Comparative Behavior Analysis of Cy5-Pyrimidine Nucleotides in the Rolling Circle Amplification
- Authors: Lapa S.A.1, Chirkova P.A.1, Surzhikov S.A.1, Kuznetsova V.E.1, Shershov V.E.1, Chudinov A.V.1
-
Affiliations:
- Engelhardt Institute of Molecular Biology, Russian Academy of Sciences
- Issue: Vol 50, No 4 (2024)
- Pages: 568-573
- Section: Articles
- URL: https://journals.rcsi.science/0132-3423/article/view/267353
- DOI: https://doi.org/10.31857/S0132342324040157
- EDN: https://elibrary.ru/MWASES
- ID: 267353
Cite item
Full Text
Abstract
Two pairs of Cy-5-labeled dU and dC triphosphates with similar electroneutral fluorophore structures differing in the length of the hydrocarbon linker between the fluorophore and the nitrogenous base were synthesized. A comparative analysis of their substrate behavior in the rolling circle amplification (RCA) using Bst 3.0 DNA polymerase was carried out. It was found that nucleotides with a long linker between the fluorophore and pyrimidine base are more efficiently incorporated into the growing DNA chain, while nucleotides with a short linker inhibit RCA less. In each of the dU and dC pairs with similar fluorophores and linkers, fluorescently labeled uridine derivatives demonstrated a high embedding density. It was found that with simultaneous incorporation of labeled dU and dC, the inhibitory effect does not summarise. This gives grounds for a more careful study of various Cy5-dC variants in order to increase a sensitivity of the analysis with simultaneous introduction of labeled dU and dC.
Full Text
Сокращения: RCA – амплификация по типу катящегося кольца (от англ. Rolling Circle Amplification); Cy5-dU – цианиновый аналог дезоксиуридина; Cy5-dC – цианиновый аналог дезоксицитидина.
ВВЕДЕНИЕ
Распространение флуоресцентных меток позволило расширить спектр молекулярно-генетических исследований. Один из наиболее востребованных классов флуорофоров для введения меток в ДНК – цианиновые красители ряда Cy5. В настоящее время широко распространены меченые аналоги дезоксиуридинтрифосфата (Cy5-dU) с различными структурами Cy5-флуорофора для введения метки непосредственно в процессе ферментативной амплификации. Аналоги дезоксицитидина (Cy5-dC) применяются гораздо реже в силу более сложного синтеза, и поэтому их субстратное поведение недостаточно изучено.
В последние годы уделяется все больше внимания разработке и внедрению методов амплификации нуклеиновых кислот в изотермическом режиме, без использования термоциклера. Предложено несколько разновидностей изотермической амплификации: метод катящегося кольца (RCA) [1], петлевая изотермическая амплификация (LAMP) [2], рекомбиназная полимеразная реакция (RPA) [3] и некоторые другие [4].
Использование флуоресцентных меток с высокими квантовыми выходами и возможность их введения в ДНК непосредственно в процессе амплификации позволяют повышать чувствительность и надежность диагностических систем.
Целью настоящей работы было определение степени ингибирования RCA и плотности встраивания в растущую цепь ДНК для двух пар трифосфатов дезоксиуридина (dU) и дезоксицитидина (dC), в каждой из которых пиримидиновое основание было модифицировано одним и тем же флуорофором. В качестве генетической мишени для амплификации использовали полногеномную ДНК одного из важных возбудителей пневмонии – золотистого стафилококка Staphylococcus aureus.
РЕЗУЛЬТАТЫ И ОБСУЖДЕНИЕ
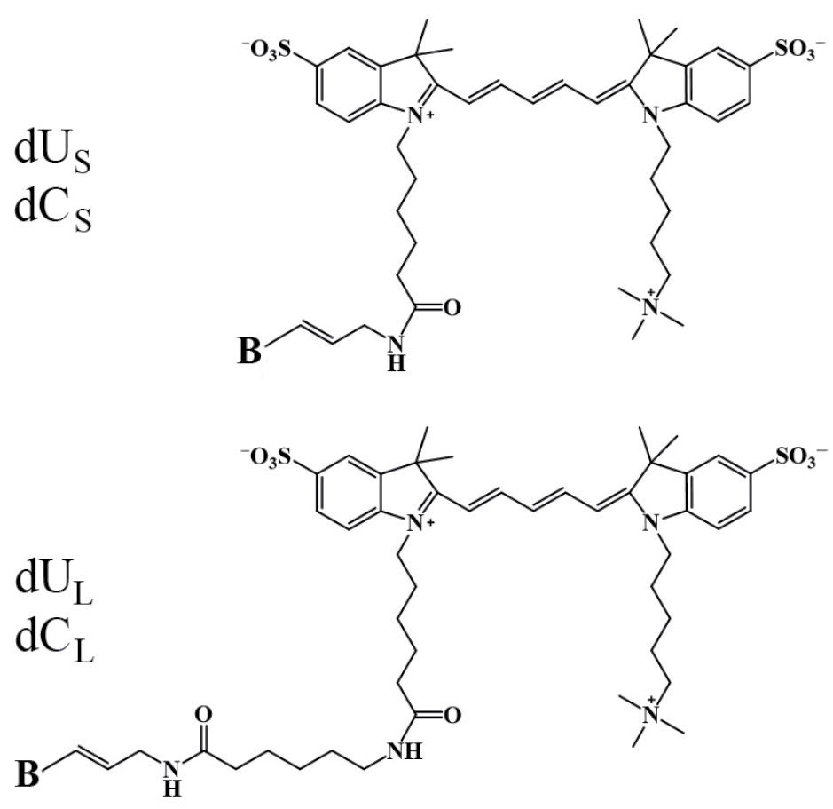
Синтезированы четыре пиримидиновых трифосфата дезоксинуклеозидов, содержащие аналогичные флуорофоры по 5-положению азотистого основания и различающиеся длиной линкера между азотистым основанием и флуорофором. Структуры флуорофоров с линкерами приведены на рис. 1.
Рис. 1. Флуорофор и линкер, связывающий его с 5-положением азотистого основания. В – азотистое основание. Остальные пояснения приведены в тексте.
Далее по тексту аналоги dU и dC с коротким линкером обозначены литерой S, с длинным – литерой L. Выбор электронейтрального цвиттерионного флуорофора определялся полученными ранее данными о более эффективной встраиваимости в ПЦР таких нуклеотидов по сравнению с аналогами, несущими положительный или отрицательный суммарный заряд [5, 6]. Общая схема синтеза флуоресцентно-меченных производных Cy5-дезоксипиримидиновых dNTP описана ранее [7, 8].
Проводили реакцию амплификации по типу катящегося кольца (RCA от “Rolling Circle Amplification”) с неполным замещением природных dNTP на флуоресцентно-меченные аналоги. Концентрации Cy5-dNTP выбирали на основании данных по ингибированию ПЦР и PEX (Primer Extension Reaction, реакция удлинения праймера) [9]. Для проведения RCA конструировали так называемый “кольцевой олигонуклеотид” длиной 90 нт, специфичный к участку гена ebpS S. aureus. Для образования кольца использовали геномную ДНК S. aureus и лигазу T4. Образовавшийся в результате лигирования кольцевой олигонуклеотид (90 нт) использовали в дальнейших исследованиях в качестве матрицы для амплификации.
Рис. 2. (а) – Кинетика амплификации RCA на примере dUL и dCL как при индивидуальном, так и при совместном применении; (б) – электрофореграмма результатов RCA в двухканальном режиме возбуждения/детекции (“зеленый” канал 530/585 нм и “красный” канал 630/690 нм). L – маркер длин двухцепочечной ДНК GeneRuler 50 bp (Thermo, Латвия).
На рис. 2а показано накопление флуоресцентного сигнала в процессе проведения RCA в режиме реального времени (на примере dUL и dCL). Видно, что при одновременном введении в реакцию обоих модифицированных трифосфатов дезоксинуклеозидов скорость накопления продукта имеет промежуточное значение по сравнению с индивидуальным введением в реакцию dUL и dCL (при одинаковой суммарной концентрации). Эта же зависимость характерна для dUS и dCS. Для измерения скорости накопления продукта использовали параметр “эффективность амплификации” Et, позволяющий оценить степень ингибирования RCA. Et рассчитывали аналогично тому, как описано нами ранее [5], но относили к времени проведения реакции, а не к количеству циклов, как в ПЦР (поэтому данный параметр не может быть сравнен напрямую с эффективность Е в ПЦР). Большее значение показателя Et соответствует большей скорости накопления продукта (табл. 1).
Таблица 1. Показатели субстратной эффективности Cy5-меченных dU и dC
Тип dNTP (концентрация, мкМ) | Выход продукта, мкг | Et | K |
dUS (32) | 21.3 | 1.14 | 0.07 |
dCS (32) | 19.7 | 1.17 | 0.03 |
dUS (16) + dCS (16) | 15.8 | 1.15 | 0.11 |
dUL (32) | 13.1 | 1.09 | 0.19 |
dCL (32) | 22.5 | 1.14 | 0.06 |
dUL (16) + dCL (16) | 17.6 | 1.13 | 0.22 |
Примечание: Et – эффективность амплификации, отнесенная к времени проведения реакции; K – коэффициент встраивания метки (пояснения в тексте).
Для визуального контроля реакции использовали горизонтальный электрофорез с двухволновой (двухканальной) системой детекции. На рис. 2б приведена электрофореграмма в двухволновом режиме, позволяющая визуализировать как суммарный продукт реакции, т.е. ДНК (“зеленый” канал, окрашивание SYBR Green), так и плотность встраивания метки (“красный” канал, флуоресценция Cy5 от встроившихся меченых нуклеотидов). Видно, что увеличение длины линкера способствовало увеличению плотности встраивания, при этом независимо от длины линкера в каждой паре (dU и dC) более высокую плотность встраивания показывали dU по сравнению с dC.
Проводили очистку продуктов реакции на микроколонках с мембранами на основе диоксида кремния для последующего измерения плотности встраивания метки спектрофотометрическим методом. Это позволило полностью удалить непрореагировавшие флуоресцентно-меченные трифосфаты и тем самым гарантировать получение сигнала только от меток, которые встроились в цепи ДНК в процессе их роста. В качестве коэффициента встраивания “K” использовали отношение поглощения образца на длине волны 647 нм (метка) к поглощению на 260 нм (ДНК). Выход продукта рассчитывали по измеренной оптической плотности очищенного продукта амплификации при длине волны 260 нм.
Таким образом, были получены результаты измерения кинетического показателя реакции (Et – эффективность амплификации, позволяющая оценить степень ингибирования реакции при использовании модифицированных dNTP), выход продукта и плотность встраивания метки в ДНК. Реакцию амплификации и соответствующие измерения для каждого Cy5-dNTP проводили в трех повторностях, находили средние значения. Результаты измерений приведены в табл. 1.
Обнаружено, что в каждой паре dU и dC с аналогичной модификацией большую плотность встраивания показывает меченое производное dU. В то же время при использовании одновременного встраивания dU и dC при суммарной концентрации, которая была эквивалентна индивидуальной (как при использовании каждого трифосфата по отдельности), плотность встраивания увеличивалась. Это может говорить об отсутствии эффекта “суммарной концентрации” при ингибировании реакции и позволяет при меньших индивидуальных концентрациях Cy5-меченных dU и dC (при использовании их в паре) получать сравнимую или большую плотность встраивания (при уменьшенном за счет уменьшения индивидуальных концентраций ингибирующем эффекте).
Удлинение линкера увеличивало способность полимеразы воспринимать модифицированные нуклеотиды в качестве субстрата, что позволило получить большую плотность встраивания метки на одну молекулу ДНК.
Полученные данные по влиянию длины линкера в RCA соответствуют таковым для ПЦР [5, 10]. Использование одновременного встраивания разноименных Cy5-нуклеотидов способствует увеличению плотности встраивания метки и может быть полезно при анализе мишеней различного GC-состава, увеличивая чувствительность анализа.
ЭКСПЕРИМЕНТАЛЬНАЯ ЧАСТЬ
Штаммы. Образцы геномной ДНК S. aureus были выделены и деконтаминированы на базе ГНЦ прикладной микробиологии и биотехнологии (Оболенск, Россия), как описано ранее [10]. В работе использовали ДНК Staphylococcus aureus ATCC 25923.
Праймеры и другие олигонуклеотиды. Множественное выравнивание последовательностей гена ebpS S. aureus проводили с помощью алгоритма ClustalW (www.clustal.org). Конструирование праймеров осуществляли с использованием сетевого ресурса www.idtdna.com, анализ специфичности праймеров проводили с помощью алгоритма BLAST (NIH, США). Для образования (в последующем процессе амплификации) кольцевого видоспецифичного олигонуклеотида синтезировали линейный олигонуклеотид длиной 90 нт, фосфорилированный по 5'-концу, представленный следующей последовательностью: 5'-Ph-TTAGA-GGCATGTGGTTATGCTAGCAACAGATAGACA-AGATGGAATGCAGATGACGATAGACGATAC-CTGCCATCGTTTTGGCTTGCATTA-3', где Ph – фосфат. Для амплификации по типу катящегося кольца использовали два праймера: прямой 5'-CGATAGACGATACCTGCCATCG-3' и обратный 5'-ATCGTCATCTGCATTCCATC-3'. Твердофазный синтез олигонуклеотидов осуществляли с помощью автоматического синтезатора ABI 394 DNA/RNA (Applied Biosystems, США) по стандартному регламенту, очистку производили на колонке BDS Hypersil C18 (Thermo, США).
RCA в режиме реального времени. Реакционная смесь содержала природные dNTP в концентрации 0.2 мМ каждого, а также меченые dNTP в концентрации 32 мкМ при индивидуальном введении в реакцию либо 16 мкМ каждого при совместном введении, 1.5 ед. Bst 3.0 ДНК-полимеразы и соответствующий реакционный буфер (NEB, США), кольцевой олигонуклеотид и праймеры в количестве 5 пмоль на реакционный объем, 104 копий на реакционный объем (20 мкл) геномной ДНК Staphylococcus aureus, а также необходимое количество 20× EvaGreen (Biotium, США). Смешивание компонентов производили на льду для предотвращения преждевременной амплификации. Реакцию проводили на ДНК-амплификаторе Gentier 96E (Tianlong, Китай) в режиме реального времени по следующей программе: 50 мин при 65°C при съемке сигнала флуоресценции 1 раз в минуту, далее режим хранения (10°C).
Очистка продуктов реакции от праймеров и dNTP. Продукты RCA очищали от праймеров и dNTP с помощью набора GeneGET Purification Kit (Thermo, США) в соответствии с инструкцией производителя. Для очистки использовали продукты RCA, полученные из трех реакционных объемов (20 мкл × 3) для каждого флуоресцентно-меченного dNTP, которые смывали с колонки GeneGET с помощью 10 мкл воды Milli-Q. Отсутствие в очищенном растворе ДНК меченых dNTP контролировали электрофоретически при возбуждении флуоресценции при длине волны 630 нм (необходимое условие для последующего измерения флуоресценции только от меток, встроившихся в растущую цепь ДНК).
Электрофорез в агарозном геле. Продукты RCA разделяли в 4%-ном агарозном геле (Agarose LE, Helicon, Россия) в течение 20 мин при 10 В/см, для окрашивания использовали SYBR Green I (Molecular Probes, США). Визуализацию проводили с помощью системы гель-документирования ChemiScope 6200 Touch (Clinx Science Instruments, КНР) с помощью встроенных LED-светодиодов и светофильтров Green light excitation/emission (для общей детекции ДНК по окрашиванию SYBR Green I) и с помощью встроенных LEDсветодиодов и светофильтров Red light excitation/emission, соответствующих характеристикам флуоресцентного красителя Cy5 (для избирательной детекции встроившихся флуоресцентно-меченных олигонуклеотидов).
Спектрофотометрия. Измерения оптического поглощения проводили на спектрофотометре NanoPhotometer NP80 (Implen, Германия) при длинах волн 260 и 647 нм.
ЗАКЛЮЧЕНИЕ
В настоящей работе синтезированы две пары Cy5-модифицированных dU и dC, которые различались между собой длиной линкера между азотистым основанием и флуорофором. Определены степень ингибирования RCA и плотность встраивания в растущую цепь ДНК для каждого из меченых dNTP с использованием в качестве матрицы полногеномной ДНК S. aureus. Показана возможность использования меньших индивидуальных концентраций меченых трифосфатов при их одновременном введении в RCA, что позволяет снизить ингибирующий эффект, но получать большую плотность встраивания флуорофора в растущую цепь ДНК. Подтверждено для RCA ранее обнаруженное в ПЦР влияние длины спейсера на субстратные свойства флуоресцентно-меченных dNTP. Наибольшую плотность встраивания удалось получить при совместном введении в реакцию производных dU и dC с длинным линкером между флуорофором и азотистым основанием.
ФОНДОВАЯ ПОДДЕРЖКА
Исследование выполнено при поддержке Российского научного фонда (грант № 22-14-00257).
СОБЛЮДЕНИЕ ЭТИЧЕСКИХ СТАНДАРТОВ
Настоящая статья не содержит описания исследований с участием людей или использованием животных в качестве объектов.
КОНФЛИКТ ИНТЕРЕСОВ
Авторы заявляют об отсутствии конфликта интересов.
About the authors
S. A. Lapa
Engelhardt Institute of Molecular Biology, Russian Academy of Sciences
Author for correspondence.
Email: lapa@biochip.ru
Russian Federation, ul. Vavilova 32, Moscow, 119991
P. A. Chirkova
Engelhardt Institute of Molecular Biology, Russian Academy of Sciences
Email: lapa@biochip.ru
Russian Federation, ul. Vavilova 32, Moscow, 119991
S. A. Surzhikov
Engelhardt Institute of Molecular Biology, Russian Academy of Sciences
Email: lapa@biochip.ru
Russian Federation, ul. Vavilova 32, Moscow, 119991
V. E. Kuznetsova
Engelhardt Institute of Molecular Biology, Russian Academy of Sciences
Email: lapa@biochip.ru
Russian Federation, ul. Vavilova 32, Moscow, 119991
V. E. Shershov
Engelhardt Institute of Molecular Biology, Russian Academy of Sciences
Email: lapa@biochip.ru
Russian Federation, ul. Vavilova 32, Moscow, 119991
A. V. Chudinov
Engelhardt Institute of Molecular Biology, Russian Academy of Sciences
Email: lapa@biochip.ru
Russian Federation, ul. Vavilova 32, Moscow, 119991
References
- Ali M.M., Li F., Zhang Z., Zhang K., Kang D.K., Ankrum J.A., Le X.C., Zhao W. // Chem. Soc. Rev. 2014. V. 43. P. 3324–3341. https://doi.org/10.1039/c3cs60439j
- Mori Y., Notomi T. // J. Infect. Chemother. 2009. V. 15. P. 62–69. https://doi.org/10.1007/s10156-009-0669-9
- Piepenburg O., Williams C.H., Stemple D.L., Armes N.A. // PLoS Biol. 2006. V. 4. P. e204. https://doi.org/10.1371/journal.pbio.0040204
- Чемисова О.С., Цырулина О.А., Трухачев А.Л., Носков А.К. // Журнал микробиологии, эпидемиологии и иммунобиологии. 2022. Т. 99. C. 126–138. https://doi.org/10.36233/0372-9311-176
- Lapa S.A., Volkova O.S., Spitsyn M.A., Shershov V.E., Kuznetsova V.E., Guseinov T.O., Zasedatelev A.S., Chudinov A.V. // Russ. J. Bioorg. Chem. 2019. V. 45. P. 263–272. https://doi.org/10.1134/S0132342319040043
- Lapa S.A., Guseinov T.O., Pavlov A.S., Shershov V.E., Kuznetsova V.E., Zasedatelev A.S., Chudinov A.V. // Russ. J. Bioorg. Chem. 2020. V. 46. P. 557–562. https://doi.org/10.31857/S0132342320040168
- Spitsyn M.A., Kuznetsova V.E., Shershov V.E., Emelyanova М.А., Guseinov T.O., Lapa S.A., Nasedkina T.V., Zasedatelev A.S., Chudinov A.V. // Dyes Pigments. 2017. V. 147. P. 199–210. https://doi.org/10.1016/j.dyepig.2017.07.052
- Shershov V.E., Lapa S.A., Levashova A.I., Shishkin I.Yu., Shtylev G.F., Shekalova E.Yu., Vasiliskov V.A., Zasedatelev A.S., Kuznetsova V.E., Chudinov A.V. // Russ. J. Bioorg. Chem. 2023. V. 49. P. 1151–1158. https://doi.org/10.1134/S1068162023050242
- Lapa S.A., Volkova O.S., Kuznetsova V.E., Zasedatelev A.S., Chudinov A.V. // Mol. Biol. 2022. V. 56. P. 115–123. https://doi.org/10.31857/S0026898422010050
- Lapa S.A., Miftakhov R.A., Klochikhina E.S., Ammur Y.I., Blagodatskikh S.A., Shershov V.E., Zasedatelev A.S., Chudinov A.V. // Mol. Biol. 2021. V. 55. P. 828–838. https://doi.org/10.1134/S0026893321040063
Supplementary files





