | 6.42 | 0.45 | 11.28 | 38.94 |
0.5 | 0.97 | 0.24 | 6.84 | 5.53 | 1.22 | 0.09 | 894 | 6.18 | 0.22 | 8.83 | 60.37 |
0.5 | 2.03 | 0.25 | 6.15 | 5.54 | 0.40 | 0.22 | 1186 | 4.67 | 0.07 | 6.85 | 42.16 |
2.0 | 3.93 | 0.38 | 4.27 | 3.02 | 1.17 | 0.08 | 534 | 5.66 | 0.39 | 11.31 | 48.31 |
2.0 | 3.41 | 0.29 | 4.68 | 3.07 | 1.57 | 0.03 | 524 | 5.87 | 0.51 | 11.42 | 53.42 |
2.0 | 3.43 | 0.28 | 5.35 | 3.91 | 1.22 | 0.22 | 682 | 5.73 | 0.31 | 10.86 | 58.06 |
2.0 | 3.91 | 0.36 | 4.52 | 3.65 | 0.76 | 0.10 | 616 | 5.93 | 0.21 | 9.85 | 44.52 |
2.0 | 1.27 | 0.25 | 4.03 | 2.98 | 0.99 | 0.06 | 440 | 6.77 | 0.33 | 10.48 | 42.24 |
2.0 | 0.97 | 0.24 | 6.04 | 5.05 | 0.89 | 0.10 | 882 | 5.72 | 0.18 | 8.81 | 53.22 |
2.0 | 2.03 | 0.25 | 5.45 | 4.04 | 0.75 | 0.65 | 676 | 5.98 | 0.19 | 14.90 | 81.13 |
4.0 | 3.93 | 0.38 | 5.43 | 3.89 | 1.33 | 0.21 | 843 | 4.62 | 0.34 | 11.74 | 63.69 |
4.0 | 3.41 | 0.29 | 4.83 | 2.99 | 1.77 | 0.08 | 552 | 5.42 | 0.59 | 11.23 | 54.30 |
4.0 | 3.43 | 0.28 | 5.18 | 3.82 | 1.18 | 0.19 | 820 | 4.66 | 0.31 | 10.37 | 53.72 |
4.0 | 3.91 | 0.36 | 4.48 | 3.84 | 0.52 | 0.12 | 716 | 5.36 | 0.13 | 9.11 | 40.77 |
4.0 | 1.27 | 0.25 | 4.70 | 3.77 | 0.81 | 0.12 | 568 | 6.64 | 0.21 | 8.64 | 40.63 |
4.0 | 0.97 | 0.24 | 6.21 | 5.81 | 0.11 | 0.29 | 932 | 6.23 | 0.02 | 6.07 | 37.71 |
4.0 | 2.03 | 0.25 | 6.72 | 4.76 | 0.98 | 0.98 | 736 | 6.47 | 0.21 | 16.04 | 107.77 |
Примечание. СN – концентрация минерального азота; СP – концентрация минерального фосфора; BФ – биомасса фитоценоза; BЦ – биомасса цистозиры; BЭ – биомасса эпифитов; BСВ – биомасса сопутствующих видов; NЦ – плотность популяции цистозиры; WСЛ – средняя индивидуальная масса слоевища цистозиры; КЭ – коэффициент эпифитирования цистозиры; (S/W)Ф – удельная поверхность фитоценоза; ИПФ – индекс поверхности фитоценоза; n = 63.
РЕЗУЛЬТАТЫ
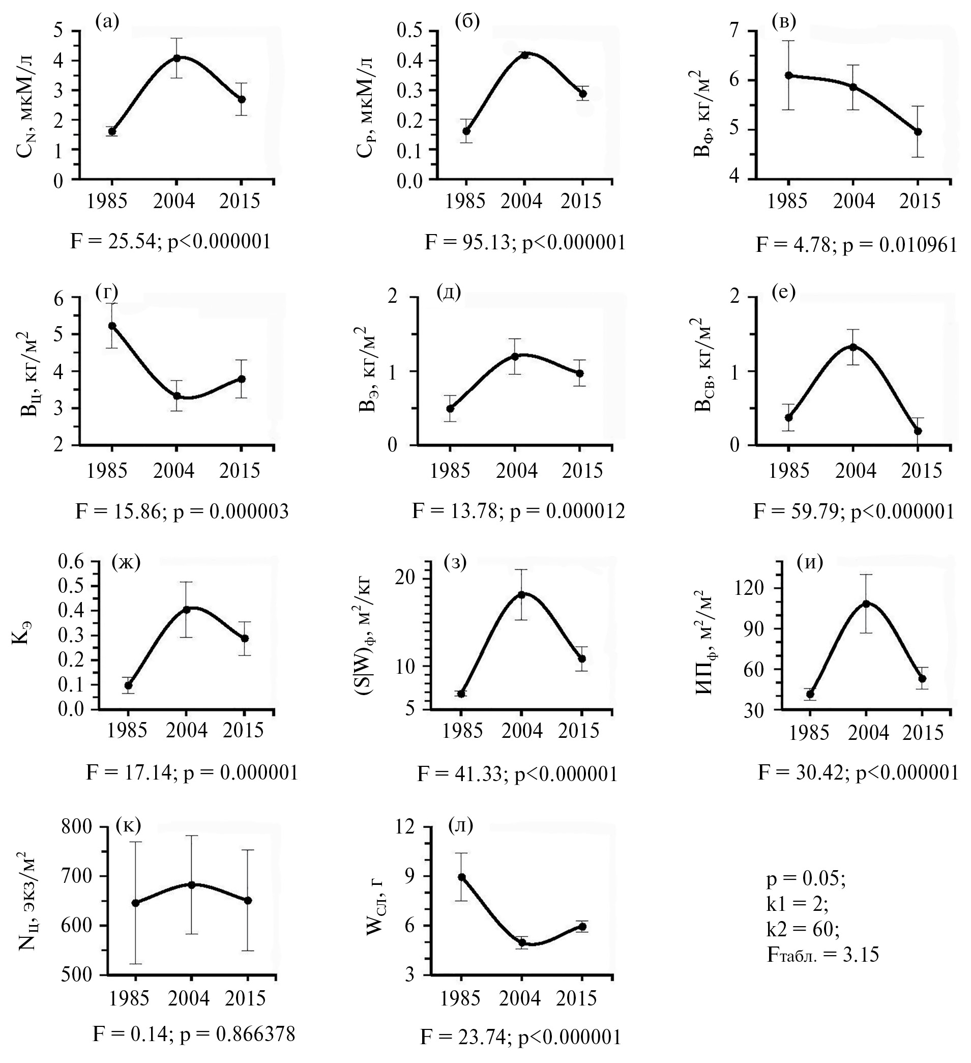
Дисперсионный однофакторный анализ, проведенный для оценки значений переменных в 1985, 2004 и 2015 гг., показал статистически значимые (p ≤ 0.05) межгодовые различия по всем переменным, за исключением плотности популяции цистозиры NЦ (рис. 2к).
Рис. 2. Межгодовые изменения анализируемых признаков макрофитобентоса и характеристик среды из прибрежной акватории парка Победы г. Севастополь: а – концентрация минерального азота в воде (СN), б – концентрация минерального фосфора в воде (СP), в – биомасса фитоценоза (BФ), г – биомасса цистозиры (BЦ), д – биомасса эпифитов (BЭ), е – биомасса сопутствующих видов (BСВ), ж – коэффициент эпифитирования цистозиры (КЭ), з – удельная поверхность фитоценоза (S/W)Ф, и – индекс поверхности фитоценоза (ИПФ), к – плотность популяции цистозиры (NЦ), л – средняя индивидуальная масса слоевища цистозиры (WСЛ). Вертикальная ось – значения анализируемых признаков, горизонтальная – годы проведения исследований. Приведены средние значения признаков ± доверительный интервал = 0.95; F – критерий Фишера, p – уровень значимости, k1 и k2 – число степеней свободы соответственно межгрупповой и внутригрупповой дисперсий.
Большинство трендов межгодового изменения биотических и абиотических признаков описываются одновершинными кривыми с максимумом в 2004 г. (рис. 2а, 2б, 2д–2и). Для биомассы цистозиры (ВЦ) и средней индивидуальной массы ее слоевища (WСЛ) в 2004 г. отмечен минимум (рис. 2г, 2л). За это же время биомасса фитоценоза (BФ) монотонно снизилась с 6 до 5 кг/м2 (рис. 2в).
Рассчитанные нами критерии выборочной адекватности Кайзера–Мейера–Олкина (MSA = 0.63) (Cureton, D’Agostino, 1993) и критерий многомерной нормальности для распределения переменных Бартлета (Лемешко, Миркин, 2004) (χ2 = 1410.9, определитель матрицы |R| = 1.9-11 при 66 степенях свободы и p < 0.000001) подтвердили правомерность применения факторного анализа к анализируемому набору переменных.
Применение метода главных компонент позволило выделить 11 главных компонент. Согласно критерию Кайзера, первые 3 из них (F1, F2 и F3) являются значимыми, так как имеют собственные значения выше 1 и объясняют соответственно 47.7, 19.5 и 11.2% дисперсий всех изучаемых признаков. Остальные, на долю которых приходится 21.6% общей дисперсии, не были включены в анализ. Для переменных и значений наблюдений приведены проекции на факторную плоскость, образованную осями первой и второй главных компонент (F1 и F2) без вращения матрицы (рис. 3).
Рис. 3. Проекции 12 переменных и 63 наблюдений по годам на факторную плоскость F1–F2.
Анализ полученных данных показал, что первая главная компонента F1 существенно связана с биогенной нагрузкой на акваторию и основными характеристиками макрофитобентоса. Выявленные межгодовые различия наблюдений определяются увеличением биомассы цистозиры (BЦ) и средней индивидуальной массы ее слоевища (WСЛ), снижением концентраций минерального азота (СN) и фосфора (СP), биомассы эпифитов (BЭ) и сопутствующих видов (BСВ), а также уменьшением коэффициента эпифитирования цистозиры (КЭ), удельной поверхности фитоценоза (S/W)Ф и индекса его поверхности (ИПФ). По шкале F2 межгодовые различия наблюдений определяются увеличением биомассы фитоценоза (BФ) и BЦ, а также плотности популяции цистозиры (NЦ) (рис. 3).
Анализ межгодовых изменений значимых параметров по шкале F1 (рис. 4) показал, что из девяти переменных положительно с F1 коррелируют ВЦ и WСЛ (рис. 4в, 4е), связь остальных переменных с первой главной компонентой отрицательная.
Рис. 4. Межгодовые изменения значимых переменных макрофитобентоса и среды по шкале F1. Для каждой переменной здесь и на рис. 5 и 6 приведены линии регрессии с уравнениями, коэффициентами корреляции (R) и детерминации (R2). Условные обозначения здесь и на рис. 5 и 6: – 1985 г., – 2004 г., ▲ – 2015 г.
Вторая главная компонента F2 значимо и положительно связана с ВФ, NЦ и BЦ (рис. 5), а третья положительно коррелирует с NЦ и отрицательно – c WСЛ и с глубиной обитания макрофитов (рис. 6).
Рис. 5. Межгодовые изменения значений переменных макрофитобентоса по шкале F2.
Рис. 6. Межгодовые изменения значений переменных макрофитобентоса и глубины отбора проб (Z) по шкале F3.
ОБСУЖДЕНИЕ
В годы проведения съемок максимальные значения CN и CP отмечены в 2004 г., минимальные – в 1985 г. (рис. 2а, 2б). Большинство переменных, характеризующих макрофитобентос, изменялось пропорционально изменениям концентраций азота и фосфора (рис. 2д–2и), но изменения BЦ и WСЛ носили обратный характер (рис. 2г и 2л). Это говорит о существенном влиянии биогенной нагрузки на структурные и функциональные характеристики макрофитобентоса, его высокой адаптивной лабильности и способности восстанавливаться при снижении нагрузки (Ковардаков и др., 2009).
В прибрежной акватории парка Победы большинство параметров макрофитобентоса с высокой степенью значимости коррелировали с главной компонентой F1 (рис. 3). Определяющая роль переменных CN и CP, которые влияют на формирование биомассы BЦ, BЭ и BСВ и ассимиляционной поверхности, регулирующей обменные процессы макрофитобентоса и представленной переменными KЭ, (S/W)Ф и ИПФ, подтверждается приблизительно равным вкладом этих переменных в дисперсию F1. Доля перечисленных восьми переменных составляет 93.3% от общей дисперсии F1. Эти показатели отражают трофность акватории.
Увеличению F1 соответствует снижение биогенной нагрузки (рис. 4а, 4б), т. е. повышение трофности направлено в противоположную сторону, справа налево. Как отмечалось выше, увеличение биогенной нагрузки ведет к линейному увеличению большинства переменных, но отрицательно воздействует на параметры цистозиры. Коэффициенты детерминации уравнений, описывающие зависимость параметров от F1, имеют высокие значения R2 = 0.5–0.9, за исключением R2 = 0.33 для WСЛ (рис. 4).
При увеличении концентраций азота и фосфора в исследуемой акватории происходит перестройка структуры макрофитобентоса. Физиологически активные эфемерные виды с развитой поверхностью вытесняют многолетние доминирующие виды, такие как цистозира Ericaria crinita, биомасса которых снижается. Наблюдается рост массы эпифитов и сопутствующих видов. Подобные изменения видового разнообразия, структуры и функциональных характеристик, вызванные усилением эвтрофикации и рекреационной нагрузки, отмечали многие исследователи (Мильчакова, Петров, 2003; Миронова, Панкеева, 2020; Степаньян, 2020; Rabalais et al., 2009; Titlyanov et al., 2011; Mineur et al., 2015; Haan et al., 2016). Увеличивается доля видов, обладающих высокой удельной поверхностью и, следовательно, высокой физиологической активностью, позволяющей интенсивнее потреблять азот и фосфор, быстро расти и выделять больше кислорода (Хайлов и др., 1992; Rees, 2014).
Величина ассимиляционной поверхности фитоценоза (рис. 2и, рис. 4и) изменяется в соответствии с потоками биогенных элементов в акватории, что позволяет поддерживать потоки азота и фосфора в экосистеме.
Отсутствие корреляции ВФ с F1 объясняется разнонаправленностью изменения параметров, формирующих биомассу фитоценоза. Так, с увеличением биогенной нагрузки BЦ снижается (рис. 4в), а BЭ и BСВ, наоборот, увеличиваются (рис. 4г и 4д).
Вторая главная компонента F2 на 80% зависит от трех переменных: ВФ, ВЦ и NЦ (рис. 5). Биомасса фитоценоза практически полностью определяется F2 и напрямую зависит от параметров популяции цистозиры, которые также значимо входят в другие главные компоненты: ВЦ – в первую, а NЦ – в третью.
На третью главную компоненту значимое влияние оказывают глубина обитания макрофитов и параметры популяции цистозиры – NЦ и WСЛ (рис. 6). Их общий вклад в дисперсию F3 составляет 78%. Увеличение F3 соответствует снижению глубины, увеличению плотности популяции и уменьшению средней индивидуальной массы слоевища цистозиры. Таким образом, F3 отражает батиметрическую структуру популяции E. crinita, что подтверждает опубликованные ранее данные (Ковардаков, Павшенко, 2022). Мы не стали исключать из обработки низкий коэффициент детерминации (R2 = 0.26) в уравнении, описывающим связь глубины обитания макрофитов с F3 (рис. 6в), так как при интерпретации результатов факторного анализа величина R2 = 0.20 считается приемлемой (Comrey, Lee, 1992). Известно, что структура ценопопуляций цистозиры также зависит от подвижности воды в биотопе (Хайлов, Парчевский, 1983), но в настоящем исследовании эта переменная не учитывалась.
В разные годы значения наблюдений переменных хорошо различаются (рис. 4–6). В большинстве случаев значения наблюдений 2015 г. занимают промежуточное положение между группами значений 1985 и 2004 гг. Объясняется это тем, что в 2004 г. биогенная нагрузка на прибрежную акваторию была выше, чем в 1985 и 2015 гг. (табл. 1). В 1984 г. Севастополь стал закрытым городом, что снизило поток отдыхающих, но в 1994 г. город открыли, число отдыхающих стало из года в год увеличиваться, и нагрузка на море возросла. В 2014 г. поток отдыхающих в Крым и Севастополь вновь уменьшился, ослабив рекреационную нагрузку. Изменение биогенной нагрузки подтверждается динамикой содержания азота в ветвях цистозиры (Ковардаков, 2019). Известно, что содержание азота в макрофитах возрастает с увеличением его концентрации в среде (Празукин, 1991).
Таким образом, в результате применения однофакторного дисперсионного анализа к многолетним данным, выявлены статистически значимые (p ≤ 0.05) межгодовые различия по гидрохимическим характеристикам среды и основным структурно-функциональным параметрам макрофитобентоса из акватории рекреационного комплекса. Изменения признаков макрофитобентоса пропорциональны изменениям биогенной нагрузки по азоту и фосфору.
Показано, что при повышении концентрации азота и фосфора в среде происходило увеличение биомассы эпифитов и сопутствующих видов, а также коэффициента эпифитирования цистозиры, удельной поверхности фитоценоза и индекса поверхности фитоценоза, при этом биомасса Ericaria crinita снижалась. Отклик макрофитобентоса был направлен на увеличение ассимиляционной поверхности фитоценоза за счет эфемерных видов с большой удельной поверхностью, которые способствуют увеличению самоочистительного потенциала прибрежной акватории.
Установлено, что все обнаруженные зависимости параметров макрофитобентоса и среды от главных компонент описываются линейными уравнениями, при этом в одиннадцати из пятнадцати уравнений R2 > 0.5.
Применение факторного анализа позволило выделить из 12-ти параметров три наиболее информативных фактора. Первый из них наиболее значимый, он отражает трофность рекреационной акватории и адаптацию ассимиляционной поверхности фитоценоза к биогенной нагрузке. Второй относится к формированию биомассы фитоценоза, в которой главная роль отводится цистозире, доминирующему виду в фитоценозе. Третий связан с формированием структуры популяции цистозиры в зависимости от глубины. Полученные факторы можно использовать для построения модели макрофитобентоса в эвтрофных условиях.
БЛАГОДАРНОСТИ
Авторы выражают благодарность старшему научному сотруднику ИнБЮМ Ю.К. Фирсову за участие и помощь при проведении гидроботанических съемок.
ФИНАНСИРОВАНИЕ РАБОТЫ
Исследования выполнены в рамках государственного задания Института биологии южных морей имени А.О. Ковалевского РАН по теме: “Закономерности формирования и антропогенная трансформация биоразнообразия и биоресурсов Азово-Черноморского бассейна и других районов Мирового океана”, номер госрегистрации 121030100028-0.
СОБЛЮДЕНИЕ ЭТИЧЕСКИХ СТАНДАРТОВ
Настоящая статья не содержит описания каких-либо исследований с использованием людей и животных в качестве объектов.
КОНФЛИКТ ИНТЕРЕСОВ
Авторы данной работы заявляют, что у них нет конфликта интересов.
About the authors
S. A. Kovardakov
Kovalevsky Institute of Biology of the Southern Seas, Russian Academy of Sciences
Author for correspondence.
Email: skovardakov@mail.ru
Russian Federation, Sevastopol 299011
N. Y. Rodionova
Kovalevsky Institute of Biology of the Southern Seas, Russian Academy of Sciences
Email: skovardakov@mail.ru
Russian Federation, Sevastopol 299011
References
- Афанасьев Д.Ф. Состояние и сукцессии макрофитобентоса на Азово-Черноморском шельфе России в конце XX – начале XXI веков: автореф. дис. ... д-ра биол. наук. Краснодар, 2010. 40 с.
- Афанасьев Д.Ф., Абдуллин Ш.Р. Опыт анализа организации донной растительности Российского шельфа Черного моря с использованием непрямой ординации // Экология. 2014. № 1. С. 74–76.
- Афанасьев Д.Ф., Камнев А.Н., Сеськова Д.В., Сушкова Е.Г. Сезонная динамика сообществ морских водорослей с доминированием Cystoseira crinita Duby, 1830 (Fucales: Phaeophyceae) в северо-восточной части Черного моря // Биол. моря. 2017. Т. 43. № 6. С. 393–402.
- Беленикина О.А. Красные водоросли в системе биомониторинга сублиторали Черного моря: автореф. … дис. канд. биол. наук. М., 2005. 20 с.
- Березенко Н.С. Современное состояние и динамика изменений макрофитобентоса в акватории порта Новороссийск // Морские биологические исследования: достижения и перспективы: в 3-х т.: сборник материалов Всероссийской науч.-практ. конф. с междунар. участием, приуроченной к 145-летию Севастопольской биологической станции (Севастополь, 19–24 сентября 2016 г.): ЭКОСИ-Гидрофизика, 2016. Т. 2. С. 248–251.
- Вержевская Л.В., Миньковская Р.Я. Структура и динамика антропогенной нагрузки на прибрежную зону Севастопольского региона // Экологическая безопасность прибрежной и шельфовой зон моря. 2020. № 2. С. 92–106.
- Григорьева И.Л., Чекмарева Е.А. Влияние рекреационного водопользования на качество воды Иваньковского водохранилища // Известия РАН. Сер. географическая. 2013. № 3. C. 63–70.
- Громов В.В. Макрофитобентос южных морей России. Водоросли Северо-Кавказского побережья Черного моря, прибрежно-водная растительность Азовского моря и Северного Каспия. Saarbrucken, Germany: Academic Publishing “Palmarium”, 2012. 337 с.
- Дьяков Н.Н., Мальченко Ю.А., Линченко А.Е. и др. Гидролого-гидрохимические характеристики прибрежных вод Крыма и необходимые мероприятия по снижению уровня загрязнения рекреационных зон // Труды ГОИН. 2020. № 221. С. 163–194.
- Калугина-Гутник А.А. Исследование донной растительности Черного моря с применением легководолазной техники // Морские подводные исследования. 1969. С. 105–113.
- Ковардаков С.А., Фирсов Ю.К. Изменение донной растительности в акватории черноморского рекреационного комплекса в процессе его развития // Системы контроля окружающей среды. Средства и мониторинг: сб. науч. тр. Севастополь: МГИ, 2007. С. 347–351.
- Ковардаков С.А., Празукин А.В., Фирсов Ю.К. Сравнение многолетних изменений структурных и функциональных состояний прибрежных черноморских фитоценозов с различной антропогенной нагрузкой // Системы контроля окружающей среды. Средства, информационные технологии и мониторинг: сб. науч. тр. Севастополь: МГИ, 2009. С. 377–384.
- Ковардаков С.А. Динамика структурных характеристик ценопопуляции Cystoseira crinita Duby в акватории черноморского рекреационного комплекса // Системы контроля окружающей среды. 2019. Вып. 1. № 35. С. 88–96.
- Ковардаков С.А., Павшенко Д.А. Структурные характеристики ценопопуляций Ericaria crinita в акваториях с различной рекреационной нагрузкой // Организмы, популяции и сообщества в трансформирующейся среде: сб. материалов XVII Междунар. науч. экол. конф. (Белгород, 22–24 ноября 2022 г.). Белгород: ИД “БелГУ” НИУ “БелГУ”, 2022. С. 76–79.
- URL: https://www.elibrary.ru/item.asp?id=49769706
- Лемешко Б.Ю., Миркин Е.П. Критерии Бартлетта и Кокрена в измерительных задачах при вероятностных законах, отличающихся от нормального // Измерительная техника. 2004. № 10. С. 10–16.
- Мильчакова Н.А., Петров А.Н. Морфофункциональный анализ многолетних изменений структуры цистозировых фитоценозов (бухт Ласпи, Черное море) // Альгология. 2003. Т. 13. № 4. С. 355–370.
- Миничева Г.Г., Зотов А.Б., Косенко М.Н. Методические рекомендации по определению комплекса морфофункциональных показателей одноклеточных и многоклеточных форм водной растительности. Одесса, 2003. 32 с.
- Миронова Н.В., Панкеева Т.В. Пространственно-временные изменения макрофитобентоса бухты Круглая (Черное море) // Юг России: экология, развитие. 2020. Т. 15. № 2. С. 125–139.
- Миронова Н. В., Панкеева Т. В. Пространственно-временные изменения макрофитобентоса прибрежной зоны заказника “Караньский” (Севастополь, Черное море) // Поволжский экологический журнал. 2021. № 1. С. 47–63.
- Непомнящий В.В., Макеева Е.Г. Особенности рекреационных воздействий на аквальные комплексы: методические аспекты // Известия АО РГО. 2020. № 4. Вып. 59. С. 5–12.
- Никитина В.Н., Лисовская О.А. Макрофитобентос верхних отделов береговой зоны Российского побережья Черного моря. СПб.: Изд. СПбГУ, 2013. 132 с.
- Новаковский А.Б. Методы ординации в современной геоботанике // Вестн. ИБ Коми НЦ УрО РАН. 2008. № 10. С. 2–8.
- Панкеева Т.В., Миронова Н.В. Пространственное распределение макрофитобентоса с учетом ландшафтной структуры дна в бухте Ласпи (Черное море) // Вестн. удмуртского ун-та. 2019. Т. 29. Вып. 1. С. 111–123.
- Папунов Д.В. Макрофитобентос как индикатор динамики подводных ландшафтов береговой зоны моря // Вопросы современной альгологии. 2012. № 2 (2). URL: http://algology.ru/121
- Празукин А.В. Структурные и функциональные изменения черноморской цистозиры в условиях эвтрофирования (иерархический подход): автореф. дис. … канд. биол. наук. Севастополь, 1991. 25 с.
- Руководство по химическому анализу морских и пресных вод при экологическом мониторинге рыбохозяйственных водоемов и перспективных для промысла районов Мирового океана. М.: ВНИРО, 2003. 204 с.
- Садогурський С.Ю., Садогурська С.О., Белич ТВ. Склад та розподіл макрофітобентосу біля берегів півострова Тарханкут (Чорне море, Крим) // Algologia. 2021. V. 31 (3). P. 249–270. https://doi.org/10.15407/alg31.03.249
- Степаньян О.В. Макрофитобентос Новороссийской бухты (Черное море): деградация в условиях хозяйственной деятельности и климатических изменений // Вестник КамчатГТУ. 2018. № 45. С. 110–116.
- Степаньян О.В. Макрофитобентос Черного и Азовского морей: Флористические и экологические аспекты (Обзор) // Наука юга России. 2020. Т. 16. № 4. С. 26–38.
- Теюбова В.Ф. Разнообразие и экологические особенности макрофитобентоса российского сектора Черного моря: автореф. дис. ... канд. биол. наук. Краснодар, 2012. 20 с.
- Хайлов К.М., Парчевский В.П. Иерархическая регуляция структуры и функции морских растений. Киев: Наукова думка, 1983. 254 с.
- Хайлов К.М., Празукин А.В., Ковардаков С.А., Рыгалов В.Е. Функциональная морфология морских многоклеточных водорослей. Киев: Наукова думка, 1992. 280 c.
- Хайлов К.М., Ковардаков С.А., Празукин А.В. Биологические поверхности многоуровневых фитосистем и расчет их численных характеристик // Морской экологический журнал. 2004. Т. 3. № 3. С. 61–77.
- Comrey A.L., Lee H.B. A first Course in Factor Analysis, 2nd ed. Hillsdale, N.J.: Lawrence Erlbaum, 1992.
- Cureton E.E., D’Agostino R.B. Factor Analysis: An Applied Approach. New York: Psychology Press. 1993. https://doi.org/10.4324/9781315799476
- Haan J., Huisman J., Brocke H.J. et al. Nitrogen and phosphorus uptake rates of different species from a coral reef community after a nutrient pulse // Sci. Rep. 2016. V. 6. Art. ID 28821.
- http://doi.org/10.1038/srep28821
- Lee K.J., Kang E.H., Yoon M. et al. Comparison of heavy metals and arsenic species in seaweeds collected from different regions in Korea // Appl. Sci. 2022. V. 12. № 14. Art. ID 7000. https://doi.org/10.3390/app12147000
- Malone T.C., Newton A. The globalization of cultural eutrophication in the coastal ocean: Causes and Consequences // Front. Mar. Sci. 2020. V. 7. Art. ID 670. https://doi.org/10.3389/fmars.2020.00670
- Milchakova N.A. Marine Plants of the Black Sea: An Illustrated Field Guide. Sevastopol: Digit Print, 2011.
- Mineur F., Arenas F., Assis J. et al. European seaweeds under pressure: Consequences for communities and ecosystem functioning // J. Sea Res. 2015. V. 98. P. 91–108.
- Rabalais N.N., Turner R.E., Diaz R.J. et al. Global change and eutrophication of coastal waters // ICES J. Mar. Sci. 2009. V. 66. P. 1528–1537.
- Rees T.A.V. Scaling and transport kinetics in aquatic primary producers // Mar. Ecol.: Prog. Ser. 2014. V. 509. P. 103–112.
- Schulz L. Nährstoffeintrag in Seen durch Badegäste // Zentralbl. Bakteriol., Mikrobiol. Hyg., Abt. l, Orig. B. 1981. V. 173. S. 528–548.
- Smith V.H., Joye S.B., Howarth R.W. Eutrophication of freshwater and marine ecosystems // Limnol. Oceanogr. 2006. V. 51. № 1, part 2. P. 351–355.
- State of the environment of the Black Sea (2001–2006/7). Publications of the Commission on the protection of the Black Sea against pollution (BSC), № 2008-3. Istanbul: Black Sea Comm., 2008.
- Titlyanov E.A., Titlyanova T.V., Xia B.M., Bartsch I. Checklist of marine benthic green algae (Chlorophyta) on Hainan, a subtropical island off the coast of China: comparisons between the 1930s and 1990–2009 reveal environmental changes // Bot. Mar. 2011. V. 54. № 6. P. 523–535.
Supplementary files








