Biochemistry of Redox-Active Sulphur Compounds in Mammalian Cells and Approaches to Detecting Them
- Authors: Raevsky R.I.1,2, Katrukha V.A.1,3, Khramova Y.V.1,3, Bilan D.S.1,2
-
Affiliations:
- Shemyakin–Ovchinnikov Institute of Bioorganic Chemistry, Russian Academy of Sciences
- Center for Precision Genome Editing and Genetic Technologies for Biomedicine, Pirogov Russian National Research Medical University
- Faculty of Biology, Department of Biochemistry, Lomonosov Moscow State University
- Issue: Vol 50, No 4 (2024)
- Pages: 436-461
- Section: Articles
- URL: https://journals.rcsi.science/0132-3423/article/view/267315
- DOI: https://doi.org/10.31857/S0132342324040065
- EDN: https://elibrary.ru/MWZWVY
- ID: 267315
Cite item
Full Text
Abstract
The discovery of new classes of regulatory molecules in human and animal metabolism always leads to a large-scale study of their properties in the context of biochemistry, physiology, and pharmacology. About 20 years ago, hydrogen sulfide (H2S) and its derivatives – active sulfur forms (ASFs): persulfides, polysulfides, nitrosothiols, sulfenic acids, etc. – became one of such classes of molecules. The participation of ASFs in a variety of physiological and pathological processes, such as regulation of vascular tone, inflammation, long-term potentialization in the central nervous system, etc., has been shown. Changes in ASF levels or patterns of modification of their targets are associated with a wide range of pathologies: cardiovascular, oncologic, neurodegenerative, and others. For a part of these processes, mechanisms have been studied that involve direct modification of regulatory (NF-κB, Keap1) or effector (GAFD, eNOS, TRPA1) proteins through reactions of cysteine residues and metal-containing centers with APS. The presence of different regulated enzymatic systems producing APS and numerous molecular targets allows us to consider H2S and its derivatives as an important class of small regulatory molecules. H2S is counted among the so-called “gas transmitters”, along with nitric oxide(II) and carbon monoxide. Over the last 20 years, a huge amount of data on the biochemistry of these compounds and approaches to their study has been accumulated.
Full Text
Сокращения: АФА – активные формы азота; АФК – активные формы кислорода; АФС – активные формы серы; ЦБС – цистатионин-β-синтаза; ЦГЛ – γ-лиаза/цистатионаза; 3-МСТ – 3-меркаптопируватсульфотрансфераза; GSSH – персульфид глутатиона; Аβ – бета-амилоид.
1. ВВЕДЕНИЕ
Около 20 лет назад исследователи внимательнее начали рассматривать биологическую роль активных формы серы (АФС): сероводорода (H₂S) и его производных, главные из которых – полисульфиды, персульфиды, нитрозотиолы (рис. 1). Для этого класса соединений была показана сигнальная функция внутри клетки, что обусловлено реакционной способностью с большим количеством внутриклеточных мишеней [1–3].
Рис. 1. Активные формы серы, упорядоченные по формальным степеням окисления атомов серы. Стрелками показаны генеалогические связи, обсуждаемыми далее в тексте.
За два десятилетия были выпущены сотни работ о биохимических, физиологических и потенциально терапевтических аспектах АФС, однако ввиду крайне широкой сферы участия данных соединений в функционировании организма по-прежнему остается множество белых пятен в этой области исследований [4–8]. Для АФС было показано вовлечение во множество глобальных процессов, например, в борьбу с окислительным стрессом, вызываемым различными биологически значимыми оксидантами, такими как супероксид анион-радикал (О2·–), пероксид водорода (H2O2), хлорноватистая кислота (HOCl) и др. [9]. H₂S взаимодействует с реакционноспособными соединениями напрямую, снижая их концентрации, но также участвует в регуляции экспрессии некоторых генов, кодирующих белки антиоксидантных систем [10]. Одними из первых физиологических эффектов, показанных для H₂S, были кардиопротекторное [11] и вазодилатирующее действие [2, 12], механизм которых до сих пор не до конца ясен. Также для АФС показано антиапоптотическое [13, 14] влияние на клетки, нелинейные концентрационные эффекты выявлены для анти- и провоспалительного действия АФС [15]. С различными изменениями в уровне внутриклеточных АФС ассоциируют большое количество патологических процессов: болезнь Гентингтона и Альцгеймера, ишемический инсульт, различные типы онкологических заболеваний, сепсис и многие другие [16–19].
2. ХИМИЧЕСКИЕ СВОЙСТВА И МЕТАБОЛИЗМ АФС
H₂S (сероводород) – токсичный газ с сильным неприятным запахом “тухлых яиц”, хорошо растворимый в воде и обладающий высокой способностью проникновения через липидный бислой. В водных растворах представляет слабую двухосновную кислоту (реакции (1) и (2)):
H₂S⇋HS– + H+, (1)
HS–⇋S²⁻ + H+. (2)
Значение рКа1 для первой реакции составляет 6.84 при 37°C [20], в то время как рКа2 при 25°C определено разными исследователями в диапазоне от 12.5 [21] до 19 [22]. При физиологических значениях рН (7.4) и 37°C соотношение форм HS– и H₂S составляет ~4: 1, при этом концентрация формы S2– крайне мала (10−12 M) [23]. Далее в тексте под “H₂S” мы будем подразумевать как непосредственно форму H₂S, так и HS–. H₂S (особенно в форме HS–) – сильный нуклеофил, это связано с локализованным отрицательным зарядом, высокой поляризуемостью и сравнительно низкой электроотрицательностью атома серы. Однако в отличие от тиолят-анионов, у которых “RS–”-группа связана с углеродом, после первой реакции с электрофилом (реакция (3)), может вновь произойти реакция ионизации и последующее взаимодействие с другим электрофилом (реакция (4)):
HS– + E1+ → E1-SH, (3)
E1S– + E2+ → E1-S-E2. (4)
Так, реакция H₂S с дисульфидами идет примерно на порядок медленнее, чем реакции соответствующих тиолятов (тиол-дисульфидный обмен), что связано с более сильным положительным индуктивным эффектом, более высокой поляризуемостью и сольватационным эффектом последних [24]. В составе H₂S сера находится в степени окисления –2. В клетке H₂S – сильный двухэлектронный восстановитель, его окислительно-восстановительный (ОВ) потенциал Ео´ (HS2−, H+ /2HS−) против водородного электрода составляет –0.23 B, что сопоставимо с ОВ-потенциалами цистеина и глутатиона [25]. Однако одноэлектронный ОВ-потенциал (S−, H+/HS−) против водородного электрода равен +0.91 В [26], что сопоставимо с соответствующими значениями для тиолов (E°(RS∙, H+/RSH) = +0.96 В). Одноэлектронное окисление происходит эффективно из-за большой скорости дальнейших реакций образующегося сульфанил-радикала HS∙, которые приводят к образованию персульфидов (Н2S2) [27]. H₂S может окисляться до разных продуктов: сульфатов (SO42–), сульфитов (SO32–), тиосульфатов (S2O32–), полисульфидов (RSSnSR) и элементарной серы (Sn) (рис. 1). В последнее время все больший интерес исследователей вызывает перекрестный (crosstalk) сигналинг, опосредованный H₂S и оксидом азота (NO) [28]. Взаимодействие H₂S с NO приводит к образованию стабильных нитрозотиолов (HS–NO) и нитроксилов (HNO), появляющихся в результате распада HS–NO [9]. HNO, как донор частицы NO+, обладает отличным от NO паттерном реакционной способности: так, нитроксил может напрямую реагировать с тиолами с образованием сульфинов и дисульфидов [29].
Сигналинг и паракринная регуляция с участием H₂S обусловлены его способностью проникать через мембрану благодаря высокому коэффициенту распределения гидрофобная фаза/вода. Проницаемость мембраны для сероводорода повышается в условиях более низкого значения рН [24]. Трансмембранный перенос H₂S осуществляется с высокой скоростью (11.9 см/с) и, по всей видимости, без участия транспортеров и каналов [30]. Благодаря высокой мембранной проницаемости и большому количеству потенциальных мишеней для взаимодействия, что определяет, как будет описано ниже, регуляцию физиологических эффектов, H₂S причисляют к важным сигнальным молекулам в группе газотрансмиттеров наряду с оксидом азота(II) и монооксидом углерода (CO) [31].
H₂S образуется в клетках человека и других млекопитающих благодаря работе нескольких ферментов, участвующих в метаболизме серосодержащих аминокислот: пиридоксаль-5-фосфат-зависимых цистатионин-β-синтазы (ЦБС, EC 4.2.1.22), цистатиониновой γ-лиазы/цистатионазы (ЦГЛ, EC 4.4.1.1) и пиридоксаль-независимой 3-меркаптопируватсульфотрансферазы (3-МСТ, EC 2.8.1.2) (рис. 2). Данные ферменты имеют различные профили тканевой экспрессии, отличаются по эффективности синтеза H₂S, субстратной специфичности и механизмам регуляции активности, что в совокупности позволяет тонко контролировать уровни внутриклеточного H₂S [32].
Рис. 2. Основные пути образования H₂S в организме млекопитающих. ЦБС – цистатионин-β-синтаза, ЦГЛ – цистатиониновая γ-лиаза, ЦАТ – цистеинаминотрансфераза, 3МП – 3-меркаптопируват, 3-МСТ – 3-меркаптопируватсульфотрансфераза.
ЦБС проявляет наибольшую активность в тканях мозга, особенно в астроцитах [33], но также в эндотелии сосудов и плазме крови [34]. В качестве субстрата для синтеза H₂S этот фермент может использовать либо две молекулы цистеина, либо пару цистеин–гомоцистеин. ЦБС содержит регуляторный гем-содержащий домен, который способен взаимодействовать и с другими газотрансмиттерами NO или CO, что при этом значительно снижает ферментативную активность ЦБС и влияет на сигналинг [35]. Связывание S-аденозилметионина (SAM), метаболита метионина и одного из основных коферментов метилирования, наоборот, увеличивает каталитическую активность ЦБС [36]. Однако одновременно с этим происходит увеличение аффинности гема к CO и NO, что ускоряет их связывание и ингибирование [36]. При окислительном стрессе наблюдается глутатионилирование ЦБС, эта модификация также приводит к увеличению активности фермента [37], что позволяет повысить продукцию цистеина и усилить синтез глутатиона в клетке.
ЦГЛ – фермент, который демонстрирует наибольшую H₂S-продуцирующую активность в сердце, печени, сосудах, плазме крови [38] и использует для синтеза H₂S в первую очередь гомоцистеин либо цистеин [39] (рис. 2). ЦГЛ увеличивает ферментативную активность в присутствии комплекса Са2+–кальмодулин [40]. В целом для ЦГЛ и ЦБС характерна субстратная неразборчивость (enzyme promiscuity), поскольку ферменты катализируют несколько реакций. По всей видимости, это связано с особенностями пиридоксаль-зависимого катализа. Большая часть реакций, катализируемых ЦГЛ и ЦБС, сопровождается выделением H₂S, однако в связи с высокими KM для субстратов и низкими концентрациями некоторых из субстратов, далеко не все из этих реакций вносят значимый вклад в образование H₂S.
3-МСТ, локализованная как в матриксе митохондрий, так и в цитоплазме, катализирует образование H₂S из 3-меркаптопирувата. Наибольшая H₂S-продуцирующая активность для 3-МСТ показана в мозге, почках и некоторых иммунных клетках [41]. 3-Меркаптопируват образуется при трансаминировании цистеина цистеинаминотрансферазой (ЦАТ, EC 2.6.1.3) либо при прямом окислительном дезаминировании D-цистеина оксидазой D-аминокислот (ДАО, ЕС 1.4.3.3), в ходе которого также образуется H₂S. Реакция, катализируемая 3-МСТ, происходит с переносом атома серы с 3-меркаптопирувата на остаток цистеина фермента. В ходе реакции образуется стабильный персульфид 3-МСТ и пируват, фермент регенерирует при атаке нуклеофила на персульфид. Наиболее эффективно с персульфидом 3-МСТ реагирует тиоредоксиновая система, также с убывающей эффективностью в представленном ряде соединений взаимодействуют цианид-ион, дигидролипоат, цистеин, гомоцистеин и глутатион [42]. Про регуляцию активности 3-МСТ на сегодняшний день известно мало.
Источником H₂S в организме млекопитающих также служит кишечная микробиота, в частности его образуют бактерии рода Desulfovibrio, использующие сульфат в качестве конечного акцептора электронов в дыхательной цепи и восстанавливающих его до сероводорода [18]. H₂S может также образовываться при распаде тиосульфатов – продуктов окисления соединений серы в митохондриях [43].
Основные реакции H₂S с биомолекулами – связывание и/или редокс-реакции с металлсодержащими центрами, перекрестный сигналинг с активными формами кислорода (АФК) и активными формами азота (АФА), а также редокс-реакции с клеточными производными цистеинов с образованием персульфидов.
Рис. 3. Основные АФС-опосредованные модификации белковых молекул, пояснения в тексте.
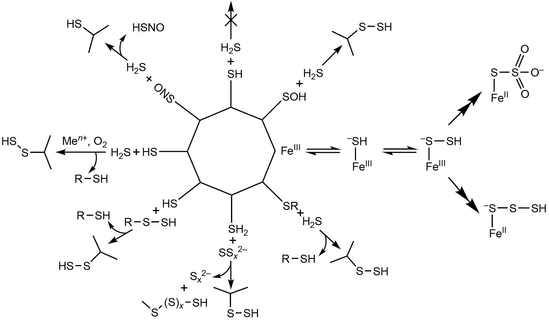
H₂S взаимодействует с металлсодержащими и гемовыми центрами [44] (рис. 3). Во-первых, H₂S может координировать непосредственно ион металла; во-вторых, H₂S способен восстанавливать ион металла с образованием радикалов HS∙ и последующих продуктов окисления; в-третьих, H₂S может ковалентно модифицировать гемовые порфирины [45]. Например, в низких концентрациях H₂S связывает и восстанавливает ион Fe3+ в одном из центров цитохром соксидазы (комплекс IV дыхательной цепи, ЕС 1.9.3.1), что увеличивает ее сродство к кислороду и усиливает тканевое дыхание [46, 47]. При более высоких внутриклеточных концентрациях H₂S ковалентно связывает гемовые центры цитохром соксидазы и восстанавливает ион Сu2+, что приводит к ингибированию и разобщению дыхательной цепи [46, 48]. Также при связывании с гемовыми белками в аэробных условиях H₂S окисляется с образованием персульфидов и тиосульфатов (рис. 4) [49].
Рис. 4. Митохондриальный метаболизм H₂S и взаимодействие с компонентами дыхательной цепи. CytC – цитохром с, Q – убихинон, QH₂ – убихинол, ПДО – персульфиддиоксигеназа, СХР – сульфохинонредуктаза, СО – сульфитоксидаза, III – третий комплекс дыхательной цепи убихонол-цитохром с-редуктазы, IV – четвертый комплекс дыхательной цепи цитохром с-оксидазы.
Для избавления от избытков H₂S и биосинтеза окисленных форм серы существуют внутриклеточные ферментативные системы катаболизма H₂S, из них основной – митохондриальный путь окисления H₂S (рис. 4). Первую реакцию, в которой происходит двухэлектронное окисление H₂S до тиосульфата или персульфида глутатиона (GSSH) в зависимости от акцептора (сульфит или глутатион (GSH)) и восстановление убихинона до убихинола, катализирует фермент внутренней митохондриальной мембраны – сульфохинонредуктаза (СХР, EC 1.8.5.4) [50]. Электроны при этом поступают в ЭТЦ, таким образом, сульфид – первый открытый неорганический донор электронов в дыхательной цепи млекопитающих [50]. Далее, если продуктом реакции является тиосульфат, он вступает в роданазную реакцию и образует GSSH. Затем так или иначе образованный GSSH окисляется персульфиддиоксигеназой (ПДО, EC 1.13.11.18) до сульфит-иона и GSH; сульфит-ион затем окисляется до сульфата сульфитоксидазой (СО, EC 1.8.3.1) [51].
Считается, что главный механизм, обусловливающий участие H₂S в клеточном сигналинге, основан на окислительной посттрансляционной модификации остатков цистеинов – персульфидации (рис. 3) [33], которая имеет место в физиологических условиях и повышается в условиях окислительного стресса. Подобно другим окислительным модификациям тиоловых групп белков, персульфидация может как активировать, так и инактивировать отдельные белки, таким образом, потенциально адаптируя их функции к изменяющимся условиям. Кроме того, персульфидация может предотвращать необратимое окисление тиолов. Однако до сих пор точный механизм этого процесса не установлен [52]. Предполагают, что существует два основных механизма неферментативной персульфидации белков. Во-первых, некоторые тиоловые группы белков могут вступать в две последовательные реакции: сначала с пероксидом водорода (H2O2), а затем с H₂S, что приводит к образованию персульфидов. Во-вторых, ряд белков может взаимодействовать непосредственно с H₂S по дисульфидной связи с образованием персульфидов [53]. Однако обе реакции протекают медленно и не могут объяснить тот факт, что множество белков обнаружено в персульфидированном состоянии даже в отсутствие окислительного стресса. Также известно, что низкомолекулярные персульфиды, например, персульфиды глутатиона и цистеина (GSSH и Cys-SSH), образующиеся в клетках, способны переносить единичные атомы серы на тиолы [54], однако их участие в трансперсульфидации пока не было подтверждено. Также существует предположение, что посттрансляционная персульфидация белков осуществляется ферментативно с помощью одной или нескольких серных трансфераз. Недавно были получены экспериментальные подтверждения этих предположений [52]. Было показано, что 3-MСT – фермент, который ассоциируется в основном с генерацией H₂S и, как ранее считалось, способен переносить атомы серы на тиоловые группы только двух белков – тиоредоксина и MOCS3/Uba4 для последующего тиолирования тРНК и урмилирования белков [55], – обладает персульфидирующей активностью по отношению к гораздо более широкому кругу белков. Так, например, в условиях in vitro, а также в экспериментах на культуре дрожжей было установлено, что даже флуоресцентный белок roGFP и бычий сывороточный альбумин являются акцепторами атомов серы от 3-MСT. Также в экспериментах in vitro было показано, что данный фермент – не основной производитель неорганических полисульфидов, что еще раз подтверждает идею о том, что прямое транссульфирование – преобладающий способ 3-МСТопосредованной персульфидации белков. Кроме того, на культуре клеток человека было продемонстрировано, что истощение пула 3-МСТ приводит к общему снижению уровня персульфидации белков [52]. Вышеописанные данные в совокупности с существовавшими ранее наблюдениями, что сверхэкспрессия 3-МСТ увеличивает содержание внутриклеточной “связанной” сульфановой серы (S0), потенциально указывающее на прямую роль этого фермента в общей персульфидации белков [56], позволяют заключить, что 3-МСТ действительно обладает способностью персульфидировать различные белки в физиологических условиях.
Персульфиды наряду с полисульфидами – наиболее широко исследуемые АФС, вместе эти соединения называют соединениями сульфановой серы или просто сульфановыми соединениями. Путей их образования несколько, некоторые пути биосинтеза были уже рассмотрены выше, однако оставшиеся занимают не менее важное место в биохимии АФС. Так, H₂S может реагировать напрямую с дисульфидами, особенно в компартментах, в которых их концентрация повышена вследствие окислительных условий, например, в люмене эндоплазматического ретикулума [57]. Другой путь образования персульфидов – реакция H₂S c остатками сульфеновых кислот (–SOH) в белках или низкомолекулярных соединений, образующихся в клетке в ходе окисления гипогалогенными кислотами и/или пероксидами [24]. Третий путь – реакция H₂S с остатками нитрозотиолов (RSNO) в белках и низкомолекулярных соединениях [58].
Показана важная роль котрансляционного встраивания персульфидов цистеина, генерирующихся при катализе цистеил-тРНК-синтетазами (ЕС 6.1.1.16) реакций образования соответствующих цистеил-тРНК. Таким образом, персульфид цистеина можно считать протеиногенной аминокислотой, поскольку он встраивается в полипептидную цепь уже на этапе трансляции вместо соответствующих цистеинов [59]. Это может играть следующую физиологическую роль: образование сульфонов цистеина в клеточных условиях необратимо и наблюдается при выраженном или локальном окислительном стрессе, у персульфидированных же остатков окисляется дистальный атом серы, который может быть отсоединен антиоксидантными системами клетки с восстановлением интактного остатка цистеина. Таким образом, в персульфидированном состоянии белки лучше защищены от окислительного стресса [60].
Пер- и полисульфиды – более реакционноспособные молекулы, чем H₂S. В схожих реакциях они проявляют более сильные нуклеофильные свойства и рассматриваются в качестве непосредственных участников сигналинга H₂S. Это связано с их более низкими значениями рКа относительно тиолов и H₂S, что приводит к высокой доступности анионной формы, но, в то же время, с наличием α-эффекта [24, 61–63]. Интересны и электрофильные свойства сульфановых соединений, практически не выраженные у H₂S и тиолов. Так, полисульфиды могут выступать в качестве электрофилов в реакциях с низкомолекулярными тиолами и остатками цистеина белков с образованием политиолированных остатков цистеина (R-(S)n-SH) с разным количеством атомов серы. В дальнейшем при наличии пространственно близких остатков цистеина или других тиолов могут образовываться ди-, три-, тетра- и пентасульфидные связи [64]. H₂S не способен напрямую производить подобные модификации, хотя в экспериментах с его экзогенной добавкой наблюдались похожие эффекты, что, вероятно, связано с использованием предоксиленных доноров H₂S [61].
Для персульфидации как регуляторной модификации показаны также механизмы ее удаления. В этом участвуют две ферментативные антиоксидантные системы: тиоредоксиновая и глутаредоксин-глутатионредуктазная [65, 66]. Они осуществляют NADPН-зависимую деперсульфидацию остатков CysSSH и персульфидов глутатиона с образованием H₂S и соответствующих тиолов. Однако на сегодняшний день остается малоизученной регуляция этих процессов и их эффективность для различных белковых мишеней.
3. ОСНОВНЫЕ ФИЗИОЛОГИЧЕСКИЕ ЭФФЕКТЫ И МИШЕНИ АФС
Сероводород и его производные, в первую очередь, поли- и персульфиды, –это сигнальные молекулы, которые активно участвуют в регуляции физиологических и биохимических процессов не только в клетках и тканях млекопитающих, но также у бактерий и растений. Первые исследования регуляторной роли H₂S были начаты в конце ХХ века в рамках его влияния на нейромодуляцию [1]. У млекопитающих эндогенный H₂S контролирует целый ряд физиологических процессов и участвует в регуляции патогенеза различных заболеваний, таких как гипертония, атеросклероз, инфаркт миокарда и др. [16]. Для H₂S и его производных показана антиапоптотическая активность, что важно при изучении действия H₂S как эффекторной молекулы в модели ишемии-реперфузии и воспаления. Например, H₂S-опосредованная персульфидация остатка Cys-38 субъединицы р65 белка NF-κB (nuclear factor kappa-light-chain enhancer of activated B cells) приводит к его транслокации в ядро и к активации экспрессии TNFR (рецептор фактора некроза опухолей)-ассоциированного фактора, каспазы-8-c-FLP и клеточных ингибиторов апоптоза [8, 67]. Экспрессия TNFR также приводит к повышению экспрессии ЦГЛ, что приводит к увеличению продукции H₂S [14]. Также H₂S персульфидирует остаток Cys-151 белка Keap1 (Kelch-like ECH-associated protein 1), что по неизвестному пока механизму приводит к транслокации белка Nrf2 (NF-E2-related nuclear factor 2) в ядро и к активации экспрессии цитопротекторных белков, таких как глутатион-S-трансфераза, ферритин, эпоксидгидролаза [40, 68]. Кроме того, H₂S персульфидирует остаток Cys-341 белка МЕК1 и индуцирует последующее фосфорилирование ERK1/2 с дальнейшей активацией PARP1 (poly ADP-ribose polymerase 1), что в целом приводит к активации путей репарации ДНК [69]. Таким образом, АФС оказывают влияние на основные сигнальные пути, функционирующие в различных системах организма.
3.1. Влияние АФС на сердечно-сосудистую систему
К настоящему моменту установлено, что АФС оказывают влияние на сердечно-сосудистую систему, в частности снижают повреждающее действие ишемии-реперфузии на миокард, стимулируют ангиогенез, вызывают расслабление гладкой мускулатуры и участвуют в регуляции артериального давления [10]. Одна из первых обнаруженных биологических активностей H₂S – вазодилатация [7], поэтому влияние H₂S на состояние сосудов представляет собой важный фактор при исследовании механизмов развития таких патологических состояний, как артериальная гипертензия и ишемия-реперфузия. Данное свойство H₂S применяют при создании препаратов для лечения гипертонии, для этого разрабатываются доноры H₂S в качестве антигипертензивных препаратов [4]. Однако механизм H₂S-опосредованной дилатации еще не до конца изучен. Известно, что H₂S стимулирует вазодилатацию посредством активации АТФ-зависимого калиевого канала в результате персульфидации, что приводит к гиперполяризации гладкомышечных клеток в стенках сосудов [70]. Воздействие на Ca2+-зависимые К+-каналы, наоборот, вызывает их блокирование, что, вероятно, ввиду различной концентрационной зависимости и степени представленности не приводит к вазоконстрикции [71]. При этом действие H₂S происходит синергично с ∙NO. Поэтому имеет место либо непосредственное взаимодействие H₂S и ∙NO, либо с ферментами синтеза ∙NO. Совместное действие H₂S и ∙NO связано также с образованием нитрозотиолов в нейронах, регулирующих тонус сосуда [72]. Нитрозотиолы активируют TRPA-каналы и повышают концентрацию кальция внутри нейрона. В результате происходит экзоцитоз везикул с кальцитонин-ген-родственным пептидом (ПРГК), который, в свою очередь, активирует рецептор, ассоциированный с G-белком, на гладкомышечной клетке в стенке сосуда [73]. Это событие способствует активации аденилатциклазы, синтезу цАМФ и активации протеинкиназы А. Протеинкиназа А потенциально способна повышать активность эндотелиальной ∙NO-синтазы [73]. Персульфидация цистеина в положении 443 ∙NO-синтазы повышает активность фермента, что приводит к увеличенной продукции ∙NO и, в свою очередь, к активации растворимой гуанилатциклазы. При этом известно, что H₂S усиливает связывание ∙NO гуанилатциклазой [74]. Синтез цГМФ активируется, а его распад подавляется в результате связывания H₂S c ионами Zn2+ в составе фосфодиэстеразы. Описываемые эффекты приводят к вазодилатации (рис. 5) [75].
Рис. 5. Регуляция вазодилатации посредством H₂S и ∙NO. ПРГК – кальцитонин-ген-родственный пептид, КАТФ-канал – АТФ-зависимый К⁺-канал, АЦ – аденилатциклаза, ГЦ – гуанилатциаклаза, ЦГЛ – цистатионин-γ-лиаза, VEGF – фактор роста сосудистого эндотелия, eNOS – эндотелиальная синтаза оксида азота(II), NOX – НАДФН-оксидаза.
Различные эндотелиальные сигналы, например, сигналинг фактора роста эндотелия сосудов (VEGF – Vascular endothelial growth factor), осуществляемый с участием НАДФН-оксидаз и образованием H2O2 в качестве сигнальной молекулы, приводит к увеличению экспрессии и активности ЦГЛ. В свою очередь, ЦГЛ – наиболее важный и активный фермент синтеза H₂S в сердечно-сосудистой системе [76, 77]. Повышенный уровень H₂S и АФС приводит к увеличению активности эндотелиальной синтазы оксида азота и гуанилатциклазы по описанному выше механизму, что и запускает последующие каскады, которые приводят к пролиферации и дифференцировке эндотелиальных клеток, стимулируя ангиогенез [72]. Также H₂S может дозозависимо увеличивать количество миоэпителиальных клеток, влиять на их миграцию и образование миотуб посредством Akt-сигнального пути. У мышей, нокаутных по ЦГЛ, было подавлено образование микрокапилляров, а H₂S способствовал усилению ангиогенеза через сигнальный путь MAPK (митоген-активированная протеинкиназа). В качестве молекулярного переключателя H₂S специфически разрывает дисульфидную связь Сys-1045–Сys-1024 в рецепторе фактора роста эндотелия сосудов второго типа (VEGFR2) и приводит к изменению его конформации, что приводит к стимуляции ангиогенеза [78]. Кроме того, H₂S усиливает активность сигнального трансдуктора и активатора транскрипции 3 (STAT3), а также увеличивает фосфорилирование мишени рапамицина (mTOR) через путь VEGFR2 и стимулирует пролиферацию эндотелиальных клеток [79].
H₂S обладает кардиопротекторным действием. Показано, что как эндогенный, так и экзогенный H₂S способствует предотвращению развития атеросклероза, аритмий, гипертрофии и инфаркта миокарда и др. При этом кардиопротекторный эффект достигается путем повышения уровня фосфорилирования серин-триониновой протеинкиназой RACα, а также посредством транслокации в ядро респираторного фактора 1 и фактора 2, связанного с эритроидом-2, что активировало антиапоптотический сигналинг, ингибировало апоптоз и повышало биогенез митохондрий [80]. Таким образом, АФС (в частности H₂S) – это важные регуляторы метаболизма сердечно-сосудистой системы.
3.2. Влияние АФС на нервную систему
Как было описано выше, в нервной системе экспрессируется ЦБС – один из основных ферментов, обеспечивающих эндогенный синтез H₂S. Методами иммуногистохимического исследования было показано, что данный фермент локализован в астроцитах и микроглие, а также в некоторых нейронах, например, в клетках Пуркинье и нейронах гиппокампа [81]. ЦБС-опосредованная продукция H₂S связана с активацией Ca2+/кальмодулинового сигнального пути после возбуждения нейронов. АФС и, в частности, H₂S оказывают воздействие на нервную систему посредством модуляции нейротрансмиссии [40]. Так, например, известно, что глутамат – один из основных нейромедиаторов, вовлеченных в процессы обучения, формирования памяти, долговременной потенциации, действующий на рецепторы N-метил-D-аспартата (NMDA). При этом H₂S способствует увеличению токов, связанных с данным рецептором, путем активации аденилатциклазы и нижележащих каскадов циклического аденозинмонофосфата (цАМФ)/протеинкиназы А. Была показана персульфидация NR2A-субъединицы NMDA-рецептора, которая, по всей видимости, и ответственна за описанные выше эффекты [82]. Кроме того, АФС способны оказывать влияние непосредственно на секрецию глутамата, усиливая ее, что приводит к гибели нейронов в результате глутамат-опосредованной эксайтотоксичности [83]. Другой пример влияния H₂S на рецепторы нейромедиаторов – воздействие на рецептор гамма-аминомасляной кислоты (ГАМК). ГАМК – основной тормозный медиатор, а дефицит ГАМКэргического торможения приводит к фебрильным судорогам и повышенной возбудимости нейронов. H₂S уменьшает повреждение гиппокампа, вызванное повторяющимися припадками, за счет усиления ГАМКергического торможения. Причем данный эффект реализуется не благодаря увеличению количества нейромедиатора, а в результате повышения количества рецепторов, что показано как на уровне мРНК, так и на уровне белка [84]. Вероятно, это происходит в результате повышения внутриклеточной концентрации кальция как за счет активации каналов типа TRPA, Ca2+-каналов T- и L-типов, так и стимуляции кальций-зависимой транскрипции [85, 86]. Также в экспериментах на культурах микроглии и астроцитов было показано, что мишенью H₂S выступают Cl–/HCO3– и Na+/H+-обменники, воздействие на которые приводит к развитию ацидоза [87]. Также важная функция H₂S в нервной системе – ингибирование окислительного стресса. Так, например, H₂S предотвращает HOCl-опосредованную инактивацию α1-антитрипсина, окисление белков, цитотоксичность и перекисное окисление липидов [88]. H₂S также защищает эндотелиальные клетки мозга от метионин-индуцированного окислительного стресса [89].
Во время развития различных нейродегенеративных заболеваний наблюдается изменение уровня эндогенной продукции АФС. У пациентов, страдающих от болезни Альцгеймера, регистрировали пониженный уровень H₂S [90]. При этом в экспериментах на культурах нейрон-подобных клеток было показано, что при участии сигнального пути PI3K/Akt H₂S способствует снижению уровня экспрессии белка BACE-1, который отвечает за синтез β-амилоида [91]. При моделировании болезни Альцгеймера на первичной культуре и линии BV-2 было показано, что H₂S может защищать микроглию от β-амилоид-индуцированного (Aβ-индуцированного) повреждения, подавляя продукцию таких медиаторов воспаления, как NO и TNF-α в культуре клеток, обработанных Aβ [92]. Также предположительно H₂S подавляет продукцию Аβ в самих нейронах за счет ингибирования гликозилирования белка-предшественника и активности γ-секретазы, отрезающей Аβ от самого белка-предшественника [93] (рис. 6).
Рис. 6. АФС-опосредованная регуляция в нейронах, пояснения в тексте. NMDAR – ионотропный рецептор NMDA, APP – белок-предшественник амилоида, TRPA1 – член 1 подсемейства А переходных рецепторных потенциальных ионных каналов (Transient receptor potential cation channel subfamily A member 1), Nrf2 – ядерный фактор 2, связанный с E2 (nuclear E2 related factor 2), Keap1 – келч-подобный ECH-ассоциированный белок 1 (Kelch-like ECH-associated protein 1).
Также сниженный уровень H₂S характерен для болезни Гентингтона. Это связано с тем, что мутантный гентингтин ингибирует SP1 – транскрипционный активатор ЦГЛ. Уровень экспрессии данного фермента снижается, что закономерно приводит к сокращению продукции H₂S [94].
Подробно исследована цитопротекторная роль H₂S при болезни Паркинсона (БП). Эта болезнь ассоциируется со значительным снижением персульфидации убиквитинлигазы Parkin, которая при патологии модифицирована в значительно меньшей степени, нежели в норме. В норме персульфидация Parkin по определенным остаткам увеличивает ее убиквитинлигазную активность, таким образом, количество дефектных белков в цитоплазме снижается [95]. В модификации ферментов также важен баланс персульфидации и нитрозилирования. Так, персульфидация активирует Parkin, а нитрозилирование, напротив, снижает ее активность [95]. Известно, что полисульфидирование оказывает нейропротекторное действие, влияя на такие белки, как Keap1, каналы TRPA1, гораздо сильнее, чем H₂S [96]. Описанные выше данные свидетельствуют об исключительно важной регуляции баланса АФС для нормального функционирования нервной системы.
3.3. Влияние АФС на эндокринную систему
Среди всех органов эндокринной системы поджелудочная железа и влияние на нее АФС наиболее изучены. Высвобождение инсулина из островков Лангерганса –критическое событие при регуляции метаболизма глюкозы и патогенезе инсулинорезистентности. Экзогенный H₂S в физиологически значимых концентрациях значительно подавляет индуцированное глюкозой высвобождение инсулина. Такое же влияние эндогенного H₂S на высвобождение инсулина было показано в экспериментах со сверхэкспрессией ЦГЛ. В то же время нокдаун гена фермента приводил к противоположному результату [97]. Ингибиторный эффект H₂S в значительной степени связан со стимуляцией АТФ-чувствительных калиевых каналов в β-клетках [97]. На культуре клеток INS-1E было показано, что сверхэкспрессия ЦГЛ вызывает апоптоз и снижает жизнеспособность клеток, равно как и воздействие экзогенного H₂S, из-за ингибирования киназы 1/2 (ERK1/2) с одновременной активацией p38 MAPK. Проапоптотический эффект H₂S обусловлен активацией эндоплазматического ретикулума [98].
Таким образом, АФС могут оказывать двойственное воздействие на различные системы органов в зависимости от концентрации, демонстрируя как протекторные, так и повреждающие свойства.
3.4. Участие АФС в реакциях воспаления
Воспаление – физиологическая защитная реакция организма, возникающая в ответ на повреждение тканей или появление патогенного раздражителя, направленная на удаление продуктов и агентов повреждения. Воспалительные реакции могут быть острыми и хроническими. Хроническое воспаление – спутник большого количества заболеваний, поэтому оно считается самой распространенной причиной смертности [99]. Известно, что в регуляции воспалительных реакций задействованы АФК и АФА [100]. В последние годы все активнее идет исследование участия АФС в патогенезе воспалительных заболеваний. Так, было показано благотворное влияние H₂S при различных сердечно-сосудистых, нейродегенеративных и костно-мышечных заболеваниях с воспалительным компонентом, таких как остеоартрит. Считается, что этот эффект связан с реакциями персульфидации. Однако все больше экспериментальных данных свидетельствует о том, что не сероводород, а полисульфиды отвечают за эту посттрансляционную модификацию белков [101]. Было показано, что полисульфиды и персульфиды обладают антиоксидантным и противовоспалительным действием. Они гораздо эффективнее нейтрализуют пероксид водорода, чем H₂S. Эти соединения также ингибируют синтез таких факторов, как TNF-α и IFN-β, которые продуцируются макрофагами в ответ на вызванную липополисахаридами активацию Toll-подобного рецептора 4-го типа (TLR4) [102]. В экспериментах с индукцией развития гепатита при помощи конканавалина-А также была показана противовоспалительная активность полисульфидов. Пероральное введение дипропилполисульфидов экспериментальным животным приводило к снижению экспрессии таких маркеров воспаления, как IL-1β, IL-12 и IL-16, при одновременном повышении экспрессии противовоспалительного маркера – IL-10 [103].
Однако существует большое количество данных о том, что H₂S обладает и провоспалительной активностью. Так, например, при исследовании панкреатита было показано, что уровень H₂S, вырабатываемого ЦБС и ЦГЛ, повышен на фоне признаков воспаления и развития острой фазы заболевания. Применение ингибиторов ферментов синтеза H₂S способствовало облегчению течения болезни [104]. При этом доноры, обеспечивающие медленное высвобождение сероводорода, также демонстрировали противовоспалительное воздействие [105]. В печени наблюдается наибольший конститутивный уровень экспрессии ЦГЛ, что приводит к достаточному высокому базовому уровню H₂S. Это закономерно, учитывая, что печень – ключевой орган для производства и выведения H₂S [106]. Эндогенно вырабатываемый H₂S участвует в регуляции метаболизма глюкозы, липидов и ксенобиотиков в печени [107]. Изменение уровня эндогенной продукции H₂S приводит к ряду заболеваний печени, включая фиброз, цирроз, а также некоторые виды онкологических заболеваний [108]. Низкий уровень H₂S обеспечивает цитопротекторный эффект, в то время как высокая концентрация H₂S может оказывать гепатотоксическое действие [109]. Кроме того, H₂S принимает участие в некоторых аспектах функционирования почек, например, в регуляции водно-солевого баланса – скорости клубочковой фильтрации и реабсорбции натрия и калия [110]. Ферменты, ответственные за биосинтез H₂S (ЦБС, ЦГЛ и 3-MСT), обнаруживаются практически во всех частях почки, при этом в проксимальных канальцах уровень их экспрессии относительно высок [111, 112]. При развитии сепсиса наблюдают повышенный уровень H₂S в плазме крови и повышенный уровень экспрессии ЦГЛ, в то время как введение ингибиторов фермента способствует снижению уровня инфильтрации почек лейкоцитами [113].
Таким образом, роль АФС в реакциях воспаления неоднозначна и требует дополнительного исследования. Широко применяемый метод терапии и подавления воспалительных реакций – использование стероидных гормонов и иммуносупрессоров, однако эти средства обладают широким спектром побочных эффектов. Данные, полученные за последние несколько лет, свидетельствуют в пользу того, что потенциальными терапевтическими агентами могут служить доноры АФС, однако при их использовании следует учитывать скорость высвобождения АФС.
4. ДЕТЕКЦИЯ АФС
Существуют два основных подхода к детекции АФС: прямой, когда определяется концентрация эффекторной молекулы, и косвенный, при котором анализируются АФС-опосредованные модификации белков. В данном разделе мы остановимся на основных методах определения уровней H₂S, пер- и полисульфидов.
4.1. Прямая детекция АФС
Методы этой группы позволяют количественно или полуколичественно определять концентрацию целевых соединений в биологических образцах. В целом их можно разделить на две большие группы. К первой относятся методы, которые можно применять для мониторинга внутри- или внеклеточных концентраций АФС in vivo, ко второй –методы in vitro, подразумевающие получение препаратов с нарушением целостности исследуемых объектов.
4.2. Методы прижизненной детекции АФС
Для прижизненного исследования подходят различные инструменты визуализации, такие как флуоресцентные красители, генетически кодируемые флуоресцентные биосенсоры и методы, основанные на принципе гигантского комбинационного рассеяния [114, 115].
Среди флуоресцентных красителей выделяют несколько групп. Механизм их функционирования основан на различных реакционных свойствах АФС (рис. 7): нуклеофильных, окислительно-восстановительных и способности преципитировать ионы металлов.
Рис. 7. Флуоресцентные красители для детекции H₂S (а–г) и сульфановых соединений (д, е). (а, б) – Представители красителей, восстанавливающих H₂S до аминогруппы из азидной группы (а) или нитрогруппы (б); (в) – красители с двумя электрофильными группами, показана дискриминация H₂S от других тиоловых агентов; (г) – преципитационный краситель, основанный на образовании CuS из Cu²⁺, приводящем к усилению флуоресценции; (д, е) – красители, реагирующие с сульфановыми соединениями на основе нуклеофильных (д) или электрофильных (е) групп с последующим усилением флуоресценции.
Одна из наиболее широко представленных групп красителей использует окислительно-восстановительные свойства H₂S [116]. Разработано большое количество проб, способных восстанавливаться при реакции с H₂S, самые широко представленные из них содержат азидную (–N3, рис. 7а) или нитрогруппу (–NO2, рис. 7б) и превращаются в соответствующие аминопроизводные, меняя при этом флуоресцентные свойства [117–119]. Данные красители, однако, реагируют необратимо и отличаются довольно низкими характерными скоростями реакций с H₂S, кроме того, остается неясной степень интерференции других внутриклеточных восстановителей, например, тиолов. H₂S может вступать в двойные нуклеофильные реакции (реакция (4)), в то время как монозамещенные тиолы (глутатион, цистеин), более широко представленные в клетке, могут вступать только в одну нуклеофильную реакцию (реакция (3)). На основе этого созданы флуоресцентные зонды с двумя электрофильными центрами, способные отличать H₂S от похожих соединений. H₂S способен реагировать с более электрофильной частью красителя с образованием промежуточного продукта, содержащего свободную SH-группу, которая, в свою очередь, может подвергаться присоединению по Михаэлю или спонтанной циклизации с изменением параметров флуоресценции зонда [120] (рис. 7в). Существуют также красители, работающие на основе механизмов присоединения H₂S по двойным углерод-углеродным связям [121, 122], а также на реакциях тиолиза [123]. Третья из основных групп красителей основана на крайне низких произведениях растворимости сульфидов меди(II) и цинка (ПРCuS = 6.4 × 10–36; ПРZnS = 1.6 × 10–24) [124]. Ион металла в хелатированной форме выступает в качестве тушителя флуоресценции, при реакции с H₂S происходит образование соответствующего сульфида, сопровождающееся значительным усилением флуоресценции (рис. 7г) [125]. Для проб этого типа также неясны паттерны селективности, поскольку хелатировать или восстанавливать, например, ионы Cu²⁺, могут тиолы и NO. Кроме того, наиболее эффективно хелатирование происходит с формой S2–, которая наименее представлена при физиологических значениях рН (рН 7.0–7.5) [126].
Зонды для детекции сульфановых соединений основаны на реакциях либо нуклеофильных (рис. 7д), либо электрофильных (рис. 7е) групп красителя с аналитом с образованием ковалентных аддуктов и последующим усилением флуоресценции за счет высвобождения флуорофорной части или, наоборот, за счет ослабления тушения [127–129].
Синтетические красители обладают рядом недостатков, осложняющих их применение в биологических системах, среди них – цитотоксичность, низкая степень прохождения через клеточные мембраны, зачастую необратимость (одноразовость) ответа. Также с точки зрения практического применения коммерчески доступны менее десятка из описанных красителей. Однако главный недостаток таких красителей – ограничения, связанные с применением in vivo или направленной локализации в определенных внутриклеточных компартментах.
В качестве решения данной проблемы хорошо подходят генетически кодируемые флуоресцентные биосенсоры на основе GFP-подобных белков, которые могут быть легко направлены в различные клеточные компартменты (например, в ядро, матрикс и межмембранное пространство митохондрий, ЭПР). Такие инструменты во многих случаях представляют безальтернативный подход к изучению соединений с высокой реакционной способностью в условиях in vivo. Для детекции H₂S был создан такой белковый биосенсор cpGFP-Tyr66pAzF на основе GFP, однако он содержит хромофор, который синтезируется из неприродной аминокислоты – п-азидофенилтирозина (pAzF) [130]. Данная аминокислота встраивается на место остатка тирозина в последовательность биосенсора и участвует в созревании хромофора, формируя структуру, которая не демонстрирует флуоресцентных свойств по аналогии с азидными красителями, рассмотренными выше. Однако при реакции с H₂S азидная группа восстанавливается до аминогруппы, что приводит к значительному усилению флуоресценции. Из недостатков следует отметить необратимость данной модификации, поэтому биосенсор cpGFP-Tyr66pAzF имеет “одноразовый” характер действия. Данный тип сенсоров не получил широкого применения на практике в основном из-за сложности применения не только в моделях in vivo, но и на клеточных культурах, поскольку для сборки такого биосенсора в клеточной системе необходимо внедрять не только его ген, но и соответствующую аминокислоту, ген аминоацил-тРНК-синтетазы и аминоацил-тРНК.
Другие генетически кодируемые флуоресцентные биосенсоры для регистрации сульфановых соединений psGFP и psRFP (модифицированный mCherry) основаны на внедрении двух остатков цистеина вблизи хромофора. Эти редоксактивные остатки цистеина расположены на расстоянии, не позволяющем сформировать между ними дисульфидную связь, но доступном для образования трисульфидной связи при взаимодействии с пер- и полисульфидами. Формирование связи между указанными остатками флуоресцентного белка приводит к изменению его спектральных характеристик [131, 132]. Биосенсоры такого типа неселективны, поскольку способны вступать в реакцию со множеством биологически значимых окислителей [133, 134].
4.3. Биохимические методы детекции АФС
Существует большое разнообразие биохимических подходов, связанных с анализом ex vivo образцов или гомогенатов, которые позволяют провести достаточно точную количественную оценку исследуемых модификаций, однако при этом теряется информация о пространственной и временной динамике АФС. Возможны также артефакты измерений, связанные с высвобождением лабильной серы, например, из железосерных кластеров, а также с потерями из выделяемых образцов газообразного H₂S при физиологических значениях рН [135]. Анализу применений и особенностей данных методов посвящено большое количество работ [6, 125, 136–138]. Среди них наиболее распространены подходы для детекции H₂S с использованием колориметрических методов c образованием производных, например, на основе метиленового синего [139]. Также широко распространено применение высокоэффективной хроматографии с прямой хемилюминесцентной детекцией [140], с детекцией флуоресценции производных монобромбимана и H₂S [141], а также сочетание с масс-спектрометрическими подходами [64].
Интересным подходом для оптимизации скорости измерений и возможности миниатюризации приборов с целью их последующей имплантации в живые организмы могут быть электрохимические сенсоры на основе ион-селективных [142] или полярографических электродов [143]. Однако представленные на сегодняшний день такие подходы характеризуются отличающейся на порядки чувствительностью, поэтому “золотой стандарт” измерения H₂S в биологических образцах по-прежнему отсутствует. Измерение однотипных образцов указанными методами приводит к противоречивым оценкам уровня H₂S [144, 145].
Для измерения уровней сульфановых соединений используются методы холодного цианолиза [24, 146], ВЭЖХ производных алкилирующих агентов монобромбимана [64] или иодацетамида [147], совмещенной с масс-спектрометрией, а также изотопное разбавление, совмещенное с масс-спектрометрией [148]. Для большинства данных методов характерна проблема селективности в отношении какой-либо группы сульфановых соединений, что особенно осложняется при работе со сложными биологическими образцами (гомогенатами, биологическими жидкостями), к тому же персульфиды демонстрируют низкую стабильность при пробоподготовке. Вследствие этого наблюдаются довольно сильные расхождения в оценках уровней сульфановых соединений для схожих образцов с применением данных методов [24, 146].
4.4. Детекция АФС-опосредованных модификаций белков
Широко распространены методы анализа конечных продуктов реакций АФС – модифицированных белковых молекул, которые изменяют свои свойства или активность в клетке. Среди рассматриваемых модификаций в первую очередь представляют интерес персульфиды и полисульфиды остатков цистеина. Несмотря на то, что данные подходы зачастую позволяют определять белковые регуляторные мишени и даже конкретные модифицированные остатки, все же оказывается невозможным напрямую связать изменение уровней АФС с изменением паттернов модификаций. Данные методы не всегда количественные, а также они не позволяют следить за процессами с высоким временным разрешением, хотя бы в минутной или даже часовой динамике. Напрямую оценивать наличие подобных модификаций трудно, во-первых, из-за нестабильности персульфидной группы, в том числе при масс-спектрометрии, а во-вторых, из-за крайней схожести в Δm/z при персульфидировании и окислении до остатков сульфиновой кислоты [149]. Популярный подход – применение ковалентных меток, специфически реагирующих с АФС-модифицированными остатками цистеина. Важно, чтобы при этом они не вступали во взаимодействия с альтернативными модификациями остатков. Одним из первых подобных подходов стал метод на основе S-метилметантиосульфоната (ММТС) и N-[6-(биотинамидо)гексил]-3′-(2′-пиридилтио)пропионамида (биотин-ГПДП), которые последовательно добавляют к образцу, в результате чего происходит специфическое биотинилирование персульфидированных белков с последующим их выделением на стрептавидиновом носителе (рис. 8а). Далее фракцию полученных персульфидированных белков можно анализировать с помощью иммуноблоттинга или масс-спектрометрически [150]. Однако было показано, что при данном методе происходит биотинилирование, в том числе немодифицированных остатков цистеина, а также образование внутри- и межмолекулярных дисульфидных связей [6, 151].
Рис. 8. Подходы для детекции АФС-опосредованных модификаций белков и пептидов. ММТС – S-метилметантиосульфонат, биотин-ГПДП – N-[6-(биотинамидо)гексил]-3′-(2′-пиридилтио)пропионамид, ДТТ – дитиотреитол, ПЭГ₂ – полиэтиленгликоль, МСБТ – метилсульфонилбензотиазол. Пояснения см. в тексте.
Простой в использовании метод – обработка образца флуоресцентным производным N-этилмалеимида (NEM-Cy5), алкилирующим как остатки цистеина, так и его персульфидированные модификации [14]. После обработки восстанавливающим агентом (ДТТ) флуоресценция персульфидированных белков снижается из-за диссоциации флуоресцентной метки, что можно детектировать в параллельных электрофоретических разделениях (рис. 8б). Стоит заметить, что для NEM показана способность реагировать с аминогруппами [152], что снижает селективность данного метода. Для оптимизации такого подхода с целью получения более высокого разрешения применяют биотин-конъюгированные производные NEM, которые позволяют после трипсинолиза провести очистку полученных пептидов, содержащих персульфидированные остатки цистеина, с последующим анализом методами ВЭЖХ-МС (рис. 8в) [24, 153]. Модификации данной методики в совокупности с использованием изотопных меток позволяют проводить количественные протеомные исследования, однако анализ может быть затруднен из-за перекрестной реактивности производных NEM с остатками сульфеновых кислот цистеина [154]. Проблема, связанная с занижением оценок уровней модифицированных остатков для рассмотренного выше метода, может быть решена в подходах, в которых сорбция осуществляется только для персульфидированных остатков. В одной из методик было предложено применение метилсульфонилбензотиазола (МСБТ) в качестве блокирующего агента, модифицирующего как тиоловые, так и персульфидные группы. Однако аддукт персульфида и МСБТ с повышенной электрофильностью на следующей стадии методики становится мишенью либо флуоресцентных (CN-Cy3), либо биотинилированных производных (CN-биотин) цианоуксусной кислоты (рис. 8г), для последних в дальнейшем производится аффинная очистка с дальнейшим масс-спектрометрическим анализом [57]. Недостатки данного подхода – низкая растворимость производных МСБТ в водных растворах и низкая стабильность цианоацетатных аддуктов при МС-анализе [24, 153]. Авторами данной методики был предложен ряд изменений, облегчающих процедуру эксперимента за счет использования коммерчески более доступных и более селективных в отношении персульфидов реагентов [77].
Данные протеомных исследований, полученные, по большей части, описанными выше методами, разнятся в оценках представленности персульфидных модификаций остатков цистеинов белков от ~5% (для протеома MIN6 панкреатической линии клеток мыши) до 0.15% (для протеома линии HEK293). Такая разница может действительно отражать физиологические различия разных типов клеток, но может быть получена и из-за применения разных подходов [66, 153]. Поэтому разработка надежных методов исследования динамики АФС и определение модификаций их мишеней по-прежнему остается актуальной задачей.
5. ЗАКЛЮЧЕНИЕ
Активные формы серы – важные участники различных сигнальных каскадов, регулирующих как физиологические, так и патофизиологические процессы в живых системах. Существуют убедительные доказательства того, что нарушения синтеза или катаболизма АФС коррелируют с развитием таких социально значимых заболеваний, как болезнь Альцгеймера, боковой амиотрофический склероз, болезнь Паркинсона, диабет, заболевания сердечно-сосудистой системы и др. [155]. В последнее время как доноры H₂S, так и сами АФС находят все более активное применение в качестве терапевтических агентов [156, 157]. Однако несмотря на достигнутый в последние десятилетия прогресс в установлении механизмов образования, катаболизма и воздействия АФС, многое еще остается малоизученным, не в последнюю очередь, в связи с отсутствием инструментов, позволяющих с высокой селективностью и высоким временным разрешением проводить исследования в условиях in vivo. В связи с этим развитие методов детекции АФС остается одной из актуальных задач как современной химии, так и биотехнологических исследований. Расширение палитры красителей и генетически кодируемых инструментов позволит как увеличить пул информации об участии H₂S и его производных в биологических процессах, так и подобрать потенциальные мишени и препараты для борьбы с различными заболеваниями.
ФОНДОВАЯ ПОДДЕРЖКА
Работа выполнена при поддержке Российского научного фонда (грант № 221500299).
СОБЛЮДЕНИЕ ЭТИЧЕСКИХ СТАНДАРТОВ
Настоящая статья не содержит описания исследований с участием людей или использованием животных в качестве объектов исследования.
КОНФЛИКТ ИНТЕРЕСОВ
Авторы заявляют об отсутствии конфликта интересов.
About the authors
R. I. Raevsky
Shemyakin–Ovchinnikov Institute of Bioorganic Chemistry, Russian Academy of Sciences; Center for Precision Genome Editing and Genetic Technologies for Biomedicine, Pirogov Russian National Research Medical University
Email: d.s.bilan@gmail.com
Russian Federation, ul. Miklukho-Maklaya 16/10, Moscow, 117997; ul. Ostrovityanova 1, Moscow, 117997
V. A. Katrukha
Shemyakin–Ovchinnikov Institute of Bioorganic Chemistry, Russian Academy of Sciences; Faculty of Biology, Department of Biochemistry, Lomonosov Moscow State University
Email: yul.khramova@gmail.com
Russian Federation, ul. Miklukho-Maklaya 16/10, Moscow, 117997; Leninskye gory 1/12, Moscow, 119234
Y. V. Khramova
Shemyakin–Ovchinnikov Institute of Bioorganic Chemistry, Russian Academy of Sciences; Faculty of Biology, Department of Biochemistry, Lomonosov Moscow State University
Author for correspondence.
Email: yul.khramova@gmail.com
Russian Federation, ul. Miklukho-Maklaya 16/10, Moscow, 117997; Leninskye gory 1/12, Moscow, 119234
D. S. Bilan
Shemyakin–Ovchinnikov Institute of Bioorganic Chemistry, Russian Academy of Sciences; Center for Precision Genome Editing and Genetic Technologies for Biomedicine, Pirogov Russian National Research Medical University
Email: d.s.bilan@gmail.com
Russian Federation, ul. Miklukho-Maklaya 16/10, Moscow, 117997; ul. Ostrovityanova 1, Moscow, 117997
References
- Abe K., Kimura H. // J. Neurosci. 1996. V. 16. P. 1066– 1071. https://doi.org/10.1523/JNEUROSCI.16-03-01066.1996
- Zhao W., Zhang J., Lu Y., Wang R. // EMBO J. 2001. V. 20. P. 6008–6016. https://doi.org/10.1093/emboj/20.21.6008
- Giles G.I., Jacob C. // Biol. Chem. 2002. V. 383. P. 375–388. https://doi.org/10.1515/BC.2002.042
- Szabó C. // Nat. Rev. Drug Discov. 2007. V. 6. P. 917–935. https://doi.org/10.1038/nrd2425
- Li L., Rose P., Moore P.K. // Annu. Rev. Pharmacol. Toxicol. 2011. V. 51. P. 169–187. https://doi.org/10.1146/annurev-pharmtox-010510-100505
- Filipovic M.R., Zivanovic J., Alvarez B., Banerjee R. // Chem. Rev. 2018. V. 118. P. 1253–1337. https://doi.org/10.1021/acs.chemrev.7b00205
- Szabo C. // Biochem. Pharmacol. 2018. V. 149. P. 5–19. https://doi.org/10.1016/j.bcp.2017.09.010
- Cao X., Ding L., Xie Z.Z., Yang Y., Whiteman M., Moore P.K., Bian J.S. // Antioxid. Redox Signal. 2019. V. 31. P. 1–38. https://doi.org/10.1089/ars.2017.7058
- Li Q., Lancaster J.R. // Nitric Oxide. 2013. V. 35. P. 21–34. https://doi.org/10.1016/j.niox.2013.07.001
- Shen Y., Shen Z., Luo S., Guo W., Zhu Y.Z. // Oxid. Med. Cell Longev. 2015. V. 2015. P. 925167. https://doi.org/10.1155/2015/925167
- Zhu Y.Z., Wang Z.J., Ho P., Loke Y.Y., Zhu Y.C., Huang S.H., Tan C.S., Whiteman M., Lu J., Moore P.K. // J. Appl. Physiol. 2007. V. 102. P. 261–268. https://doi.org/10.1152/japplphysiol.00096.2006
- Hosoki R., Matsuki N., Kimura H. // Biochem. Biophys. Res. Commun. 1997. V. 237. P. 527–531. https://doi.org/10.1006/bbrc.1997.6878
- Sivarajah A., Collino M., Yasin M., Benetti E., Gallicchio M., Mazzon E., Cuzzocrea S., Fantozzi R., Thiemermann C. // Shock. 2009. V. 31 P. 267–274. https://doi.org/10.1097/SHK.0b013e318180ff89
- Sen N., Paul B.D., Gadalla M.M., Mustafa A.K., Sen T., Xu R., Kim S., Snyder S.H. // Mol. Cell. 2012. V. 45. P. 13–24. https://doi.org/10.1016/j.molcel.2011.10.021
- Dilek N., Papapetropoulos A., Toliver-Kinsky T., Szabo C. // Pharmacol. Res. 2020. V. 161. P. 105119. https://doi.org/10.1016/j.phrs.2020.105119
- Wang R. // Physiol. Rev. 2012. V. 92. P. 791– 896. https://doi.org/10.1152/physrev.00017.2011
- Ono K., Akaike T., Sawa T., Kumagai Y., Wink D.A., Tantillo D.J., Hobbs A.J., Nagy P., Xian M., Lin J., Fukuto J.M. // Free Radic. Biol. Med. 2014. V. 77. P. 82–94. https://doi.org/10.1016/j.freeradbiomed.2014.09.007
- Singh S., Lin H. // Microorganisms. 2015. V. 3. P. 866–889. https://doi.org/10.3390/microorganisms3040866
- Hellmich M.R., Szabo C. // Handb. Exp. Pharmacol. 2015. V. 230. P. 233–241. https://doi.org/10.1007/978-3-319-18144-8_12
- Hershey J.P., Plese T., Millero F.J. // Geochim. Cosmochim. Acta. 1988. V. 52. P. 2047–2051. https://doi.org/10.1016/0016-7037(88)90183-4
- Fathe K., Holt J.S., Oxley S.P., Pursell C.J. // J. Phys. Chem. A. 2006. V. 110. P. 10793–10798. https://doi.org/10.1021/jp0634104
- Myers R.J. // J. Chem. Educ. 1986. V. 63. P. 687–690. https://doi.org/10.1021/ed063p687
- May P.M., Batka D., Hefter G., Königsberger E., Rowland D. // Chem. Commun. 2018. V. 54. P. 1980– 1983. https://doi.org/10.1039/C8CC00187A
- Cuevasanta E., Lange M., Bonanata J., Coitiño E.L., Ferrer-Sueta G., Filipovic M.R., Alvarez B. // J. Biol. Chem. 2015. V. 290. P. 26866–26880. https://doi.org/10.1074/jbc.M115.672816
- Armstrong D.A., Huie R.E., Koppenol W.H., Lymar S.V., Merenyi G., Neta P., Ruscic B., Stanbury D.M., Steenken S., Wardman P. // Pure Appl. Chem. 2015. V. 87. P. 1139–1150. https://doi.org/10.1515/pac-2014-0502
- Koppenol W.H., Bounds P.L. // Arch. Biochem. Biophys. 2017. V. 617. P. 3–8. https://doi.org/10.1016/j.abb.2016.09.012
- Wedmann R., Zahl A., Shubina T.E., Dürr M., Heinemann F.W., Bugenhagen B.E.C., Burger P., Ivanovic-Burmazovic I., Filipovic M.R. // Inorg. Chem. 2015. V. 54. P. 9367–9380. https://doi.org/10.1021/acs.inorgchem.5b00831
- Kolluru G.K., Shen X., Kevil C.G. // Redox Biol. 2013. V.1. P. 313–318. https://doi.org/10.1016/j.redox.2013.05.001
- Miranda K.M., Paolocci N., Katori T., Thomas D.D., Ford E., Bartberger M.D., Espey M.G., Kass D.A., Feelisch M., Fukuto J.M., Wink D.A. // Proc. Natl. Acad. Sci. USA. 2003. V. 100. P. 9196–9201. https://doi.org/10.1073/pnas.1430507100
- Mathai J.C., Missner A., Kügler P., Saparov S.M., Zeidel M.L., Lee J.K., Pohl P. // Proc. Natl. Acad. Sci. USA. 2009. V. 106. P. 16633–16638. https://doi.org/10.1073/pnas.0902952106
- Gadalla M.M., Snyder S.H. // J. Neurochem. 2010. V. 113. P. 14–26. https://doi.org/10.1111/j.1471-4159.2010.06580.x
- Kabil O., Banerjee R. // Antioxid. Redox Signal. 2014. V. 20. P. 770–782. https://doi.org/10.1089/ars.2013.5339
- Paul B.D., Snyder S.H. // Trends Biochem. Sci. 2015. V. 40. P. 687–700. https://doi.org/10.1016/j.tibs.2015.08.007
- Banerjee R., Zou C.G. // Arch. Biochem. Biophys. 2005. V. 433. P. 144–156. https://doi.org/10.1016/j.abb.2004.08.037
- Singh S., Madzelan P., Banerjee R. // Nat. Prod. Rep. 2007. V. 24. P. 631–639. https://doi.org/10.1039/b604182p
- Vicente J.B., Colaço H.G., Sarti P., Leandro P., Giuffrè A. // J. Biol. Chem. 2016. V. 291. P. 572–581. https://doi.org/10.1074/jbc.M115.681221
- Vitvitsky V., Thomas M., Ghorpade A., Gendelman H.E., Banerjee R. // J. Biol. Chem. 2006. V. 281. P. 35785–35793. https://doi.org/10.1074/jbc.M602799200
- Kimura H. // Exp. Physiol. 2011. V. 96. P. 833–835. https://doi.org/10.1113/expphysiol.2011.057455
- Chiku T., Padovani D., Zhu W., Singh S., Vitvitsky V., Banerjee R. // J. Biol. Chem. 2009. V. 284. P. 11601– 11612. https://doi.org/10.1074/jbc.M808026200
- Yang G., Wu L., Jiang B., Yang W., Qi J., Cao K., Meng Q., Mustafa A.K., Mu W., Zhang S., Snyder S.H., Wang R. // Science. 2008. V. 322. P. 587–590. https://doi.org/10.1126/science.1162667
- Huang J., Niknahad H., Khan S., O’Brien P.J. // Biochem. Pharmacol. 1998. V. 55. P. 1983–1990. https://doi.org/10.1016/s0006-2952(98)00072-0
- Westrop G.D., Georg I., Coombs G.H. // J. Biol. Chem. 2009. V. 284. P. 33485–33494. https://doi.org/10.1074/jbc.M109.054320
- Kolluru G.K., Shen X., Bir S.C., Kevil C.G. // Nitric Oxide. 2013. V. 35. P. 5–20. https://doi.org/10.1016/j.niox.2013.07.002
- Domán A., Dóka É., Garai D., Bogdándi V., Balla G., Balla J., Nagy P. // Redox Biol. 2023. V. 60. P. 102617. https://doi.org/10.1016/j.redox.2023.102617
- Pietri R., Román-Morales E., López-Garriga J. // Antioxid. Redox Signal. 2011. V. 15. P. 393–404. https://doi.org/10.1089/ars.2010.3698
- Nicholls P., Kim J.K. // Biochim. Biophys. Acta. 1981. V. 637. P. 312–320. https://doi.org/10.1016/0005-2728(81)90170-5
- Collman J.P., Ghosh S., Dey A., Decréau R.A. // Proc. Natl. Acad. Sci. USA. 2009. V. 106. P. 22090– 22095. https://doi.org/10.1073/pnas.0904082106
- Nicholls P. // Biochem. Soc. Trans. 1975. V. 3. P. 316– 319. https://doi.org/10.1042/bst0030316
- Vitvitsky V., Yadav P.K., An S., Seravalli J., Cho U.S., Banerjee R. // J. Biol. Chem. 2017. V. 292. P. 5584– 5592. https://doi.org/10.1074/jbc.M117.774943
- Goubern M., Andriamihaja M., Nübel T., Blachier F., Bouillaud F. // FASEB J. 2007. V. 21. P. 1699–1706. https://doi.org/10.1096/fj.06-7407com
- Kabil O., Banerjee R. // J. Biol. Chem. 2010. V. 285. P. 21903–21907. https://doi.org/10.1074/jbc.R110.128363
- Pedre B., Talwar D., Barayeu U., Schilling D., Luzarowski M., Sokolowski M., Glatt S., Dick T.P. // Nat. Chem. Biol. 2023. V. 19. P. 507–517. https://doi.org/10.1038/s41589-022-01244-8
- Bianco C.L., Akaike T., Ida T., Nagy P., Bogdandi V., Toscano P., Kumagai Y., Henderson C.F., Goddu R.N., Lin J., Fukuto J.M. // Br. J. Pharmacol. 2019. V. 176. P. 671–683. https://doi.org/10.1111/bph.14372
- Toohey J.I., Cooper A.J.L. // Molecules. 2014. V. 19. P. 12789–12813. https://doi.org/10.3390/molecules190812789
- Jüdes A., Bruch A., Klassen R., Helm M., Schaffrath R. // Microb. Cell. 2016. V. 3. P. 554–564. https://doi.org/10.15698/mic2016.11.539
- Kimura Y., Koike S., Shibuya N., Lefer D., Ogasawara Y., Kimura H. // Sci. Rep. 2017. V. 7. P. 10459. https://doi.org/10.1038/s41598-017-11004-7
- Zhang D., MacInkovic I., Devarie-Baez N.O., Pan J., Park C.M., Carroll K.S., Filipovic M.R., Xian M. // Angew. Chem. Int. Ed. Engl. 2014. V. 53. P. 575–581. https://doi.org/10.1002/anie.201305876
- Cortese-Krott M.M., Fernandez B.O., Santos J.L.T., Mergia E., Grman M., Nagy P., Kelm M., Butler A., Feelisch M. // Redox Biol. 2014. V. 2. P. 234– 244. https://doi.org/10.1016/j.redox.2013.12.031
- Akaike T., Ida T., Wei F.Y., Nishida M., Kumagai Y., Alam M.M., Ihara H., Sawa T., Matsunaga T., Kasamatsu S., Nishimura A., Morita M., Tomizawa K., Nishimura A., Watanabe S., Inaba K., Shima H., Tanuma N., Jung M., Fujii S., Watanabe Y., Ohmuraya M., Nagy P., Feelisch M., Fukuto J.M., Motohashi H. // Nat. Commun. 2017. V. 8. P. 1177. https://doi.org/10.1038/s41467-017-01311-y
- Mishanina T.V., Libiad M., Banerjee R. // Nat. Chem. Biol. 2015. V. 11. P. 457–464. https://doi.org/10.1038/nchembio.1834
- Toohey J.I. // Anal. Biochem. 2011. V. 413. P. 1–7. https://doi.org/10.1016/j.ab.2011.01.044
- Fukuto J.M., Ignarro L.J., Nagy P., Wink D.A., Kevil C.G., Feelisch M., Cortese-Krott M.M., Bianco C.L., Kumagai Y., Hobbs A.J., Lin J., Ida T., Akaike T. // FEBS Lett. 2018. V. 592. P. 2140–2152. https://doi.org/10.1002/1873-3468.13090
- Kimura H. // Molecules. 2014. V. 19. P. 16146–16157. https://doi.org/10.3390/molecules191016146
- Ida T., Sawa T., Ihara H., Tsuchiya Y., Watanabe Y., Kumagai Y., Suematsu M., Motohashi H., Fujii S., Matsunaga T., Yamamoto M., Ono K., DevarieBaez N.O., Xian M., Fukuto J.M., Akaike T. // Proc. Natl. Acad. Sci. USA. 2014. V. 111. P. 7606–7611. https://doi.org/10.1073/pnas.1321232111
- Wedmann R., Onderka C., Wei S., Szijártó I.A., Miljkovic J.L., Mitrovic A., Lange M., Savitsky S., Yadav P.K., Torregrossa R., Harrer E.G., Harrer T., Ishii I., Gollasch M., Wood M.E., Galardon E., Xian M., Whiteman M., Banerjee R., Filipovic M.R. // Chem. Sci. 2016. V. 7. P. 3414–3426. https://doi.org/10.1039/C5SC04818D
- Dóka É., Pader I., Bíró A., Johansson K., Cheng Q., Ballagó K., Prigge J.R., Pastor-Flores D., Dick T.P., Schmidt E.E., Arnér E.S.J., Nagy P. // Sci. Adv. 2016. V. 2. P. 1500968. https://doi.org/10.1126/sciadv.1500968
- O’Neill L.A.J., Kaltschmidt C. // Trends Neurosci. 1997. V. 20. P. 252–258. https://doi.org/10.1016/S0166-2236(96)01035-1
- Lee Z.W., Teo X.Y., Tay E.Y.W., Tan C.H., Hagen T., Moore P.K., Deng L.W. // Br. J. Pharmacol. 2014. V. 171. P. 4322–4336. https://doi.org/10.1111/bph.12773
- Zhao K., Ju Y., Li S., Altaany Z., Wang R., Yang G. // EMBO Rep. 2014. V. 15. P. 792–800. https://doi.org/10.1002/embr.201338213
- Jiang B., Tang G., Cao K., Wu L., Wang R. // Antioxid. Redox Signal. 2010. V. 12. P. 1167–1178. https://doi.org/10.1089/ars.2009.2894
- Shaidullov I.F., Shafigullin M.U., Gabitova L.M., Sitdikov F.G., Zefirov A.L., Sitdikova G.F. // J. Evol. Biochem. Phys. 2018. V. 54. P. 400–407. https://doi.org/10.1134/S0022093018050083
- Papapetropoulos A., Pyriochou A., Altaany Z., Yang G., Marazioti A., Zhou Z., Jeschke M.G., Branski L.K., Herndon D.N., Wang R., Szabó C. // Proc. Natl. Acad. Sci. USA. 2009. V. 106. P. 21972–21977. https://doi.org/10.1073/pnas.0908047106
- Eberhardt M., Dux M., Namer B., Miljkovic J., Cordasic N., Will C., Kichko T.I., de la Roche J., Fischer M., Suárez S.A., Bikiel D., Dorsch K., Leffler A., Babes A., Lampert A., Lennerz J.K., Jacobi J., Martí M.A., Doctorovich F., Högestätt E.D., Zygmunt P.M., Ivanovic-Burmazovic I., Messlinger K., Reeh P., Filipovic M.R. // Nat. Commun. 2014. V. 5. P. 4381. https://doi.org/10.1038/ncomms5381
- Altaany Z., Ju Y., Yang G., Wang R. // Sci. Signal. 2014. V. 7. P. ra87. https://doi.org/10.1126/scisignal.2005478
- Bucci M., Papapetropoulos A., Vellecco V., Zhou Z., Zaid A., Giannogonas P., Cantalupo A., Dhayade S., Karalis K.P., Wang R., Feil R., Cirino G. // PLoS One. 2012. V. 7. P. e53319. https://doi.org/10.1371/journal.pone.0053319
- Paulsen C.E., Truong T.H., Garcia F.J., Homann A., Gupta V., Leonard S.E., Carroll K.S. // Nat. Chem. Biol. 2011. V. 8. P. 57–64. https://doi.org/10.1038/nchembio.736
- Zivanovic J., Kouroussis E., Kohl J.B., Adhikari B., Bursac B., Schott-Roux S., Petrovic D., Miljkovic J.L., Thomas-Lopez D., Jung Y., Miler M., Mitchell S., Milosevic V., Gomes J.E., Benhar M., Gonzales-Zorn B., Ivanovic-Burmazovic I., Torregrossa R., Mitchell J.R., Whiteman M., Schwarz G., Snyder S.H., Paul B.D., Carroll K.S., Filipovic M.R. // Cell Metab. 2019. V. 30. P. 1152–1170.e13. https://doi.org/10.1016/j.cmet.2019.10.007
- Tao B.-B., Liu S.-Y., Zhang C.-C., Fu W., Cai W.-J., Wang Y., Shen Q., Wang M.-J., Chen Y., Zhang L.-J., Zhu Y.-Z., Zhu Y.-C. // Antioxid. Redox Signal. 2013. V. 19. P. 448–464. https://doi.org/10.1089/ars.2012.4565
- Wu D., Hu Q., Zhu D. // Oxid. Med. Cell Longev. 2018. P. 4579140. https://doi.org/10.1155/2018/4579140
- Kolluru G.K., Shackelford R.E., Shen X., Dominic P., Kevil C.G. // Nat. Rev. Cardiol. 2023. V. 20. P. 109– 125. https://doi.org/10.1038/s41569-022-00741-6
- Robert K., Vialard F., Thiery E., Toyama K., Sinet P.-M., Janel N., London J. // J. Histochem. Cytochem. 2003. V. 51. P. 363–371. https://doi.org/10.1177/002215540305100311
- Luo H., Wu P.-F., Han Q.-Q., Cao Y., Deng S.-L., Wang J., Deng Q., Wang F., Chen J.-G. // Antioxid. Redox Signal. 2019. V. 30. P. 1880–1899. https://doi.org/10.1089/ars.2018.7503
- García-Bereguiaín M.A., Samhan-Arias A.K., MartínRomero F.J., Gutiérrez-Merino C. // Antioxid. Redox Signal. 2008. V. 10. P. 31–42. https://doi.org/10.1089/ars.2007.1656
- Han Y., Qin J., Chang X., Yang Z., Tang X., Du J. // Biochem. Biophys. Res. Commun. 2005. V. 327. P. 431–436. https://doi.org/10.1016/j.bbrc.2004.12.028
- Rangel-Galván M., Rangel-Galván V., Rangel-Huerta A. // Front. Pharmacol. 2023. V. 14. P. 1212800. https://doi.org/10.3389/fphar.2023.1212800
- Tsubota-Matsunami M., Noguchi Y., Okawa Y., Sekiguchi F., Kawabata A. // J. Pharmacol. Sci. 2012. V. 119. P. 293–296. https://doi.org/10.1254/jphs.12086sc
- Lu M., Choo C.H., Hu L.-F., Tan B.H., Hu G., Bian J.-S. // Neurosci. Res. 2010. V. 66. P. 92–98. https://doi.org/10.1016/j.neures.2009.09.1713
- Whiteman M., Cheung N.S., Zhu Y.-Z., Chu S.H., Siau J.L., Wong B.S., Armstrong J.S., Moore P.K. // Biochem. Biophys. Res. Commun. 2005. V. 326. P. 794–798. https://doi.org/10.1016/j.bbrc.2004.11.110
- Tyagi N., Moshal K.S., Sen U., Vacek T.P., Kumar M., Hughes W.M., Kundu S., Tyagi S.C. // Antioxid. Redox Signal. 2009. V. 11. P. 25–33. https://doi.org/10.1089/ars.2008.2073
- Giuliani D., Ottani A., Zaffe D., Galantucci M., Strinati F., Lodi R., Guarini S. // Neurobiol. Learn Mem. 2013. V. 104. P. 82–91. https://doi.org/10.1016/j.nlm.2013.05.006
- Zhang H., Gao Y., Zhao F., Dai Z., Meng T., Tu S., Yan Y. // Neurochem. Int. 2011. V. 58. P. 169–175. https://doi.org/10.1016/j.neuint.2010.11.010
- Liu Y.-Y., Bian J.-S. // J. Alzheimers Dis. 2010. V. 22. P. 1189–1200. https://doi.org/10.3233/JAD-2010-101002
- Nagpure B.V., Bian J.-S. // PLoS One. 2014. V. 9. P. e88508. https://doi.org/10.1371/journal.pone.0088508
- Sbodio J.I., Snyder S.H., Paul B.D. // Proc. Natl. Acad. Sci. USA. 2016. V. 113. P. 8843–8848. https://doi.org/10.1073/pnas.1608264113
- Vandiver M.S., Paul B.D., Xu R., Karuppagounder S., Rao F., Snowman A.M., Seok Ko H., Il Lee Y., Dawson V.L., Dawson T.M., Sen N., Snyder S.H. // Nat. Commun. 2013. V. 4. P. 1626. https://doi.org/10.1038/ncomms2623
- Sun H.-J., Wu Z.-Y., Nie X.-W., Bian J.-S. // Curr. Neuropharmacol. 2021. V. 19. P. 868–884. https://doi.org/10.2174/1570159X18666200905143550
- Yang W., Yang G., Jia X., Wu L., Wang R. // J. Physiol. 2005. V. 569. P. 519–531. https://doi.org/10.1113/jphysiol.2005.097642
- Yang G., Yang W., Wu L., Wang R. // J. Biol. Chem. 2007. V. 282. P. 16567–16576. https://doi.org/10.1074/jbc.M700605200
- Pahwa R., Goyal A., Jialal I. // Chronic Inflammation / In: StatPearls. Treasure Island (FL): StatPearls Publishing, 2023.
- Soomro S. // Open J. Immunol. 2019. V. 9. P. 1–20. https://doi.org/10.4236/oji.2019.91001
- Trummer M., Galardon E., Mayer B., Steiner G., Stamm T., Kloesch B. // Nitric Oxide. 2022. V. 129. P. 41–52. https://doi.org/10.1016/j.niox.2022.09.005
- Zhang T., Tsutsuki H., Ono K., Akaike T., Sawa T. // J. Clin. Biochem. Nutr. 2021. V. 1. P. 5–8. https://doi.org/ 10.3164/jcbn.20-13
- Arsenijevic D., Stojanovic B., Milovanovic J., Arsenijevic A., Simic M., Pergal M., Kodranov I., Cvetkovic O., Vojvodic D., Ristanovic E., Manojlovic D., Milovanovic M., Arsenijevic N. // Nutrients. 2021. V. 13. P. 1022. https://doi.org/10.3390/nu13031022
- Tamizhselvi R., Moore P.K., Bhatia M. // Pancreas. 2008. V. 4. P. e24–e31. https://doi.org/10.1097/MPA.0b013e31816857bb
- Bhatia M., Gaddam R.R. // Antioxid. Redox Signal. 2021. V. 34. P. 1368–1377. https://doi.org/10.1089/ars.2020.8211
- Norris E.J., Culberson C.R., Narasimhan S., Clemens M.G. // Shock. 2011. V. 3. P. 242–250. https://doi.org/10.1097/SHK.0b013e3182252ee7
- Mani S., Cao W., Wu L., Wang R. // Nitric Oxide. 2014. V. 41. P. 62–71. https://doi.org/10.1016/j.niox.2014.02.006
- Sun H.-J., Wu Z.-Y., Nie X.-W., Wang X.-Y., Bian J.-S. // J. Adv. Res. 2021. V. 27. P. 127–135. https://doi.org/10.1016/j.jare.2020.05.010
- Tan G., Pan S., Li J., Dong X., Kang K., Zhao M., Jiang X., Kanwar J.R., Qiao H., Jiang H., Sun X. // PLoS One. 2011. V. 6. P. e25943. https://doi.org/10.1371/journal.pone.0025943
- Xia M., Chen L., Muh R.W., Li P.L., Li N. // J. Pharmacol. Exp. Ther. 2009. V. 329. P. 1056–62. https://doi.org/10.1124/jpet.108.149963
- Nagahara N., Ito T., Kitamura H., Nishino T. // Histochemistry. 1998. V. 110. P. 243–250. https://doi.org/10.1007/s004180050286
- Bos E.M., Wang R., Snijder P.M., Boersema M., Damman J., Fu M., Moser J., Hillebrands J.L., Ploeg R.J., Yang G., Leuvenink H.G., van Goor H. // J. Am. Soc. Nephrol. 2013. V. 5. P. 759–770. https://doi.org/10.1681/ASN.2012030268
- Feng J., Lu X., Li H., Wang S. // Ren. Fail. 2022. V. 44. P. 1290–1309. https://doi.org/10.1080/0886022X.2022.2107936
- Shiota M., Naya M., Yamamoto T., Hishiki T., Tani T., Takahashi H., Kubo A., Koike D., Itoh M., Ohmura M., Kabe Y., Sugiura Y., Hiraoka N., Morikawa T., Takubo K., Suina K., Nagashima H., Sampetrean O., Nagano O., Saya H., Yamazoe S., Watanabe H., Suematsu M. // Nat. Commun. 2018. V. 9. P. 1561. https://doi.org/10.1038/s41467-018-03899-1
- Honda K., Hishiki T., Yamamoto S., Yamamoto T., Miura N., Kubo A., Itoh M., Chen W.-Y., Takano M., Yoshikawa T., Kasamatsu T., Sonoda S., Yoshizawa H., Nakamura S., Itai Y., Shiota M., Koike D., Naya M., Hayakawa N., Naito Y., Matsuura T., Iwaisako K., Masui T., Uemoto S., Nagashima K., Hashimoto Y., Sakuma T., Matsubara O., Huang W., Ida T., Akaike T., Masugi Y., Sakamoto M., Kato T., Ino Y., Yoshida H., Tsuda H., Hiraoka N., Kabe Y., Suematsu M. // Redox Biol. 2021. V. 41. P. 101926. https://doi.org/10.1016/j.redox.2021.101926
- Yu F., Han X., Chen L. // Chem. Commun. 2014. V. 50. P. 12234–12249. https://doi.org/10.1039/C4CC03312D
- Lin V.S., Lippert A.R., Chang C.J. // Proc. Natl. Acad. Sci. USA. 2013. V. 110. P. 7131–7135. https://doi.org/10.1073/pnas.1302193110
- Lippert A.R., New E.J., Chang C.J. // J. Am. Chem. Soc. 2011. V. 133. P. 10078–10080. https://doi.org/10.1021/ja203661j
- Wu M.-Y., Li K., Hou J.-T., Huang Z., Yu X.-Q. // Org. Biomol. Chem. 2012. V. 10. P. 8342–8347. https://doi.org/10.1039/C2OB26235E
- Liu C., Pan J., Li S., Zhao Y., Wu L.Y., Berkman C.E., Whorton A.R., Xian M. // Angew. Chem. Int. Ed. Engl. 2011. V. 50. P. 10327–10329. https://doi.org/10.1002/anie.201104305
- Liu J., Sun Y.-Q., Zhang J., Yang T., Cao J., Zhang L., Guo W. // Chemistry. 2013. V. 19. P. 4717–4722. https://doi.org/10.1002/chem.201300455
- Chen Y., Zhu C., Yang Z., Chen J., He Y., Jiao Y., He W., Qiu L., Cen J., Guo Z. // Angew. Chem. Int. Ed. Engl. 2013. V. 52. P. 1688–1691. https://doi.org/10.1002/anie.201207701
- Pak Y.L., Li J., Ko K.C., Kim G., Lee J.Y., Yoon J. // Anal. Chem. 2016. V. 88. P. 5476–5481. https://doi.org/10.1021/acs.analchem.6b00956
- Smith R.M., Martell A.E. // Critical Stability Constants. New York: Springer, 1976. https://doi.org/10.1007/978-1-4757-5506-0
- Sasakura K., Hanaoka K., Shibuya N., Mikami Y., Kimura Y., Komatsu T., Ueno T., Terai T., Kimura H., Nagano T. // J. Am. Chem. Soc. 2011. V. 133. P. 18003–18005. https://doi.org/10.1021/ja207851s
- Kaushik R., Ghosh A., Amilan Jose D. // Coord. Chem. Rev. 2017. V. 347. P. 141–157. https://doi.org/10.1016/j.ccr.2017.07.003
- Gao M., Wang R., Yu F., Li B., Chen L. // J. Mater. Chem. B. 2018. V. 6. P. 6637–6645. https://doi.org/10.1039/c8tb01794h
- Gao M., Wang R., Yu F., You J., Chen L. // J. Mater. Chem. B. 2018. V. 6. P. 2608–2619. https://doi.org/10.1039/c7tb03200e
- Echizen H., Sasaki E., Hanaoka K. // Biomolecules. 2021. V. 11. P. 1553. https://doi.org/10.3390/biom11111553
- Chen S., Chen Z., Ren W., Ai H. // J. Am. Chem. Soc. 2012. V. 134. P. 9589–9592. https://doi.org/10.1021/ja303261d
- Hu X., Li H., Zhang X., Chen Z., Zhao R., Hou N., Liu J., Xun L., Liu H. // Anal. Chem. 2019. V. 91. P. 3893–3901. https://doi.org/10.1021/acs.analchem.8b04634
- Li Z., Wang Q., Xia Y., Xun L., Liu H. // Antioxidants. 2020. V. 9. P. 985. https://doi.org/10.3390/antiox9100985
- Müller A., Schneider J.F., Degrossoli A., Lupilova N., Dick T.P., Leichert L.I. // Free Radic. Biol. Med. 2017. V. 106. P. 329–338. https://doi.org/10.1016/j.freeradbiomed.2017.02.044
- Paulsen C.E., Carroll K.S. // Chem. Rev. 2013. V. 113. P. 4633–4679. https://doi.org/10.1021/cr300163e
- Nagy P., Pálinkás Z., Nagy A., Budai B., Tóth I., Vasas A. // Biochim. Biophys. Acta. 2014. V. 1840. P. 876–891. https://doi.org/10.1016/j.bbagen.2013.05.037
- Xu T., Scafa N., Xu L.-P., Zhou S., Al-Ghanem K.A., Mahboob S., Fugetsu B., Zhang X. // Analyst. 2016. V. 141. P. 1185–1195. https://doi.org/10.1039/C5AN02208H
- Ibrahim H., Serag A., Farag M.A. // J. Adv. Res. 2021. V. 27. P. 137–153. https://doi.org/10.1016/j.jare.2020.05.018
- Quan F.-S., Lee G.-J. // Biomed. Res. Int. 2021. V. 2021. P. 5473965. https://doi.org/10.1155/2021/5473965
- Haddad P.R., Heckenberg A.L. // J. Chromatogr. 1988. V. 447. P. 415–420. https://doi.org/10.1016/0021-9673(88)90054-4
- Vitvitsky V., Banerjee R. // Methods Enzymol. 2015. V. 554. P. 111–123. https://doi.org/10.1016/bs.mie.2014.11.013
- Wintner E.A., Deckwerth T.L., Langston W., Bengtsson A., Leviten D., Hill P., Insko M.A., Dumpit R., VandenEkart E., Toombs C.F., Szabo C. // Br. J. Pharmacol. 2010. V. 160. P. 941–957. https://doi.org/10.1111/j.1476-5381.2010.00704.x
- Wedding R.T. // Methods Enzymol. 1987. V. 143. P. 29–31. https://doi.org/10.1016/0076-6879(87)43010-3
- Doeller J.E., Isbell T.S., Benavides G., Koenitzer J., Patel H., Patel R.P., Lancaster J.R., Darley-Usmar V.M., Kraus D.W. // Anal. Biochem. 2005. V. 341. P. 40–51. https://doi.org/10.1016/j.ab.2005.03.024
- Whitfield N.L., Kreimier E.L., Verdial F.C., Skovgaard N., Olson K.R. // Am. J. Physiol. Regul. Integr. Comp. Physiol. 2008. V. 294. P. R1930–R1937. https://doi.org/10.1152/ajpregu.00025.2008
- Furne J., Saeed A., Levitt M.D. // Am. J. Physiol. Regul. Integr. Comp. Physiol. 2008. V. 295. P. R1479– R1485. https://doi.org/10.1152/ajpregu.90566.2008
- Wood J.L. // Methods Enzymol. 1987. V. 143. P. 25–29. https://doi.org/10.1016/0076-6879(87)43009-7
- Numakura T., Sugiura H., Akaike T., Ida T., Fujii S., Koarai A., Yamada M., Onodera K., Hashimoto Y., Tanaka R., Sato K., Shishikura Y., Hirano T., Yanagisawa S., Fujino N., Okazaki T., Tamada T., Hoshikawa Y., Okada Y., Ichinose M. // Thorax. 2017. V. 72. P. 1074–1083. https://doi.org/10.1136/thoraxjnl-2016-209359
- Liu C., Zhang F., Munske G., Zhang H., Xian M. // Free Radic. Biol. Med. 2014. V. 76. P. 200–207. https://doi.org/10.1016/j.freeradbiomed.2014.08.003
- Hannestad U., Margheri S., Sörbo B. // Anal. Biochem. 1989. V. 178. P. 394–398. https://doi.org/10.1016/0003-2697(89)90659-3
- Mustafa A.K., Gadalla M.M., Sen N., Kim S., Mu W., Gazi S.K., Barrow R.K., Yang G., Wang R., Snyder S.H. // Sci. Signal. 2009. V. 2. P. ra72. https://doi.org/10.1126/scisignal.2000464
- Pan J., Carroll K.S. // ACS Chem. Biol. 2013. V. 8. P. 1110–1116. https://doi.org/10.1021/cb4001052
- Smyth D., Blumenfeld O., Konigsberg W. // Biochem. J. 1964. V. 91. P. 589–595. https://doi.org/10.1042/bj0910589
- Gao X.-H., Krokowski D., Guan B.-J., Bederman I., Majumder M., Parisien M., Diatchenko L., Kabil O., Willard B., Banerjee R., Wang B., Bebek G., Evans C.R., Fox P.L., Gerson S.L., Hoppel C.L., Liu M., Arvan P., Hatzoglou M. // eLife. 2015. V. 4. P. e10067. https://doi.org/10.7554/eLife.10067
- Longen S., Richter F., Köhler Y., Wittig I., Beck K.-F., Pfeilschifter J. // Sci. Rep. 2016. V. 6. P. 29808. https://doi.org/10.1038/srep29808
- Iciek M., Bilska-Wilkosz A., Kozdrowicki M., Górny M. // Biosci. Rep. 2022. V. 42. P. BSR20221006. https://doi.org/10.1042/BSR20221006
- Li M., Mao J., Zhu Y. // Antioxid. Redox Signal. 2021. V. 35. P. 341–356. https://doi.org/10.1089/ars.2020.8249
- Magli E., Perissutti E., Santagada V., Caliendo G., Corvino A., Esposito G., Esposito G., Fiorino F., Migliaccio M., Scognamiglio A., Severino B., Sparaco R., Frecentese F. // Biomolecules. 2021. V. 11. P. 1899. https://doi.org/10.3390/biom11121899
Supplementary files











