Pyridine derivatives of 3,4-dihydroquinoxalin-2-one and 3,4-dihydro-2H-1,4-benzoxazin-2-one acute toxicity evaluation
- Authors: Ternovskaya S.A.1, Vlasenko V.S.2, Novikov A.N.2, Dengis N.A.2, Stalinskaya A.L.3, Kulakov I.V.3
-
Affiliations:
- Federal State Budgetary Educational Institution “Omsk State Agrarian University named after P.A. Stolypin”
- Federal State Budgetary Scientific Institution “Omsk Agrarian Scientific Center”
- Tyumen University
- Issue: Vol 50, No 6 (2024)
- Pages: 856-861
- Section: Articles
- URL: https://journals.rcsi.science/0132-3423/article/view/276013
- DOI: https://doi.org/10.31857/S0132342324060115
- EDN: https://elibrary.ru/NEFJDD
- ID: 276013
Cite item
Abstract
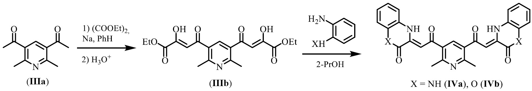
An acute toxicity test was conducted on derivatives of bis(3,4-dihydroquinoxalin-2-one) and bis(3,4-dihydro-2H-1,4-benzoxazin-2-one) synthesized based on 3,5-diacetyl-2,6-dimethylpyridine by single intraperitoneal injection in guinea pigs. It was found that according to K.K. Sidorov’s classification, one of the pyridine derivatives, bis(3,4-dihydroquinoxalin-2-one), exhibited low toxicity, as evidenced by the absence of lethal outcomes when administered to animals in the range of 100 to 400 µg/kg. However, it was accompanied by signs of neurological disorders regardless of the compound dose, which disappeared within a day. When guinea pigs were inoculated with another pyridine derivative, bis(3,4-dihydro-2H-1,4-benzoxazin-2-one), more pronounced and prolonged intoxication symptoms were observed, including convulsive movements of the hind limbs, decreased mobility, and delayed reaction to stimuli, leading to the death of 33% of subjects at a dose of 100 mg/kg, 66% at a dose of 200 mg/kg, and 100% of animals at a dose of 400 mg/kg. Analysis of hematological and biochemical studies conducted on the 15th day after the administration of the test compounds showed no significant deviations from normal physiological values, despite some individual parameters showing differences compared to the control group. Thus, the acute toxicity parameters of the studied compounds were not the same and were more pronounced in the pyridine derivative bis(3,4-dihydro-2H-1,4-benzoxazin-2-one); however, both compounds can be recommended for subsequent study of antibacterial and antiviral activity in guinea pigs.
Full Text
About the authors
S. A. Ternovskaya
Federal State Budgetary Educational Institution “Omsk State Agrarian University named after P.A. Stolypin”
Author for correspondence.
Email: sa.ternovskaya2306@omgau.org
Russian Federation, Institutskaya pl. 1, Omsk, 644008
V. S. Vlasenko
Federal State Budgetary Scientific Institution “Omsk Agrarian Scientific Center”
Email: vvs-76@list.ru
Russian Federation, prosp. Koroleva 26, Omsk, 644012
A. N. Novikov
Federal State Budgetary Scientific Institution “Omsk Agrarian Scientific Center”
Email: sa.ternovskaya2306@omgau.org
Russian Federation, prosp. Koroleva 26, Omsk, 644012
N. A. Dengis
Federal State Budgetary Scientific Institution “Omsk Agrarian Scientific Center”
Email: sa.ternovskaya2306@omgau.org
Russian Federation, prosp. Koroleva 26, Omsk, 644012
A. L. Stalinskaya
Tyumen University
Email: sa.ternovskaya2306@omgau.org
School of Natural Sciences
Russian Federation, ul. Perekopkskaya 15a, Tyumen, 625003I. V. Kulakov
Tyumen University
Email: i.v.kulakov@utmn.ru
School of Natural Sciences
Russian Federation, ul. Perekopkskaya 15a, Tyumen, 625003References
- Badran M.M., Abonzid K.A., Hussein M.H. // Arch. Pharm. Res. 2003. V. 26. P. 107–113. https://doi.org/10.1007/BF02976653
- Vayas D.A., Chauhan N.A., Parikh A.R. // Ind. J. Chem. 2007. V. 46. P. 1699–1702.
- Gein V.L., Rassudikhina N.A., Shepelina N.V., Vakhrin M.I., Babushkina E.B., Voronina E.V. // Pharm. Chem. J. 2008. 42. P. 529–532. https://doi.org/10.1007/s11094-009-0175-5
- Singh D.P., Deivedi S.K., Hashim S.R., Singhal R. // Pharmaceuticals (Basel). 2010. V. 3. P. 2416–2425. https://doi.org/10.3390/ph3082416
- Zhong Q.F., Liu R., Liu G. // Mol. Divers. 2015. V. 19. P. 829–853. https://doi.org/10.1007/s11030-015-9610-6
- Rezaei Z., Mahdi Didehvar M., Mahdavi M., Azizian H., Hamedifar H., Mohammed E.H.M., Ostad S., Amini M. // Bioorg. Chem. 2019. V. 90. P. 103055. https://doi.org/10.1016/j.bioorg.2019.103055
- Nandikolla A., Khetmalis Y.M., Naidu K.M., Kumar B.K., Murugesan S., Sekhar K.V.G.C. // Toxicol In Vitro. 2022. V. 82. P. 105370. https://doi.org/10.1016/j.tiv.2022.105370
- Zarranz B., Jaso A., Aldana I., Monge A. // Bioorg. Med. Chem. 2003. V. 11. P. 2149–2156. https://doi.org/10.1016/s0968-0896(03)00119-6
- Ramalingam P., Ganapaty S., Rao C.B. // Bioorg. Med. Chem. Lett. 2010. V. 20. P. 406–408. https://doi.org/10.1016/j.bmcl.2009.10.026
- Wagle S., Adhikari A.V., Kumari N.S. // Ind. J. Chem. 2008. V. 47. P. 439–448.
- Pereira J.A., Pessoa A.M., Cordeiro M.N.D., Fernandes R., Prudencio C., Noronha J.P., Vieira M., Cordeiro M.N.D.S. // Eur. J. Med. Chem. 2015. V. 97. P. 664–672. https://doi.org/10.1016/j.ejmech.2014.06.058
- Petronijević J., Janković N., Stanojković T.P., Joksimović N., Grozdanić N.Ð., Vraneš M., Tot A., Bugarčić Z. // Arch. Pharm. (Weinheim). 2018. V. 351. P. e1700308. https://doi.org/10.1002/ardp.201700308
- De S., Kumar S.K.A., Shah S.K., Kazi S., Sarkas N., Bunerjee S., Dey S. // RSC Adv. 2022. V. 12. P. 15385– 15406. https://doi.org/10.1039/d2ra01571d
- Stalinskaya A.L., Martynenko N.V., Alkhimova L.E., Dilbaryan D.S., Vasilchenko A.S., Dengis N.A., Vlasenko V.S., Kulakov I.V. // J. Mol. Structure. 2023. V. 1275. P. 134689. https://doi.org/10.1016/j.molstruc.2022.134689
- Oleshchuk A.L., Shulgau Z.T., Seilkhanov T.M., Vasilchenko A.S., Talipov S.A., Kulakov I.V. // Synlett. 2020. V. 31. P. 165–170. https://doi.org/10.1055/s-0037-1610738
- Stalinskaya A.L., Martynenko N.V., Shulgau Z.T., Shustov A.V., Keyer V.V., Kulakov I.V. // Molecules. 2022. V. 27. P. 3701. https://doi.org/10.3390/molecules27123701
- Kulakov I.V., Karbainova A.A., Shulgau Z.T., Seilkhanov T.M., Gatilov Y.V., Fisyuk A.S. // Chem. Heterocycl. Comp. 2017. V. 53. P. 1094–1097. https://doi.org/10.1007/s10593-017-2178-6
- Кулаков И.В., Карбаинова А.А., Шульгау З.Т., Фисюк А.С. // Патент RU 2688217 C1, опубл. 21.05.2019.
- Руководство по проведению доклинических исследований лекарственных средств. Часть первая. М.: Гриф и К, 2012. 944 с.
- Сидоров К.К. // Токсикология новых промышленных химических веществ. Вып. 13. М., 1973. С. 47– 51.
- Кудрявцев А.А., Кудрявцева Л.А. // Клиническая гематология животных. М.: Колос, 1974. 399 с.
- Мирошников М.В., Султанова К.Т., Ковалева М.А., Макарова М.Н. // Лаб. животные для научных исследований. 2022. № 3. С. 4–15. https://doi.org/10.57034/2618723X-2022-03-01
Supplementary files





