Vitamin В12 in drug delivery systems
- Authors: Skuredina A.A.1, Ialama D.E.1, Le-Deygen I.M.1
-
Affiliations:
- Lomonosov Moscow State University
- Issue: Vol 50, No 6 (2024)
- Pages: 762-779
- Section: Articles
- URL: https://journals.rcsi.science/0132-3423/article/view/275976
- DOI: https://doi.org/10.31857/S0132342324060047
- EDN: https://elibrary.ru/NFULKV
- ID: 275976
Cite item
Abstract
Vitamin B12 is a vital biologically active compound for human and is involved in a wide range of metabolic processes. The widespread vitamin B12 deficiency and vitamin’s low penetrating ability into cells determine the urgency of delivery systems development for the design of formulations with improved biopharmaceutical properties. This work provides a brief discussion of the main chemical and biochemical properties of the vitamin B12, as well as considers oral, injectable and transdermal multicomponent dosage forms of vitamin B12 that are aimed at solving the issue. Moreover, the literature analysis of the prospects of using vitamin B12 as an auxiliary component for both passive and active delivery of other drug molecules, for example, peptide nucleic acids and antitumor drugs, is presented. The review describes in detail the types of proposed delivery systems for biologically active compounds, in which vitamin B12 is one of the components.
Keywords
Full Text
About the authors
A. A. Skuredina
Lomonosov Moscow State University
Author for correspondence.
Email: anna.skuredina@yandex.ru
Department of Chemistry
Russian Federation, Leninskie Gory 1/3, Moscow, 119991D. E. Ialama
Lomonosov Moscow State University
Email: anna.skuredina@yandex.ru
Department of Chemistry
Russian Federation, Leninskie Gory 1/3, Moscow, 119991I. M. Le-Deygen
Lomonosov Moscow State University
Email: anna.skuredina@yandex.ru
Department of Chemistry
Russian Federation, Leninskie Gory 1/3, Moscow, 119991References
- Guéant J.L., Guéant-Rodriguez R.M., Alpers D.H. // Vitam. Horm. 2022. V. 119. P. 241–274. https://doi.org/10.1016/bs.vh.2022.01.016
- Temova Rakuša Ž., Roškar R., Hickey N., Geremia S. // Molecules. 2022. V. 28. P. 240. https://doi.org/10.3390/molecules28010240
- Kozyraki R., Cases O. // Biochimie. 2013. V. 95. P. 1002–1007. https://doi.org/10.1016/j.biochi.2012.11.004
- Tanner S.M., Li Z., Perko J.D., Öner C., Çetin M., Altay Ç., Yurtsever Z., David K.L., Faivre L., Ismail E.A., Gräsbeck R., de la Chapelle A. // Proc. Natl. Acad. Sci. USA. 2005. V. 102. P. 4130–4133. https://doi.org/10.1073/pnas.0500517102
- Клинические рекомендации “Железодефицитная анемия” 2021-2022-2023 (09.09.2021), разработанные Национальным гематологическим обществом, Национальным обществом детских гематологов и онкологов – Утверждены Минздравом РФ.
- Antoine D., Li Z., Quilliot D., Sirveaux M.A., Meyre D., Mangeon A., Brunaud L., Guéant J.L., Guéant-Rodriguez R.M. // Clin. Nutr. 2021. V. 40. P. 87–93. https://doi.org/10.1016/j.clnu.2020.04.029
- Montoro-Huguet M.A., Belloc B., Domínguez-Cajal M. // Nutrients. 2021. V. 13. P. 1254. https://doi.org/10.3390/nu13041254
- Fidaleo M., Tacconi S., Sbarigia C., Passeri D., Rossi M., Tata A.M., Dini L. // Nanomaterials. 2021. V. 11. P. 743. https://doi.org/10.3390/nano11030743
- Van Campen C.M.C., Riepma K., Visser F.C. // Front. Pharmacol. 2019. V. 10. P. 1102. https://doi.org/10.3389/fphar.2019.01102
- Bensky M.J., Ayalon-Dangur I., Ayalon-Dangur R., Naamany E., Gafter-Gvili A., Koren G., Shiber S. // Drug Deliv. Transl. Res. 2019. V. 9. P. 625–630. https://doi.org/10.1007/s13346-018-00613-y
- Wang X., Wei L., Kotra L.P. // Bioorg. Med. Chem. 2007. V. 15. P. 1780–1787. https://doi.org/10.1016/j.bmc.2006.11.036
- Smith A.D., Warren M.J., Refsum H. // Adv. Food Nutr. Res. 2018. V. 83. P. 215–279. https://doi.org/10.1016/bs.afnr.2017.11.005
- Bajaj S.R., Singhal R.S. // J. Food Eng. 2020. V. 272. P. 109800. https://doi.org/10.1016/j.jfoodeng.2019.109800
- Rizzo G., Laganà A.S. // Molecular Nutrition: Vitamins / Ed. Patel V.B. London: Academic Press, 2020. P. 105–129. https://doi.org/10.1016/B978-0-12-811907-5.00005-1
- Ramalho M.J., Andrade S., Coelho M.A.N., Loureiro J.A., Pereira M.C. // Colloids Surf. B. 2020. V. 194. P. 111187. https://doi.org/10.1016/j.colsurfb.2020.111187
- Abdelwahab O.A., Abdelaziz A., Diab S., Khazragy A., Elboraay T., Fayad T., Diab R.A., Negida A. // Ir. J. Med. Sci. 2024. V. 193. P. 1621–1639. https://doi.org/10.1007/s11845-023-03602-4
- Lima S., Webb C.L., Deery E., Robinson C., Zedler J.A.Z. // Biology. 2018. V. 7. P. 19. https://doi.org/10.3390/BIOLOGY7010019
- Estevinho B.N., Carlan I., Blaga A., Rocha F. // Powder Technol. 2016. V. 289. P. 71–78. https://doi.org/10.1016/j.powtec.2015.11.019
- Galdioli Pellá M.C., Simão A.R., Lima-Tenório M.K., Tenório-Neto E., Scariot D.B., Nakamura C.V., Rubira A.F. // Carbohydr. Polym. 2020. V. 239. P. 116236. https://doi.org/10.1016/j.carbpol.2020.116236
- Шохин И.Е., Кулинич Ю.И., Раменская Г.В., Кукес В.Г. // Биомедицина. 2012. Т. 3. С. 91–97.
- Sugandhi V.V., Mahajan H.S. // J. Drug Delivery Sci. Tech. 2022. V. 70. P. 103212. https://doi.org/10.1016/j.jddst.2022.103212
- Mendes A.C., Gorzelanny C., Halter N., Schneider S.W., Chronakis I.S. // Int. J. Pharm. 2016. V. 510. P. 48–56. https://doi.org/10.1016/j.ijpharm.2016.06.016
- Yekrang J., Gholam Shahbazi N., Rostami F., Ramyar M. // Int. J. Biol. Macromol. 2023. V. 230. P. 123187. https://doi.org/10.1016/j.ijbiomac.2023.123187
- Ramöller I.K., Tekko I.A., McCarthy H.O., Donnelly R.F. // Int. J. Pharm. 2019. V. 566. P. 299–306. https://doi.org/10.1016/j.ijpharm.2019.05.066
- Farzanfar S., Kouzekonan G.S., Mirjani R., Shekarchi B. // Biomed. Eng. Lett. 2020. V. 10. P. 547– 554. https://doi.org/10.1007/s13534-020-00165-6
- Ramalho M.J., Loureiro J.A., Pereira M.C. // ACS Appl. Nano Mater. 2021. V. 4. P. 6881–6892. https://doi.org/10.1021/acsanm.1c00954
- Bucolo C., Maugeri G., Giunta S., D’Agata V., Drago F., Romano G.L. // Front. Pharmacol. 2023. V. 14. P. 1109291. https://doi.org/10.3389/fphar.2023.1109291
- Romano M.R., Biagioni F., Carrizzo A., Lorusso M., Spadaro A., Micelli Ferrari T., Vecchione C., Zurria M., Marrazzo G., Mascio G., Sacchetti B., Madonna M., Fornai F., Nicoletti F., Lograno M.D. // Exp. Eye Res. 2014. V. 120. P. 109–117. https://doi.org/10.1016/j.exer.2014.01.017
- Petrus A.K., Vortherms A.R., Fairchild T.J., Doyle R.P. // ChemMedChem. 2007. V. 2. P. 1717–1721. https://doi.org/10.1002/cmdc.200700239
- Clardy-James S., Allis D.G., Fairchild T.J., Doyle R.P. // MedChemComm. 2012. V. 3. P. 1054–1058. https://doi.org/10.1039/c2md20040f
- Wierzba A.J., Hassan S., Gryko D. // Asian J. Org. Chem. 2018. V. 8. P. 6–24. https://doi.org/10.1002/ajoc.201800579
- Petrus A.K., Fairchild T.J., Doyle R.P. // Angew. Chem. Int. Ed. Engl. 2009. V. 48. P. 1022–1028. https://doi.org/10.1002/anie.200800865
- Lawrence A.D., Nemoto-Smith E., Deery E., Baker J.A., Schroeder S., Brown D.G., Tullet J.M.A., Howard M.J., Brown I.R., Smith A.G., Boshoff H.I., Barry C.E., Warren M.J. // Cell Chem. Biol. 2018. V. 25. P. 941–951.e6. https://doi.org/10.1016/j.chembiol.2018.04.012
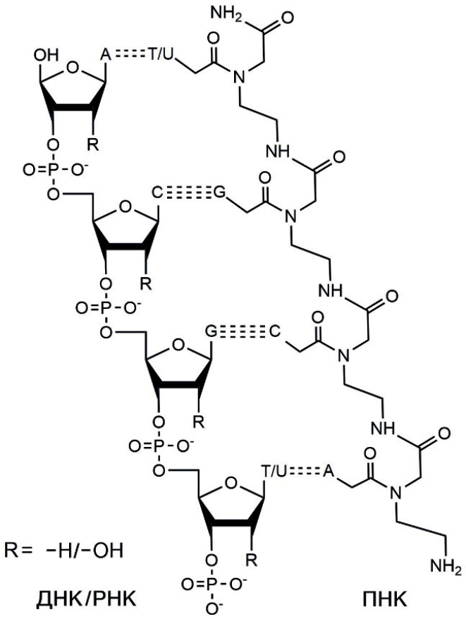
- Wierzba A.J., Wojciechowska M., Trylska J., Gryko D. // Methods Mol. Biol. 2021. V. 2355. P. 65–82. https://doi.org/10.1007/978-1-0716-1617-8_7
- Анцыпович С.И. // Успехи химии. 2002. Т. 39. № 1. С. 81–96. https://doi.org/10.1070/RC2002v071n01ABEH000691
- Równicki M., Dąbrowska Z., Wojciechowska M., Wierzba A.J., Maximova K., Gryko D., Trylska J. // ACS Omega. 2019. V. 4. P. 819–824. https://doi.org/10.1021/acsomega.8b03139
- Wierzba A.J., Maximova K., Wincenciuk A., Równicki M., Wojciechowska M., Nexø E., Trylska J., Gryko D. // Chemistry. 2018. V. 24. P. 18772–18778. https://doi.org/10.1002/chem.201804304
- Pieńko T., Wierzba A.J., Wojciechowska M., Gryko D., Trylska J. // J. Phys. Chem. B. 2017. V. 121. P. 2968– 2979. https://doi.org/10.1021/acs.jpcb.7b00649
- Pieńko T., Czarnecki J., Równicki M., Wojciechowska M., Wierzba A.J., Gryko D., Bartosik D., Trylska J. // Biophys. J. 2021. V. 120. P. 725–737. https://doi.org/10.1016/j.bpj.2021.01.004
- Giedyk M., Jackowska A., Równicki M., Kolanowska M., Trylska J., Gryko D. // Chem. Commun. 2019. V. 55. P. 763–766. https://doi.org/10.1039/c8cc05064c
- Shell T.A., Lawrence D.S. // Acc. Chem. Res. 2015. V. 48. P. 2866–2874. https://doi.org/10.1021/acs.accounts.5b00331
- Gick G.G., Arora K., Sequeira J.M., Nakayama Y., Lai S.C., Quadros E.V. // Exp. Cell Res. 2020. V. 396. P. 112256. https://doi.org/10.1016/j.yexcr.2020.112256
- Wierzba A., Wojciechowska M., Trylska J., Gryko D. // Bioconjug. Chem. 2016. V. 27. P. 189–197. https://doi.org/10.1021/acs.bioconjchem.5b00599
- Liu L., Liu P. // Front. Mater. Sci. 2015. V. 9. P. 211–226. https://doi.org/10.1007/s11706-015-0283-y
- Ertas B., Onay I.N., Yilmaz-Goler A.M., Karademir-Yilmaz B., Aslan I., Cam M.E. // J. Drug Delivery Sci. Tech. 2023. V. 89. P. 104963. https://doi.org/10.1016/j.jddst.2023.104963
- Long L., Lai M., Mao X., Luo J., Yuan X., Zhang L.M., Ke Z., Yang L., Deng D.Y.B. // Int. J. Nanomedicine. 2019. V. 14. P. 7743–7758. https://doi.org/10.2147/IJN.S218944
- Chen Z., Liang Y., Feng X., Liang Y., Shen G., Huang H., Chen Z., Yu J., Liu H., Lin T., Chen H., Wu D., Li G., Zhao B., Guo W., Hu Y. // Mater. Sci. Eng. C. Mater. Biol. Appl. 2021. V. 120. P. 111722. https://doi.org/10.1016/j.msec.2020.111722
- Brito A., Habeych E., Silva-Zolezzi I., Galaffu N., Allen L.H. // Nutr. Rev. 2018. V. 76. P. 778–792. https://doi.org/10.1093/nutrit/nuy026
- Sarti F., Müller C., Iqbal J., Perera G., Laffleur F., Bernkop-Schnürch A. // Eur. J. Pharm. Biopharm. 2013. V. 84. P. 132–137. https://doi.org/10.1016/j.ejpb.2012.11.024
- Maiorova L.A., Erokhina S.I., Pisani M., Barucca G., Marcaccio M., Koifman O.I., Salnikov D.S., Gromova O.A., Astolfi P., Ricci V., Erokhin V. // Colloids Surf. B. 2019. V. 182. P. 110366. https://doi.org/10.1016/j.colsurfb.2019.110366
- Nath J., Saikia P.P., Handique J., Gupta K., Dolui S.K. // J. Appl. Polym. Sci. 2020. V. 137. P. 49193. https://doi.org/10.1002/app.49193
- Sarti F., Iqbal J., Müller C., Shahnaz G., Rahmat D., Bernkop-Schnürch A. // Anal. Biochem. 2012. V. 420. P. 13–19. https://doi.org/10.1016/j.ab.2011.08.039
- Ramazani Afarani Z., Sarvi M.N., Akbari Alavijeh M. // J. Taiwan Inst. Chem. Eng. 2018. V. 84. P. 19–27. https://doi.org/10.1016/j.jtice.2018.01.002
- Coelho S.C., Laget S., Benaut P., Rocha F., Estevinho B.N. // Powder Technol. 2021. V. 392. P. 47–57. https://doi.org/10.1016/j.powtec.2021.06.056
- Zhang J., Field C.J., Vine D., Chen L. // Pharm. Res. 2015. V. 32. P. 1288–1303. https://doi.org/10.1007/s11095-014-1533-x
- Genç L., Kutlu H.M., Güney G. // Pharm. Dev. Technol. 2015. V. 20. P. 337–344. https://doi.org/10.3109/10837450.2013.867447
- Andrade S., Ramalho M.J., Loureiro J.A., Pereira M.C. // Int. J. Pharm. 2022. V. 626. P. 122167. https://doi.org/10.1016/j.ijpharm.2022.122167
- Liu G., Yang J., Wang Y., Liu X., Guan L.L., Chen L. // Food Hydrocoll. 2019. V. 92. P. 189–197. https://doi.org/10.1016/j.foodhyd.2018.12.020
- Guo W., Deng L., Chen Z., Chen Z., Yu J., Liu H., Li T., Lin T., Chen H., Zhao M., Zhang L., Li G., Hu Y. // Nanomedicine. 2019. V. 14. P. 353–370. https://doi.org/10.2217/nnm-2018-0321
- Thepphankulngarm N., Wonganan P., Sapcharoenkun C., Tuntulani T., Leeladee P. // New J. Chem. 2017. V. 41. P. 13823–13829. https://doi.org/10.1039/c7nj02754k
- Wang J., Tan J., Luo J., Huang P., Zhou W., Chen L., Long L., Zhang L. ming, Zhu B., Yang L., Deng D.Y.B. // J. Nanobiotechnology. 2017. V. 15. P. 18. https://doi.org/10.1186/s12951-017-0251-z
- Delasoie J., Rossier J., Haeni L., Rothen-Rutishauser B., Zobi F. // Dalton Trans. 2018. V. 47. P. 17221–17232. https://doi.org/10.1039/c8dt02914h
- Dubashynskaya N.V., Bokatyi A.N., Sall T.S., Egorova T.S., Nashchekina Y.A., Dubrovskii Y.A., Murashko E.A., Vlasova E.N., Demyanova E.V., Skorik Y.A. // Int. J. Mol. Sci. 2023. V. 24. P. 11550. https://doi.org/10.3390/ijms241411550
- Singh A., Yadagiri G., Parvez S., Singh O.P., Verma A., Sundar S., Mudavath S.L. // Mater. Sci. Eng. C. Mater. Biol. Appl. 2020. V. 117. P. 111279. https://doi.org/10.1016/j.msec.2020.111279
- Ke Z., Guo H., Zhu X., Jin Y., Huang Y. // J. Pharm. Pharm. Sci. 2015. V. 18. P. 155–170. https://doi.org/10.18433/j3j88q
- Francis M.F., Cristea M., Winnik F.M. // Biomacromolecules. 2005. V. 6. P. 2462–2467. https://doi.org/10.1021/bm0503165
Supplementary files






