High-Speed Convolution Core Architecture for Privacy-Preserving Neural Networks
- Authors: Lapina M.A.1, Shiriaev E.M.1, Babenko M.G.1, Istamov I.2
-
Affiliations:
- North Caucasian Center for Mathematical Research, North Caucasus Federal University
- Samarkand State University named after Sharof Rashidov
- Issue: No 6 (2024)
- Pages: 3-11
- Section: INFORMATION SECURITY
- URL: https://journals.rcsi.science/0132-3474/article/view/283172
- DOI: https://doi.org/10.31857/S0132347424060012
- EDN: https://elibrary.ru/dzispq
- ID: 283172
Cite item
Abstract
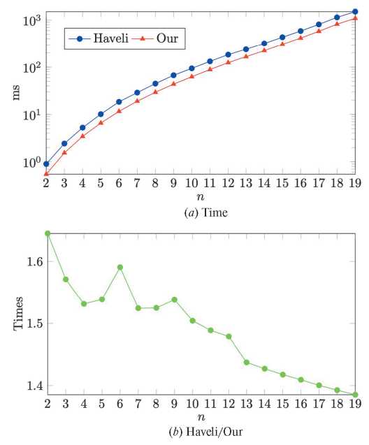
Due to legal restrictions or restrictions related to companies' internal information policies, businesses often do not trust sensitive information to public cloud providers. One of the mechanisms to ensure the security of sensitive data in clouds is homomorphic encryption. Privacy-preserving neural networks are used to design solutions that utilize neural networks under these conditions. They exploit the homomorphic encryption mechanism, thus enabling the security of commercial information in the cloud. The main deterrent to the use of privacy-preserving neural networks is the large computational and spatial complexity of the scalar multiplication algorithm, which is the basic algorithm for computing mathematical convolution. In this paper, we propose a scalar multiplication algorithm that reduces the spatial complexity from quadratic to linear, and reduces the computation time of scalar multiplication by a factor of 1.38.
Full Text
About the authors
M. A. Lapina
North Caucasian Center for Mathematical Research, North Caucasus Federal University
Author for correspondence.
Email: mlapina@ncfu.ru
Russian Federation, 1, Pushkina st., Stavropol, 355017
E. M. Shiriaev
North Caucasian Center for Mathematical Research, North Caucasus Federal University
Email: eshiriaev@ncfu.ru
Russian Federation, 1, Pushkina st., Stavropol, 355017
M. G. Babenko
North Caucasian Center for Mathematical Research, North Caucasus Federal University
Email: mgbabenko@ncfu.ru
Russian Federation, 1, Pushkina st., Stavropol, 355017
I. Istamov
Samarkand State University named after Sharof Rashidov
Email: istamovismoilzoda@gmail.com
Uzbekistan, 15, University blv. Samarkand, 140104
References
- Hunt E.B. Artificial intelligence. Academic Press, 2014.
- Radford A. et al. Improving language understanding by generative pre-training. OpenAI, 2018.
- Wamser F. et al. Traffic characterization of a residential wireless Internet access // Telecommunication Systems. Springer, 2011. V. 48. P. 5–17.
- Sagiroglu S., Sinanc D. Big data: A review // 2013 international conference on collaboration technologies and systems (CTS). IEEE, 2013. P. 42–47.
- О персональных данных [Electronic resource]. http://pravo.gov.ru/proxy/ips/?docbody&nd= 102108261 (accessed: 16.06.2024)
- Gentry C. A fully homomorphic encryption scheme. Stanford university, 2009.
- Yegnanarayana B. Artificial neural networks. PHI Learning Pvt. Ltd., 2009.
- Pratiwi H. et al. Sigmoid activation function in selecting the best model of artificial neural networks // Journal of Physics: Conference Series. IOP Publishing, 2020. V. 1471. № 1. P. 012010.
- Rivest R.L., Shamir A., Adleman L. A method for obtaining digital signatures and public-key cryptosystems // Commun. ACM. 1978. V. 21. № 2. P. 120–126.
- ElGamal T. A public key cryptosystem and a signature scheme based on discrete logarithms // IEEE transactions on information theory. IEEE, 1985. V. 31. № 4. P. 469–472.
- Gentry C. Fully homomorphic encryption using ideal lattices // Proceedings of the forty-first annual ACM symposium on Theory of computing. Bethesda MD USA: ACM, 2009. P. 169–178.
- Van Dijk M. et al. Fully Homomorphic Encryption over the Integers // Advances in Cryptology – EUROCRYPT 2010 / ed. Gilbert H. Berlin, Heidelberg: Springer Berlin Heidelberg, 2010. V. 6110. P. 24–43.
- Gentry C., Halevi S. Implementing gentry’s fully-homomorphic encryption scheme // Advances in Cryptology–EUROCRYPT 2011: 30th Annual International Conference on the Theory and Applications of Cryptographic Techniques, Tallinn, Estonia, May 15–19, 2011. Proceedings 30. Springer, 2011. P. 129–148.
- Brakerski Z. Fully homomorphic encryption without modulus switching from classical GapSVP // Annual Cryptology Conference. Springer, 2012. P. 868–886.
- Brakerski Z., Vaikuntanathan V. Fully Homomorphic Encryption from Ring-LWE and Security for Key Dependent Messages // Advances in Cryptology – CRYPTO 2011 / ed. Rogaway P. Berlin, Heidelberg: Springer Berlin Heidelberg, 2011. V. 6841. P. 505–524.
- Brakerski Z., Gentry C., Vaikuntanathan V. (Leveled) Fully Homomorphic Encryption without Bootstrapping // ACM Trans. Comput. Theory. 2014. V. 6. № 3. P. 1–36.
- Dijk M. van et al. Fully homomorphic encryption over the integers // Annual international conference on the theory and applications of cryptographic techniques. Springer, 2010. P. 24–43.
- Cheon J.H. et al. Homomorphic encryption for arithmetic of approximate numbers // International conference on the theory and application of cryptology and information security. Springer, 2017. P. 409–437.
- Homomorphic Encryption Standardization – An Open Industry / Government / Academic Consortium to Advance Secure Computation [Electronic resource]. https://homomorphicencryption.org/ (accessed: 10.12.2022)
- Pulido-Gaytan B. et al. Privacy-preserving neural networks with Homomorphic encryption: Challenges and opportunities // Peer-to-Peer Netw. Appl. 2021. V. 14. № 3. P. 1666–1691.
- Ribeiro M., Grolinger K., Capretz M.A. Mlaas: Machine learning as a service // 2015 IEEE14th international conference on machine learning and applications (ICMLA). IEEE, 2015. P. 896–902.
- Manvi S.S., Shyam G.K. Resource management for Infrastructure as a Service (IaaS) in cloud computing: A survey // Journal of network and computer applications. Elsevier, 2014. V. 41. P. 424–440.
- Rodero-Merino L. et al. Building safe PaaS clouds: A survey on security in multitenant software platforms // computers & security. Elsevier, 2012. V. 31. № 1. P. 96–108.
- Cusumano M. Cloud computing and SaaS as new computing platforms // Commun. ACM. 2010. V. 53. № 4. P. 27–29.
- Chen H., Chillotti I., Song Y. Improved bootstrapping for approximate homomorphic encryption // Advances in Cryptology–EUROCRYPT 2019: 38th Annual International Conference on the Theory and Applications of Cryptographic Techniques, Darmstadt, Germany, May 19–23, 2019, Proceedings, Part II. Springer, 2019. P. 34–54.
- Microsoft SEAL: C++. Microsoft, 2023.
- OpenFHE.org – OpenFHE – Open-Source Fully Homomorphic Encryption Library [Electronic resource]. https://www.openfhe.org/ (accessed: 01.04.2024)
- Dai W., Sunar B. cuHE: A homomorphic encryption accelerator library // International Conference on Cryptography and Information Security in the Balkans. Springer, 2015. P. 169–186.
- Benaissa A. et al. TenSEAL: A Library for Encrypted Tensor Operations Using Homomorphic Encryption: arXiv:2104.03152. arXiv, 2021.
- Lee J.-W. et al. Privacy-preserving machine learning with fully homomorphic encryption for deep neural network // IEEE Access. IEEE, 2022. V. 10. P. 30039–30054.
- Halevi S., Shoup V. Algorithms in helib // Annual Cryptology Conference. Springer, 2014. P. 554–571.
- Özerk Ö. et al. Efficient number theoretic transform implementation on GPU for homomorphic encryption // The Journal of Supercomputing. Springer, 2022. V. 78. № 2. P. 2840–2872.
Supplementary files







