A new approach to the synthesis of Anti-Reverse Cap Analog (ARCA) 2mGpppG
- Authors: Kayushin A.L.1, Antonov K.V.1, Dorofeeva E.V.1, Berzina M.Y.1, Arnautova A.O.1, Prohorenko I.A.1, Miroshnikov A.I.1, Konstantinova I.D.1
-
Affiliations:
- Shemyakin and Ovchinnikov Institute of Bioorganic Chemistry RAS
- Issue: Vol 50, No 1 (2024)
- Pages: 3-10
- Section: Articles
- URL: https://journals.rcsi.science/0132-3423/article/view/258137
- DOI: https://doi.org/10.31857/S0132342324010015
- EDN: https://elibrary.ru/QSYRGR
- ID: 258137
Cite item
Full Text
Abstract
A new approach to the synthesis of Anti-Reverse Cap Analog (ARCA) of the classical structure – dimethylated guanosine dinucleotide 2mGpppG is proposed. The classical approach to obtaining consists in condensation of activated 5′-diphosphate of 7,3′-O-dimethylguanosine with 5′-guanosine monophosphate. We suggest to use a commercially available 3′-O-methylguanosine for the synthesis of 5′-monophosphate of dimethylated guanosine only, and to use an activated 5′-guanosine diphosphate in the condensation. The conditions of 3′-O-methylguanosine phosphorylation were determined to avoid the formation of a side product 3′-O-methyl-5′-deoxy-5′-chloroguanosine-3′-phosphate. ARCA was synthesized with a high yield (89% at the condensation stage). Our approach to the synthesis is easily scaled and can be used for a preparative synthesis of ARCA (several grams).
Keywords
Full Text
Сокращения: CDI – карбонилдиимидазол; ARCA – аналог кэп-структуры с правильной ориентацией (Anti-Reverse Cap Analog).
ВВЕДЕНИЕ
Процессинг эукариотических мРНК начинается с образования на 5′-конце так называемой кэп-структуры – 7-метилгуанозина, присоединенного через трифосфатный мостик к первому нуклеотиду (A или G) цепи РНК. В клетке кэп играет важнейшую роль в функционировании РНК – регулирует процессы трансляции, сплайсинга и межклеточного транспорта. Эффективность выполняемых функций напрямую зависит от структуры кэпа и количества метилированных участков.
Синтезировано и изучено большое число аналогов природного N7-метилгуанозинового кэпа [1–5], но исследователи отдают предпочтение работе с метилированным по N7 и О3′ атомам динуклеотида гуанозина 2mGpppG (рис. 1) [1–5]. Этот кэп можно получить химическим синтезом, предложенным Stepinski et al. в 2001 г. [4].
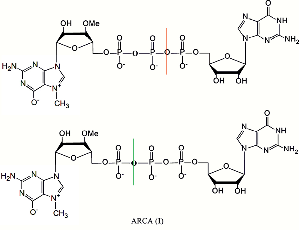
Рис. 1. Сайты конденсации при получении ARCA (I): (а) – классический вариант [5] (красная линия); (б) – предложенный нами (зеленая линия).
Общепринятая стратегия синтеза динуклеотидов ARCA (Anti-Reverse Cap Analog) заключается в следующем: 1) получение 5′-полифосфата (в простейшем случае – дифосфата) одного из нуклеозидов; 2) получение 5′-моно- или полифосфата второго нуклеозида; 3) активация одного из этих фосфатов (обычно через фосфоимидазолид) и последующая конденсация с образованием, например, Р1,Р3-трифосфата или Р1,Р4-тетрафосфата динуклеотида [1–5].
Как правило, в синтезе динуклеотидов ARCA используется 5′-дифосфат 7-метилгуанозина или его производных по 2′- или 3′-положению (см., например, работы [1–5]) и имидазолид 5′-монофосфата гуанозина (рис. 1а). Однако нуклеотиды, содержащие 7-метилгуанозин, менее стабильны по сравнению с неметилированными нуклеотидами. Кроме того, 3′-О-метилгуанозин – недешевый препарат. Поэтому желательно свести к минимуму число реакций, в которых он участвует.
Основная цель данного исследования – разра- ботка простого и эффективного способа синтеза ARCA, который можно было бы легко масшта- бировать до получения граммовых количеств динуклеотида гуанозина 2mGpppG в лабораторных условиях.
РЕЗУЛЬТАТЫ И ОБСУЖДЕНИЕ
В нашем случае нужно было ответить на два вопроса: во-первых, 5′-дифосфат какого нуклеозида мы получаем – гуанозина или 7,3′-О-диметилгуанозина, и, во-вторых, какой фосфат мы активируем на стадии конденсации – дифосфат или монофосфат (рис. 1).
На последней стадии синтеза мы использовали активированный 5′-дифосфат гуанозина (IV) и 5′-монофосфат 7,3′-О-диметилгуанозина (VI). Схема синтеза динуклеотида ARCA (I) приведена на рис. 2.
Рис. 2. Схема синтеза ARCA (I).
Мононуклеотид (II) получали обработкой суспензии гуанозина в триэтилфосфате хлорокисью фосфора. В работе Yoshikawa et al. [6] для получения мононуклеотида (II) в качестве растворителя использовали триметилфосфат и добавляли воду для предотвращения образования 5′,2′- или 5′,3′-дифосфатов; в наших условиях дифосфаты не образовывались. Мононуклеотид (II) выделяли из реакционной смеси с помощью ионообменной хроматографии в виде триэтиламмониевой соли с выходом 72%.
Взаимодействием мононуклеотида (II) с карбонилдиимидазолом в DMF получали соответствующий имидазолид, который без выделения обрабатывали триэтиламмониевой солью ортофосфорной кислоты (получена in situ из 1 экв. триэтиламина и 1 экв. кислоты) с образованием 5′-дифосфата (III). В качестве катализатора реакции использовали хлористый цинк [7]. Соединение (III) выделяли из реакционной смеси с помощью ионообменной хроматографии в виде триэтиламмониевой соли с выходом 57%.
Триэтиламмониевая соль соединения (IV) была получена из соединения (III) известным методом с использованием 2,2′-дитиодипиридина, трифенилфосфина, имидазола и триэтиламина [1–5] с выходом 73%. Таким образом, мы синтезировали первый компонент для последней стадии синтеза соединения (I).
Следующим этапом работы был синтез 5′-монофосфата 7,3′-О-диметилгуанозина (V). Вначале мы попытались фосфорилировать 3′-О-метилгуанозин по той же методике, что и гуанозин, но помимо целевого продукта неожиданно получили 3′-О-метил-5′-дезокси-5′-хлоргуанозин-2′-фосфат (VII) с выходом 18%. Состав этого соединения подтверждается данными масс-спектроскопии – два положительных иона с m/z [M + H]+ 396.0469 (100% 35Cl) и 398.0440 (31.8% 37Cl), вычислено 396.0476 (100%) и 398.0446 (32.0%) соответственно. Местоположение фосфатной группы и атома хлора установлено анализом данных ЯМР.
Как следует из данных ЯМР, ароматическая структура остатка гуанина не нарушена, следовательно, модификация прошла по остатку рибозы. Сдвиг сигнала C5′ в сильное поле (44.80 м.д. вместо обычных для 5′-фосфатов гуанозина 63–65 м.д.) указывает на то, что этот атом соединен с атомом более электроотрицательным, чем атом кислорода фосфатной группы. Сигналы атомов C1′, C2′ и C3′ расщеплены в дублеты (JC1′-P = 5.0, JC2′-P = 3.8 и JC3′-P = 2.1 Гц) – это характерно для атомов углерода, непосредственно соединенных с атомом кислорода фосфатной группы, и для соседних атомов углерода. Эти факты и результаты анализа двумерных спектров ЯМР однозначно подтверждают структуру соединения (VII) (рис. 3).
Рис. 3. Структура побочного продукта (VII) в синтезе 5′-монофосфата 7,3′-О-диметилгуанозина (V).
Триэтиламмониевая соль соединения (V) была получена тем же методом, что и соединение (II), но без удаления избытка POCl3. Выход составил 69%, соединение (VII) не образовывалось. Метилированием соединения (V) в условиях, описанных в работе Jemielity et al. [5], получили триэтиламмониевую соль соединения (VI) с выходом 83%.
Наконец, конденсацией соединений (IV) и (VI) в присутствии ZnCl2 синтезировали ARCA (I) в виде триэтиламмониевой соли. После перевода этой соли в натриевую выход составил 89%.
ЭКСПЕРИМЕНТАЛЬНАЯ ЧАСТЬ
В работе использовали реактивы Sigma (США) и Aldrich (США) без дополнительной очистки, 3′-О-метилгуанозин (Shanghai Macklin Biochemical Co., Ltd., КНР), DEAE-Sephadex A-25 и CM-Sephadex C-25 (Pharmacia, Швеция), Toyopearl DEAE-650M (Tosoh Corporation, Япония). Спектры ЯМР регистрировали на спектрометре Avance DRX-700 (Bruker, Германия) в DMSO-d6 или в D2O при 303 К. Рабочая частота для 1Н-ЯМР – 700 МГц, для 13С – 176 МГц, для 15N – 71 МГц. Химические сдвиги измеряли в м.д. (δ) относительно остаточных сигналов протонов DMSO (2.50 м.д.) или D2O (4.79 м.д.) в качестве внутреннего стандарта. Константы спин-спинового взаимодействия (J) измеряли в Гц.
Хромато-масс-спектрометрию проводили в системе Agilent 6210 TOF LC/MS (Agilent Technologies, США).
Гуанозин-5′-монофосфат, триэтиламмониевая соль (II). Суспензию 1 г (3.5 ммоль) гуанозина в 10 мл триэтилфосфата охлаждали до 0°С и при интенсивном перемешивании добавляли 1.3 мл (14.1 ммоль) POCl3. Инкубировали 3 ч при 0°С и 6 ч при 6°С. Избыток POCl3 отгоняли, добавляли 25 мл 1 М ТЕАВ и оставляли на 16 ч при комнатной температуре. Добавляли 50 мл воды и наносили на колонку (3 × 17 см) с DEAE-Sephadex A-25 (HCO3–-форма). Элюировали градиентом концентрации ТЕАВ (0.05–0.45 М, 1 л, скорость потока 6 мл/мин). Фракции, содержавшие искомый продукт, объединяли, упаривали, остатки триэтиламина удаляли соупариванием с этанолом (3 × 100 мл) и лиофилизировали. Выход 1.43 г (2.53 ммоль, 72%).
Вычислено для аниона C10H13N5O8P [M – H]– 362.0507, найдено 362.0736.
1Н-ЯМР (DMSO-d6): 7.96 (с, 1Н, Н8), 6.61 (с, 2Н, NH2), 5.69 (д, J 6.5, 1Н, H1′), 4.57–4.55 (м, 1Н, H2′), 4.18–4.17 (м, 1Н, H3′), 3.99–3.98 (м, 1Н, H4′), 3.88–3.85 (м, 1Н, H5′), 3.83–3.80 (м, 1Н, H5′).
13C-ЯМР (DMSO-d6): 157.31 (C6), 154.24 (C2), 151.98 (C4), 136.25 (C8), 117.00 (C5), 86.80 (C1′), 74.07 (C2′), 84.55 (д, J 7.6, C4′), 71.51 (C3′), 64.67 (д, J 4.1, C5′).
15N-ЯМР (DMSO-d6): 248.69 (N7), 169.79 (N9), 73.18 (NH2).
Гуанозин-5′-дифосфат, триэтиламмониевая соль (III). К раствору 98 мг (1 ммоль) безводной Н3РО4 в 10 мл DMF добавляли 140 мкл (1 ммоль) триэтиламина и выдерживали 30 мин (раствор 1). К суспензии 114 мг (0.2 ммоль) соединения (II) в 4 мл DMF добавляли 162 мг (1 ммоль) CDI и через 1.5 ч добавляли раствор 1. К получившейся суспензии добавляли раствор 166 мг (1.2 ммоль) ZnCl2 в 2 мл DMF и оставляли при интенсивном перемешивании на 16 ч. Упаривали досуха, растворяли в 30 мл воды и выливали в суспензию 500 мг (1.69 ммоль) EDTA в 30 мл воды. Нейтрализовали насыщенным водным раствором NaHCO3 и наносили на колонку (2 × 18 см) с Toyopearl DEAE-650M (HCO3–-форма). Элюировали градиентом концентрации ТЕАВ (0–0.3 М, 800 мл, скорость потока 7 мл/мин). Фракции, содержавшие целевое соединение, объединяли, упаривали, остатки триэтиламина удаляли соупариванием с этанолом (3 × 100 мл) и лиофилизировали. Выход 72 мг (0.11 ммоль, 57%).
Вычислено для аниона C10H14N5O11P2 [M – H]– 442.0171, найдено 442.0580.
1Н-ЯМР (D2O): 8.07 (c, 1H, H8), 5.89 (д, J 6.1, 1H, H1′), 4.72 (дд, J 5.4, 11.3, 1H, H2′), 4.49 (дд, J 3.6, 5.0, H3′), 4.31 (м, 4.32–4.30, H4′), 4.17 (м, 4.17–4.15, 2H, H5′).
13C-ЯМР (D2O): 158.97 (C6), 153.95 (C2), 151.78 (C4), 137.66 (C8), 116.22 (C5), 86.84 (C1′), 83.84 (д, J 9.0, C4′), 73.74 (C2′), 70.41 (H4′), 65.11 (д, J 5.7, C5′).
15N-ЯМР (D2O): 235.72 (N7), 167.93 (N9).
P2-Имидазолид гуанозин-5′-дифосфата, триэтиламмониевая соль (IV). К суспензии 260 мг (0.40 ммоль) соединения (III) в 5 мл DMF при интенсивном перемешивании добавляли 136 мг (2 ммоль) имидазола, 176 мг (0.8 ммоль) 2,2′-дитиодипиридина, 56 мкл (0.4 ммоль) триэтиламина и 208 мг (0.8 ммоль) трифенилфосфина. Через 16 ч высаживали при 0°С в 30 мл ацетона, содержавшего 200 мг NaClO4. Центрифугировали при 5000 g, осадок промывали холодным ацетоном (3 × 15 мл) и высушивали в вакууме. Выход 174 мг (73%).
Вычислено для аниона C13H16N7O10P2 [M –H]– 492,0439, найдено 492.0434.
1Н-ЯМР (DMSO-d6): 10.75 (с, 1Н, Н1), 7.89 (c, 1H, H8), 7.82 (c, 1H, H5′′), 7.23 (c, 1H, H4′′), 6.86 (c, 1H, H2′′), 6.64 (c, 2H, NH2), 5.67 (д, J 6.1, H1′), 4.55–4.54 (м, 1Н, H2′), 4.17–4.16 (м, 1Н, H3′), 3.95–3.93 (м, 1Н, H4′), 3.87–3.84 (м, 1Н, H5′), 3.79–3.76 (м, 1Н, H5′).
13C-ЯМР (DMSO-d6): 156.84 (C6), 153.60 (C2), 151.32 (C4), 139.16 (д, J 5.3, C5′′), 136.08 (C8), 127.48 (д, J 7.7, C2′′), 120,20 (д, J 5.5, C4′′), 116.78 (C5), 86.77 (C1′), 83.57 (д, J 7.5, C4′), 73.02 (C2′), 70.45 (C3′), 64.85 (д, J 3.0, C5′).
15N-ЯМР (DMSO-d6): 258.52 (N1′′), 248.66 (N7), 194.09 (N3′′), 169.62 (N9).
3′-О-Метилгуанозин-5′-монофосфат, триэтиламмониевая соль (V). Суспензию 200 мг (0.67 ммоль) 3′-О-метилгуанозина в 5 мл триэтилфосфата охлаждали до 0°С и при интенсивном перемешивании добавляли 0.3 мл (3.35 ммоль) POCl3. Инкубировали 2 ч при 0°С, добавляли 10 мл воды, нейтрализовали насыщенным водным раствором NaHCO3 и наносили на колонку (3 × 17 см) с DEAE-Sephadex A-25 (HCO3–-форма). Элюировали градиентом концентрации ТЕАВ (0.05–0.45 М, 1.4 л, скорость потока 7 мл/мин). Фракции, содержавшие искомый продукт, объединяли, упаривали, остатки триэтиламина удаляли соупариванием с этанолом (3 × 100 мл) и лиофилизировали. Выход 266 мг (0.46 ммоль, 69%).
Вычислено для аниона C11H15N5O8P [M – H]– 376.0664, найдено 376.0588.
1Н-ЯМР (DMSO-d6): 7.93 (c, 1H, H8), 6.76 (c, 2H, NH2), 5.69 (д, J 6.4, 1H, H1′), 4.65–4.63 (м, 1H, H2′), 4.10–4.08 (м, 1H, H4′), 3.91–3.88 (м, 1H, H5′), 3.84–3.83 (м, 1H, H5′), 3.83–3.82 (м, 1H, H4′), 3.41 (c, 3H, O-CH3).
13C-ЯМР (DMSO-d6): 157.14 (C6), 154.43 (C2), 151.96 (C4), 136.95 (C8), 116.98 (C5), 86.81 (C1′), 73.38 (C2′), 81.82 (C4′), 80.64 (C3′), 64.85 (д, J 5.2, C5′), 58.17 (OCH3).
15N-ЯМР (DMSO-d6): 249.93 (N7), 169.22 (N9), 75.10 (NH2).
7,3′-О-Диметилгуанозин-5′-монофосфат, триэтиламмониевая соль (VI). К раствору 200 мг (0.35 ммоль) соединения (V) в 3.5 мл DMSO добавляли 0.7 мл (12 ммоль) CH3I. Через 3 ч выливали в 100 мл ледяной воды и экстрагировали эфиром до исчезновения желтой окраски (5 × 50 мл). Водный слой нейтрализовали насыщенным водным раствором NaHCO3 и наносили на колонку (2 × 18 см) с Toyopearl DEAE-650M (HCO3–-форма). Элюировали градиентом концентрации ТЕАВ (0–0.2 М, 800 мл, скорость потока 5 мл/мин). Фракции, содержавшие целевое соединение, объединяли, упаривали, остатки триэтиламина удаляли соупариванием с этанолом (3 × 100 мл) и лиофилизировали. Выход 143 мг (0.30 ммоль, 83%).
Вычислено для C12H19N5O8P [M + H]+ 392.0971, найдено 392.0976.
1Н-ЯМР (DMSO-d6): 9.58 (c, 1H, H8), 7.50 (c, 2H, NH2), 5.82 (уш.сигн, 1H, H1′), 4.66 (уш.сигн, 1H, H2′), 4.16–4.15 (м, 1H, H4′), 4.04–4.02 (м, 1H, H5′; м, 1H, H4′), 4.00 (c, 3H, N-CH3), 3.84–3.83 (м, 1H, H5′), 3.37 (c, 3H, O-CH3).
13C-ЯМР (DMSO-d6): 158.88 (C6), 149.80 (C4), 136.06 (C8), 107.74 (C5), 89.84 (C1′), 82.70 (д, J 7.6, C4′), 78.80 (C3′), 73.45 (C2′), 62.96 (д, J 3.8, C5′), 58.07 (O-CH3), 35.92 (N-CH3).
15N-ЯМР (DMSO-d6): 159.80 (N7).
Р1-Гуанозин-5′-Р3-(7,3′-О-диметилгуанозин-5′)- трифосфат (натриевая соль) (I). К суспензии соединений (VI) (104 мг, 0.21 ммоль) и (IV) (111 мг, 0.16 ммоль) в 3 мл DMF добавляли раствор 250 мг (1.84 ммоль) ZnCl2 в 1 мл DMF. Через 16 ч прозрачный раствор выливали в суспензию 800 мг (2.72 ммоль) EDTA в 50 мл воды. Нейтрализовали насыщенным водным раствором NaHCO3 и наносили на колонку (2 × 18 см) с Toyopearl DEAE-650M (HCO3–-форма). Элюировали градиентом концентрации ТЕАВ (0–0.3 М, 800 мл, скорость потока 5 мл/мин). Фракции, содержавшие целевое соединение, объединяли, упаривали, остатки триэтиламина удаляли соупариванием с этанолом (3 × 100 мл). Сухой остаток растворяли в 10 мл воды, наносили на колонку (1.5 × 12 см) с CM-Sephadex C-25 (Na+-форма) и элюировали водой (скорость потока 0.5 мл/мин). Элюат лиофилизировали. Выход 165 мг (0.19 ммоль, 89%).
Вычислено для аниона C22H30N10O18P3 [M – H]– 815.0958, найдено 815.0859.
1Н-ЯМР (D2O): 7.96 (с, 1Н, H8-G), 5.85 (д, J 4.1, 1H, H1′-2mG), 5.76 (д, J 6.2, 1H, H1′-G), 4.68 (уш.сигн, 1Н, H2′-2mG), 4.66 (уш.сигн, 1Н, H2′-G), 4.44 (дд, J 3.6, 5.2, 1H, H3′-G), 4.42–4.39 (м, 1Н, H4′- 2mG), 4.38–4.33 (м, 1H, H5′- 2mG), 4.32–4.29 (м, 1H, H4′-G), 4.27–4.23 (м, 1H, H5′-G), 4.21–4.20 (м, 1H, H5′- 2mG), 4.20–4.19 (м, 1H, H5′-G), 4.10–4.08 (м, 1H, H3′- 2mG), 4.03 (с, 3H, N-CH3), 3.45 (с, 3H, O-CH3).
13C-ЯМР (D2O): 158.49 (C6-G), 137.53 (C8-G), 151.52 (C4-G), 149.35 (C4- 2mG), 137.53 (C8-G), 136.34 (C8- 2mG), 116.09 (C5-G), 108.02 (C5- 2mG), 89.68 (C1′- 2mG), 86.75 (C1′-G), 83.78 (д, J 8.0, C4′-G), 82.40 (д, J 9.4, C4′- 2mG), 78.57 (C3′- 2mG), 73.59 (C2′- 2mG), 73.53 (C2′-G), 70.33 (C3′-G), 65.46 (д, J 5.3, C5′-G), 64.81 (C5′- 2mG), 58.05 (O-CH3), 36.09 (N-CH3).
15N-ЯМР (D2O): 236.72 (N7-G), 168.09 (N9-G), 160.95 (N7- 2mG).
31Р-ЯМР (D2O, 243 Мгц, относительно H3PO4): –11.35 (д, J 17.2, 1P, Р1 или Р3), –11.55 (д, J 18.4, 1P, Р3 или Р1), от –22.84 до –23.26 (м, 1P, Р2).
3′-О-Метил-5′-дезокси-5′-хлоргуанозин-2′- фосфат, триэтиламмониевая соль (VII). Суспензию 100 мг (0.34 ммоль) 3′-О-метилгуанозина в 1 мл триэтилфосфата охлаждали до 0°С и при интенсивном перемешивании добавляли 0.1 мл (1.02 ммоль) POCl3. Через 3 ч отгоняли избыток POCl3, добавляли 3 мл насыщенного водного раствора NaHCO3, 50 мл воды и наносили на колонку (2 × 18 см) с Toyopearl DEAE-650M (HCO3–-форма). Элюировали градиентом концентрации ТЕАВ (0–0.2 М, 800 мл, скорость потока 5 мл/мин). Фракции, содержавшие целевое соединение, объединяли, упаривали, остатки триэтиламина удаляли соупариванием с этанолом (3 × 100 мл) и лиофилизировали. Выход 33 мг (0.06 ммоль, 18%).
Вычислено для C11H16ClN5O7P [M + H]+ 396.0476, 398.0446, найдено 396.0469, 398.0440.
1Н-ЯМР (DMSO-d6): 9.42 (уш. сигн, 1H, H1), 7.88 (c, 1H, H8), 6.62 (c, 2H, NH2), 5.90 (д, J 5.4, 1H, H1′), 5.12–5.09 (м, 1H, H2′), 4.18–4.16 (м, 1H, H3′), 4.12–4.09 (м, 1H, H4′), 3.90–3.87 (м, 1H, H5′), 3.80–3.78 (м, 1H, H5′), 3.47 (c, 3H, CH3).
13C-ЯМР (DMSO-d6): 156.70 (C6), 153.70(C2), 151.27 (C4), 135.87 (C8), 116.60 (C5), 85.73 (д, J 5.0, C1′), 81.46 (C4′), 79.15 (д, J 2.1, C3′), 73.49 (д, J 3.8, C2′), 57.55 (CH3), 44.80 (C5′).
15N-ЯМР (DMSO-d6): 248.60 (N7), 168.35 (N9), 148.03 (N1), 74.32 (NH2).
ЗАКЛЮЧЕНИЕ
Предложен новый вариант синтеза ARCA гуанозинового типа, метилированного по N7 и 3′-положениям гуанозина. Реализована схема конденсации 5′-монофосфата 7,3′-О-диметилгуанозина и 5′-дифосфата гуанозина, причем проводили активацию имидазолом именно 5′-дифосфата гуанозина. Определены условия фосфорилирования 3′-О-метилгуанозина, позволяющие избежать образования побочного 3′-О-метил-5′-дезокси-5′-хлоргуанозин-2′-фосфата. ARCA синтезирован с высоким выходом (89% на стадии конденсации).
Разработанный вариант синтеза ARCA легко масштабируется и может быть использован в практике биоорганической химии для получения граммовых количеств ARCA.
ФОНДОВАЯ ПОДДЕРЖКА
Работа выполнена при финансовой поддержке Министерства образования и науки Российской Федерации в рамках Соглашения 075-15-2021-1049.
СОБЛЮДЕНИЕ ЭТИЧЕСКИХ СТАНДАРТОВ
Настоящая статья не содержит описания исследований с участием людей или использованием животных в качестве объектов исследования.
КОНФЛИКТ ИНТЕРЕСОВ
Авторы заявляют об отсутствии конфликта интересов.
About the authors
A. L. Kayushin
Shemyakin and Ovchinnikov Institute of Bioorganic Chemistry RAS
Author for correspondence.
Email: kayushin.alexej@yandex.ru
Russian Federation, ul. Miklukho-Maklaya 16/10, Moscow, 117997
K. V. Antonov
Shemyakin and Ovchinnikov Institute of Bioorganic Chemistry RAS
Email: kayushin.alexej@yandex.ru
Russian Federation, ul. Miklukho-Maklaya 16/10, Moscow, 117997
E. V. Dorofeeva
Shemyakin and Ovchinnikov Institute of Bioorganic Chemistry RAS
Email: kayushin.alexej@yandex.ru
Russian Federation, ul. Miklukho-Maklaya 16/10, Moscow, 117997
M. Y. Berzina
Shemyakin and Ovchinnikov Institute of Bioorganic Chemistry RAS
Email: kayushin.alexej@yandex.ru
Russian Federation, ul. Miklukho-Maklaya 16/10, Moscow, 117997
A. O. Arnautova
Shemyakin and Ovchinnikov Institute of Bioorganic Chemistry RAS
Email: kayushin.alexej@yandex.ru
Russian Federation, ul. Miklukho-Maklaya 16/10, Moscow, 117997
I. A. Prohorenko
Shemyakin and Ovchinnikov Institute of Bioorganic Chemistry RAS
Email: kayushin.alexej@yandex.ru
Russian Federation, ul. Miklukho-Maklaya 16/10, Moscow, 117997
A. I. Miroshnikov
Shemyakin and Ovchinnikov Institute of Bioorganic Chemistry RAS
Email: kayushin.alexej@yandex.ru
Russian Federation, ul. Miklukho-Maklaya 16/10, Moscow, 117997
I. D. Konstantinova
Shemyakin and Ovchinnikov Institute of Bioorganic Chemistry RAS
Email: kayushin.alexej@yandex.ru
Russian Federation, ul. Miklukho-Maklaya 16/10, Moscow, 117997
References
- Peng Z.-H., Sharma V., Scott F. Singleton S.F., Paul D. Gershon P.D. // Org. Lett. 2002. V. 4. P. 161–164. https://doi.org/10.1021/ol0167715
- Rydzik A.M., Lukaszewicz M., Zuberek J., Kowalska J., Darzynkiewicz Z.M., Darzynkiewicz E., Jemielity J. // Org. Biomol. Chem. 2009. V. 7. P. 4763–4776. https://doi.org/10.1039/B911347A
- Grudzien-Nogalska E., Stepinski J., Jemielity J., Zuberek J., Stolarski R., Rhoads R.E, Darzynkiewicz E. // Methods Enzymol. 2007. V. 431. P. 203–227. https://doi.org/10.1016/S0076-6879(07)31011-2
- Stepinski J., Waddell C., Stolarski R., Darzynkiewicz E., Rhoads R.E. // RNA. 2001. V. 7. P. 1486–1495.
- Jemielity J., Fowler T., Zuberek J., Stepinski J., Lewdorowicz M., Niedzwiecka A., Stolarski R., Darzynkiewicz E., Rhoads R.E. // RNA. 2003. V. 9. P. 1108–1122. https://doi.org/10.1261/rna.5430403
- Yoshikawa М., Kato T., Takenishi T. // Bull. Chem. Soc. Jap. 1969. V. 42. P. 3505–3508.
- Kadokura M., Wada T., Urashima C., Sekine M. // Tetrahedron Lett. 1997. V. 38. P. 8359–8362. https://doi.org/10.1016/S0040-4039(97)10263-5
Supplementary files






