Измерение упругого предела Гюгонио в керамике «Идеал»
- Авторы: Шевченко В.Я.1,2, Орыщенко А.С.2, Лепин В.Н.3, Лушников А.В.3, Алдошин С.М.4, Перевислов С.Н.1,2, Ломоносов И.В.4, Савиных А.С.4, Гаркушин Г.В.4, Разорёнов С.В.4, Мочалова В.М.4, Уткин А.В.4, Николаев Д.Н.4, Минцев В.Б.4
-
Учреждения:
- Институт химии силикатов им. И. В. Гребенщикова РАН
- НИЦ «Курчатовский институт» — ЦНИИ КМ «Прометей»
- АО «Концерн Калашников»
- Федеральный исследовательский центр проблем химической физики и медицинской химии РАН
- Выпуск: Том 50, № 1 (2024)
- Страницы: 3-11
- Раздел: Статьи
- URL: https://journals.rcsi.science/0132-6651/article/view/261809
- DOI: https://doi.org/10.31857/S0132665124010014
- EDN: https://elibrary.ru/SITIPU
- ID: 261809
Цитировать
Полный текст
Аннотация
Впервые исследована новая керамика «Идеал», композит алмаз — карбид кремния, полученная в реакционно-диффузионном процессе Тьюринга, что позволяет получать материалы с оптимальным набором физико-механических свойств. Отмечается упруго-хрупкое разрушение, связанное с распространением ударной волны в двухкомпонентной системе. Найден динамический предел упругости, определяемый свойствами карбида кремния, равный 13.4 ГПа. Проведены измерения ее динамического предела упругости и откольной прочности в области упругого деформирования. Определена ударная сжимаемость керамики до давления 625 ГПа.
Полный текст
ВВЕДЕНИЕ
Материалы на основе алмаза и когенетического ему карбида кремния представляют большой практический интерес. Композиционный материал алмаз — карбид кремния, названный нами керамика «Идеал» [1, 2], синтезирован по реакционно-диффузионному механизму Тьюринга [3]. При правильном оптимальном подборе компонентов происходит взаимодействие кремния с алмазом засчет частичной графитизации последнего и на его поверхности начинают формироваться и расти зерна кубического карбида кремния, образуя трижды периодические структуры («заборы Тьюринга») [4–6].
Разработанная новая химическая технология на основе реакционно-диффузионного механизма Тьюринга позволяет получать керамику «Идеал» с некоторыми свойствами, близкими к свойствам природного алмаза, а некоторыми — отличными от него.
Целью работы является изучение динамических свойств, в частности откольной прочности и упругого предела Гюгонио, нового материала — керамики «Идеал».
МЕТОДИКА ЭКСПЕРИМЕНТА
Образцы керамики «Идеал» представляли собой плоскопараллельные шлифованные пластины.
Исследование физико-механических свойств при статических нагрузках проводили по стандартизованным методикам. Предел прочности при трехточечном изгибе определяли на образцах размером 5×5×30 мм на испытательной машине ShimadzuAG-300kNX по формуле (ГОСТ 20019–74):
(1)
где σизг — прочность при изгибе (MПa); F — предельная нагрузка (Н); L — расстояние между опорными цилиндрами (мм); b — ширина образца, измеряемая под прямым углом к высоте (мм); h — высота образца, параллельная направлению приложения нагрузки (мм).
Определение твердости по Виккерсу и трещиностойкости проводили путем вдавливания в образец алмазного наконечника в форме правильной четырехгранной пирамиды на твердомере ТП-7р-1 с последующим измерением диагонали отпечатка (в случае твердости, ГОСТ 9450–76) и длины трещины от центра отпечатка (в случае трещиностойкости) по формулам:
(2)
где H — значение твердости (ГПа); P — нагрузка (Н); d — диагональ отпечатка (м);
(3)
где K1C — коэффициент трещиностойкости материала (МПа м1/2); а — длина трещины от центра отпечатка (м).
Модуль упругости (модуль Юнга) (Е) и продольную скорость звука в материале (Сl) определяли резонансным методом на установке «Звук-130», поперечную скорость звука (Сt) — на экспериментальной установке, разработанной в СПбГЭТУ «ЛЭТИ».
Коэффициент Пуассона u рассчитывали из отношения поперечной скорости звука Ct к продольной Cl [7] по формуле:
. (4)
Плотность и пористость спеченных керамических материалов определяли методом гидростатического взвешивания.
Измеренные физико-механические свойства при статических нагрузках представлены в табл. 1. Для сравнения представлены механические свойства стандартных материалов — карбида кремния, карбида бора, корунда и алмаза [8].
Таблица 1. Физико-механические свойства керамики «Идеал» по сравнению с керамикой SiC, В4С, корундом и алмазом
Материал | ρ±20, кг/м3 | Е±25, ГПа | Сl±50, м/с | Сt±30, м/с | u±0.001 | σизг±20, МПа | К1С±0.2, МПа∙м1/2 | HV±1, ГПа |
Керамика «Идеал» | 3370 | 768 | 15050 | 10575 | 0.008 | 420 | 4.8 | 68 |
Реакционно- спеченный SiC | 3050 | 380 | 11500 | 6335 | 0.196 | 400 | 3.5 | 21 |
Реакционно- спеченный В4С | 2650 | 390 | 13500 | 8410 | 0.148 | 350 | 3.2 | 30 |
Корунд | 3950 | 30 | 10200 | 6205 | 0.183 | 320 | 3.0 | 18 |
Алмаз | 3510 | 1000 | 17000 | 11560 | 0.070 | – | – | 100 |
РЕЗУЛЬТАТЫ ИССЛЕДОВАНИЯ
В данной работе метод исследования сопротивления высокоскоростному деформированию и разрушению образцов керамики «Идеал» был основан на том факте, что в процессе распространения ударной волны по образцу происходит ее эволюция (изменение ее формы) и при выходе на свободную поверхность она определяется процессами упругопластического деформирования и разрушения в материале [9, 10]. Анализ волновых профилей, полученных в процессе ударно-волнового нагружения образцов, позволяет не только получить качественную картину отклика материала на ударное сжатие, но и определить его прочностные характеристики.
Для измерения динамической (откольной) прочности на растяжение нагружение исследуемых образцов осуществлялось медными ударниками толщиной 0.95 мм, разогнанными до скоростей 215±10 м/с и 410±10 м/с с помощью пневматической газовой пушки. Максимальные напряжения сжатия в образцах при этих условиях нагружения составили 5.5 и 9.3 ГПа, что не превышало динамического предела упругости, обсуждаемого ниже. Регистрация профилей скорости контактной поверхности «образец — вода» проводили с помощью лазерного допплеровского измерителя скорости VISAR [11]. Отражение лазерного излучения осуществлялось от алюминиевой фольги толщиной 7 и 20 мкм, наклеенной на образец.
На рис. 1 представлены профили скорости контактной поверхности «образец — вода», полученные в экспериментах с керамикой «Идеал» при условиях нагружения, указанных выше, там же представлена схема нагружения образцов. Фронт упругой ударной волны сжатия при выходе на поверхность образца имеет небольшой наклон, связанный с сильной негомогенностью исследуемого материала. Затем наблюдается стационарное состояние в сжатом веществе до момента прихода волны разрежения с тыльной стороны ударника, которая снижает ее скорость. Первый минимум скорости совпадает по времени с образованием внутри образца откольной трещины, когда при взаимодействии падающей и отраженной от свободной поверхности волн разрежения в объеме образца генерируются растягивающие напряжения, превышающие его прочность на растяжение. Как видно из рис. 1, измеренные профили контактной поверхности содержат значительные осцилляции, связанные со значительно негомогенной структурой поверхности исследуемого образца. Стрелками показаны моменты откольного разрушения после выхода на контактную поверхность волны разгрузки, приходящей от тыльной поверхности ударника. Величина спада скорости поверхности Dufs от ее максимума до первого минимума перед фронтом откольного импульса пропорциональна откольной прочности материала ssp. В линейном приближении величина откольной прочности определяется как ssp = 1/2r0СlDufs, r0 — плотность образцов, Сl– продольная скорость звука, используемая в данном случае в силу того, что максимальные напряжения сжатия не превышают предел упругости материала. Для расчета откольной прочности в экспериментах с «окном» использовался подход, описанный в [12]. Рассчитанные значения откольной прочности при максимальном напряжении сжатия 5.5 ГПа составили 1.15 ГПа, при 9.3–1.4 ГПа.
Рис. 1. Профили скорости контактной поверхности и схема нагружения образцов керамики «Идеал». У профилей указаны скорости удара и стрелками показаны моменты откольного разрушения.
Для исследования структуры фронта выше динамического предела упругости ударные волны формировались при соударении алюминиевых ударников диаметром 90 мм и толщиной 10–5–2 мм, разогнанных продуктами взрыва до скорости соответственно Wi = 2.5–3.3–5 км/с, с Al экраном толщиной 4 мм. Скорость движения границы образца с водой измерялась многоточечным лазерным интерферометром VISAR. Для определения абсолютного значения скорости отраженное излучение регистрировалось двумя интерферометрами с постоянными 280 и 1280 м/с. В каждом опыте для фиксирования момента входа ударной волны в образец регистрировали также отражение от алюминиевого экрана, что позволяло определить значение волновой скорости D.
На рис. 2 для экспериментов с ударником Wi = 2.5 км/с приведены профили скорости на границе образец — вода при различной толщине образцов, указанной на рисунке. Регистрируется отчетливо выраженная двухволновая структура фронта, характерная для упруго-пластических сред [13, 14]. Измеренные значения скорости упругой волны — D1 обнаружились в диапазоне 14–16 км/с и оказались близкими к значению, измеренному ультразвуковым методом Сl (табл. 1). За фронтом упругой волны формируется пик скорости, поэтому динамический предел упругости (HEL, σHEL = r0DuHEL/2, где uHEL — скорость свободной поверхности за фронтом упругой волны) рассчитывался по минимуму и равен 13.4 ГПа. Зарегистрированная структура ударной волны обусловлена упруго-пластическими свойствами матрицы SiC, но HEL имеет более высокие параметры, чем карбид кремния, в котором σHEL = 8.72 ГПа [15]. Алмаз, входящий в состав образца, при данных условиях нагружения остается в упругом состоянии.
На рис. 2 приведены профили массовой скорости для трех толщин образца и видно, что вторая волна не является ударной, ее фронт расширяется по мере распространения по образцу. Это означает, что в исследуемом интервале давлений «Идеал» обладает аномальной сжимаемостью и говорить о скорости распространения второй волны некорректно. Аналогичная структура импульса сжатия, обусловленная аномальной сжимаемостью, наблюдалась авторами [16] в Si C. Следует отметить, что в приведенных координатах t/h все три профиля скорости, представленные на рис. 2, практически совпадают. Это означает, что вторая волна является центрированной волной сжатия, что позволяет рассчитать амплитуду давления в импульсе, которая оказывается равной 34 ГПа.
Рис. 2. Профили массовой скорости на границе образец — вода при фиксированных условиях нагружения и различной толщине образцов.
В экспериментах с ударником, разогнанным до Wi = 3.3 км/с, вторая волна становится ударной и распространяется со скоростью D2 = 13.3 км/с (uHEL = 1.7 км/с — профиль скорости 2 на рис. 3), при этом давление за второй волной составляет 38 ГПа. Максимальное давление, реализованное в исследованном образце при воздействии алюминиевого ударника, разогнанного до 5 км/с, составляло 81 ГПа (профиль скорости 3 на рис. 3). При этом регистрировалась трехволновая конфигурация со скоростью второй волны D2 = 14.2 км/с и сильно размытой третьей волной. Образование третьей волны связано, видимо, с переходом алмазной составляющей образца в разрушенное состояние при давлении 60–80 ГПа, что соответствует результатам работы [14] для монокристаллического алмаза.
Рис. 3. Профили массовой скорости на границе образец — вода при изменении давления ударного сжатия.
Для исследования ударной адиабаты «Идеала» при давлениях 300–600 ГПа, превышающих предел упругости алмазной фазы, который cоставляет от 60 до 200 ГПа для кристалла и наноалмаза [14, 17], использовались маховские взрывные кумулятивные генераторы, подробно описанные в работе [18]. Для получения данных об ударной сжимаемости «Идеала» использовался метод отражения. В качестве вещества-эталона использовался монокристаллический a-кварц (х-срез), ударная адиабата и уравнение состояния которого точно определены [19–21]. В этих экспериментах для получения каждой точки использовался свой генератор [18], отличающийся геометрией устройства разводки детонации, а также массой взрывчатого вещества. Процедура определения ударной сжимаемости непрозрачных образцов описана в [22]. Ударная волна создавалась в стержне из полиметилметакрилата (ПММА). На торце стержня устанавливалась экспериментальная сборка, состоящая из предварительного экрана (ПММА), на который наклеивались диск из монокристаллического кварца и исследуемый образец. Диаметр стержня, экрана и кварцевого диска составлял 20 мм, диаметр образца — 12 мм. Сверху на образец и кварц наклеивались окна из ПММА.
Для определения скоростей ударных волн в кварце и в образце использовалась оптическая базисная методика: скорости рассчитывались по времени прохождения ударной волны (УВ) по образцам известной толщины. Через окна на центр образца и на незакрытую образцом периферийную область кварца (на расстоянии +7 и ‒7 мм от центра) смотрели три оптоволоконных датчика, соединенных со скоростными фотодетекторами отрезками оптического волокна одинаковой длины, которые регистрировали собственное свечение ударных волн в кварце и в окнах из ПММА. Типичная регистрация фотодетекторов приведена на рис. 4. Видно, что два боковых детектора регистрируют моменты прохождения УВ через слои экрана (1–2), кварца (2–3) и окна (3–4). В момент (3) УВ входит в образец. Центральный детектор регистрирует моменты выхода УВ из образца (5) и прохождение ее по окну (5–6). Момент входа УВ в образец определялся как среднее арифметическое из точек (3). Данная методика позволяет определить скорость первой ударной волны и массовую скорость сжатого образца за пластической волной.
Рис. 4. Характерная осциллограмма эксперимента с маховским взрывным кумулятивным генератором.
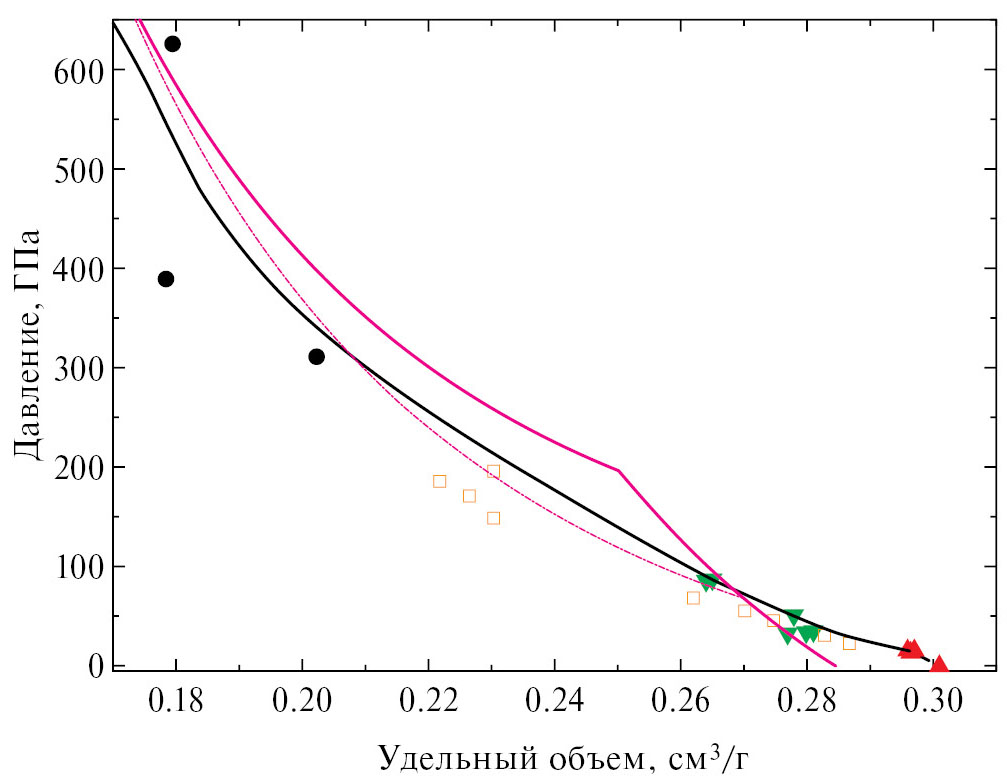
Полученная ударная адиабата «Идеала» в координатах давление — удельный объем приведена на рис. 5. Здесь красными треугольниками обозначены экспериментальные данные по определению упругой части ударной адиабаты. Зеленые треугольники — область пластической волны в «Идеале». Черные кружки — сжимаемость «Идеала», полученная в экспериментах на маховском взрывном кумулятивном генераторе. Экспериментальные данные из работы [23] по ударной сжимаемости композита на основе смеси частиц алмаза и карбида кремния микронного размера обозначены красными квадратиками. Сплошная черная кривая — интерполяция наших экспериментальных данных. Розовая сплошная кривая — интерполяция экспериментальных данных [17] по наноалмазу. Розовый пунктир — интерполяция экспериментальных данных [14] по кристаллическому алмазу.
Рис. 5. Ударная адиабата в координатах давление — удельный объем.
ЗАКЛЮЧЕНИЕ
Проведены исследования физико-механических свойств новой керамики «Идеал» в статических и динамических условиях. Полученные значения откольной прочности составили σSP = 1.15–1.4 ГПа, динамический предел упругости, определяемый упруго-пластическими свойствами карбида кремния, σHEL = 13.4 ГПа.
ФИНАНСИРОВАНИЕ РАБОТЫ
Изготовление образцов керамики «Идеал» выполнено при финансовой поддержке гранта Российского научного фонда № 20-13-00054-П «Материалы для бронезащиты нового поколения на основе реакционно-диффузионных процессов Тьюринга для синтеза алмаз-карбидкремниевых композитов со структурой трижды периодических поверхностей минимальной энергии».
Ударно-волновые эксперименты проведены с использованием оборудования Московского регионального взрывного центра коллективного пользования Российской академии наук в рамках госзадания. Номер госрегистрации — ААА-А19-119071190040-5.
КОНФЛИКТ ИНТЕРЕСОВ
Авторы заявляют об отсутствии конфликта интересов, требующего раскрытия в данной статье.
Об авторах
В. Я. Шевченко
Институт химии силикатов им. И. В. Гребенщикова РАН; НИЦ «Курчатовский институт» — ЦНИИ КМ «Прометей»
Email: perevislov@mail.ru
Россия, 199034, Санкт-Петербург, наб. Макарова, 2; 191015, Санкт-Петербург, Шпалерная ул., 49
А. С. Орыщенко
НИЦ «Курчатовский институт» — ЦНИИ КМ «Прометей»
Email: perevislov@mail.ru
Россия, 191015, Санкт-Петербург, Шпалерная ул., 49
В. Н. Лепин
АО «Концерн Калашников»
Email: perevislov@mail.ru
Россия, 117218, Москва, ул. Кржижановского, 18
А. В. Лушников
АО «Концерн Калашников»
Email: perevislov@mail.ru
Россия, 117218, Москва, ул. Кржижановского, 18
С. М. Алдошин
Федеральный исследовательский центр проблем химической физики и медицинской химии РАН
Email: perevislov@mail.ru
Россия, 142432, Московская обл., г. Черноголовка, пр. Академика Семёнова, 1
С. Н. Перевислов
Институт химии силикатов им. И. В. Гребенщикова РАН; НИЦ «Курчатовский институт» — ЦНИИ КМ «Прометей»
Автор, ответственный за переписку.
Email: perevislov@mail.ru
Россия, 199034, Санкт-Петербург, наб. Макарова, 2; 191015, Санкт-Петербург, Шпалерная ул., 49
И. В. Ломоносов
Федеральный исследовательский центр проблем химической физики и медицинской химии РАН
Email: perevislov@mail.ru
Россия, 142432, Московская обл., г. Черноголовка, пр. Академика Семёнова, 1
А. С. Савиных
Федеральный исследовательский центр проблем химической физики и медицинской химии РАН
Email: perevislov@mail.ru
Россия, 142432, Московская обл., г. Черноголовка, пр. Академика Семёнова, 1
Г. В. Гаркушин
Федеральный исследовательский центр проблем химической физики и медицинской химии РАН
Email: perevislov@mail.ru
Россия, 142432, Московская обл., г. Черноголовка, пр. Академика Семёнова, 1
С. В. Разорёнов
Федеральный исследовательский центр проблем химической физики и медицинской химии РАН
Email: perevislov@mail.ru
Россия, 142432, Московская обл., г. Черноголовка, пр. Академика Семёнова, 1
В. М. Мочалова
Федеральный исследовательский центр проблем химической физики и медицинской химии РАН
Email: perevislov@mail.ru
Россия, 142432, Московская обл., г. Черноголовка, пр. Академика Семёнова, 1
А. В. Уткин
Федеральный исследовательский центр проблем химической физики и медицинской химии РАН
Email: perevislov@mail.ru
Россия, 142432, Московская обл., г. Черноголовка, пр. Академика Семёнова, 1
Д. Н. Николаев
Федеральный исследовательский центр проблем химической физики и медицинской химии РАН
Email: perevislov@mail.ru
Россия, 142432, Московская обл., г. Черноголовка, пр. Академика Семёнова, 1
В. Б. Минцев
Федеральный исследовательский центр проблем химической физики и медицинской химии РАН
Email: perevislov@mail.ru
Россия, 142432, Московская обл., г. Черноголовка, пр. Академика Семёнова, 1
Список литературы
- Ковальчук М.В., Орыщенко А.С., Шевченко В.Я., Перевислов С.Н. Композиционный материал // Патент № 2731703 C1 от 08.09.2020. Заявка № 2019136844 от 15.11.2019.
- Ковальчук М.В., Орыщенко А.С., Шевченко В.Я., Петров С.Н. Способ получения композиционного материала // Патент № 2732258 C1 от 14.09.2020. Заявка № 2019143480 от 19.12.2019.
- Turing A. The chemical basis of morphogenesis // Philos. Trans. R. Soc. London. Ser. B. 1952. V. 237. № 641. Р. 37–72.
- Shevchenko V.Y., Kovalchuk M.V., Oryshchenko A.S., Perevislov S.N. New chemical technologies based on Turing reaction-diffusion processes // Doklady Chemistry. Pleiades Publishing. 2021. V. 496. № 2. P. 28–31.
- Shevchenko V.Y., Perevislov S.N., Ugolkov V.L. Physicochemical interaction processes in the carbon (diamond)-silicon system // Glass Physics and Chemistry. 2021. V. 47. № 3. Р. 197–208.
- Shevchenko V.Y., Perevislov S.N. Reaction-diffusion mechanism of synthesis in the diamond-silicon carbide system // Russian Journal of Inorganic Chemistry. 2021. V. 66. № 8. P. 1107–1114.
- Ландау Л.Д., Лифшиц Е.М. Механика сплошных сред. М.: Гостехиздат, 1953. 737 с.
- Knippenberg W.F. Growth phenomena in silicon carbide // Philips Res. Report. 1963. V. 18. P. 161–274.
- Канель Г.И., Фортов В.Е., Разоренов С.В. Ударные волны в физике конденсированного состояния // Успехи физических наук. 2007. Т. 177. № 8. С. 809–830.
- Канель Г.И., Зарецкий Е.Б., Разоренов С.В., Ашитков С.И., Фортов В.Е. Необычные пластичность и прочность металлов при ультракоротких длительностях нагрузки // Успехи физических наук. 2017. Т. 187. № 5. С. 525–545.
- Barker L.M., Hollenbach R.E. Laser interferometer for measuring high velocities of any reflecting surface // J. Appl. Phys. 1972. V. 43. P. 4669.
- Bartkowski P., Dandekar D.P. Spall strength of sintered and hot pressed silicon carbide // Shock Compression of Condensed Matter. 1995. Eds. S. C. Schmidt and W.C. Tao. Elsev. sci. Publ. AIP Conference Proceedings. 1996. V. 370. P. 535–538.
- Gregor M.C., Fratanduono D.E., McCoy C.A., Polsin D.N., Sorce A., Rygg J.R., Collins G.W., Braun T., Celliers P.M., Eggert J.H., Meyerhofer D.D., Boehly T.R. Hugoniot and release measurements in diamond shocked up to 26 Mbar // Physical Review B. 2017. V. 95. № 14. P. 144114.
- McWilliams R.S., Eggert J.H., Hicks D.G., Bradley D.K., Celliers P.M., Spaulding D.K., Boehly T.R., Collins G.W., Jeanloz R. Strength effects in diamond under shock compression from 0.1 to 1 TPa // Physical Review B. 2010. V. 81. № 1. P. 014111.
- Savinykh A.S., Kanel G.I., Razorenov S.V., Rumyantsev V.I. Evolution of shock waves in SiC ceramic // Technical Physics. 2013. V. 58. P. 973–977.
- Li Y., Cao X., Yu Y., Li X., Zhang L., Zhu W., Zhou X., He H., Meng D., He D. Shock compression of diamonds in silicon carbide matrix up to 110 GPa // Journal of Applied Physics. 2020. V. 128. № 24. P. 245901.
- Katagiri K., Ozaki N., Umeda Y., Irifune T., Kamimura N., Miyanishi K., Sano T., Sekine T., Kodama R. Shock Response of Full Density Nanopolycrystalline Diamond // Physical Review Letters. 2020. V. 125. P. 185701.
- Nikolaev D., Ternovoi V., Kim V., Shutov A. Plane shock compression generators, utilizing convergence of conical shock waves // J. Phys. Conf. Ser. 2014. V. 500. P. 142026.
- Зельдович Я.Б., Райзер Ю.П. Физика ударных волн и высокотемпературных гидродинамических явлений. М.: Физматлит, 2008. 656 с.
- Lomonosov I.V., Bushman A.V., Fortov V.E., Khishenko K.V. Caloric Equations of State of Structural Materials // AIP Conference Proceedings; AIP: Colorado Springs, Colorado (USA). 1994. V. 309. P. 133.
- Knudson M.D., Desjarlais M.P. Adiabatic Release Measurements in α-Quartz between 300 and 1200 GPa: Characterization of α-Quartz as a Shock Standard in the Multimegabar Regime // Physical Review B. 2013. V. 88 (18). P. 184107.
- Николаев Д.Н., Кулиш М.И., Дудин С.В., Минцев В.Б., Ломоносов И.В., Фортов В.Е. Ударная сжимаемость монокристаллического кремния в диапазоне давления 280–510 ГПа // ТВТ. 2021. V. 59. № 6. C. 860.
- Li Y., Zhang L., Yu Y., Zhang Y., Wang Q., Cao X., B. Gan, X. Zhou, Ch. Meng, H. He, He D. Shock response of micro-grained diamond-SiC composite // J. Appl. Phys. 2021. V. 130. P. 025902.
Дополнительные файлы







