New cationic carbohydrate-containing amphiphiles and liposomes based on them for effective delivery of short nucleic acids into eukaryotic cells
- Authors: Shmendel E.V.1, Buyanova A.O.1, Markov O.V.2, Morozova N.G.1, Zenkova M.A.2, Maslov M.A.1
-
Affiliations:
- MIREA – Russian Technological University
- Institute of Chemical Biology and Fundamental Medicine, Siberian Branch, Russian Academy of Sciences
- Issue: Vol 50, No 6 (2024)
- Pages: 826-841
- Section: Articles
- URL: https://journals.rcsi.science/0132-3423/article/view/275982
- DOI: https://doi.org/10.31857/S0132342324060098
- EDN: https://elibrary.ru/NEYHXP
- ID: 275982
Cite item
Abstract
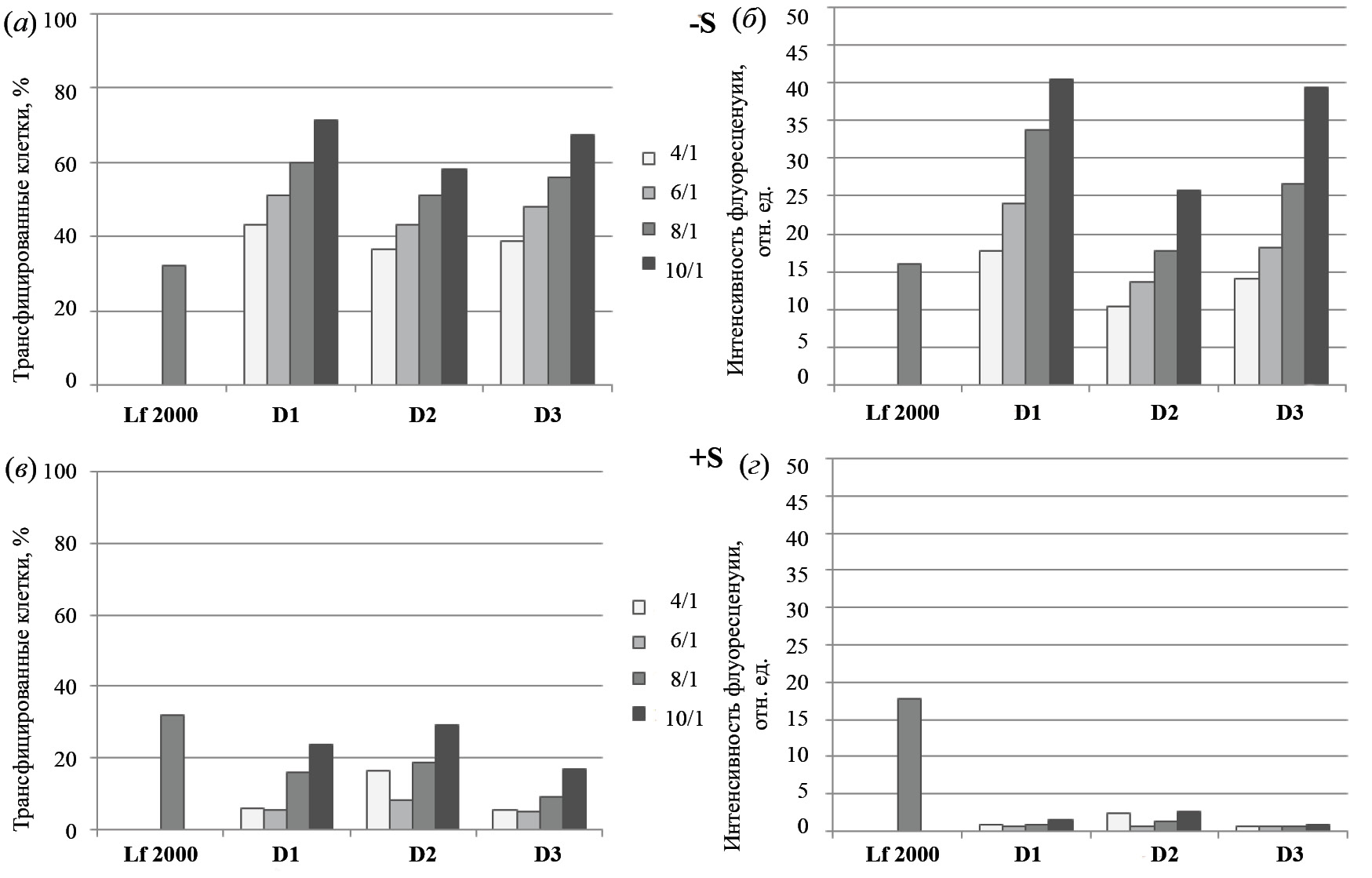
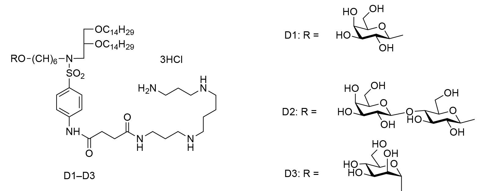
New cationic amphiphiles containing lactose or D-mannose residues were synthesized and cationic liposomes with 1,2-dioleoyl-sn-glycero-3-phosphatidylethanolamine (DOPE) were obtained. The cytotoxicity and transfection activity of new carbohydrate-containing amphiphiles and cationic liposomes against HEK 293, BHK and BHK IR-780 cells were studied. It has been shown that cationic amphiphiles effectively deliver only short fluorescein-labeled oligodeoxyribonucleotide into eukaryotic cells, while cationic liposomes formed by lactose containing amphiphile and DOPE effectively mediate the transport of short oligonucleotide and small interfering RNA and were non-toxic to cells. The resulting cationic amphiphiles can be used for intracellular delivering of nucleic acids both individually and part of cationic liposomes.
Full Text
About the authors
E. V. Shmendel
MIREA – Russian Technological University
Author for correspondence.
Email: elena_shmendel@mail.ru
Lomonosov Institute of Fine Chemical Technologies
Russian Federation, prosp. Vernadskogo 86, Moscow, 119571A. O. Buyanova
MIREA – Russian Technological University
Email: elena_shmendel@mail.ru
Lomonosov Institute of Fine Chemical Technologies
Russian Federation, prosp. Vernadskogo 86, Moscow, 119571O. V. Markov
Institute of Chemical Biology and Fundamental Medicine, Siberian Branch, Russian Academy of Sciences
Email: elena_shmendel@mail.ru
Russian Federation, prosp. ak. Lavrent’eva 8, Novosibirsk, 630090
N. G. Morozova
MIREA – Russian Technological University
Email: elena_shmendel@mail.ru
Lomonosov Institute of Fine Chemical Technologies
Russian Federation, prosp. Vernadskogo 86, Moscow, 119571M. A. Zenkova
Institute of Chemical Biology and Fundamental Medicine, Siberian Branch, Russian Academy of Sciences
Email: elena_shmendel@mail.ru
Russian Federation, prosp. ak. Lavrent’eva 8, Novosibirsk, 630090
M. A. Maslov
MIREA – Russian Technological University
Email: elena_shmendel@mail.ru
Lomonosov Institute of Fine Chemical Technologies
Russian Federation, prosp. Vernadskogo 86, Moscow, 119571References
- Bulaklak K., Gersbach C.A. // Nat. Commun. 2020. V. 11. P. 11–14. https://doi.org/10.1038/s41467-020-19505-2
- Mendes B.B., Conniot J., Avital A., Yao D., Jiang X., Zhou X., Sharf-Pauker N., Xiao Y., Adir O., Liang H., Shi J., Schroeder A., Conde J. // Nat. Rev. Methods Prim. 2022. V. 2. P. 24. https://doi.org/10.1038/s43586-022-00104-y
- Lundstrom K. // Viruses. 2023. V. 15. P. 698. https://doi.org/10.3390/v15030698
- Wang C., Pan C., Yong H., Wang F., Bo T., Zhao Y., Ma B., He W., Li M. // J. Nanobiotechnology. 2023. V. 21. P. 1–18. https://doi.org/10.1186/s12951-023-02044-5
- Tseu G.Y.W., Kamaruzaman K.A. // Molecules. 2023. V. 28. P. 1498. https://doi.org/10.3390/molecules28031498
- Nsairat H., Alshaer W., Odeh F., Esawi E., Khater D., Bawab A.A., El-Tanani M., Awidi A., Mubarak M.S. // OpenNano. 2023. V. 11. P. 100132. https://doi.org/10.1016/j.onano.2023.100132
- Gao Y., Liu X., Chen N., Yang X., Tang F. // Pharmaceutics. 2023. V. 15. P. 178. https://doi.org/10.3390/pharmaceutics15010178
- Iqbal S., Blenner M., Alexander-Bryant A., Larsen J. // Biomacromolecules. 2020. V. 21. P. 1327–1350. https://doi.org/10.1021/acs.biomac.9b01754
- Rai D.B., Pooja D., Kulhari H. // In: Pharmaceutical Applications of Dendrimers, Elsevier Inc., 2019. https://doi.org/10.1016/B978-0-12-814527-2.00009-3
- Jiang Y., Fan M., Yang Z., Liu X., Xu Z., Liu S., Feng G., Tang S., Li Z., Zhang Y., Chen S., Yang C., Law W.C., Dong B., Xu G., Yong K.T. // Biomater. Sci. 2022. V. 10. P. 6862–6892. https://doi.org/10.1039/D2BM01001A
- Mirza Z., Karim S. // In: Recent Advancements and Future Challenges. Elsevier Ltd., 2021. https://doi.org/10.1016/j.semcancer.2019.10.020
- Duan L., Xu L, Xu X, Qin Z., Zhou X., Xiao Y., Liang Y., Xia J. // Nanoscale. 2021. V. 13. P. 1387–1397. https://doi.org/10.1039/d0nr07622h
- Ponti F., Campolungo M., Melchiori C., Bono N., Candiani G. // Chem. Phys. Lipids. 2021. V. 235. P. 105032. https://doi.org/10.1016/j.chemphyslip.2020.105032
- Belhadj Z., Qie Y., Carney R.P., Li Y., Nie G. // BMEMat. 2023. V. 1. P. e12018. https://doi.org/10.1002/bmm2.12018
- Liu C., Zhang L., Zhu W., Guo R., Sun H., Chen X., Deng N. // Mol. Ther. Methods Clin. Dev. 2020. V. 18. P. 751–764. https://doi.org/10.1016/j.omtm.2020.07.015
- Gangopadhyay S., Nikam R.R., Gore K.R. // Nucleic Acid Ther. 2021. V. 31. P. 245–270. https://doi.org/10.1089/nat.2020.0882
- Shmendel E.V., Puchkov P.A., Maslov M.A. // Pharmaceutics. 2023. V. 15. P. 1400. https://doi.org/10.3390/pharmaceutics15051400
- Jain A., Jain S.K. // Curr. Mol. Med. 2018. V. 18. P. 44–57. https://doi.org/10.2174/1566524018666180416101522
- Fu S., Xu X., Ma Y., Zhang S., Zhang S. // J. Drug Target. 2019. V. 27. P. 1–11. https://doi.org/10.1080/1061186X.2018.1455841
- Battisegola C., Billi C., Molaro M.C., Schiano M.E., Nieddu M., Failla M., Marini E., Albrizio S., Sodano F., Rimoli M.G. // Pharmaceuticals. 2024. V. 17. P. 308. https://doi.org/10.3390/ph17030308
- Fatima M., Karwasra R., Almalki W.H., Sahebkar A., Kesharwani P. // Eur. Polym. J. 2023. V. 183. P. 111759. https://doi.org/10.1016/j.eurpolymj.2022.111759
- Jain A., Jain A., Parajuli P., Mishra V., Ghoshal G., Singh B., Shivhare U.S., Katare O.P., Kesharwani P. // Drug Discov. Today. 2018. V. 23. P. 960–973. https://doi.org/10.1016/j.drudis.2017.11.003
- Paurević M., Šrajer Gajdošik M., Ribić R. // Int. J. Mol. Sci. 2024. V. 25. P. 1370. https://doi.org/10.3390/ijms25031370
- Goswami R., O’hagan D.T., Adamo R., Baudner B.C. // Pharmaceutics. 2021. V. 13. P. 1–14. https://doi.org/10.3390/pharmaceutics13020240
- Goswami R., Chatzikleanthous D., Lou G., Giusti F., Bonci A., Taccone M., Brazzoli M., Gallorini S., Ferlenghi I., Berti F., O’Hagan D.T., Pergola C., Baudner B.C., Adamo R. // ACS Infect. Dis. 2019. V. 5. P. 1546–1558. https://doi.org/10.1021/acsinfecdis.9b00084
- Maslov M.A., Medvedeva D.A., Rapoport D.A., Serikov R.N., Morozova N.G., Serebrennikova G.A., Vlassov V.V., Zenkova M.A. // Bioorg. Med. Chem. Lett. 2011. V. 21. P. 2937–2940. https://doi.org/10.1016/j.bmcl.2011.03.056
- Liu K., Jiang X., Hunziker P. // Nanoscale. 2016. V. 8. P. 16091–16156. https://doi.org/10.1039/C6NR04489A
- Hayashi Y., Higashi T., Motoyama K., Jono H., Ando Y., Onodera R., Arima H. // Biol. Pharm. Bull. 2019. V. 42. P. 1679–1688. https://doi.org/10.1248/bpb.b19-00278
- Gadekar A., Bhowmick S., Pandit A. // Adv. Funct. Mater. 2020. V. 30. P. 1910031. https://doi.org/10.1002/adfm.201910031
- Miller K.A., Kumar E.V.K.S., Wood S.J., Cromer J.R., Datta A., David S.A. // J. Med. Chem. 2005. V. 48. P. 2589–2599. https://doi.org/10.1021/jm049449j
- Kim B.K., Hwang G.B., Seu Y.B., Choi J.S., Jin K.S., Doh K.O. // Biochim. Biophys. Acta Biomembr. 2015. V. 1848. P. 1996–2001. https://doi.org/10.1016/j.bbamem.2015.06.02027
- Luneva A.S., Puchkov P.A., Shmendel E.V., Zenkova M.A., Kuzevanova A.Yu., Alimov A.A., Karpukhin A.V., Maslov M.A. // Russ. J. Bioorg. Chem. 2018. V. 44. P. 724–731. https://doi.org/10.1134/S1068162019010084
- Yang J.P., Huang L. // Gene Ther. 1997. V. 4. P. 950– 960. https://doi.org/10.1038/sj.gt.3300485
- Allen M.C., Gale P.A., Hunter A.C., Lloyd A., Hardy S.P. // Biochim. Biophys. Acta. 2000. V. 1509. P. 229–236. https://doi.org/10.1016/s0005-2736(00)00297-2
- Li S., Tseng W.C., Stolz D.B., Wu S.P., Watkins S.C., Huang L. // Gene Ther. 1999. V. 6. P. 585–594. https://doi.org/10.1038/sj.gt.3300865
- Landry B., Valencia-Serna J., Gul-Uludag H., Jiang X., Janowska-Wieczorek A., Brandwein J., Uludag H. // Mol. Ther. Nucl. Acids. 2015. V. 4. P. e240. https://doi.org/10.1038/mtna.2015.13
- Baghban R., Ghasemian A., Mahmoodi S. // Arch. Microbiol. 2023. V. 205. P. 1–15. https://doi.org/10.1007/s00203-023-03480-5
- Lin Y.X., Wang Y., Blake S., Yu M., Mei L., Wang H., Shi J. // Theranostics. 2020. V. 10. P. 281–299. https://doi.org/10.7150/thno.35568
- Carmichael J., Degraff W.G., Gazdar A.F., Minna J.D., Mitchell J.B. // AACR. 1987. V. 47. P. 936–942.
- Audouy S., Molema G., de Leij L., Hoekstra D. // J. Gene Med. 2000. V. 2. P. 465–476. https://doi.org/10.1002/1521-2254(200011/12) 2:6<465::AID-JGM141>3.0.CO;2-Z
- Wang F., Yu L., Monopoli M.P., Sandin P., Mahon E., Salvati A., Dawson K.A. // Nanomedicine. 2013. V. 9. P. 1159–1168. https://doi.org/ 10.1016/j.nano.2013.04.010
- Reiser A., Woschée D., Mehrotra N., Krzysztoń R., Strey H.H., Rädler J.O. // Integr. Biol. (Camb). 2019. V. 11. P. 362–371. https://doi.org/10.1093/intbio/zyz030
Supplementary files











