Redox-Active Tin(IV) Complexes Based on Sterically Hindered Catecholate Ligands
- Authors: Baryshnikova S.V.1, Arsen’eva M.V.1, Druzhkov N.O.1, Fukin G.K.1, Baranov E.V.1, Piskunov A.V.1
-
Affiliations:
- Razuvaev Institute of Organometallic Chemistry, Russian Academy of Sciences
- Issue: Vol 50, No 2 (2024)
- Pages: 100-110
- Section: Articles
- URL: https://journals.rcsi.science/0132-344X/article/view/261614
- DOI: https://doi.org/10.31857/S0132344X24020049
- EDN: https://elibrary.ru/ORPODO
- ID: 261614
Cite item
Full Text
Abstract
The oxidative addition of sterically hindered 3,6-dicyclohexyl-o-benzoquinone (L1), 3,5-di-tert-octyl-o-benzoquinone (L2), 4-tert-octyl-o-benzoquinone (L3), and 3,5-bis(2-phenylpropyl)-o-benzoqui-none (L4) to tin(II) chloride in THF affords the corresponding tin(IV) catecholate complexes with the generalformula RCatSnCl2 · 2THF, where Cat is the catecholate fragment; and R is 3,6-с-Hex (I), 3,5-tert-Oct (II), 4-tert-Oct (III), and 3,5-C(Me)2 Ph (IV), regardless of the molar ratio of the starting reactants. The molecu-lar structures of substituted o-benzoquinone L4 and complexes I and III in the crystalline form are determined by X-ray diffraction (XRD) (CIF files CCDC nos. 2259370 (L4), 2259371 (I), and 2259372 (III)). The oxidation-reduction properties of synthesized compounds I–IV are studied by cyclic voltammetry.
Keywords
Full Text
В последние несколько десятилетий активно развивающийся раздел координационной химии, изучающий комплексы переходных и непереходных металлов на основе редокс-активных лигандов, привлекает пристальное внимание исследователей в областях как фундаментальной, так и прикладной науки [1–11]. Интерес к данным соединениям обусловлен главным образом тем, что редокс-активные лиганды способны обратимо окисляться и восстанавливаться, находясь в координационной сфере металла, образуя при этом анион-радикальную или дианионную форму.
Эта особенность позволила обнаружить много интересных особенностей и необычных свойств соединений данного класса. Среди них металлотропия и элементотропия, уникальная чувствительность параметров спектров ЭПР о-семихиноновых и о-иминосемихиноновых комплексов к природе и сольватирующей способности растворителя [12]; внутримолекулярная редокс-изомерия и феномен фото-/термомеханического эффекта (обратимый изгиб кристаллов комплекса под действием излучения или тепла) [13–15]; внутримолекулярный перенос электрона, индуцируемый замещением нейтральных лигандов в координационной сфере металла [16]; необычные магнитные свойства, обусловленные различными типами магнитных взаимодействий “металл – парамагнитный лиганд” и “лиганд – лиганд” [1, 17, 18]. Подавляющее большинство среди соединений, демонстрирующих вышеперечисленные нетривиальные свойства относятся к производным переходных металлов, а сами процессы сопровождаются изменением степени окисления переходного металла. В отличие от последних, непереходные металлы не имеют множественных устойчивых степеней окисления. Комбинация в одной молекуле непереходного металла и редокс-активного лиганда в определенных условиях позволяет моделировать химическое поведение комплексов переходных металлов. Для таких соединений становится возможно участие в таких процессах как окислительное присоединение и восстановительное элиминирование. Так, впервые обнаружено уникальное явление обратимого связывания молекулярного кислорода [19, 20], окислительное присоединение галоидных алкилов [21–23] и обратимое присоединение фенилацетилена [24] к комплексам непереходных металлов. Также показано, что монокатехолатные комплексы металлов главных групп способны окисляться как моно-, так и диоксидом азота, образуя при этом моно-о-бензосемихиноновые производные [25, 26]. Таким образом, в зависимости от природы лиганда катехолатные комплексы непереходных металлов способны изменять свои окислительно-восстановительные свойства, что дает возможность в значительной степени расширить границы редокс-превращений, и делает их перспективными с точки зрения развития химии комплексов металлов главных групп с редокс-активными лигандами как пограничной области между химией комплексов переходных и непереходных металлов.
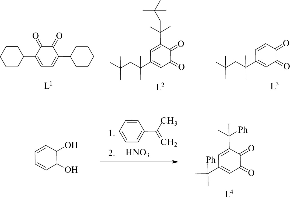
В настоящей работе представлен синтез нового пространственно-экранированного о-бензохинона, а также ряда редокс-активных комплексов олова(IV) с пространственно-затрудненными катехолами, установлено их молекулярное строение и изучены электрохимические свойства.
Экспериментальная часть
Все манипуляции по синтезу комплексов олова с замещенными о-бензохинонами проводили в условиях отсутствия кислорода и влаги воздуха. Использованные в синтезах растворители очищали и обезвоживали согласно рекомендациям [27, 28]. о-Бензохиноны L1–L3 получали по известной методике [29, 30]. Спектры ЯМР 1Н регистрировали на спектрометре Bruker Avance Neo (300 МГц). Для регистрации спектров ЯМР использовали CDCl3 в качестве растворителя. ИК-спектры в области 400–4000 см–1 регистрировали на спектрометре с Фурье-преобразователем ФСМ-1201 в вазелиновом масле. Элементный анализ выполнен на элементном анализаторе Elementar Vario EL cube. Электрохимические измерения проводили в стандартной трехэлектродной ячейки в растворе CH2Cl2 с использованием потенциостата Smartstat PS-50. В качестве рабочего электрода применялся стеклоуглеродный дисковый электрод (d = 2 мм). Платиновая проволока и Ag/AgCl/KCl (нас.) использовались как вспомогательный электрод и электрод сравнения соответственно. Все измерения проводили в атмосфере аргона. Скорость сканирования составляла 200 мВ/с. В качестве электролита использовали н-Bu4NClO4 (0.2 М). Концентрация комплексов – 2 × 10–3 моль/л.
Синтез 3,5-бис(2-фенилпропан-2-ил)-о-бензохинона (L4). Смесь пирокатехина (2.2 г, 0.02 моль), α-метилстирола (7.08 г, 0.06 моль) и бис-катехолата титана (0.3 г) нагревали при 160°C в течение 6 ч. Далее избыток α-метилстирола удаляли при пониженном давлении и реакционную смесь растворяли в 20 мл СH3C(O)OH и окисляли добавлением концентрированной HNO3 по каплям до прекращения выделения NO2. Продукт экстрагировали горячим гексаном, промывали водой и перекристаллизовывали из метанола. Выход зеленых кристаллов, пригодных для РСА, – 2.34 г (34%).
Найдено, %: C 83.85; H 6.12.
Для C24H24O2
вычислено, %: C 83.69; H 7.02.
ИК (ваз. масло, см–1): 1664 c, 1662 ср, 1599 ср, 1567 ср, 1493 с, 1466 с, 1443 с, 1367 с, 1316 сл, 1265 с, 1234 ср, 1207 ср, 1189 ср, 1156 ср, 1142 ср, 1101 ср, 1077 ср, 1055 ср, 1026 с, 1004 ср, 988 сл, 965 с, 941 ср, 926 сл, 913 ср, 904 ср, 879 с, 846 с, 805 с, 768 с, 704 с, 660 ср, 614 ср, 599 ср, 573 с, 536 с, 502 ср, 479 ср.
ЯМР 1H (CDCl3; δ, м. д.): 1.40 (c, 6H, 2CH3), 1.57 (c, 6H, 2CH3), 6.41 (d, 4J(HH) = 2.2, 1H, CHаром), 6.46 (d, 4J(HH) = 2.2, 1H, CHаром), 7.00–7.45 (м, 10H, 2Ph). ЯМР 13C (CDCl3; δ, м. д.): 27.16, 28.27, 42.02, 44.20, 122.82, 125.47, 125.97, 126.37, 127.26, 128.23, 128.97, 136.16, 144.38, 146.83, 148.56.
Общая методика синтеза комплексов I–IV на основе замещенных о-бензохинонов. Раствор замещенного o-бензохинона (1 экв) в ТГФ (10 мл) добавляли к раствору SnCl2 · dioxane (1 экв) в 20 мл того же растворителя. Цвет реакционной смеси менялся от зеленого до желтого или коричневого. ТГФ упаривали при пониженном давлении досуха и остаток растворяли в смеси растворителей CH2Cl2-гексан в соотношении 1 : 1. Комплексы олова(IV) выделяли в виде желтых мелкокристаллических осадков, после выдерживания раствора при –18°C в течение ночи. Пригодные для РСА кристаллы получили для комплексов I и III. Все полученные катехолатные комплексы олова I – IV чувствительны к кислороду и влаге воздуха в растворе и твердом состоянии.
(3,6-с-HexCat)SnCl2 · 2THF (I). Mелкокристаллический осадок желтого цвета, полученный из лиганда L1(0.250 г, 0.918 ммоль) и SnCl2 · dioxane (0.254 г, 0.918 ммоль). Выход – 0.523 г (94%).
Найдено, %: C 51.76; H 6.84.
Для C26H40O4Cl2Sn
вычислено, %: C 51.51; H 6.65.
ИК (ваз. масло; ν, см-1): 1456 с, 1414 ср, 1377 ср, 1364 ср, 1325 сл, 1276 с, 1252 с, 1178 сл, 1137 ср, 1075 с, 1053 сл, 1024 сл, 978 с, 955 с, 918 сл, 893 ср, 848 сл, 816 с, 801 ср, 742 с, 654 с, 602 с, 525 с.
ЯМР 1H (CDCl3; δ, м. д.): 0.71–1.53 и 1.60–2.07 (м., оба по 5H, СH2 циклогекс), 1.86 (м., 4H, 2CH2(ТГФ)), 2.61–2.79 (м., 1H, СHциклогекс), 3.83 (м., 4H, 2CH2O(ТГФ)), 6.71 (с., 1H, СHаром).
(3,5-tret-OctCat)SnCl2 · 2THF (II). Mелкокристаллический осадок коричневого цвета, полученный из лиганда L2(0.250 г, 0.751 ммоль) и SnCl2 · dioxane (0.208 г, 0.751 ммоль). Выход – 0.461 г (92%).
Найдено, %: C 54.36; H 7.98.
Для C30H52Cl2O4Sn
вычислено, %: C 54.07; H 7.87.
ИК (ваз. масло; ν, см–1): 1567 с, 1465 ср, 1416 с, 1395 ср, 1378 ср, 1363 с, 1349 ср, 1333 ср, 1300 ср, 1289 ср, 1253 с, 1234 с, 1213 сл, 1182 сл, 1134 ср, 1103 сл, 1043 сл, 1002 с, 984 с, 969 с, 924 ср, 909 ср, 886 сл, 834 с, 772 с, 741 ср, 702 с, 680 сл, 665 ср, 637 ср, 596 с, 525 с, 502 с.
ЯМР 1H (CDCl3; δ, м. д.): 0.73 и 0.75 (с., оба по 9H, 3CH3), 1.30 и 1.43 (с., оба по 6H, 2СH3), 1.67 и 1.93 (с., оба по 2H, CH2), 1.88 (м., 8Н, 2СH2(ТГФ)), 3.86 (м., 8H, 2СH2O(ТГФ)), 6.52 и 6.62 (д., 4J(H, H) = 2 Гц, оба по 1Н, СHаром).
(4-tret-OctCat)SnCl2 · 2THF (III). Mелкокристаллический осадок бледно-желтого цвета, полученный из лиганда L3(0.117 г, 0.531 ммоль) и SnCl2 · dioxane (0.147 г, 0.531 ммоль). Выход – 0.273 г (93%).
Найдено, %: C 47.81; H 6.64.
Для C22H36Cl2O4Sn
вычислено, %: C 47.68; H 6.55.
ИК (ваз. масло; ν, см–1): 1577 сл, 1465 ср, 1415 с, 1378 ср, 1365 с, 1348 ср, 1313 ср, 1254 с, 1205 ср, 1129 ср, 1115 ср, 1082 сл, 1043 с, 1005 с, 946 ср, 933 сл, 919 ср, 902 сл, 864 ср, 838 с, 805 с, 723 ср, 693 ср, 660 с, 619 ср, 572 сл, 513 сл.
ЯМР 1H (CDCl3; δ, м. д.): 0.71 (с., 9H, 3CH3), 1.30 (с., 6H, 2СH3), 1.94 (с., 2H, CH2), 1.88 (м., 8Н, 2СH2(ТГФ)), 3.86 (м., 8H, 2СH2O(ТГФ)), 6.56–7.11 (м., 3H, СHаром).
(3,5-C(Me)2Ph-Cat)SnCl2 · 2THF (IV). Mелкокристаллический осадок желтого цвета, полученный из лиганда L4 (0.250 г, 0.726 ммоль) и SnCl2 · dioxane (0.201 г, 0.726 ммоль). Выход – 0.458 г (93%).
Найдено,%: C56.95; H 6.05.
Для C32H40Cl2O4Sn
вычислено,%: C56.66; H 5.94.
ИК (ваз. масло; ν, см-1): 1597 сл, 1572 ср, 1465 ср, 1420 с, 1378 с, 1298 с, 1279 с, 1242 ср, 1230 сл, 1202 ср, 1182 сл, 1154 сл, 1114 сл, 1074 сл, 1030 ср, 999 ср, 977 с, 919 ср, 904 ср, 812 ср, 857 ср, 828 с, 815 с, 767 с, 747 ср, 722 ср, 700 с, 662 сл, 639 ср, 614 с, 587 ср, 562 ср, 547 ср, 534 ср, 489 ср.
ЯМР 1H (CDCl3; δ, м. д.): 1.61 и 1.70 (с., оба по 3H, CH3), 1.86 (м., 8Н, 2СH2(ТГФ)), 3.84 (м., 8H, 2СH2O(ТГФ)), 6.73 и 6.88 (д. 4J(HH) = 2 Гц, оба по 1H, СHаром), 7.39–7.08 (м., 10H, 2C6H5).
РСА о-бензохинона L4 и комплексов I и III проведен автоматических монокристальных дифрактометрах Agilent Xcalibur E (для L4, T = 298(2) K) и Bruker D8 Quest (для I и III, T = 100(2) K) (ω- и φ-сканирование, МоКα-излучение, λ = = 0.71073 Å). Сбор дифракционных данных, начальное индицирование отражений и уточнение параметров элементарной ячейки произведены с использованием программ CrysAlisPro [31] (для L4) и APEX4 [32] (для I и III). Экспериментальные наборы интенсивностей интегрированы с помощью программ CrysAlisPro [31] (для L4) и SAINT [33, 34] (для I и III). Структуры расшифрованы “dual-space” методом с применением программы SHELXT [35] и уточнены полноматричным методом наименьших квадратов по F2hkl в анизотропном приближении для неводородных атомов. Водородные атомы помещены в геометрически рассчитанные положения и уточнены изотропно в модели “наездника” с фиксированными тепловыми параметрами (Uизо(H) = 1.5Uэкв(C) для СH3-групп и Uизо(H) = = 1.2Uэкв(C) для остальных групп). Уточнения структур L4, I и III проведены с использованием программного пакета SHELXTL [36, 37]. Алгоритм SCALE3 ABSPACK [38] использован для эмпирического учета поглощения L4. Учет поглощения для I и III произведeн по программе SADABS [39]. В комплексе I один Cy-заместитель катехолатного лиганда разупорядочен по двум положениям. Молекула А комплекса III содержит разупорядоченные фрагменты координированных молекул ТГФ. Кристаллографические данные, параметры рентгеноструктурных экспериментов и уточнения структур приведены в табл. 1.
Таблица 1. Кристаллографические данные, параметры эксперимента и уточнения структур соединения L4 и комплексов I и III
Параметр | Значение | ||
L4 | I | III | |
Бруто-формула | C24H24O2 | C26H40O4Cl2Sn | C22H36O4Cl2Sn |
М | 344.43 | 606.17 | 554.10 |
Кристаллическая система | Триклинная | Триклинная | Триклинная |
Пространственная группа | PĪ | PĪ | PĪ |
T, K | 298(2) | 100(2) | 100(2) |
λ, Å | 0.71073 | 0.71073 | 0.71073 |
a, Å | 10.6231(2) | 6.9833(5) | 7.7893(6) |
b, Å | 11.2965(2) | 10.7268(8) | 12.9674(10) |
c, Å | 18.3795(2) | 19.4323(14) | 25.298(2) |
α, град | 80.619(1) | 100.432(2) | 85.554(2) |
β, град | 83.776(1) | 100.0950(19) | 88.569(2) |
γ, град | 62.917(2) | 104.8902(19) | 74.870(2) |
V, Å3 | 1936.03(6) | 1345.31(17) | 2459.2(3) |
Z | 4 | 2 | 4 |
ρ (выч.), г/см3 | 1.182 | 1.496 | 1.497 |
µ, мм–1 | 0.074 | 1.177 | 1.280 |
F(000) | 736 | 624 | 1136 |
Размеры кристалла, мм | 0.97 × 0.49 × × 0.21 | 0.44 × 0.39 × × 0.21 | 0.44 × 0.35 × × 0.05 |
Параметр | Значение | ||
L4 | I | III | |
Размеры кристалла, мм | 0.97 × 0.49 × 0.21 | 0.44 × 0.39 × 0.21 | 0.44 × 0.35 × 0.05 |
Количество измеренных/независимых отражений | 32 345 / 9319 | 56 520 / 5112 | 81 105 / 11 866 |
Rint | 0.0150 | 0.0426 | 0.0479 |
Количество независимых отражений с I > 2σ(I) | 7652 | 4795 | 10 001 |
Число уточняемых параметров/ограничений | 477 / 0 | 315 / 12 | 553 / 32 |
R1, wR2 (I > > 2σ(I)) | 0.0430, 0.1146 | 0.0239, 0.0552 | 0.0280, 0.0613 |
R1, wR2 (по всем данным) | 0.0535, 0.1204 | 0.0271, 0.0573 | 0.0403, 0.0651 |
S(F2) | 1.054 | 1.073 | 1.053 |
Остаточная электронная плотность (mаx/min), e/Å3 | 0.260 / –0.157 | 0.385 / –0.721 | 1.299 / –0.676 |
Структуры зарегистрированы в Кембриджском банке структурных данных (CCDC № 2259370 (L4), № 2259371 (I), № 2259372 (III) и доступны по адресу: ccdc.cam.ac.uk/structures).
Одноточечные DFT-расчеты периодических трехмерных структур I и III выполнены в рамках обменно-корреляционного функционала B3LYP [40, 41] в программе CRYSTAL17 [42] с использованием полноэлектронного базисного набора DGDZVP [43–46]. Координаты атомов для одноточечного DFT-расчета взяты из данных рутинных рентгеноструктурных экспериментов I и III. Коэффициент сжатия обратного пространства установлен равным 4, что соответствует 30 K точкам в неприводимой зоне Бриллюэна, в которой была диагонализирована гамильтонова матрица.
Программа PLATON (версия 60119) [47] применена для генерирования соответственно 35 168 и 64 284 независимых индексов Миллера hkl для I и III с обратным разрешением до s = 1.16 Å–1. Опция XFAC программы CRYSTAL17 использована для получения набора теоретических структурных факторов Fhkl из функции электронной плотности, полученной одноточечными расчетами неоптимизированных кристаллических структур I и III.
На основе рассчитанных структурных амплитуд Fhkl с помощью программы MoPro [48] в рамках мультипольного формализма Хансена–Коппенса [49] получены для каждого атома комплексов I и III заселенности сферически-симметричной валентной оболочки (Pval) и мультипольных параметров (Plm), описывающих ее деформацию, вместе с соответствующими коэффициентами расширения-сжатия (k, k'). Уровни мультипольного разложения были гексадекапольными для атома олова, октупольными для всех остальных атомов, не являющихся водородными, и одним дипольным для атомов водорода. Полученные значения Pval, Plm, k и k' использованы (но сами не уточнялись) для мультипольного уточнения координат и тепловых параметров атомов комплексов I и III по экспериментальным наборам отражений (sin θ / λ = 0.61 (I) и 0.66 (III) Å–1) в реальной симметрии кристалла.
Анализ топологии экспериментально-теоретической функции ρ(r) проведен с помощью пакета программ WINXPRO [50].
РЕЗУЛЬТАТЫ И ИХ ОБСУЖДЕНИЕ
Замещенные о-бензохиноновые лиганды I и III синтезировали по известным методикам [29, 30]. 3,5-бис(2-фенилпропан-2-ил)-о-бензохинон (L4) получали по реакции алкилирования пирокатехина α-метилстиролом в присутствии бис-катехолата титана с последующим окислением образующегося на первой стадии пирокатехина азотной кислотой (схема 1).
Схема 1.
Строение лиганда L4 подтверждено комплексом физико-химических методов исследования. В ИК-спектрах бензохинона L4 имеются интенсивные полосы в области 1640–1700 см–1, характерные для валентных колебаний карбонильных групп в стерически экранированных бензохинонах. Строение о-хинона L4 также подтверждено данными спектроскопии 1Н, 13С ЯМР. Спектр 1H ЯМР L4 представлен узкими интенсивными синглетами от протонов метильных групп, дублетами от ароматических протонов с константами 4JHH = 2 Гц, а также мультиплетами от протонов фенильных фрагментов в положениях 3 и 5 ароматического кольца.
Полученные замещенные о-бензохиноны L1—L4 легко взаимодействуют c диоксанатом дихлорида олова в растворе ТГФ (схема 2).
Схема 2.
В ходе реакции происходит окисление низковалентного атома олова(II) до олова(IV) и восстановление о-бензохинона до дианионного состояния, при этом образуются соответствующие катехолатные комплексы I–IV (см. схему 2). Окисление Sn(II) в Sn(IV) о-бензохиноном не зависит от мольного соотношения исходных реагентов и сопровождается восстановлением одной молекулы о-бензохинона до катехолата.
Строение комплексов I–IV подтверждено различными физико-химическими методами (cпектроскопия ИК, ЯМР 1H, РСА, элементный анализ). Восстановление о-бензохинона подтверждается исчезновением полос в ИК-спектрах комплексов I–IV, отвечающих валентным колебаниям групп C=O о-бензохинона в области 1650 см–1, а также наличием полос поглощения, отвечающих валентным колебаниям одинарных связей C–O, характерных для катехолатных комплексов (1245 см–1).
Все комплексы являются диамагнитными и имеют хорошо разрешенные спектры ЯМР, которые также подтверждают их строение. Спектры 1H ЯМР соединений в растворе дихлорметана содержат набор сигналов от протонов групп (фенильные, метильные, трет-октильные и циклогексильные группы), входящих в состав органических лигандов комплексов I–IV. Протоны арильного кольца в комплексах проявляются в спектрах 1Н ЯМР в виде сигналов, химические сдвиги которых находятся в диапазоне 6.5–7.1 м. д. В случае комплексов II и IV на основе 3,5-дизамещенных о-бензохиноновых лигандов, сигналы от ароматических протонов катехолатного кольца являются дублетами с константами 4JHH = 2 Гц.
Молекулярное строение о-бензохинона L4 и комплексов I и III в кристаллическом состоянии установлено с помощью РСА (рис. 1 и 2). Основные длины связей и углы приведены в табл. 2.
Рис. 1. Строение молекулы А о-бензохинона L4 (приведены тепловые эллипсоиды 30%-ной вероятности) а; б – суперпозиция структур молекул A и B (зеленые и синие связи соответственно) соединения L4 с тепловыми эллипсоидами атомов 15%-ной вероятности (атомы водорода не показаны).
Рис. 2. Молекулярное строение комплексов I (а) и III (б, молекула А); cуперпозиция структур молекул A и B комплекса III (зеленые и синие связи соответственно) (в). Приведены тепловые эллипсоиды 50%-ной вероятности. Атомы водорода не показаны.
Таблица 2. Основные длины связей (Å) и углы (град) в о-бензохиноне (L4) и катехолатах олова(IV) (I) и (III) согласно данным РСА
Связь | L4 | I | III | ||
Молекула А | Молекула B | Молекула А | Молекула B | ||
d, Å | |||||
n(1)—O(1) Sn(1)—O(2) Sn(1)—O(3) Sn(1)—O(4) Sn(1)—Cl(1) Sn(1)—Cl(2) O(1)—C(1) O(2)—C(2) C(1)—C(6) C(1)—C(2) C(2)—C(3) C(3)—C(4) C(4)—C(5) C(5)—C(6) | — — — — — — 1.2090(13) 1.2139(13) 1.4859(14) 1.5472(16) 1.4490(15) 1.3419(15) 1.4769(14) 1.3445(14) | — — — — — — 1.2118(14) 1.2099(14) 1.4802(16) 1.5483(18) 1.4502(17) 1.3374(15) 1.4723(15) 1.3393(15) | 2.0163(16) 2.0118(16) 2.1694(16) 2.1891(16) 2.3756(6) 2.3663(6) 1.375(3) 1.373(3) 1.393(3) 1.410(3) 1.396(3) 1.396(3) 1.385(3) 1.399(3) | 2.0289(14) 2.0211(14) 2.1849(14) 2.1520(14) 2.3629(6) 2.3453(5) 1.361(2) 1.359(2) 1.382(3) 1.414(3) 1.381(3) 1.401(3) 1.393(3) 1.395(3) | 2.0271(14) 2.0212(14) 2.1839(14) 2.1549(14) 2.3620(5) 2.3426(5) 1.363(2) 1.360(2) 1.378(3) 1.411(3) 1.373(3) 1.400(3) 1.397(3) 1.394(3) |
Угол | ω, град | ||||
O(1)—Sn(1)—O(2) Cl(1)—Sn(1)—Cl(2) O(3)—Sn(1)—O(4) O(1)—Sn(1)—Cl(1) O(2)—Sn(1)—Cl(1) O(1)—Sn(1)—Cl(2) O(2)—Sn(1)—Cl(2) | — — — — — — — | — — — — — — — | 83.33(6) 95.29(2) 176.08(6) 90.17(5) 172.20(5) 174.07(5) 91.39(5) | 83.12(6) 94.61(2) 178.67(5) 173.15(4) 90.25(4) 92.00(4) 175.09(4) | 83.38(6) 96.01(2) 179.21(6) 171.05(4) 87.75(4) 92.83(4) 175.91(4) |
Ассиметричная часть элементарной ячейки кристалла о-бензохинона L4 содержит две независимые молекулы A и B, отличающиеся положением метильных (атомы C(9) и C(18)) и фенильных (C(10) и C(19)) заместителей относительно плоскости о-бензохинона (см. pис. 1, б). В молекулах A и B метильные группы С(8) и С(17) находятся в плоскости о-бензохинонового цикла. Фенильные группы с атомами C(10), C(19) и, соответственно, метильные атомы C(9), C(18) расположены в транс-позициях относительно плоскости хинонового фрагмента. Структурные характеристики соединения L4 типичны для стерически экранированных о-бензохинонов (см. рис. 1, табл. 2). В частности, расстояния С–O соответствуют двойным связям и наблюдается альтернирование одинарных и двойных связей С–С в центральном шестичленном цикле С(1)—С(6). Фенильные группы пропильных заместителей в положениях 3 и 5 ароматического кольца вследствие необходимости минимизации стерических взаимодействий расположены перпендикулярно плоскости о-бензохинонового фрагмента. Двугранные углы между ними варьируются в диапазоне 87.0°—90.0°.
Аналогично L4, в кристалле III обнаружены две независимые молекулы A и B комплекса олова(IV), которые отличаются геометрией координированных молекул ТГФ (см. pис. 2, в). Атомы олова в комплексах I и III имеют искаженное октаэдрическое окружение (см. рис. 2, а, б). Атомы кислорода O(1) и O(2) катехолатного фрагмента и атомы хлора Cl(1), Cl(2) находятся в экваториальной плоскости, в то время как атомы кислорода O(3) и O(4) двух молекул координированного ТГФ располагаются в апикальных позициях. Циклопентадиенильные заместители катехолатного лиганда в комплексе I находятся в конформации “кресло”. Длины связей Sn(1)—O(1,2) в I и III (2.0118(16)—2.0289(14) Å) близки к сумме ковалентных радиусов атомов кислорода и олова(IV) (2.09 Å) [51] и достаточно близки к аналогичным длинам связей в различных катехолатных комплексах олова(IV) (1.995(8)—2.079(3) Å) [52–56]. Длины связей Sn–Cl (2.3426(5)—2.3756(6) Å) в I и III типичны для связей SnIV–Cl (сумма ковалентных радиусов атомов олова и хлора составляют 2.39 Å [51]) и находятся в интервале аналогичных значений для комплексов Sn(IV) (2.34–2.46 Å) [57–60]. Напротив, длины Sn–OТГФ для координированного тетрагидрофурана в комплексах I и III превышают сумму ковалентных радиусов атомов олова и кислорода и демонстрируют донорно-акцепторный характер взаимодействия [51, 53]. Длины связей C–O (1.359(2)–1.375(3) Å) катехолатного фрагмента лежат в диапазоне длин связей для координированных дианионных производных катехолатных комплексов различных металлов (от 1.33 до 1.39 Å) [1, 12, 61]. Расстояния C–C в ароматических кольцах катехолатных лигандов близки к аналогичным значениям в бензоле (1.40 Å).
Для комплексов I и III была исследована экспериментально-теоретическая топология электронной плотности. Для этого мы использовали асферический рассеивающий фактор независимой области ячейки (кристаллический инвариом), который позволяет адекватно воспроизвести топологию экспериментальной электронной плотности и энергию межмолекулярных взаимодействий в кристалле [62, 63]. Согласно теории Р. Бейдера [64], все взаимодействия в координационной сфере атомов олова в I и III являются промежуточными (∆2ρ(r) > 0, he(r) < 0; ковалентная полярная связь; табл. 3). Это согласуется с распределением зарядов в координационной сфере атомов олова (табл. 4). Подобная ситуация имеет место в катехолатных и амидофенолятных комплексах сурьмы(V) [65, 66]. Полный заряд на катехолатном центре комплекса I составляет –0.68 e и несколько меньше, чем аналогичная величина в III (–0.76 e).
Таблица 3. Основные топологические параметры электронной плотности в координационной сфере атома олова, полученные экспериментально-теоретически*
Связь | ν(r), а. е. | ρ(r), а. е. | ∆2ρ(r), а. е. | he(r), а. е. |
I | ||||
Sn(1)—O(1) | –0.178 | 0.109 | 0.408 | –0.038 |
Sn(1)—O(2) | –0.180 | 0.110 | 0.411 | –0.038 |
Sn(1)—O(3) | –0.098 | 0.076 | 0.239 | –0.019 |
Sn(1)—O(4) | –0.092 | 0.073 | 0.223 | –0.018 |
Sn(1)—Cl(1) | –0.099 | 0.081 | 0.145 | –0.031 |
Sn(1)—Cl(2) | –0.100 | 0.081 | 0.150 | –0.031 |
III | ||||
Sn(1A)—O(1A) | –0.167 | 0.105 | 0.394 | –0.034 |
Sn(1A)—O(2A) | –0.172 | 0.107 | 0.406 | –0.035 |
Sn(1A)—O(3A) | –0.093 | 0.073 | 0.230 | –0.017 |
Sn(1A)—O(4A) | –0.103 | 0.078 | 0.254 | –0.020 |
Sn(1A)—l(1A) | –0.103 | 0.083 | 0.153 | –0.032 |
Sn(1A)—l(2A) | –0.107 | 0.085 | 0.161 | –0.034 |
*Плотность потенциальной энергии (ν(r)), электронная плотность (ρ(r)), лапласиан электронной плотности (∆2ρ(r)) и плотность электронной энергии (he(r)) в критических точках (3, –1).
Таблица 4. Атомные заряды (q/e) в координационной сфере олова, полученные экспериментально-теоретически
Комплекс | q(Sn(1)) | q(O(1)) | q(O(2)) | q(O(3)) | q(O(4)) | q(Cl(1)) | q(Cl(2)) |
I | 1.89 | –0.95 | –0.96 | –0.86 | –0.85 | –0.58 | –0.56 |
III* | 1.92 | –0.96 | –0.96 | –0.84 | –0.88 | –0.56 | –0.56 |
*Заряды приведены для одной независимой молекулы (А).
Окислительно-восстановительные свойства комплексов I – IV исследовали методом циклической вольтамперометрии (ЦВА) в растворе хлористого метилена в атмосфере аргона (рис. 3, табл. 5). На рис. 3 представлены типичные для данных соединений кривые ЦВА в интервале 0.2–1.6 В.
Рис. 3. Кривые ЦВА для комплексов II и III (стеклоуглеродный электрод, Ag/AgCl/KCl, 0.2 M [n-Bu4N]ClO4, CH2Cl2, c = 2 × 10–3 моль/л, V = 0.2 В/с, Ar).
Таблица 5. Электрохимические потенциалы (В) окисления I–IV (298 K, Ag/AgCl/KCl, CH2Cl2, c = 1 × 10–3 M, 0.2 M [n-Bu4N]ClO4, V = 0.2 В/с, Ar)
Комплекс | Ep, B* |
I | 1.24 |
II | 1.14 |
III | 1.22 |
IV | 1.20 |
*Ep – потенциал пика для необратимого процесса.
Циклическая вольтамперограмма комплексов олова(IV) I–IV демонстрирует одну необратимую стадию электрохимического окисления в интервале от 0.95 до 1.30 В, которая соответствует окислению катехолатного центра. Следует отметить, что величины зарядов на катехолатных центрах в I (–0.68 e) и III (–0.76 e) коррелируют с электрохимическим потенциалом окисления (см. табл. 5). Чем больше отрицательный заряд, тем меньше электрохимический потенциал окисления. Это подтверждает корректность использования кристаллических инвариомов для исследования топологии электронной плотности.
Таким образом, получен пространственно-экранированный о-бензохинон (L4) и комплекс (3,5-C(Me)2Ph-Cat)SnCl2 · 2THF (IV) на его основе, а также ряд монокатехолатных комплексов олова(IV) с замещенными о-бензохиноновыми лигандами, молекулярное строение лиганда L4 и двух комплексов (3,6-с-HexCat)SnCl2 · 2THF (I) и (4-tret-OctCat)SnCl2 · 2THF (III) в кристаллическом виде установлено с помощью рентгеноструктурного анализа. Окислительно-восстановительные свойства полученных соединений исследованы с помощью ЦВА. Показано, что электрохимическое окисление комплексов происходит в области 1.14–1.24 В как одностадийный процесс, в котором принимают участие катехолатный центр.
Авторы заявляют, что у них нет конфликта интересов.
Благодарности
Работа выполнена с использованием оборудования центра коллективного пользования “Аналитический центр ИМХ РАН” при поддержке гранта “Обеспечение развития материально-технической инфраструктуры центров коллективного пользования научным оборудованием” (уникальный идентификатор RF-2296.61321X0017, соглашение № 075-15-2021-670).
ФИНАНСИРОВАНИЕ
Работа выполнена при финансовой поддержке Совета по грантам Президента Российской Федерации для государственной поддержки молодых российских ученых и по государственной поддержке ведущих научных школ Российской Федерации (проект № НШ-403.2022.1.3). Исследование экспериментально-теоретической электронной плотности поддержано Российским научным фондом № 21-13-00336.
About the authors
S. V. Baryshnikova
Razuvaev Institute of Organometallic Chemistry, Russian Academy of Sciences
Author for correspondence.
Email: baryshnikova@iomc.ras.ru
Russian Federation, Nizhny Novgorod
M. V. Arsen’eva
Razuvaev Institute of Organometallic Chemistry, Russian Academy of Sciences
Email: baryshnikova@iomc.ras.ru
Russian Federation, Nizhny Novgorod
N. O. Druzhkov
Razuvaev Institute of Organometallic Chemistry, Russian Academy of Sciences
Email: baryshnikova@iomc.ras.ru
Russian Federation, Nizhny Novgorod
G. K. Fukin
Razuvaev Institute of Organometallic Chemistry, Russian Academy of Sciences
Email: baryshnikova@iomc.ras.ru
Russian Federation, Nizhny Novgorod
E. V. Baranov
Razuvaev Institute of Organometallic Chemistry, Russian Academy of Sciences
Email: baryshnikova@iomc.ras.ru
Russian Federation, Nizhny Novgorod
A. V. Piskunov
Razuvaev Institute of Organometallic Chemistry, Russian Academy of Sciences
Email: baryshnikova@iomc.ras.ru
Russian Federation, Nizhny Novgorod
References
- Pierpont C. // Coord. Chem. Rev. 2001. V. 219–221. P. 415.
- Kaim W.// Inorg. Chem. 2011. V. 50. P. 9752.
- Mao G., Song Y., Hao T. et al. // Chin. Sci. Bull. 2014. V. 59. P. 2936.
- Starikova A.A., Minkin V. I. // Russ. Chem. Rev. 2018. V. 87. P. 1049.
- Fomenko I.S., Gushchin A. L. // Russ. Chem. Rev. 2020. V. 89. P. 966.
- Broere D.L., Plessius R., Van der Vlugt J. I. // Chem. Soc. Rev. 2015. V. 44. P. 6886.
- Luca O.R., Crabtree R. H. // Chem. Soc. Rev. 2013. V. 42. P. 1440.
- Baryshnikova S.V., Poddel’sky A.I. // Molecules. 2022. V. 27. P. 3928.
- Ershova I.V., Piskunov A. V., and Cherkasov V. K. // Russ. Chem. Rev. 2020. V. 89. P. 1157.
- Pashanova K.I., Poddel’sky A.I., Piskunov A. V. // Coord. Chem. Rev. 2022. V. 459. P. 214399.
- Zanello P., Corsini M. // Coord. Chem. Rev. 2006. V. 250. P. 2000.
- Poddel’skii A.I., Abakumov G. A., Bubnov M. P., Cherkasov V. K., and Abakumova L. G. // Izv. Akad. Nauk. Ser. Khim. 2004. № 6. P. 1142.
- Abakumov G.A., and Nevodchikov V. I. // Dokl. Akad. Nauk SSSR. 1982. V. 266. № 6. P. 1407.
- Lange C.W., Foldeaki M., Nevodchikov V. I. et al. // J. Am. Chem. Soc. 1992. V. 114. P. 4220.
- Jung O.-S., Pierpont C. G. // J. Am. Chem. Soc. 1994. V. 116. P. 2229.
- Nevodchikov V.I., Abakumov G. A., Cherkasov V. K., Razuvaev G. A. // J. Organomet. Chem. 1981. V. 214. P. 119.
- Pierpont C.G., Buchanan R. M. // Coord. Chem. Rev. 1981. V. 38. P. 45.
- Poddel’sky A.I., Cherkasov V. K., Abakumov G. A. // Coord. Chem. Rev. 2009. V. 253. P. 291.
- Abakumov G.A., Poddel’sky A.I., Grunova E. V. et al. // Angew. Chem. 2005. V. 117. P. 2827.
- Cherkasov V. K. Abakumov G. A., Grunova E. V. et al. // Chem. Eur. J. 2006. V. 12. P. 3916.
- Piskunov A.V., Ershova I. V., Fukin G. K., Shavyrin A. S. // Inorg. Chem. Commun. 2013. V. 38. № 12. P. 127.
- Piskunov A.V., Piskunova M. S., and Chegerev M. G. // Russ. Chem. Bull. 2014. № 4. P. 912.
- Fedushkin I.L., Dodonov V. A., Skatova A. A. et al. // Chem. Eur. J. 2018. V. 24. № 8. P. 1877.
- Fedushkin I.L., Nikipelov A. S., Morozov A. G. et al. // Chem. Eur. J. 2012. V. 18. P. 255.
- Ilyakina E.V., Poddel’sky A.I., Cherkasov V. K., Abakumov G.A. // Mendeleev Commun. 2012. V. 22. P. 208.
- Ilyakina E.V., Poddel’sky A.I., Piskunov A.V. et al. // Inorg. Chim. Acta. 2013. V. 394. P. 282.
- Gordon A., and Ford R. The Chemist’s Companion: A Handbook of Practical Data, Techniques, and References. New York: Wiley, 1972.
- Райхардт К. Растворители и эффекты среды в органической химии. М.: Мир, 1991. 763 с.
- Kocherova T.N., Druzhkov N. O., Mart’yanov K.A. et al. // Russ. Chem. Bull. 2020. V. 69. № 12. P. 2383.
- Kocherova T.N., Druzhkov N. O., Arsen’ev M.V. et al. // Russ. Chem. Bull. 2023. V. 72. № 5. P. 1192.
- Data Collection, Reduction and Correction Program. CrysAlisPro 1.171.38.46 – Software Package. Rigaku OD, 2015.
- APEX4. Bruker Molecular Analysis Research Tool. Version 2021.4–0. Madison (WI, USA): Bruker AXS Inc., 2021.
- SAINT Data Reduction and Correction Program. Version 8.40B. Madison (WI, USA): Bruker AXS, 2019.
- Krause L., Herbst-Irmer R., Sheldrick G. M., Stalke D. // J. Appl. Cryst. 2015. V. 48. P. 3.
- Sheldrick G. // Acta Crystallogr. A. 2015. V. 71. P. 3.
- Sheldrick G.M. // SHELXTL. Version 6.14. Structure Determination Software Suite; Madison (WI, USA): Bruker AXS, 2003.
- Sheldrick G. // Acta Crystallogr. C. 2015. V. 71. P. 3.
- SCALE3 ABSPACK: Empirical absorption correction. CrysAlisPro 1.171.38.46 – Software Package, Rigaku OD, 2015.
- SADABS. Version 2016/2. Bruker/Siemens Area Detector Absorption Correction Program. Madison (WI, USA): Bruker AXS., 2016.
- Becke A.D. // J. Chem. Phys. 1993. V. 98. P. 5648.
- Lee C., Yang W., Parr R. G. // Phys. Rev. B. 1988. V. 37. P. 785.
- Dovesi R., Erba A., Orlando R. et al. // WIREs Comput Mol Sci. 2018. V. 8. P. 1360.
- Godbout N., Salahub D. R., Andzelm J., Wimmer E. // Can. J. Chem. 1992. V. 70. P. 560.
- Pritchard B.P., Altarawy D. et al. // J. Chem. Inf. Model. 2019. V. 59. P. 4814.
- Feller D. // J. Comput. Chem. 1996. V. 17. P. 1571.
- Schuchardt K.L., Didier B. T., Elsethagen T. et al. // J. Chem. Inf. Model. 2007. V. 47. № 3. P. 1045.
- Spek A.L. // Acta Crystallogr. C. 2015. V. 71. P. 9.
- Jelsch C., Guillot B., Lagoutte A., Lecomte C. // J. Appl. Crystallogr. 2005. V. 38. P. 38.
- Hansen N.K., Coppens P. // Acta Crystallogr. A. 1978. V. 34. P. 909.
- Stash A.I., Tsirelson V. G. // J. Appl. Cryst. 2014. V. 47. P. 2086.
- Batsanov S. // Russ. J. Inorg. Chem. 1991. V. 36. P. 1694.
- Baryshnikova S.V., Poddel’sky A.I., Bellan E. V. et al. // Inorg. Chem. 2020. V. 59. P. 6774.
- Lado A.V., Poddel’sky A.I., Piskunov A. V. et al. // Inorg. Chim. Acta. 2005. V. 358. P. 4443.
- Piskunov A.V., Lado A. V., Ilyakina E. V. et al. // J. Organomet. Chem. 2008. V. 693. P. 128.
- Turek J., Kampová H., Padelkova Z., Ruzicka A. // J. Organomet. Chem. 2013. V. 745–746. P. 25.
- Annan T.A., McGarvey B.R., Ozarowski A. et al. // Dalton Trans. 1989. V. 3. P. 439.
- Zubieta J.A., Zuckerman J. J. // Prog. Inorg. Chem. New York: Wiley Interscience, 1978. V. 24. P. 251.
- Archer S.J., Koch K. R., Schmidt S. // Inorg. Chim. Acta. 1987. V. 126. P. 209.
- Baryshnikova S.V., Bellan E. V., Poddel’sky A.I. et al. // Eur. J. Inorg. Chem. 2016. № 33. P. 5230.
- Ilyakina E.V., Poddel’sky A.I., Fukin G. K. et al. // Inorg. Chem. 2013. V. 52. P. 5284.
- Brown S.N. // Inorg. Chem. 2012. V. 51. С. 1251.
- Fukin G.K., Cherkasov A. V. // Mendeleev Commun. 2021. V. 31. P. 182.
- Pochekutova T.S., Fukin G. K., Baranov E. V. et al. // Inorg. Chim. Acta. 2022. V. 531. P. 120734.
- Bader R.F.W. Atoms in Molecules – A Quantum Theory. Oxford: Oxford Univ. Press., 1990.
- Fukin G.K., Baranov E. V., Jelsch C. et al. // J. Phys. Chem. A. 2011. V. 115. P. 8271.
- Фукин Г.К., Самсонов М. А., Баранов Е. В. и др. // Изв. АН. Сер. хим. 2016. № 1. P. 54.
Supplementary files







