Aminocoumaranones as chemiluminescence indicators of the urease activity and hydrogen peroxide
- Authors: Smirnov A.Y.1,2, Baleeva N.S.1, Mishin A.S.1, Bogdanova Y.А.1, Baranov M.S.1,2
-
Affiliations:
- Shemyakin–Ovchinnikov Institute of Bioorganic Chemistry RAS
- Pirogov Russian National Research Medical University
- Issue: Vol 50, No 1 (2024)
- Pages: 65-76
- Section: ПИСЬМА РЕДАКТОРУ
- URL: https://journals.rcsi.science/0132-3423/article/view/258158
- DOI: https://doi.org/10.31857/S0132342324010066
- EDN: https://elibrary.ru/OWILYG
- ID: 258158
Cite item
Full Text
Abstract
We report a series of 3-aminocoumaranones possess significant chemiluminescence under various conditions. The introduce of the electron-donor groups in the coumaranone moiety and increasing of the conjugated π-system of coumaranones allow to shift 30–40 nm of the chemiluminescence maxima to the long-wavelength region. We showed that some 3-aminocoumaranones can be used for detecting of the urease and hydrogen peroxide.
Keywords
Full Text
Сокращения: ДБУ – диазабициклоундецен.
ВВЕДЕНИЕ
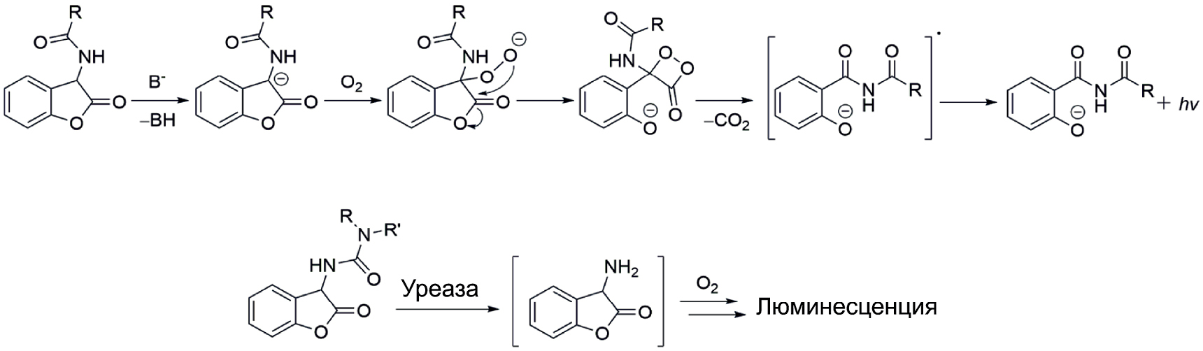
Явление хемилюминесценции – испускание света веществом после окисления – известно очень давно [1]. Пожалуй, самое известное вещество, обладающее яркой хемилюминесценцией, – это люминол. Благодаря такому свойству он используется в биологических исследованиях для обнаружения ионов меди(II), железа(II) и цианидов [2], а также широко применяется в судебно-медицинской экспертизе для обнаружения следов крови (по железу) [3]. Данные аналиты в определенных условиях (например, действие перекиси водорода на ионы железа в щелочной среде) могут вызывать выделение кислорода, который в основных условиях окисляет люминол, в результате чего и наблюдается яркое голубое свечение. Другим примером веществ, обладающих хемилюминесценцией, служат производные 3-аминокумаранона [4]. Хемилюминесценция таких веществ также требует наличия основания и кислорода, который присоединяется к депротонированной молекуле кумаранона (схема 1), после чего происходит окисление кумаранона до производного амида салициловой кислоты с отщеплением молекулы углекислого газа [5]. Этот процесс сопровождается люминесценцией в области 450–550 нм [6, 7]. Однако в литературе встречается не так много работ, посвященных синтезу разных 3-аминокумаранонов и их применению на практике [8–10].
Схема 1. Механизм хемилюминесценции кумаранонов при действии кислорода, а также возможный механизм хемилюминесценции под действием уреаз.
В данной работе мы изучили возможность использования 3-аминокумаранонов для обнаружения перекиси водорода и определения активности уреазы. Уреаза – это фермент, катализирующий в живых организмах гидролиз мочевины до аммиака и углекислого газа. Активность таких ферментов часто необходимо детектировать при диагностике инфекционных заболеваний человека, например, при анализе на Helicobacter pylori [11]. В настоящее время для детекции уреазной активности применяются методы, основанные на использовании ион-селективных электродов, изотопных меток или различных колориметрических тест-систем [12], в то время как хемилюминесцентные методы обнаружения могли бы быть более точными и эффективными. Мы предположили, что введение в молекулы кумаранонов фрагмента мочевины могло бы сделать их чувствительными к данному ферменту и вызвать их фермент-зависимую люминесценцию (схема 1). Таким образом, целью данной работы стал синтез ряда 3-аминокумаранонов, изучение их оптических свойств и возможности применения в качестве люминесцентных сенсоров перекиси водорода и определения активности уреазы.
РЕЗУЛЬТАТЫ И ОБСУЖДЕНИЕ
Мы синтезировали ряд производных 3-аминокумаран-2-она, который можно разделить на две группы: амидные производные и производные мочевины. Амидные производные – N-ацил-аминокумаран-2-оны – были получены из 4-метилбензиламида, дигидроксиуксусной кислоты и фенола (схема 2, соединения (Iа–с)). Исходные 4-метилбензиламид и дигидроксиуксусную кислоту растворяли в смеси уксусной и серной кислот, а через 30 мин перемешивания добавляли необходимый фенол. Полученный таким образом ациклический продукт выделяли, а затем при нагревании в уксусном ангидриде подвергали циклизации в лактоновый цикл. Производные второй группы – N-карбомоил-аминокумаран- 2-оны – были синтезированы путем смешивания различных замещенных карбамидов с дигидроксиуксусной кислотой в трифторуксусной кислоте с последующим добавлением фенола (схема 2, синтез соединений (II–VII)). Так были получены производные симметрично-замещенной 1,3-диизопропилмочевины (соединения (IIa–d)) и производные несимметрично замещенных карбамидов, которые, в свою очередь, можно разделить на производные моно- (соединения (IIIа–c) и (IVа–c)) и ди- (соединения (V–VII)) замещенных карбамидов (схема 2).
Схема 2. Схема синтеза соединений (I–VII).
Мы изучили оптические свойства всех полученных соединений. Оказалось, что все вещества характеризуются поглощением с максимумами в области 258–297 нм (табл. 1). Некоторые соединения, такие как соединения (IIa, d), (IIIa, c), (IVa, b), (Ve, f, h, i), (VIa, d) и (VII), также ярко флуоресцировали с максимумами в области 310–358 нм (табл. 1). Остальные же соединения характеризуются крайне слабой флуоресценцией.
Таблица 1. Оптические свойства соединений (I–VII)
Соединение | Максимум абсорбции, нм | Максимум флуоресценции, нм | Хемилюминесценция | ||
максимум, нм | интенсивность | продолжительность | |||
(Ia) | ~280 | – | ~450 | + | быстро |
(Ib) | ~280 | – | ~480 | + | медленно |
(Ic) | ~280 | – | ~500 | + | медленно |
(IIa) | 284 | 312 | – | – | – |
(IIb) | 288 | – | – | – | – |
(IIc) | 288 | – | – | – | – |
(IId) | 285 | 313 | – | – | – |
(IIIa) | 283 | 314 | ~450 | + | медленно |
(IIIb) | 286 | – | ~435 | + | средне |
(IIIc) | 297 | ~330 | ~450 | + | быстро |
(IVa) | 284 | 315 | ~440 | + | медленно |
(IVb) | 286 | 316 | ~440 | + | медленно |
(IVc) | 286 | – | ~450 | + | медленно |
(Va) | 278 | – | 425 | +++ | быстро |
(Vb) | 278 | – | 427 | +++ | медленно |
(Vc) | 281 | – | 418 | +++ | медленно |
(Vd) | 281 | – | 419 | ++ | медленно |
(Ve) | 296 | ~325 | 463 | ++ | медленно |
(Vf) | 294 | ~325 | 456 | +++ | быстро |
(Vg) | 278 | – | 420 | ++ | быстро |
(Vh) | 282 | 358 | 453 | +++ | средне |
(Vi) | 258 | 337 | 428 | ++ | быстро |
(VIa) | 280 | 310 | 422 | ++ | быстро |
(VIb) | 277 | – | 424 | +++ | медленно |
(VIc) | 281 | – | 418 | ++ | медленно |
(VId) | 295 | 331 | 451 | ++ | быстро |
(VIe) | 260 | – | 426 | +++ | быстро |
(VII) | 281 | 315 | 427 | +++ | медленно |
Примечание: абсорбция и флуоресценция – в ацетонитриле, хемилюминесценция – в ацетонитриле и 0.1%-ном ДБУ. Относительная интенсивность наблюдаемого сигнала хемилюминесценции обозначена следующим образом: “+++” – максимальное значение; “++” – среднее значение; “+” – минимальное значение; “–” – сигнал не удалось детектировать из-за крайне низкой интенсивности; данная условная шкала применима для относительной оценки интенсивности хемилюминесценции только внутри каждого отдельного столбца.
Затем мы изучили хемилюминесцентные свойства полученных соединений. В первую очередь растворы кумаранонов подвергли действию сильного органического основания – диазабициклоундецена (ДБУ) – в присутствии воздуха и зарегистрировали спектры люминесценции. Такой подход наиболее часто используется для изучения хемилюминесценции кумаранонов [5, 6]. Это позволило нам выявить соединения, которые обладают слабой люминесценцией в целом, и исключить их из дальнейших экспериментов. Так, мы установили, что производные 1,3-диизопропилмочевины (соединения (IIa–d)) в присутствии ДБУ не проявляют выраженной люминесценции. Остальные производные характеризуются заметной люминесценцией с максимумами в области ~420–500 нм (табл. 1). Наиболее интенсивную люминесценцию проявляют производные N,N-дизамещенных несимметричных мочевин (табл. 1, соединения (V–VII)). Заметным батохромным смещением максимума люминесценции отличаются соединения с расширенной системой кратных связей или содержащие электронно-донорные группы (табл. 1, рис. 1). Также было установлено, что соединения, содержащие атомы хлора, фтора или брома, характеризуются наиболее продолжительной люминесценцией (табл. 1, рис. 2).
Рис. 1. Нормализованные спектры хемилюминесценции соединений (V–VII) в ацетонитриле после добавления 0.1% ДБУ.
Рис. 2. Графики спада хемилюминесценции соединений (V–VII) в ацетонитриле после добавления 0.1% ДБУ.
На следующем этапе работы мы подвергли соединения (Iа–с) и (III–VII) действию перекиси водорода в щелочной среде. Оказалось, что амидные производные (Iа–с) и производные монозамещенных несимметричных мочевин (IIIа–с) не проявляют заметной люминесценции в таких условиях, в то время как производные N,N-дизамещенных несимметричных мочевин (соединения (V–VII)) в отдельных случаях характеризуются значительной хемилюминесценцией (табл. 2). Наиболее интенсивная люминесценция под действием перекиси водорода оказалась характерна для соединений (Vc) и (VII) и производных бифенилфенола (соединения (Vh, i) и (VIe)). Интересно, что в некоторых случаях люминесценция наблюдалась в водно-щелочных растворах и в отсутствие перекиси водорода (табл. 2), что ранее не было установлено для амидных производных кумаранонов и, вероятно, объясняется их меньшей основностью. Однако в любом случае такая люминесценция в водных растворах была на порядок менее интенсивной, чем люминесценция в ацетонитриле с ДБУ.
Таблица 2. Хемилюминесцентные свойства соединений (V–VII) в воде
Соединение | В воде при рН 11 + 1% Н2О2 | В воде при рН 11 | В воде + уреаза | ||||||
максимум, нм | интенсивность | продолжительность | максимум, нм | интенсивность | продолжительность | максимум, нм | интенсивность | продолжительность | |
(Va) | 460 | + | быстро | 450 | + | медленно | – | – | – |
(Vb) | 450 | + | средне | 450 | + | медленно | – | – | – |
(Vc) | 450 | +++ | средне | ~440 | + | быстро | 435 | +++ | быстро |
(Vd) | 445 | + | быстро | 445 | + | средне | – | – | – |
(Ve) | ~480 | + | быстро | – | – | – | – | – | – |
(Vf) | 475 | ++ | быстро | 470 | + | средне | 465 | ++ | средне |
(Vg) | 435 | ++ | средне | 435 | ++ | средне | 440 | ++ | медленно |
(Vh) | 450 | +++ | медленно | 455 | ++ | быстро | – | – | – |
(Vi) | 460 | +++ | средне | 460 | +++ | медленно | – | – | – |
(VIa) | 445 | + | быстро | ~445 | + | медленно | 450 | + | быстро |
(VIb) | 450 | + | медленно | ~450 | + | медленно | – | – | – |
(VIc) | 440 | ++ | быстро | ~450 | + | медленно | – | – | – |
(VId) | 470 | ++ | быстро | 470 | ++ | средне | – | – | – |
(VIe) | 455 | +++ | быстро | 460 | +++ | средне | 450 | ++ | быстро |
(VII) | 455 | +++ | средне | ~440 | + | медленно | – | – | – |
Примечание: относительная интенсивность наблюдаемого сигнала хемилюминесценции обозначена следующим образом: “+++” – максимальное значение; “++” – среднее значение; “+”—минимальное значение; “–” – сигнал не удалось детектировать из-за крайне низкой интенсивности; данная условная шкала применима для относительной оценки интенсивности хемилюминесценции только внутри каждого отдельного столбца.
На заключительном этапе работы мы изучили хемилюминесцентные свойства синтезированных соединений в водных растворах в присутствии уреазы из Canavalia ensiformis. Было установлено, что в присутствии уреазы люминесцирует лишь небольшой набор соединений – (Vc, f, g) и (VIa, e) (табл. 2). Интенсивность наблюдаемой люминесценции оказалась на порядок меньше интенсивности люминесценции в водно-щелочных растворах и, соответственно, на два порядка меньше интенсивности люминесценции в ацетонитриле с ДБУ.
Таким образом, мы установили, что 3-аминокумараноны характеризуются значительной хемилюминесценцией в разных условиях. Некоторые соединения, такие как соединения (Vc, f, g) и (VIa, e), также проявляют яркую люминесценцию в присутствии уреазы, что позволяет говорить о возможности применения 3-аминокумаранонов в качестве индикаторов ее ферментативной активности.
ЭКСПЕРИМЕНТАЛЬНАЯ ЧАСТЬ
Оборудование. Спектры ЯМР (δ, м.д.; J, Гц) регистрировали на приборах Fourier 300 (300 МГц; Bruker, США) и Avance III NMR (700 МГц; Bruker, США) в DMSO-d6 (внутренний стандарт – Me4Si). Спектры поглощения в УФ и видимом диапазоне регистрировали на спектрофотометре Cary 100 Bio (Varian, США). Спектры флуоресценции и хемилюминесценции регистрировали на спектрофлуориметре Cary Eclipse (Varian, США). Температуры плавления определяли на приборе SMP 30 (Stuart Scientific, Великобритания) и не исправляли. Масс-спектры высокого разрешения регистрировали на приборе TripleTOF 5600+ (AB Sciex, США) с ионизацией методом электроспрея (ESI). Напряжение на капилляре составляло 5.5 кВ в режиме регистрации положительных ионов и 4.5 кВ в режиме регистрации отрицательных ионов. Поток газа-носителя – 15 Arb, газа-распылителя – 25 Arb. Ввод проб производили с помощью шприцевого насоса со скоростью потока 20 мкл/мин. Для исследования хемилюминесцентных свойств использовали уреазу (КФ 3.5.1.5) из Canavalia ensiformis (type IX, powder, 50 000–100 000 ед./г) (Sigma-Aldrich, США) и перекись водорода (30%-ный водный раствор; Sigma-Aldrich, США).
Синтез N-(5-метил-2-оксо-2,3-дигидробензофуран-3-ил)бензамидов (I). 2,2-Дигидроксиуксусную кислоту (184 мг, 2 ммоль) и 4-метилбензамид (270 мг, 2 ммоль) растворяли в смеси уксусной кислоты (5 мл) и концентрированной серной кислоты (0.5 мл). Полученный раствор перемешивали 30 мин при комнатной температуре. Затем к смеси добавляли соответствующий фенол (2 ммоль) и перемешивали в течение 12 ч. Далее реакционную смесь разбавляли водой (50 мл), полученную смесь экстрагировали хлористым метиленом (3 × 50 мл). Объединенные органические вытяжки высушивали над безводным сульфатом натрия и упаривали при пониженном давлении. Полученный остаток растворяли в уксусном ангидриде (5 мл), полученный раствор кипятили в течение 2 ч. Затем реакционную смесь выдерживали при –10°С в течение 10 ч. В случае отсутствия осадка реакционную смесь разбавляли диэтиловым эфиром (10 мл). Полученный осадок отфильтровывали, промывали диэтиловым эфиром (5 мл) и высушивали при пониженном давлении.
Синтез 1-(2-оксо-2,3-дигидробензофуран-3-ил)мочевин (II–VII). 2,2-Дигидроксиуксусную кислоту (184 мг, 2 ммоль) и 4-метилбензамид (270 мг, 2 ммоль) растворяли в трифторуксусной кислоте (3 мл). Полученный раствор перемешивали 30 мин при комнатной температуре. Затем к смеси добавляли соответствующий фенол (2 ммоль) и перемешивали в течение 24 ч. Далее реакционную смесь упаривали при пониженном давлении. Полученный остаток растворяли в этилацетате (100 мл), промывали насыщенным раствором хлорида калия (3 × 50 мл) и упаривали при пониженном давлении. Целевые соединения выделяли из остатка после упаривания с помощью флэш-хроматографии (элюент – этилацетат и гексан, 1 : 1).
4-Метил-N-(5-метил-2-оксо-2,3-дигидробензофуран-3-ил)бензамид (Ia). Белый порошок (213 мг, 38%); т. пл. 179–182°C. 1H-ЯМР (700 МГц, DMSO-d6): 2.27 (с, 3H, CH3), 2.36 (с, 3H, CH3), 5.48 (д, J 6.9, 1H, NHCH), 7.06–7.11 (м, 2H, Ar), 7.15 (д, J 8.4, 1H, Ar), 7.30 (м, J 7.8, 2H, Ar), 7.77 (д, J 8.2, 2H, Ar), 9.63 (д, J 7.1, 1H, NH). 13C-ЯМР (176 МГц, DMSO-d6): 20.5, 20.9, 51.1, 109.9, 124.1, 126.3, 127.4, 129.0, 129.4, 129.7, 133.2, 142.0, 151.5, 165.7, 173.6. HRMS (ESI) m/z: найдено М 282.1128; рассчитано для C17H16NO3+, [M + H]+ 282.1125.
N-(5-Бром-2-оксо-2,3-дигидробензофуран-3-ил)-4-метилбензамид (Ib). Белый порошок (289 мг, 42%); т. пл. 190–193°C. 1H-ЯМР (700 МГц, DMSO-d6): 2.36 (с, 3H, CH3), 5.52 (д, J 7.1, 1H, NHCH), 7.21 (д, J 8.4, 1H, Ar), 7.30 (д, J 8.0, 2H, Ar), 7.47 (с, 1H, Ar), 7.55 (дд, J 8.5, 2.2, 1H, Ar), 7.78 (д, J 8.2, 2H, Ar), 9.76 (д, J 7.1, 1H, NH). 13C-ЯМР (176 МГц, DMSO-d6): 21.0, 51.1, 112.5, 115.6, 126.5, 127.5, 129.0, 129.1, 129.4, 131.9, 142.1, 152.8, 165.9, 172.7. HRMS (ESI) m/z: найдено М 346.0078; рассчитано для C16H13BrNO3+, [M + H]+ 346.0073.
N-(5-Иод-2-оксо-2,3-дигидробензофуран-3-ил)-4-метилбензамид (Ic). Белый порошок (188 мг, 24%); т. пл. 202–205°C. 1H-ЯМР (700 МГц, DMSO-d6): 2.36 (с, 3H, CH3), 5.50 (д, J 7.1, 1H, NHCH), 7.08 (д, J 8.4, 1H, Ar), 7.31 (д, J 7.8, 2H, Ar), 7.59 (с, 1H, Ar), 7.71 (дд, J 8.5, 1.0, 1H, Ar), 7.76 (д, J 8.2, 2H, Ar), 9.67 (д, J 7.1, 1H, NH). 13C-ЯМР (176 МГц, DMSO-d6): 21.0, 50.8, 87.3, 112.8, 127.4, 129.0, 129.3, 129.4, 132.0, 137.7, 142.2, 153.3, 165.9, 172.6. HRMS (ESI) m/z: найдено М 393.9939; рассчитано для C16H13INO3+, [M + H]+ 393.9935.
1,3-Диизопропил-1-(5-метил-2-оксо-2,3-дигидробензофуран-3-ил)мочевина (IIa). Белый порошок (228 мг, 39%); т. пл. 206–209°C. 1H-ЯМР (700 МГц, DMSO-d6): 0.84 (д, J 6.7, 3H, CHCH3), 1.13 (д, J 6.9, 3H, CHCH3), 1.31–1.36 (м, 6H, CHCH3, CHCH3), 2.20 (с, 3H, Ar-CH3), 3.88 (септ, J 6.8, 1H, CHCH3), 4.19 (септ, J 6.9, 1H, CHCH3), 5.01 (уш.с., 1H, NCH), 6.69 (д, J 8.0, 1H, Ar), 6.90–7.08 (м, 2H, Ar), 9.51 (уш.с., 1H, NH). 13C-ЯМР (176 МГц, DMSO-d6): 19.2, 19.4, 19.5, 19.9, 20.5, 42.6, 44.2, 115.4, 121.5, 127.4, 130.3, 153.8, 155.1, 171.9. HRMS (ESI) m/z: найдено М 291.1710; рассчитано для C16H23N2O3+, [M + H]+ 291.1703.
1-(5-Бром-2-оксо-2,3-дигидробензофуран-3-ил)-1,3-диизопропилмочевина (IIb). Белый порошок (250 мг, 35%); т. пл. 210–213°C. 1H-ЯМР (700 МГц, DMSO-d6): 0.85 (д, J 6.7, 3H, CHCH3), 1.13 (д, J 7.1, 3H, CHCH3), 1.31–1.35 (м, 6H, CHCH3, CHCH3), 3.90 (септ, J 6.8, 1H, CHCH3), 4.19 (септ, J 6.9, 1H, CHCH3), 5.08 (уш.с., 1H, NCH), 6.76 (д, J 8.6, 1H, Ar), 7.36 (дд, J 8.6, 2.7, 1H, Ar), 7.47 (уш.с., 1H, Ar), 10.17 (с, 1H, NH). 13C-ЯМР (176 МГц, DMSO-d6): 19.2, 19.4, 19.5, 20.6, 42.7, 44.3, 109.6, 117.7, 124.4, 132.6, 155.1, 155.6, 171.3. HRMS (ESI) m/z: найдено М 355.0654; рассчитано для C15H19BrN2O3+, [M + H]+ 355.0652.
1-(5-Иод-2-оксо-2,3-дигидробензофуран-3-ил)-1,3-диизопропилмочевина (IIc). Белый порошок (223 мг, 28%); т. пл. 217–219°C. 1H-ЯМР (700 МГц, DMSO-d6): 0.85 (д, J 6.9, 3H, CHCH3), 1.13 (д, J 6.9, 3H, CHCH3), 1.31–1.35 (м, 6H, CHCH3, CHCH3), 3.88 (септ, J 6.8, 1H, CHCH3), 4.19 (септ, J 6.9, 1H, CHCH3), 5.05 (уш.с., 1H, NCH), 6.64 (д, J 8.4, 1H, Ar), 7.50 (дд, J 8.5, 2.2, 1H, Ar), 7.60 (уш.с., 1H, Ar), 10.14 (с, 1H, NH). 13C-ЯМР (176 МГц, DMSO-d6): 19.2, 19.4, 19.5, 20.6, 42.7, 44.3, 80.3, 106.2, 118.2, 124.9, 138.4, 153.8, 155.0, 171.3. HRMS (ESI) m/z: найдено М 403.0515; рассчитано для C15H20IN2O3+, [M + H]+ 403.0513.
1-(5-Фтор-2-оксо-2,3-дигидробензофуран-3-ил)-1,3-диизопропилмочевина (IId). Белый порошок (173 мг, 29%); т. пл. 203–205°C. 1H-ЯМР (700 МГц, DMSO-d6): 0.84 (д, J 6.9, 3H, CHCH3), 1.14 (д, J 6.9, 3H, CHCH3), 1.31–1.35 (м, 6H, CHCH3, CHCH3), 3.92 (септ, J 6.9, 1H, CHCH3), 4.19 (септ, J 6.9, 1H, CHCH3), 5.08 (уш.с., 1H, NCH), 6.78 (дд, J 8.8, 4.6, 1H, Ar), 7.04 (дд, J 8.6, 3.1, 1H, Ar), 7.14 (уш.с., 1H, Ar), 9.82 (с, 1H, NH). 13C-ЯМР (75 МГц, DMSO-d6): 19.2, 19.4, 19.5, 20.6, 42.7, 44.3, 116.2 (д, J 22.4), 116.4 (д, J 6.0), 123.1 (д, J 6.7), 152.6, 155.0 (д, J 233.9), 155.2, 171.4. HRMS (ESI) m/z: найдено М 295.1458; рассчитано для C15H20BrN2O3+, [M + H]+ 295.1452.
1-(4-Бромфенил)-3-(5-фтор-2-оксо-2,3-дигидробензофуран-3-ил)мочевина (IIIa). Белый порошок (314 мг, 43%); т. пл. 230–233°C. 1H-ЯМР (700 МГц, DMSO-d6): 5.29 (с, 1H, NHCH), 6.82 (дд, J 8.9, 4.7, 1H, Ar), 7.06 (тд, J 8.6, 3.2, 1H, Ar), 7.20 (дд, J 9.0, 3.1, 1H, Ar), 7.35–7.38 (м, 2H, Ar), 7.69–7.72 (м, 2H, Ar), 8.65 (с, 1H, NHCH), 9.98 (с, 1H, NH-Ar). 13C-ЯМР (176 МГц, DMSO-d6): 57.4, 116.1 (д, J 22.8), 116.5 (д, J 8.0), 117.3 (д, J 23.4), 120.4, 123.3 (д, J 7.4), 128.5, 131.7, 131.9, 152.2 (д, J 1.7), 155.1 (д, J 234.7), 155.5, 171.8. HRMS (ESI) m/z: найдено М 364.9930; рассчитано для C15H11BrFN2O3+, [M + H]+ 364.9932.
1-(4-Бромфенил)-3-(5-иод-2-оксо-2,3-дигидробензофуран-3-ил)мочевина (IIIb). Белый порошок (313 мг, 33%); т. пл. 221–223°C. 1H-ЯМР (700 МГц, DMSO-d6): 5.27 (с, 1H, NHCH), 6.68 (д, J 8.4, 1H, Ar), 7.35 (д, J 8.6, 2H, Ar), 7.52 (дд, J 8.4, 2.3, 1H, Ar), 7.64 (д, J 2.1, 1H, Ar), 7.70 (д, J 8.6, 2H, Ar), 8.61 (с, 1H, NHCH), 10.31 (с, 1H, NH-Ar). 13C-ЯМР (176 МГц, DMSO-d6): 57.3, 80.5, 118.3, 120.4, 125.0, 128.4, 131.7, 131.9, 138.4, 139.2, 155.4, 155.8, 171.9. HRMS (ESI) m/z: найдено М 472.8991; рассчитано для C15H11BrIN2O3+, [M + H]+ 472.8992.
1-(4-Бромфенил)-3-(5-этокси-2-оксо-2,3-дигидробензофуран-3-ил)мочевина (IIIc). Белый порошок (173 мг, 22%); т. пл. 199–202°C. 1H-ЯМР (700 МГц, DMSO-d6): 1.29 (т, J 6.9, 3H, CH2CH3), 3.94 (кв, J 7.0, 2H, CH2CH3), 5.22 (с, 1H, NHCH), 6.71–6.75 (м, 1H, Ar), 6.77–6.81 (м, 1H, Ar), 6.87 (д, J 3.1, 1H, Ar), 7.35 (м, 2H, Ar), 7.69 (м, 2H, Ar), 8.60 (с, 1H, NHCH), 9.45 (с, 1H, NH-Ar). 13C-ЯМР (176 МГц, DMSO-d6): 14.8, 58.0, 63.5, 115.8, 116.3, 117.2, 120.3, 122.6, 128.4, 131.7, 132.0, 149.5, 151.2, 155.5, 172.2. HRMS (ESI) m/z: найдено М 391.0292; рассчитано для C17H16BrN2O4+, [M + H]+ 391.0288.
1-(5-Фтор-2-оксо-2,3-дигидробензофуран-3-ил)-3-метилмочевина (IVa). Белый порошок (183 мг, 41%); т. пл. 205–207°C. 1H-ЯМР (700 МГц, DMSO-d6): 2.86 (с, 3H, CH3), 5.16 (с, 1H, NHCH), 6.79 (дд, J 8.8, 4.8, 1H, Ar), 6.98–7.07 (м, 2H, Ar), 8.31 (с, 1H, NHCH), 9.78 (с, 1H, NHCH3). 13C-ЯМР (176 МГц, DMSO-d6): 24.2, 56.9, 115.8 (д, J 22.4), 116.4 (д, J 12.4), 116.5 (д, J 19.1), 123.4 (д, J 7.4), 152.1 (д, J 1.3), 155.1 (д, J 234.2), 157.3, 173.0. HRMS (ESI) m/z: найдено М 225.0670; рассчитано для C10H10FN2O3+, [M + H]+ 225.0670.
1-(5-Хлор-2-оксо-2,3-дигидробензофуран-3-ил)-3-метилмочевина (IVb). Белый порошок (163 мг, 34%); т. пл. 213–215°C. 1H-ЯМР (700 МГц, DMSO-d6): 2.87 (с, 3H, CH3), 5.17 (с, 1H, NHCH), 6.82 (д, J 8.6, 1H, Ar), 7.20–7.25 (м, 2H, Ar), 8.30 (с, 1H, NHCH), 10.10 (с, 1H, NHCH3). 13C-ЯМР (176 МГц, DMSO-d6): 24.2, 56.8, 117.2, 122.2, 124.1, 129.3, 129.8, 154.8, 157.2, 172.9. HRMS (ESI) m/z: найдено М 241.0377; рассчитано для C10H10ClN2O3+, [M + H]+ 241.0374.
1-(5-Бром-2-оксо-2,3-дигидробензофуран-3-ил)-3-метилмочевина (IVc). Белый порошок (152 мг, 27%); т. пл. 223–225°C. 1H-ЯМР (700 МГц, DMSO-d6): 2.86 (с, 3H, CH3), 5.16 (с, 1H, NHCH), 6.77 (д, J 8.4, 1H, Ar), 7.28–7.40 (м, 2H, Ar), 8.29 (с, 1H, NHCH), 10.12 (с, 1H, NHCH3). 13C-ЯМР (75 МГц, DMSO-d6): 24.2, 56.8, 109.7, 117.7, 124.6, 132.3, 132.7, 155.2, 157.3, 173.0. HRMS (ESI) m/z: найдено М 284.9871; рассчитано для C10H10BrN2O3+, [M + H]+ 284.9869.
1,1-Диметил-3-(5-метил-2-оксо-2,3-дигидробензофуран-3-ил)мочевина (Va). Белый порошок (167 мг, 36%); т. пл. 201–203°C. 1H-ЯМР (700 МГц, DMSO-d6): 2.28 (с, 3H, CH3), 2.78 (с, 6H, N(CH3)2), 5.10 (д, J 6.1, 1H, NHCH), 7.00 (д, J 8.0, 1H, Ar), 7.03 (с, 1H, Ar), 7.10 (д, J 8.4, 1H, Ar), 7.61 (д, J 7.1, 1H, NHCH). 13C-ЯМР (176 МГц, DMSO-d6): 20.5, 35.7, 51.8, 109.7, 124.0, 127.6, 128.9, 132.8, 151.3, 156.8, 174.7. HRMS (ESI) m/z: найдено М 235.1077; рассчитано для C12H15N2O3+, [M + H]+ 235.1077.
3-(5-Фтор-2-оксо-2,3-дигидробензофуран-3-ил)-1,1-диметилмочевина (Vb). Белый порошок (161 мг, 34%); т. пл. 210–213°C. 1H-ЯМР (700 МГц, DMSO-d6): 2.78 (с, 6H, N(CH3)2), 5.16 (д, J 6.7, 1H, NHCH), 7.09 (дд, J 7.6, 1.7, 1H, Ar), 7.11–7.18 (м, 2H, Ar), 7.67 (д, J 6.9, 1H, NHCH). 13C-ЯМР (176 МГц, DMSO-d6): 35.7, 52.3, 111.0 (д, J 25.1), 111.3 (д, J 8.4), 115.0 (д, J 24.4), 129.6 (д, J 8.7), 149.4, 156.8, 158.7 (д, J 239.3), 174.5. HRMS (ESI) m/z: найдено М 239.0827; рассчитано для C11H12FN2O3+, [M + H]+ 239.0826.
3-(5-Хлор-2-оксо-2,3-дигидробензофуран-3-ил)-1,1-диметилмочевина (Vc). Белый порошок (189 мг, 37%); т. пл. 214–216°C. 1H-ЯМР (700 МГц, DMSO-d6): 2.78 (с, 6H, N(CH3)2), 5.15 (д, J 6.7, 1H, NHCH), 7.17 (д, J 8.4, 1H, Ar), 7.26 (с, 1H, Ar), 7.36 (дд, J 8.5, 2.2, 1H, Ar), 7.68 (д, J 6.9, 1H, NHCH). 13C-ЯМР (176 МГц, DMSO-d6): 35.7, 52.0, 111.8, 123.5, 127.6, 128.5, 130.1, 152.1, 156.8, 174.0. HRMS (ESI) m/z: найдено М 255.0526; рассчитано для C11H12ClN2O3+, [M + H]+ 255.0531.
3-(5-Бром-2-оксо-2,3-дигидробензофуран-3-ил)-1,1-диметилмочевина (Vd). Белый порошок (156 мг, 26%); т. пл. 221–223°C. 1H-ЯМР (700 МГц, DMSO-d6): 2.78 (с, 6H, N(CH3)2), 5.16 (д, J 6.7, 1H, NHCH), 7.13 (д, J 8.6, 1H, Ar), 7.38 (с, 1H, Ar), 7.50 (д, J 9.9, 1H, Ar), 7.67 (д, J 6.7, 1H, NHCH). 13C-ЯМР (176 МГц, DMSO-d6): 35.7, 51.9, 112.3, 115.3, 126.3, 130.5, 131.4, 152.6, 156.8, 173.8. HRMS (ESI) m/z: найдено М 299.0027; рассчитано для C11H12BrN2O3+, [M + H]+ 299.0026.
3-(5-Гидрокси-2-оксо-2,3-дигидробензофуран-3-ил)-1,1-диметилмочевина (Ve). Белый порошок (112 мг, 24%); т. пл. 230–233°C. 1H-ЯМР (700 МГц, DMSO-d6): 2.78 (с, 6H, N(CH3)2), 5.07 (д, J 6.7, 1H, NHCH), 6.62 (д, J 2.3, 1H, Ar), 6.65 (дд, J 8.6, 2.5, 1H, Ar), 6.91 (д, J 8.6, 1H, Ar), 7.56 (д, J 6.9, 1H, NHCH), 9.22 (с, 1H, OH). 13C-ЯМР (176 МГц, DMSO-d6): 35.7, 52.3, 110.5, 110.7, 114.6, 128.4, 145.9, 153.8, 156.9, 174.9. HRMS (ESI) m/z: найдено М 237.0867; рассчитано для C11H13N2O4+, [M + H]+ 237.0870.
3-(5-Этокси-2-оксо-2,3-дигидробензофуран-3-ил)-1,1-диметилмочевина (Vf). Белый порошок (99 мг, 19%); т. пл. 175–177°C. 1H-ЯМР (700 МГц, DMSO-d6): 1.30 (т, J 7.0, 3H, CH2CH3), 2.78 (с, 6H, N(CH3)2), 3.92–4.04 (м, 2H, CH2CH3), 5.11 (д, J 6.5, 1H, NHCH), 6.77 (д, J 1.7, 1H, Ar), 6.83 (дд, J 8.7, 2.6, 1H, Ar), 7.03 (д, J 8.8, 1H, Ar), 7.59 (д, J 6.9, 1H, NHCH). 13C-ЯМР (176 МГц, DMSO-d6): 14.6, 35.7, 52.3, 63.6, 110.2, 110.5, 114.0, 128.7, 147.1, 155.2, 156.9, 174.8. HRMS (ESI) m/z: найдено М 265.1185; рассчитано для C13H17N2O4+, [M + H]+ 265.1183.
3-(5-(Адамантан-1-ил)-2-оксо-2,3-дигидробензофуран-3-ил)-1,1-диметилмочевина (Vg). Белый порошок (190 мг, 27%); т. пл. 243–245°C. 1H-ЯМР (700 МГц, DMSO-d6): 1.67–1.77 (м, 6H, Ad), 1.84 (д, J 2.7, 6H, Ad), 2.05 (уш.с., 3H, Ad), 2.79 (с, 6H, N(CH3)2), 5.16 (д, J 6.1, 1H, NHCH), 7.05 (д, J 8.4, 1H, Ar), 7.20 (с, 1H, Ar), 7.31 (дд, J 8.7, 1.6, 1H, Ar), 7.57 (д, J 6.9, 1H, NHCH). 13C-ЯМР (75 МГц, DMSO-d6): 28.3, 35.6, 35.7, 36.1, 42.8, 52.0, 109.6, 119.8, 125.1, 127.2, 146.7, 151.3, 156.9, 174.8. HRMS (ESI) m/z: найдено М 355.2023; рассчитано для C21H27N2O3+, [M + H]+ 355.2016.
3-(5-(4-Цианофенил)-2-оксо-2,3-дигидробензофуран-3-ил)-1,1-диметилмочевина (Vh). Белый порошок (114 мг, 18%); т. пл. 233–236°C. 1H-ЯМР (700 МГц, DMSO-d6): 2.79 (с, 6H, N(CH3)2), 5.22 (д, J 6.7, 1H, NHCH), 7.28 (д, J 8.4, 1H, Ar), 7.59 (с, 1H, Ar), 7.69–7.73 (м, 2H, Ar, NHCH), 7.85 (м, 2H, Ar), 7.90 (м, 2H, Ar). 13C-ЯМР (75 МГц, DMSO-d6): 35.7, 51.9, 109.7, 110.8, 118.9, 122.2, 127.4, 127.9, 129.0, 132.9, 134.1, 144.1, 154.0, 156.9, 174.4. HRMS (ESI) m/z: найдено М 322.1192; рассчитано для C18H16N3O3+, [M + H]+ 322.1186.
3-(5-Фенил-2-оксо-2,3-дигидробензофуран-3-ил)-1,1-диметилмочевина (Vi). Белый порошок (295 мг, 50%); т. пл. 183–185°C. 1H-ЯМР (700 МГц, DMSO-d6): 2.79 (с, 6H, N(CH3)2), 5.21 (д, J 6.5, 1H, NHCH), 7.22 (д, J 8.4, 1H, Ar), 7.35 (т, J 7.3, 1H, Ar), 7.46 (т, J 7.7, 2H, Ar), 7.48 (с, 1H, Ar), 7.58–7.63 (м, 3H, Ar, NHCH), 7.68 (д, J 6.9, 1H, Ar). 13C-ЯМР (176 МГц, DMSO-d6): 35.7, 51.9, 110.5, 121.8, 126.5, 127.2, 127.2, 128.6, 128.9, 136.1, 139.7, 153.1, 156.9, 174.5. HRMS (ESI) m/z: найдено М 297.1239; рассчитано для C17H17N2O3+, [M + H]+ 297.1234.
N-(5-Метил-2-оксо-2,3-дигидробензофуран-3-ил)пирролидин-1-карбоксамид (VIa). Белый порошок (181 мг, 35%); т. пл. 208–210°C. 1H-ЯМР (700 МГц, DMSO-d6): 1.80 (уш.с., 4H, NCH2CH2, NCH2CH2), 2.29 (с, 3H, CH3), 3.20 (уш.с., 4H, NCH2CH2, NCH2CH2), 5.12 (д, J 6.5, 1H, NHCH), 7.00 (д, J 8.0, 1H, Ar), 7.05 (с, 1H, Ar), 7.10 (д, J 8.2, 1H, Ar), 7.42 (д, J 7.1, 1H, NHCH). 13C-ЯМР (75 МГц, DMSO-d6): 20.5, 25.0, 45.3, 51.6, 109.7, 124.1, 127.6, 128.9, 132.8, 151.3, 155.1, 174.7. HRMS (ESI) m/z: найдено М 261.1237; рассчитано для C14H17N2O3+, [M + H]+ 261.1234.
N-(5-Фтор-2-оксо-2,3-дигидробензофуран-3- ил)пирролидин-1-карбоксамид (VIb). Белый порошок (180 мг, 34%); т. пл. 210–212°C. 1H-ЯМР (700 МГц, DMSO-d6): 1.80 (уш.с., 4H, NCH2CH2, NCH2CH2), 3.20 (уш.с., 4H, NCH2CH2, NCH2CH2), 5.18 (д, J 6.7, 1H, NHCH), 7.10 (дд, J 7.5, 2.2, 1H, Ar), 7.12–7.18 (м, 2H, Ar), 7.47 (д, J 7.1, 1H, NHCH). 13C-ЯМР (75 МГц, DMSO-d6): 25.0, 45.3, 52.1, 111.1 (д, J 25.3), 111.3 (д, J 8.2), 115.0 (д, J 23.8), 129.7 (д, J 8.9), 149.4, 155.1, 158.7 (д, J 239.2), 174.5. HRMS (ESI) m/z: найдено М 265.0987; рассчитано для C12H14FN2O3+, [M + H]+ 265.0983.
N-(5-Бром-2-оксо-2,3-дигидробензофуран-3- ил)пирролидин-1-карбоксамид (VIc). Белый порошок (245 мг, 38%); т. пл. 238–240°C. 1H-ЯМР (700 МГц, DMSO-d6): 1.80 (уш.с., 4H, NCH2CH2, NCH2CH2), 3.20 (уш.с., 4H, NCH2CH2, NCH2CH2), 5.18 (д, J 6.9, 1H, NHCH), 7.13 (д, J 8.4, 1H, Ar), 7.39 (д, J 1.9, 1H, Ar), 7.46–7.52 (м, 2H, Ar, NHCH). 13C-ЯМР (75 МГц, DMSO-d6): 24.9, 45.3, 51.7, 112.3, 115.4, 126.4, 130.5, 131.5, 152.6, 155.1, 173.9. HRMS (ESI) m/z: найдено М 325.0185; рассчитано для C13H14BrN2O3+, [M + H]+ 325.0182.
N-(5-Этокси-2-оксо-2,3-дигидробензофуран-3-ил)пирролидин-1-карбоксамид (VId). Белый порошок (180 мг, 31%); т. пл. 197–199°C. 1H-ЯМР (700 МГц, DMSO-d6): 1.30 (т, J 7.0, 3H, CH2CH3), 1.80 (уш.с., 4H, NCH2CH2, NCH2CH2), 3.20 (уш.с., 4H, NCH2CH2, NCH2CH2), 3.93–4.04 (м, 2H, CH2CH3), 5.14 (д, J 6.7, 1H, NHCH), 6.76–6.81 (м, 1H, Ar), 6.83 (дд, J 8.8, 2.7, 1H, Ar), 7.03 (д, J 8.8, 1H, Ar), 7.40 (д, J 7.1, 1H, NHCH). 13C-ЯМР (75 МГц, DMSO-d6): 14.7, 25.0, 45.3, 52.1, 63.6, 110.3, 110.6, 114.0, 128.7, 147.1, 155.2, 174.8. HRMS (ESI) m/z: найдено М 291.1345; рассчитано для C15H19N2O4+, [M + H]+ 291.1339.
N-(2-Оксо-5-фенил-2,3-дигидробензофуран-3-ил)пирролидин-1-карбоксамид (VIe). Белый порошок (315 мг, 49%); т. пл. 210–212°C. 1H-ЯМР (700 МГц, DMSO-d6): 1.79 (уш.с., 4H, NCH2CH2, NCH2CH2), 3.22 (уш.с., 4H, NCH2CH2, NCH2CH2), 5.24 (д, J 6.7, 1H, NHCH), 7.23 (д, J 8.2, 1H, Ar), 7.35 (т, J 7.3, 1H, Ar), 7.46 (т, J 7.6, 2H, Ar), 7.47–7.51 (м, 2H, Ar, NHCH), 7.58–7.64 (м, 3H, Ar). 13C-ЯМР (75 МГц, DMSO-d6): 24.9, 45.3, 51.7, 110.5, 122.0, 126.5, 127.2, 128.6, 129.0, 136.1, 139.7, 153.0, 155.2, 174.6. HRMS (ESI) m/z: найдено М 323.1383; рассчитано для C19H19N2O3+, [M + H]+ 323.1390.
N-(5-Фтор-2-оксо-2,3-дигидробензофуран-3- ил)морфолин-4-карбоксамид (VII). Белый порошок (224 мг, 40%); т. пл. 205–207°C. 1H-ЯМР (700 МГц, DMSO-d6): 3.23–3.27 (м, 4H, OCH2, OCH2), 3.54 (т, J 4.8, 4H, NCH2, NCH2), 5.22 (д, J 6.7, 1H, NHCH), 7.11 (дд, J 7.4, 1.7, 1H, Ar), 7.12–7.16 (м, 1H, Ar), 7.16–7.20 (м, 1H, Ar), 7.91 (д, J 6.9, 1H, NHCH). 13C-ЯМР (75 МГц, DMSO-d6): 43.7, 52.2, 65.7, 111.1 (д, J 26.1), 111.4 (д, J 8.2), 115.2 (д, J 23.8), 129.4 (д, J 8.9), 149.5, 156.3, 158.7 (д, J 239.2), 174.4. HRMS (ESI) m/z: найдено М 281.0934; рассчитано для C12H14FN2O4+, [M + H]+ 281.0932.
Регистрация спектров хемилюминесценции. Растворы соединений (I–VII) в ацетонитриле или дистиллированной воде смешивали с ДБУ, гидроксидом натрия (из 6 М раствора), перекисью водорода или уреазой (см. табл. 1 и 2) и сразу регистрировали спектр люминесценции. Конечная концентрация соединений (I–VII) составляла 0.2 мМ, ДБУ – 6.5 мM, гидроксида натрия – 150 мM, перекиси водорода – 300 мM, уреазы – 1000 ед./мл.
ЗАКЛЮЧЕНИЕ
В данной работе синтезирована серия 3-аминокумаранонов. Установлено, что амидные производные (Iа–с) и производные несимметрично замещенных мочевин (III–VII) обладают значительной хемилюминесценцией при различных условиях. Присутствие электронно-донорных групп или заместителей, увеличивающих систему кратных связей в молекулах синтезированных соединений, приводит к заметному батохромному смещению максимума их люминесценции. На примере производных N,N-дизамещенных несимметричных мочевин (соединения (V–VII)) показано, что интенсивность люминесценции снижается в ряду: ацетонитрил с ДБУ > вода (рН 11) с перекисью водорода > вода (рН 11) > вода с уреазой.
Показано, что производные N,N-дизамещенных несимметричных мочевин могут быть использованы для определения перекиси водорода, а соединения (Vc, f, g) и (VIa, e), благодаря яркой люминесценции в присутствии уреазы, могут также найти применение в качестве индикаторов ее ферментативной активности.
ФОНДОВАЯ ПОДДЕРЖКА
Работа выполнена при финансовой поддержке Министерства науки и высшего образования Российской Федерации (проект № FFEU-2024-0055) в рамках базовой части государственного задания.
СОБЛЮДЕНИЕ ЭТИЧЕСКИХ СТАНДАРТОВ
Настоящая статья не содержит описания каких-либо исследований с участием людей и использованием животных в качестве объектов исследований.
КОНФЛИКТ ИНТЕРЕСОВ
Авторы заявляют об отсутствии конфликта интересов.
About the authors
A. Y. Smirnov
Shemyakin–Ovchinnikov Institute of Bioorganic Chemistry RAS; Pirogov Russian National Research Medical University
Email: nsbaleeva@gmail.com
Russian Federation, ul. Miklukho-Maklaya 16/10, Moscow, 117997; ul. Ostrovitianova 1, Moscow, 117997
N. S. Baleeva
Shemyakin–Ovchinnikov Institute of Bioorganic Chemistry RAS
Author for correspondence.
Email: nsbaleeva@gmail.com
Russian Federation, ul. Miklukho-Maklaya 16/10, Moscow, 117997
A. S. Mishin
Shemyakin–Ovchinnikov Institute of Bioorganic Chemistry RAS
Email: nsbaleeva@gmail.com
Russian Federation, ul. Miklukho-Maklaya 16/10, Moscow, 117997
Yu. А. Bogdanova
Shemyakin–Ovchinnikov Institute of Bioorganic Chemistry RAS
Email: nsbaleeva@gmail.com
Russian Federation, ul. Miklukho-Maklaya 16/10, Moscow, 117997
M. S. Baranov
Shemyakin–Ovchinnikov Institute of Bioorganic Chemistry RAS; Pirogov Russian National Research Medical University
Email: nsbaleeva@gmail.com
Russian Federation, ul. Miklukho-Maklaya 16/10, Moscow, 117997; ul. Ostrovitianova 1, Moscow, 117997
References
- Vasil’ev R.F., Tsaplev Yu.B. // Russ. Chem. Rev. 2006. V. 75. P. 989–1002. https://doi.org/10.1070/RC2006v075n11ABEH003631
- Khan P., Idrees D., Moxley M.A., Corbett J., Ahmad F., Figura G., Sly W., Waheed A., Hassan M.I. // Appl. Biochem. Biotechnol. 2014. V. 173. P. 333–355. https://doi.org/10.1007/s12010-014-0850-1
- Specht W. // Ang. Chem. 1937. V. 50. P. 155–157. https://doi.org/10.1002/ange.19370500803
- Matuszczak B. // J. Prakt. Chem. 1998. V. 340. P. 20–25. https://doi.org/10.1002/PRAC.19983400104
- Schramm S., Navizet I., Prasad Karothu D., Oesau P., Bensmann V., Weiss D., Beckert R., Naumov P. // Phys. Chem. Chem. Phys. 2017. V. 19. P. 22852–22859. https://doi.org/10.1039/C7CP03425C
- Ciscato L.F., Bartoloni F.H., Colavite A.S., Weiss D., Beckert R., Schramm S. // Photochem. Photobiol. Sci. 2014. V. 13. P. 32–37. https://doi.org/10.1039/c3pp50345c
- Schramm S., Weiss D., Navizet I., Roca-Sanjuán D., Brandl H., Beckert R., Helmar Görls H. // Arkivoc. 2013. V. 3. P. 174–188. https://doi.org/10.3998/ark.5550190.0014.314
- Schramm S., Ciscato L.F., Oesau P., Krieg R., Richter J.F., Navizet I., Roca-Sanjuán D., Weiss D., Beckert R. // Arkivoc. 2015. V. 5. P. 44–59. https://doi.org/10.3998/ark.5550190.p009.044
- Krieg R., Hoffmann B., Weiss D., Biskup C. // HCA. 2019. V. 102. P. e1800243. https://doi.org/10.1002/hlca.201800243
- Schramm S., Navizet I., Naumov P., Nath N.K., Berraud-Pache R., Oesau P., Weiss D., Beckert R. // Eur. J. Org. Chem. 2016. V. 4. P. 678–681. https://doi.org/10.1002/ejoc.201501515
- Mobley H.L., Island M.D., Hausinger R.P. // Microbiol. Rev. 1995. V. 59. P. 451–480. https://doi.org/10.1128/mr.59.3.451-480.1995
- Dore M.P., Pes G.M. // J. Clin. Med. 2021. V. 10. P. 2091. https://doi.org/10.3390/jcm10102091
Supplementary files







