Влияние элементного состава оптических стекол на количественные характеристики ослабления ими рентгеновского и гамма-излучения
- 作者: Арбузов В.И.1
- 
							隶属关系: 
							- Санкт-Петербургский государственный университет гражданской авиации им. Главного маршала авиации А.А. Новикова
 
- 期: 卷 50, 编号 1 (2024)
- 页面: 32-42
- 栏目: Articles
- URL: https://journals.rcsi.science/0132-6651/article/view/261828
- DOI: https://doi.org/10.31857/S0132665124010041
- EDN: https://elibrary.ru/SILBTO
- ID: 261828
如何引用文章
全文:
详细
Проведен анализ влияния химических элементов в составе оптических стекол на количественные характеристики ослабления ими рентгеновского и гамма-излучения. Предложена методика расчета массовых коэффициентов ослабления излучения (МКОИ) с энергией квантов от 0.2 до 3.0 МэВ для оксидов как компонентов стекол. Выявлены химические элементы и их оксиды в составе стекол, вносящие основной вклад в их значения линейного коэффициента ослабления излучения (ЛКОИ) с разной энергией квантов, Е. В области энергий квантов от 0.2 до примерно 1.0 МэВ сильное влияние (в порядке его уменьшения) на значение ЛКОИ стекол оказывают такие оксиды, как PbO, Ta2O5, Gd2O3, La2O3, BaO, Sb2O3 (из-за малой концентрации его вклад в ЛКОИ стекол обычно пренебрежимо мал), CdO, Nb2O5, ZrO2, Y2O3. Показано, что в области значений Е от 0.2 до примерно 1.0 МэВ элементы (или их оксиды) могут сильно отличаться друг от друга по значениям МКОИ, а стекла разных составов — по значениям их ЛКОИ, тогда как при Е > 1.0 МэВ и первые и вторые коэффициенты изменяются примерно одинаково при увеличении энергии квантов излучения.
关键词
全文:
ВВЕДЕНИЕ
Еще русско-японская война начала ХХ века показала, что армия, лишенная биноклей и других наблюдательных приборов, не может без больших потерь в живой силе вести боевые действия. У России своего производства оптического стекла — основы любого оптического прибора — не было, стекло закупалось за рубежом, в основном в Германии. Но с началом Первой мировой войны Россия лишилась возможности делать закупки оптических приборов и стекла для них в Германии. Поэтому в 1916 г. было принято решение начать в Петрограде, на территории Императорского фарфорового и стекольного завода, работы по созданию научной и технологической базы для производства отечественных оптических стекол в интересах, прежде всего, оборонной промышленности. К этим работам были привлечены многие видные ученые и технологи того времени. 13 лет упорного труда принесли свои плоды: с 1927 г. наша страна перестала закупать за рубежом оптические стекла для военных нужд, а позднее — и для гражданского оптического приборостроения.
В последующие десятилетия в стране были разработаны десятки марок оптических стекол, вошедших в каталог «Бесцветное оптическое стекло» [1–3], созданы их радиационно-стойкие аналоги, сохраняющие приемлемую пропускающую способность при радиационных нагрузках до 105 Р (каталог стекол серии «100» [4]) и до 107 Р (каталог стекол серий «200» и «Н» [5]). При этом, в отличие от зарубежных каталогов стекол, отечественные бесцветные оптические и радиационно-стойкие стекла каждой марки (например, стекла К8, К108 и К208) являются оптическими аналогами, то есть характеризуются одинаковым ходом дисперсионной кривой зависимости показателя преломления от длины волны.
В работе [6] был выполнен расчет линейных коэффициентов ослабления, μ, рентгеновского и γ-излучения (ЛКОИ) для представительного ряда типовых оптических и радиационно-стойких стекол, наиболее часто используемых в оптических приборах, функционирующих как в обычных условиях, так и в радиационных полях. Значения ЛКОИ стекол для разных энергий квантов излучения, E, определялись по формуле:
(1)
где ρ — плотность стекла конкретной марки, αi — полные массовые доли атомов каждого химического элемента, входящего в состав стекла (были рассчитаны автором по составам стекол [2, 4, 5]), (μi(E)/ρi) — значения их массовых коэффициентов ослабления излучения (МКОИ) в указанном диапазоне энергий [7]. Суммирование в (1) велось по всем типам химических элементов в составе стекла.
Было установлено, во-первых, что стекла-аналоги одной марки (к примеру, К8, К108 и К208, равно как и пары или тройки стекол-аналогов других марок) обладают практически одинаковыми значениями ЛКОИ во всем диапазоне изменения Е и, во-вторых, что с ростом плотности стекол при переходе от одного стекла к другому их значения ЛКОИ возрастают. Далее, с учетом данных [8–11] в [6] было отмечено, что стекла с более высокой плотностью, а стало быть, и с более высокими значениями ЛКОИ, сильнее окрашиваются под действием рентгеновского или гамма-излучения, чем стекла с меньшей плотностью. Понятно, что это обстоятельство играет важную роль при выборе стекол для радиационно-стойких оптических приборов.
Надежная, хотя и не всегда полная информация о количественных характеристиках ослабления рентгеновского и гамма-излучения в литературе имеется только для отдельных типов стекол [6, 8, 12–15]. При этом для каждого стекла как целого она представлена в виде неких интегральных количественных характеристик без выявления вклада в них химических элементов из его состава. С учетом сказанного в рамках настоящей работы представлялось целесообразным установить роль элементного состава оптических стекол в формировании их ЛКОИ при разных энергиях квантов действующего на них высокоэнергетического фотонного ионизирующего излучения (ВФИИ), чтобы иметь возможность либо предсказывать, как поведет себя то или иное стекло с точки зрения ослабления (поглощения) ВФИИ, либо «конструировать» стекла новых составов.
Энергетическая зависимость массовых коэффициентов ослабления ВФИИ химическими элементами оптических стекол
В [6] значения ЛКОИ, μ, были рассчитаны для 48 марок избранных оптических и радиационно-стойких стекол кроновой и флинтовой групп с использованием массовых коэффициентов ослабления излучения (МКОИ) химических элементов в составе стекла (см. формулу 1). Число химических элементов в их составе было довольно ограниченным (не более 13: B, O, Na, Al, Si, P, K, Ca, Zn, Ba, Pb, As, Sb). При этом ход зависимости МКОИ от энергии квантов ВФИИ, Е, для многих названных элементов (от бора до цинка — назовем эти элементы базовыми) был практически одинаковым в широком диапазоне энергий квантов ВФИИ. Сурьма же, барий и особенно свинец (табл. 1) демонстрировали более быстрое нарастание МКОИ при движении от примерно 1.0 МэВ в сторону более низких значений Е. При этом концентрация сурьмы в стеклах, как и концентрация мышьяка, обычно крайне мала, поэтому их вклад в МКОИ элементов и в ЛКОИ стекол пренебрежимо мал.
Таблица 1. МКОИ (μ /ρ, см2/г) базовых химических элементов [7] для производстве кронов и флинтов
| Е, МэВ | 5B | 8O | 11Na | 13Al | 14Si | 15P | 19K | 20Ca | 30Zn | 56Ba | 82Pb | 
| 0,20 | 0.113 | 0.122 | 0.117 | 0.119 | 0.123 | 0.121 | 0.125 | 0.130 | 0.150 | 0.381 | 0.993 | 
| 0,30 | 0.0980 | 0.106 | 0.102 | 0.102 | 0.106 | 0.103 | 0.105 | 0.108 | 0.109 | 0.177 | 0.369 | 
| 0,40 | 0.0880 | 0.0952 | 0.0909 | 0.0917 | 0.0950 | 0.0923 | 0.0930 | 0.0959 | 0.0921 | 0.120 | 0.215 | 
| 0,50 | 0.0802 | 0.0869 | 0.0831 | 0.0839 | 0.0868 | 0.0842 | 0.0847 | 0.0873 | 0.0825 | 0.0947 | 0.150 | 
| 0,60 | 0.0747 | 0.0805 | 0.0770 | 0.0775 | 0.0802 | 0.0780 | 0.0784 | 0.0806 | 0.0755 | 0.0807 | 0.117 | 
| 0,80 | 0.0652 | 0.0708 | 0.0676 | 0.0681 | 0.0703 | 0.0684 | 0.0687 | 0.0706 | 0.0658 | 0.0653 | 0.0840 | 
| 1,0 | 0.0591 | 0.0636 | 0.0608 | 0.0612 | 0.0632 | 0.0614 | 0.0619 | 0.0636 | 0.0589 | 0.0566 | 0.0680 | 
| 1,5 | 0.0479 | 0.0516 | 0.0498 | 0.0500 | 0.0517 | 0.0502 | 0.0505 | 0.0519 | 0.0480 | 0.0452 | 0.0508 | 
| 2,0 | 0.0410 | 0.0444 | 0.0427 | 0.0431 | 0.0446 | 0.0434 | 0.0439 | 0.0451 | 0.0422 | 0.0403 | 0.0451 | 
| 3,0 | 0,0328 | 0,0359 | 0,0348 | 0,0355 | 0,0367 | 0,0358 | 0,0365 | 0,0376 | 0,0361 | 0,0365 | 0,0416 | 
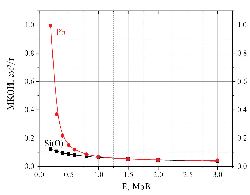
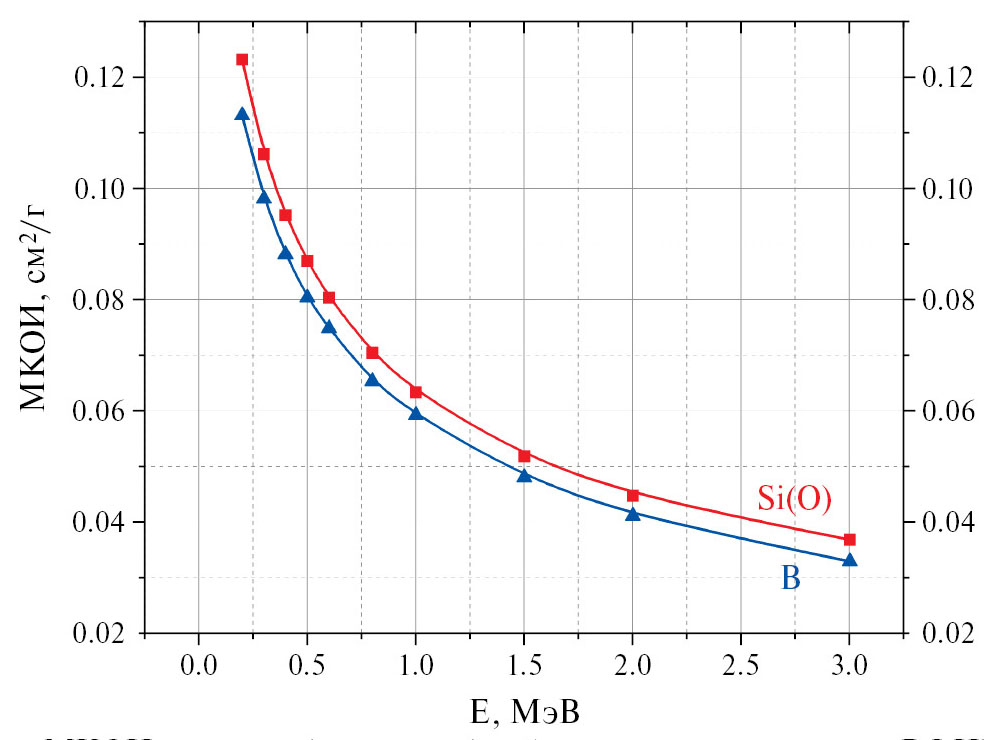
Рис. 1 демонстрирует эти зависимости, построенные по данным [7], для бора и кремния. Кривая для кислорода практически совпадает с таковой для кремния (на рис. 1 это обозначено как Si (O)), а кривая для фосфора, будь она показана на рис. 1, располагалась бы между ними (см. табл. 1). Видно, что различия в приведенных кривых на рис. 1 незначительны: у бора значения МКОИ чуть ниже, чем у поименованных выше элементов. Однако при замене бора на свинец кривые МКОИ при разных значениях Е у свинца и кремния (кислорода, фосфора и т. д.) сильно различаются в области энергий от 0.2 до примерно 1.0 МэВ (рис. 2). Что же касается области энергий, превышающих 1.0 МэВ, то из рис. 2 видно, что свинец ведет себя в ней практически так же, как и кремний (кислород, фосфор и т. д.).
Рис. 1. Зависимость МКОИ кремния (кислорода) и бора от энергии квантов ВФИИ (по данным [7])
Рис. 2. Зависимость МКОИ свинца и кремния (кислорода) от энергии квантов ВФИИ (по данным [7])
Методика расчета массовых коэффициентов ослабления ВФИИ оксидами — компонентами оптических стекол
Поскольку значения ЛКОИ в [6] были определены лишь для ряда оптических стекол, представлялось целесообразным ознакомиться с элементными составами всей номенклатуры оптических стекол, прежде чем приступать к расчету их ЛКОИ (а такая задача стоит). И тут выяснилось, что число химических элементов для случая полной номенклатуры оптических стекол достигает 25. Перечислим те элементы, которые не представлены в табл. 1: H, Mg, F, Ni, Ge, Zr, Cd, As, Y, Nb, Sb, La, Gd, Ta. При этом у каждого из них своя зависимость МКОИ от энергии квантов ВФИИ (табл. 2). Однако, поскольку составы оптических стекол обычно указываются массовыми процентами оксидов (реже фторидов), следовало определить энергетические зависимости МКОИ этих соединений (табл. 3). В этом случае ЛКОИ того или иного стекла будет равен сумме произведений массовых долей (bi) оксидов (фторидов) на значения их МКОИ [(μi(E)/ρi)окс], умноженной на плотность стекла:
(2)
Таблица 2. МКОИ (μ /ρ, см2/г) [7] дополнительных химических элементов, используемых в производстве полной номенклатуры оптических стекол
| Е, МэВ | 1H | 9F | 12Mg | 22Ti | 32Ge | 33As | 39Y | 40Zr | 41Nb | 48Cd | 51Sb | 57La | 64Gd | 73Та | 
| 0,20 | 0,1000 | 0,1160 | 0,1210 | 0,1240 | 0,1540 | 0.1580 | 0.1990 | 0.2080 | 0,2180 | 0,2850 | 0.3170 | 0.3990 | 0,5170 | 0.7160 | 
| 0,30 | 0,0880 | 0,1000 | 0,1050 | 0,1010 | 0,1060 | 0.1090 | 0.1210 | 0.1230 | 0,1270 | 0,1470 | 0.1570 | 0.1830 | 0,2260 | 0.2960 | 
| 0,40 | 0,0746 | 0,0900 | 0,0941 | 0,0886 | 0,0896 | 0.0900 | 0.0962 | 0.0970 | 0,0992 | 0,1080 | 0.1110 | 0.1240 | 0,1430 | 0.1760 | 
| 0,50 | 0,0670 | 0,0824 | 0,0857 | 0,0804 | 0,0808 | 0.0803 | 0.0833 | 0.0845 | 0.0856 | 0,0884 | 0.0905 | 0.0967 | 0,1080 | 0.1270 | 
| 0,60 | 0,0624 | 0,0761 | 0,0793 | 0,0743 | 0,0730 | 0.0732 | 0.0752 | 0.0753 | 0,0765 | 0,0777 | 0.0787 | 0.0824 | 0,0896 | 0.1020 | 
| 0,80 | 0,0542 | 0,0669 | 0,0699 | 0,0651 | 0,0633 | 0.0635 | 0.0643 | 0.0645 | 0,0648 | 0,0648 | 0.0648 | 0.0663 | 0,0697 | 0.0759 | 
| 1,0 | 0,0499 | 0,0602 | 0,0627 | 0,0585 | 0,0567 | 0.0567 | 0.0572 | 0.0572 | 0,0518 | 0,0573 | 0.0569 | 0.0572 | 0,0597 | 0.0632 | 
| 1,5 | 0,0407 | 0,0488 | 0,0513 | 0,0478 | 0,0462 | 0.0462 | 0.0468 | 0.0465 | 0,0469 | 0,0462 | 0.0457 | 0.0460 | 0,0471 | 0.0489 | 
| 2,0 | 0,0343 | 0,0422 | 0,0443 | 0,0416 | 0,0407 | 0.0407 | 0.0411 | 0.0412 | 0,0415 | 0,0410 | 0.0406 | 0.0407 | 0,0417 | 0.0433 | 
| 3,0 | 0,0300 | 0,0342 | 0,0359 | 0,0349 | 0,0350 | 0,0352 | 0,0361 | 0,0362 | 0,0366 | 0,0366 | 0,0365 | 0,0369 | 0,0381 | 0,0399 | 
Таблица 3. МКОИ (μ /ρ, см2/г) оксидов (фторидов) для оптического стекловарения (по данным настоящей работы)
| Оксид (фторид) | Молярная масса, г/моль | МДК/МДО (Отношение МД элементов) | µ/ρ, см2/г, при Е, МэВ: | |||||||||
| 0,2 | 0,3 | 0,4 | 0,5 | 0,6 | 0,8 | 1,0 | 1,5 | 2,0 | 3,0 | |||
| MgO | 40,30 | 0,603/0,397 | 0.1214 | 0,1054 | 0,0946 | 0,0862 | 0,0798 | 0,0702 | 0,0630 | 0,0515 | 0,0443 | 0,0359 | 
| CaO | 56,08 | 0,715/0,285 | 0,1278 | 0,1074 | 0,0958 | 0,0873 | 0,0805 | 0,0707 | 0,0636 | 0,0518 | 0,0449 | 0,0371 | 
| SiO2 | 60,08 | 0,467/0,533 | 0,1224 | 0,1060 | 0,0953 | 0,0868 | 0,0804 | 0,0706 | 0,0629 | 0,0517 | 0,0445 | 0,0362 | 
| Na2O | 61,98 | 0,742/0,258 | 0,1183 | 0,1030 | 0,0920 | 0,0841 | 0,0779 | 0,0685 | 0,0615 | 0,0503 | 0,0432 | 0,0351 | 
| B2O3 | 69,62 | 0,311/0/689 | 0,1192 | 0,1035 | 0,0932 | 0,0847 | 0,0787 | 0,0691 | 0,0623 | 0,0505 | 0,0434 | 0,0349 | 
| TiO2 | 79,90 | 0,599/0,401 | 0,1232 | 0,1030 | 0,0914 | 0,0830 | 0,0768 | 0,0674 | 0,0605 | 0,0493 | 0,0427 | 0,0353 | 
| ZnO | 81,38 | 0,803/0,197 | 0,1445 | 0,1084 | 0,0928 | 0,0833 | 0,0765 | 0,0667 | 0,0598 | 0,0486 | 0,0426 | 0,0361 | 
| K2O | 94,20 | 0,830/0,170 | 0,1245 | 0,1052 | 0,0934 | 0,0851 | 0,0788 | 0,0690 | 0,0622 | 0,0507 | 0,0439 | 0,0364 | 
| KHF2 | 101,20 | 0,375/0,010/0,615 | 0,1192 | 0,1017 | 0,0910 | 0,0832 | 0,0785 | 0,0675 | 0,0607 | 0,0493 | 0,0910 | 0,0348 | 
| Al2O3 | 101,96 | 0,529/0,471 | 0,1205 | 0,1039 | 0,0935 | 0,0853 | 0,0789 | 0,0693 | 0,0624 | 0,0508 | 0,0437 | 0,0357 | 
| GeO2 | 104,63 | 0,694/0,306 | 0,1442 | 0,1060 | 0,0914 | 0,0827 | 0,0753 | 0,0656 | 0,0588 | 0,0479 | 0,0418 | 0,0353 | 
| ZrO2 | 123,22 | 0,740/0,260 | 0,1856 | 0,1186 | 0,0966 | 0,0851 | 0,0767 | 0,0661 | 0,0588 | 0,0478 | 0,0420 | 0,0361 | 
| CdO | 128,41 | 0,875/0,125 | 0,2647 | 0,1419 | 0,1064 | 0,0883 | 0,0781 | 0,0656 | 0,0581 | 0,0469 | 0,0415 | 0,0365 | 
| P2O5 | 141,94 | 0,436/0,564 | 0,1216 | 0,1047 | 0,0941 | 0,0857 | 0,0794 | 0,0697 | 0,0627 | 0,0510 | 0,0439 | 0,0358 | 
| BaO | 153,34 | 0,896/0,104 | 0,3438 | 0,1696 | 0,1174 | 0,0959 | 0,0807 | 0,0659 | 0,0573 | 0,0459 | 0,0407 | 0,0364 | 
| СеО2 | 172,12 | 0,814/0,186 | 0,3638 | 0,1744 | 0,1211 | 0,0970 | 0,0835 | 0,0677 | 0,0590 | 0,0471 | 0,0418 | 0,0372 | 
| As2O3 | 197,81 | 0,757/0,243 | 0,1492 | 0,1083 | 0,0913 | 0,0819 | 0,0750 | 0,0653 | 0,0584 | 0,0475 | 0,0416 | 0,0353 | 
| PbO | 223,20 | 0,928/0,072 | 0,9303 | 0,3500 | 0,2064 | 0,1455 | 0,1148 | 0,0836 | 0,0677 | 0,0508 | 0,0451 | 0,0412 | 
| Y2O3 | 225,81 | 0,787/0,213 | 0,1826 | 0,1178 | 0,0960 | 0,0841 | 0,0763 | 0,0657 | 0,0585 | 0,0478 | 0,0418 | 0,0360 | 
| Nb2O5 | 265,82 | 0,699/0,301 | 0,1891 | 0,1207 | 0,0980 | 0,0860 | 0,0777 | 0,0668 | 0,0595 | 0,0483 | 0,0424 | 0,0364 | 
| Sb2O3 | 291,50 | 0,835/0,165 | 0,2848 | 0,1462 | 0,1085 | 0,0897 | 0,0790 | 0,0658 | 0,0583 | 0,0470 | 0,0412 | 0,0364 | 
| La2O3 | 325,81 | 0,853/0,147 | 0,3582 | 0,1717 | 0,1198 | 0,0953 | 0,0821 | 0,0670 | 0,0581 | 0,0468 | 0,0412 | 0,0368 | 
| Gd2O3 | 362,50 | 0,868/0,132 | 0,4649 | 0,2221 | 0,1367 | 0,1044 | 0,0884 | 0,0698 | 0,0603 | 0,0477 | 0,0421 | 0,0378 | 
| Ta2O5 | 441,90 | 0,819/0,181 | 0,6085 | 0,2616 | 0,1614 | 0,1197 | 0,0981 | 0,0750 | 0,0635 | 0,0501 | 0,0435 | 0,0392 | 
| [F] | 19 | 1,0 | 0,1160 | 0,1000 | 0,0900 | 0,0824 | 0,0761 | 0,0669 | 0,0602 | 0,0488 | 0,0422 | 0,0342 | 
Таблица 3. Продолжение
| Оксид (фторид) | Молярная масса, г/моль | МДК/МДО (Отношение МД элементов) | µ/ρ, см2/г, при Е, МэВ: | |||||||||
| 0,2 | 0,3 | 0,4 | 0,5 | 0,6 | 0,8 | 1,0 | 1,5 | 2,0 | 3,0 | |||
Значения МКОИ оксидов (фторидов) в уравнении 2 определялись в виде суммы произведений массовых долей катионов (МДК) и кислорода (МДО) на значения их МКОИ (табл. 3).
Как следует из рис. 3, 4, в области энергий квантов ВФИИ от 0.2 до примерно 1.0 МэВ сильное влияние (в порядке его уменьшения) на значение ЛКОИ стекол оказывают такие оксиды, как PbO, Ta2O5, Gd2O3, La2O3, BaO, Sb2O3 (его вклад в ЛКОИ стекол обычно пренебрежимо мал), CdO, Nb2O5, ZrO2, Y2O3. При этом следует отметить, что в составе некоторых стекол могут встречаться и 2, и 3 таких оксида в разных количественных соотношениях, поэтому ЛКОИ таких стекол в указанной области энергий квантов ВФИИ может быть достаточно высоким.
Рис. 3. Зависимость МКОИ PbO, BaO и SiO2 от энергии квантов ВФИИ (по данным настоящей работы).
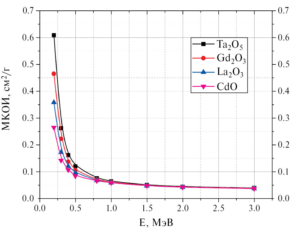
Рис. 4. Зависимость МКОИ Ta2O5, Gd2O3, La2O3 и CdO от энергии квантов ВФИИ (по данным настоящей работы).
Понятно, что такие оксиды, как Ta2O5, Gd2O3, La2O3, CdO, гораздо реже используются в качестве компонентов оптических стекол, чем PbO (во флинтах) и BaO (в баритовых кронах и флинтах). Тем не менее для начала представляет интерес сопоставить вклады в ЛКОИ стекол таких оксидов, как PbO и BaO, с одной стороны, и, с другой стороны, оксида кремния как основного стеклообразователя оптических стекол (рис. 3).
Чтобы не перегружать рис. 3 дополнительной графической информацией, на нем не представлены кривые зависимости МКОИ от энергии квантов ВФИИ для двух других классических оксидов-стеклообразователей, а именно для Р2О5 и В2О3. Дело в том, что значения МКОИ для первого из них составляют 0.99, а для второго — 0.98 от значений МКОИ SiO2 во всем диапазоне значений Е. Иными словами, можно считать, что зависимости МКОИ от энергии квантов ВФИИ для трех основных оксидов-стеклообразователей (SiO2, Р2О5 и В2О3) практически совпадают друг с другом.
Как следует из табл. 3, при Е = 0.3 МэВ значение МКОИ у PbO равно 0.3500 см2/г, у ВаО — 0.1696 см2/г, а у SiO2 — всего 0.1060 см2/г (при Е = 0.2 МэВ эта разница оказывается еще более значимой: 0.9903, 0.3438 и 0.1224 соответственно), тогда как начиная с диапазона энергий от 0.65 (кривые для BaO и SiO2 на рис. 3) или от 1.15 МэВ (кривая для PbO) все три кривые с ростом Е демонстрируют достаточно близкие значения МКОИ. Это говорит о том, что в области энергий квантов ВФИИ, превышающих 1.0 МэВ, оптические стекла разных марок должны демонстрировать качественно одинаковый ход зависимости ЛКОИ от энергии квантов ВФИИ.
Понятно, что повышенным вкладом оксидов Ta2O5, Gd2O3, La2O3 и CdO (рис. 4) в ЛКОИ стекол пренебрегать не следует, хоть он и меньше, чем у PbO. Из рис. 4 хорошо видно, что при Е > 1.0 МэВ все 4 кривые практически совпадают друг с другом, как это наблюдается и на рис. 3 для PbO, BaO и SiO2. Далее по мере уменьшения повышенного вклада в ЛКОИ стекол в области энергий до 1 МэВ идут такие оксиды, как Nb2O5, ZrO2 и Y2O3 (табл. 3). Поэтому, зная полный оксидный состав того или иного оптического стекла, можно высказывать предположения о значениях его ЛКОИ и о влиянии на его значение тех или иных оксидов в его составе.
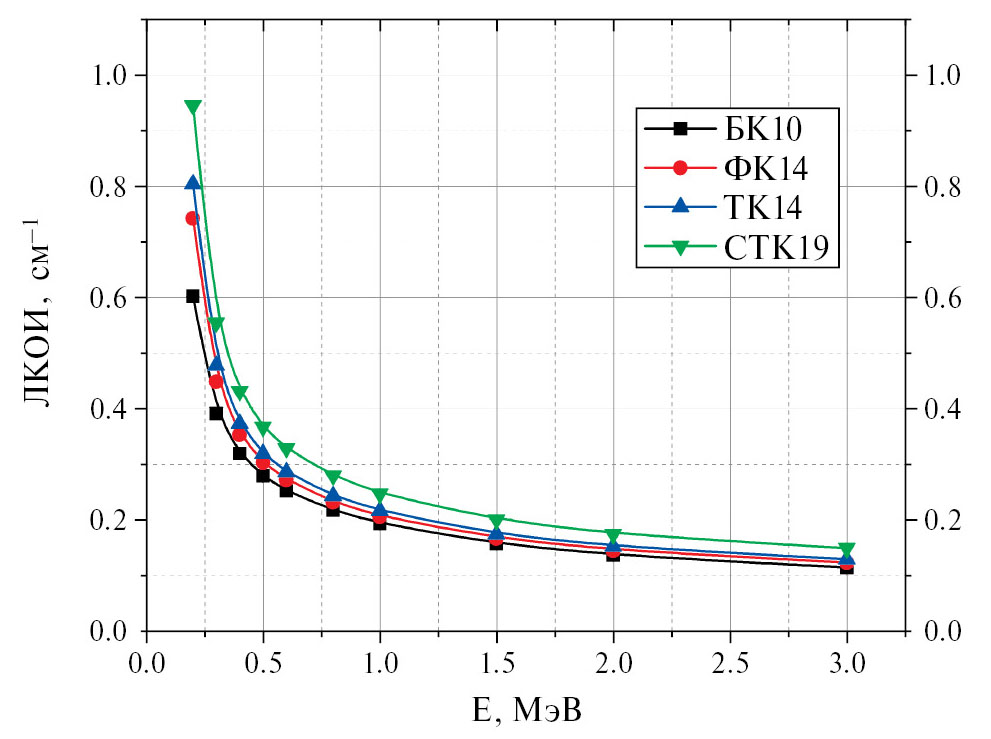
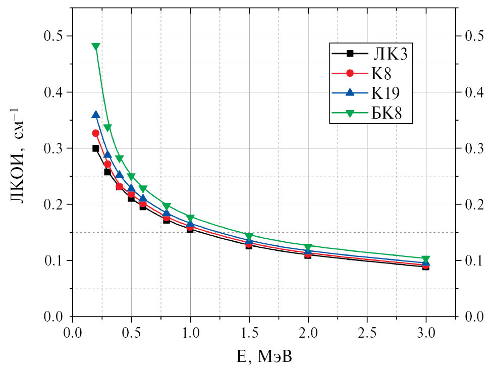
На рис. 5, 6 представлены кривые зависимостей ЛКОИ стекол кроновой группы от энергии квантов ВФИИ в диапазоне от 0.2 до 2.0 МэВ, построенные на основе данных работы [6]. Стекла для предстоящего анализа графиков на названных рисунках подбирались в порядке возрастания их плотности и, соответственно, показателей преломления. Видно, что три нижние кривые на обоих рисунках (для ЛК3, К8 и К19 на рис. 5 и БК10, ФК14 и ТК14 на рис. 6) идут достаточно близко друг от друга, а самые верхние кривые (для БК8 и СТК19 на рис. 5, 6 соответственно) — заметно выше. Эта разница хорошо объясняется, если учесть составы стекол.
Рис. 5. Зависимость ЛКОИ стекол ЛК3, К8, К19 и БК8 от энергии квантов ВФИИ (по данным [6]).
Рис. 6. Зависимость ЛКОИ стекол БК10, ФК14, ТК14 и СТК19 от энергии квантов ВФИИ (по данным [6]).
ОБСУЖДЕНИЕ РЕЗУЛЬТАТОВ
Как уже отмечалось выше, такие элементы, как B, O, Na, Al, Si, P, K, Ca и Zn, а соответственно и их оксиды, ведут себя в области энергий квантов ВФИИ, превышающих 1.0 МэВ, почти так же, как и оксиды с большей молярной массой. К ним, как отмечалось, относятся PbO, Ta2O5, Gd2O3, La2O3, BaO, Sb2O3, CdO, Nb2O5, ZrO2, Y2O3. Проанализируем с учетом этой информации составы стекол, представленных на рис. 5, 6.
Состав стекла ЛК3 — самый простой, он представлен оксидами SiO2, B2O3, K2O и легким фтором [здесь и далее 16]. В стекле К8, кроме этих оксидов и оксида натрия, имеется 2.65 мас.% ВаО, поэтому в области энергий до 1.0 МэВ его ЛКОИ увеличивается быстрее при движении в сторону меньших энергий, чем ЛКОИ стекла ЛК3. В стекле К19 концентрация ВаО уже равна 5.57, а у стекла БК8–20.02 мас.%. Столь заметное увеличение концентрации ВаО в сравниваемых стеклах при переходе от К8 к К19 и БК8 как раз и вызывает более стремительный рост ЛКОИ стекол по мере уменьшения энергии квантов ВФИИ.
Что же касается составов стекол, графически представленных на рис. 6 (БК10, ФК14, ТК14 и СТК19), то они более сложные, чем у стекол ЛК3, К8, К19 и БК8 (рис. 5). Так, стекло БК10, кроме базовых оксидов, имеет в своем составе 2.19 мас.% PbO и 21.30 мас.% Ва О. В стекле ФК14 наряду с тремя стеклообразующими оксидами SiO2, P2O5 и B2O3 и оксидом алюминия имеется 5.43 мас.% La2O3 и 36.13 мас.% Ва О. Стекло ТК14 имеет, кроме базовых оксидов кремния, бора, кальция и натрия, 45.30 мас.% ВаО, а вот стекло СТК19 при базовых оксидах кремния, бора, цинка и кальция обладает целым букетом оксидов со сравнительно высокими значениями МКОИ в низкоэнергетической области энергий квантов. В этот букет входят 36.40 мас.% La2O3, 4.85 мас.% Та2О5 и 5.90 мас.% Y2O3. Именно эти сравнительно редко используемые в стекловарении оксиды, обладающие более высокой молярной массой, чем оксиды базовые, и обусловливают более высокие значения ЛКОИ стекол по мере перехода к излучению со все меньшими энергиями квантов.
Что же касается области энергий квантов ВФИИ от 1.0 до 3.0 МэВ, то, независимо от положения кривых (выше или ниже) на графиках (рис. 5, 6), все четыре кривых на каждом их них идут в этой области подобно друг к другу, о чем свидетельствуют значения отношений ЛКОИ при 1.0 МэВ к таковым при 3.0 МэВ. Это отношение для кривых рис. 5 примерно равно 1.74, а для кривых рис. 6 – 1.68.
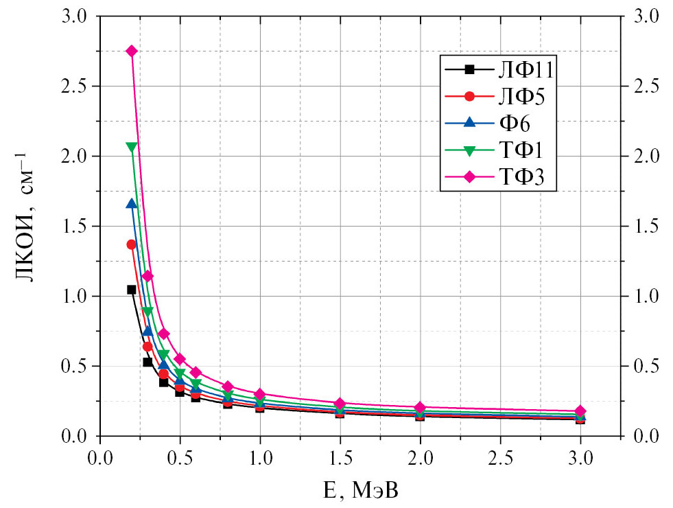
А теперь посмотрим, как ведут себя графики зависимости ЛКОИ от Е для флинтовых стекол ЛФ11, ЛФ5, Ф6, ТФ1 и ТФ3 (рис. 7).
Рис. 7. Зависимость ЛКОИ стекол ЛФ11, ЛФ5, Ф6, ТФ1 и ТФ3 от энергии квантов ВФИИ (по данным [6]).
Их состав достаточно прост: все это стекла — калиево-(натриево-)-свинцово-силикатной системы, кроме стекла ЛФ11, которое содержит еще 5.06 мас.% В2О3, а концентрация PbO (мас.%) равна 27.55 (ЛФ11), 36.83 (ЛФ5), 43.50 (Ф6), 51.18 (ТФ1) и 55.41 (ТФ3).
Как и в случае стекол кроновой группы (рис. 5, 6), флинтовые стекла из указанного ряда были выбраны с нарастанием их плотности и показателей преломления. Расчеты отношений значений ЛКОИ при 1.0 МэВ к аналогичным значениям при 3.0 МэВ дают практически одно и то же число, близкое к 1.70 и к тем аналогичным значениям, которые наблюдались для стекол кроновой группы. Это означает, во-первых, что в области энергий квантов, превышающих 1.0 МэВ, кривые энергетических зависимостей ЛКОИ на рис. 7 подобны друг другу и отличаются друг от друга только разными величинами ЛКОИ сравниваемых флинтовых стекол, а во-вторых, что эти зависимости у кроновых и флинтовых стекол практически одинаковы.
А что же касается области энергий квантов от 1.0 до 0.2 МэВ, то из рис. 7 хорошо видно, что по мере уменьшения энергии квантов ВФИИ графики зависимости ЛКОИ от Е тем круче устремляются вверх, чем выше концентрация оксида свинца в названных флинтовых стеклах.
ЗАКЛЮЧЕНИЕ
Проведен анализ влияния химических элементов на характеристики ослабления рентгеновского и гамма-излучения оптическими стеклами. Установлено, что по этим характеристикам названные элементы в составе оптических стекол можно разделить на 2 группы. В первую группу входят B, O, Na, Mg, Al, Si, P, K, Ca, Ti, Zn со сравнительно слабой зависимостью названных характеристик от энергии квантов излучения, Е. Вторая группа представлена такими элементами, как Ge, Y, Zr, Nb, Cd, Ba, La, Gd, Ta, у которых характеристики ослабления излучения сильно зависят от Е.
Произведен расчет массовых коэффициентов ослабления излучения (МКОИ) со значениями Е от 0.2 до 3.0 МэВ для оксидов названных элементов как компонентов стекол.
Показано, что в области энергий квантов от 0.2 до примерно 1.0 МэВ сильное влияние (в порядке его уменьшения) на значение линейного коэффициента ослабления излучения (ЛКОИ) стекол оказывают такие оксиды, как PbO, Ta2O5, Gd2O3, La2O3, BaO, CdO, Nb2O5, ZrO2, Y2O3. При этом если в области значений Е от 0.2 до примерно 1.0 МэВ элементы (или их оксиды) сильно отличаются друг от друга по значениям МКОИ, а стекла разных составов — по значениям их ЛКОИ, то при Е > 1.0 МэВ и МКОИ, и ЛКОИ изменяются сравнительно слабо и примерно одинаково при увеличении Е.
КОНФЛИКТ ИНТЕРЕСОВ
Автор данной работы заявляет об отсутствии конфликта интересов.
作者简介
В. Арбузов
Санкт-Петербургский государственный университет гражданской авиации им. Главного маршала авиации А.А. Новикова
							编辑信件的主要联系方式.
							Email: viarb@yandex.ru
				                					                																			                												                	俄罗斯联邦, 							196210, Санкт-Петербург, ул. Пилотов, 38						
参考
- Бесцветное оптическое стекло: Каталог / Под редакцией Г. Т. Петровского. М.: Дом оптики, 1990. 133 с.
- Отраслевой стандарт ОСТ 3-4888-80 «Стекло оптическое бесцветное. Синтетический состав».
- Каталог СССР / DDR «Оптическое стекло / Optisches Glass».
- Отраслевой стандарт ОСТ 3-4391-81 «Стекло оптическое серии 100. Синтетический состав».
- Отраслевой стандарт ОСТ 3-1768-73 «Стекло оптическое серии 200 и Н. Синтетический состав».
- Арбузов В.И. Количественные характеристики ослабления рентгеновского и гамма-излучения оптическими стеклами // Оптический журнал. 2014. Т. 81. № 12. С. 46–55.
- Сторм Э., Исраэль Х. Сечения взаимодействия гамма-излучения: Справочник. М.: Атомиздат, 1973. 256 с.
- Арбузов В.И. Основы радиационного оптического материаловедения: Учеб. пособие. СПб.: Изд. СПбГУИТМО, 2008. 284 с.
- Руководящий технический материал РТМ 3–996–77 «Стекло оптическое бесцветное. Радиационно-оптическая устойчивость к гамма-излучению. Справочные данные».
- Руководящий технический материал РТМ 3–48–70 «Стекло оптическое серии 100. Радиационно-оптическая устойчивость к гамма-излучению».
- Отраслевой стандарт ОСТ 3–51–70 «Стекло оптическое серии 200 и Н. Радиационно-оптическая устойчивость».
- Бюргановская Г.В., Варгин В.В., Леко Н.А., Орлов Н.Ф. Действие излучений на неорганические стекла. М.: Атомиздат, 1968. 241 с.
- Бреховских С.М., Викторова Ю.Н., Ланда Л.М. Радиационные эффекты в стеклах. М.: Энергоиздат, 1982. 184 с.
- Бреховских С.М., Тюльнин В.А. Радиационные эффекты в неорганических стеклах. М.: Энергоатомиздат, 1988. 193 с.
- Леко В.К., Мазурин О.В. Свойства кварцевого стекла. Л.: Наука, 1985. 166 с.
- ОСТ 3–4888–80 «Стекло оптическое бесцветное. Синтетический состав».
补充文件
 
				
			 
						 
						 
						 
						 
					 
				
 
  
  
  电邮这篇文章
			电邮这篇文章 







