Copper(II) and Zinc(II) Complexes with Heterocyclic Acid Anions and 3,5-Dimethylpyrazole: Synthesis, Structure, and Biological Properties
- Authors: Uvarova M.A.1, Novikova M.V.1,2, Eliseenkova V.A.3, Baravikov D.E.1,4, Dolgushin F.M.1, Bekker O.B.5, Fatushina E.V.1, Kiskin M.A.1, Eremenko I.L.1, Lutsenko I.A.1
-
Affiliations:
- Kurnakov Institute of General and Inorganic Chemistry, Russian Academy of Sciences, Moscow, Russia
- Moscow Institute of Physics and Technology, Moscow, Russia
- School no. 1553 named after Vernadsky, Moscow, Russia
- Mendeleev University of Chemical Technology of Russia, Moscow, Russia
- Vavilov Institute of General Genetics, Russian Academy of Sciences, Moscow, Russia
- Issue: Vol 49, No 10 (2023)
- Pages: 651-658
- Section: Articles
- URL: https://journals.rcsi.science/0132-344X/article/view/162304
- DOI: https://doi.org/10.31857/S0132344X23600200
- EDN: https://elibrary.ru/OCUHPJ
- ID: 162304
Cite item
Full Text
Abstract
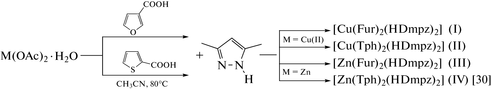
The reaction of copper(II) and zinc(II) acetates with 3-furancarboxylic (HFur) and 2-thiophenecarboxylic (HTph) acids with subsequent addition of 3,5-dimethylpyrazole (HDmpz) gave mononuclear complexes [M(L)2(HDmpz)2] (M = Cu(II), L = Fur– (I), Tph– (II); Zn(II), L = Fur– (III)). The structures of compounds I–III were determined by X-ray diffraction. According to X-ray diffraction data, I and II are isostructural: the central Cu(II) atom occurs in a square planar environment formed by two oxygen atoms of carboxylate anions and HDmpz nitrogen atoms; in III, the Zn atom is in the tetrahedral environment of two furoate anions and HDmpz molecules, thus forming the {MO2N2} groups. The complexes are additionally stabilized in the crystal by inter- (I and II) and intramolecular (III) hydrogen bonds. The biological activity of I–III was determined in relation to the non-pathogenic Mycolicibacterium smegmatis.
About the authors
M. A. Uvarova
Kurnakov Institute of General and Inorganic Chemistry, Russian Academy of Sciences, Moscow, Russia
Email: yak_marin@mail.ru
Россия, Москва
M. V. Novikova
Kurnakov Institute of General and Inorganic Chemistry, Russian Academy of Sciences, Moscow, Russia; Moscow Institute of Physics and Technology, Moscow, Russia
Email: yak_marin@mail.ru
Россия, Москва; Россия, Москва
V. A. Eliseenkova
School no. 1553 named after Vernadsky, Moscow, Russia
Email: yak_marin@mail.ru
Россия, Москва
D. E. Baravikov
Kurnakov Institute of General and Inorganic Chemistry, Russian Academy of Sciences, Moscow, Russia; Mendeleev University of Chemical Technology of Russia, Moscow, Russia
Email: yak_marin@mail.ru
Россия, Москва; Россия, Москва
F. M. Dolgushin
Kurnakov Institute of General and Inorganic Chemistry, Russian Academy of Sciences, Moscow, Russia
Email: fmdolgushin@gmail.com
Россия, Москва
O. B. Bekker
Vavilov Institute of General Genetics, Russian Academy of Sciences, Moscow, Russia
Email: yak_marin@mail.ru
Россия, Москва
E. V. Fatushina
Kurnakov Institute of General and Inorganic Chemistry, Russian Academy of Sciences, Moscow, Russia
Email: yak_marin@mail.ru
Россия, Москва
M. A. Kiskin
Kurnakov Institute of General and Inorganic Chemistry, Russian Academy of Sciences, Moscow, Russia
Email: yak_marin@mail.ru
Россия, Москва
I. L. Eremenko
Kurnakov Institute of General and Inorganic Chemistry, Russian Academy of Sciences, Moscow, Russia
Email: yak_marin@mail.ru
Россия, Москва
I. A. Lutsenko
Kurnakov Institute of General and Inorganic Chemistry, Russian Academy of Sciences, Moscow, Russia
Author for correspondence.
Email: yak_marin@mail.ru
Россия, Москва
References
- Goodwin L. // Trop. Med. Hyg. 1995. V. 89. № 3. P. 339.
- Ngwane A.H., Petersen R.D., Baker B. et al. // IUBMB Life. 2019. V. 71. № 5. P. 532.
- Chen Z.F., Orvig C., Liang H. // Curr. Top. Med. Chem. 2017. V. 17. № 28. P. 3131.
- Chaudhary A., Jha K., Kumar S. // J. Adv. Res. 2012. V. 3. № 3. P. 3.
- Lukevits É., Demicheva L. // Chem. Heterocycl. Co-mpd. 1993. V. 29. P. 243.
- Машковский М.Д. Лекарственные средства. М.: Медицина. 2000. Т. 1. 736 с.
- Kuchtanin V., Moncol J., Mroziński J. // Polyhedron. 2013. V. 50. № 1. P. 546.
- Panagoulis D.E. Pontiki E., Skeva C. et al. // Inorg. Chem. 2007. V. 101. P. 623.
- Zheng X.F., Zhou Y.X., Wan X.S. // Inorg. Met.-Org. Nano-Met. Chem. 2007. V. 37. P. 255.
- Horn E., Kurosawa K., Tamura H., Nakahodo T. // Z. Krist. New. Cryst. Struct. 2001. V. 216. P. 77.
- Melnic S., Prodius D., Stoeckli-Evans H. et al. // Eur. J. Med. Chem. 2010. V. 45. P. 1465.
- Луценко И.А., Баравиков Д.Е., Кискин М.А. и др. // Коорд. химия. 2020. Т. 46. № 6. С. 366 (Lutsenko I.A., Kiskin M.A., Nelyubina Y.V. et al. // Russ. J. Coord. Chem. 2020. Т. 46. № 6. P. 411). https://doi.org/10.1134/S1070328420060056
- Луценко И.А., Ямбулатов Д.С., Кискин М.А. и др. // Коорд. химия. 2020. Т. 46. № 12. С. 715 (Lutsenko I.A., Yambulatov D.S., Kiskin M.A. // Russ. J. Coord. Chem. 2020. Т. 46. № 12. P. 787). https://doi.org/10.1134/S1070328420120040
- Lutsenko I.A., Yambulatov D.S., Kiskin M.A. et al. // ChemSelect. 2020. V. 5. № 38. P. 11837.
- Луценко И.А., Кискин М.А., Кошенскова К.А. и др. // Изв. АН. Сер. хим. 2021. № 3. С. 463 (Lutsenko I.A., Kiskin M.A., Koshenskova K.A. et al. // Russ. Chem. Bull. 2021. V. 70. № 3. P. 463). https://doi.org/10.1007/s11172-021-3109-3
- Uvarova M.A., Lutsenko I.A., Kiskin M.A. et al. // Polyhedron. 2021. V. 203. P. 115241. https://doi.org/10.1016/j.poly.2021.115241
- Луценко И.А., Никифорова М.Е., Кошенскова К.А. и др. // Коорд. химия. 2022. Т. 48. № 2. С. 83 (Lutsenko I.A., Nikiforova M.E., Koshenskova K.A. et.al. // Russ. J. Coord. Chem. 2021. V. 47. P. 879). https://doi.org/10.1134/S1070328421350013
- Lutsenko I.A., Baravikov D.E., Koshenskova K.A. et al. // RSC Adv. 2022. V. 12. P. 5173.
- Кошенскова К.А., Луценко И.А., Нелюбина Ю.В. и др. // Журн. неорган. химии. 2022. Т. 67. № 10. С. 1398 (Koshenskova K.A., Lutsenko I.A., Nelyubina Y.V. et al. // Russ. J. Inorg. Chem. V. 67. № 10. P. 1545). https://doi.org/10.1134/S003602362270005X
- Ansari A., Ali A., Asif M., Shamsuzzaman S. // New J. Chem. 2017. V. 41. № 1. P. 16.
- Xu Z., Gao C., Ren Q.C., Song X.F. et al. // Eur. J. Med. Chem. 2017. V. 139. P. 429.
- Karrouchi K., Radi S., Ramli Y. et al. // Molecules. 2018. V. 23. № 1. P. 134.
- Azam M., Mohammad Wabaidur S., Alam M. // Polyhedron. 2021. V. 195. P. 114991.
- Solanki A., Kumar S.B., Doshi A.A., Ratna Prabha C. // Polyhedron. 2013. V. 63. P. 147.
- Уварова М.А., Нефедов С.Е. // Коорд. химия. 2020. Т. 46. № 2. С. 117 (Uvarova M.A., Nefedov S.E. // Russ. J. Coord. Chem. 2020. V. 46. № 2. P. 125). https://doi.org/10.1134/S1070328420020062
- Уварова М.А., Нефедов С.Е. // Журн. неорган. химии. 2015. Т. 60. № 9. С. 1181 (Uvarova M.A., Nefedov S.E. // Russ. J. Inorg. Chem. 2015. V. 60. № 9. P. 1074). https://doi.org/10.1134/S003602361509020X
- Уварова М.А., Кушан Е.В., Нефедов С.Е. // Журн. неорган. химии. 2012. Т. 57. № 5. С. 744 (Uvarova M.A., Kushan E.V., Nefedov S.E. // Russ. J. Inorg. Chem. 2012. V. 57. № 5. С. 676). https://doi.org/10.1134/S0036023612050245
- Уварова М.А., Нефедов С.Е. // Коорд. химия. 2022. Т. 48. № 9. С. 543 (Uvarova M.A., Nefedov S.E. // Russ. J. Coord. Chem. 2022. V. 48. P. 565). https://doi.org/10.1134/S107032842209007X
- Uvarova M.A., Nefedov S.E. // Russ. J. Coord. Chem. 2022. T. 48. № 12. C. 909.
- Yuan Lu, Weiqiang Xu, Kaikai Hu et al. // Polyhedron. 2019. V. 159. P. 408.
- Krause L., Herbst-Irmer R., Sheldrick G.M., Stalke D. // J. Appl. Cryst. 2015. V. 48. P. 3.
- Sheldrick G.M. // Acta Crystallogr. A. 2015. V. 71. P. 3.
- Dolomanov O.V., Bourhis L.J., Gildea R.J et al. // J. Ap-pl. Cryst. 2009. V. 42. P. 339.
- Kaikai H., Shouwen J., Zuoran Xie, Ming G. et al. // Polyhedron. 2018. V. 139. P. 17.
- Ramon-García S., Ng C., Anderson H. et al. // Antimicrob. Agents Chemother. 2011. V. 8. P. 3861.
- Bekker O.B., Sokolov D.N., Luzina O.A. et al. // Med. Chem. Res. 2015. V. 24. P. 2926.
Supplementary files







