Synthesis of Fluorescent-Labeled Nucleotides for Labeling of Isothermal Amplification Products
- Authors: Shershov V.E.1, Kuznetsova V.E.1, Zasedatelev A.S.1, Vasiliskov V.A.1, Shekalova E.Y.1, Shtylev G.F.1, Shishkin I.Y.1, Levashova A.I.1, Lapa S.A.1, Chudinov A.V.1
-
Affiliations:
- Engelhardt Institute of Molecular Biology, Russian Academy of Sciences
- Issue: Vol 49, No 6 (2023)
- Pages: 649-656
- Section: ПИСЬМА РЕДАКТОРУ
- URL: https://journals.rcsi.science/0132-3423/article/view/148164
- DOI: https://doi.org/10.31857/S0132342323050056
- EDN: https://elibrary.ru/BAKVTC
- ID: 148164
Cite item
Full Text
Abstract
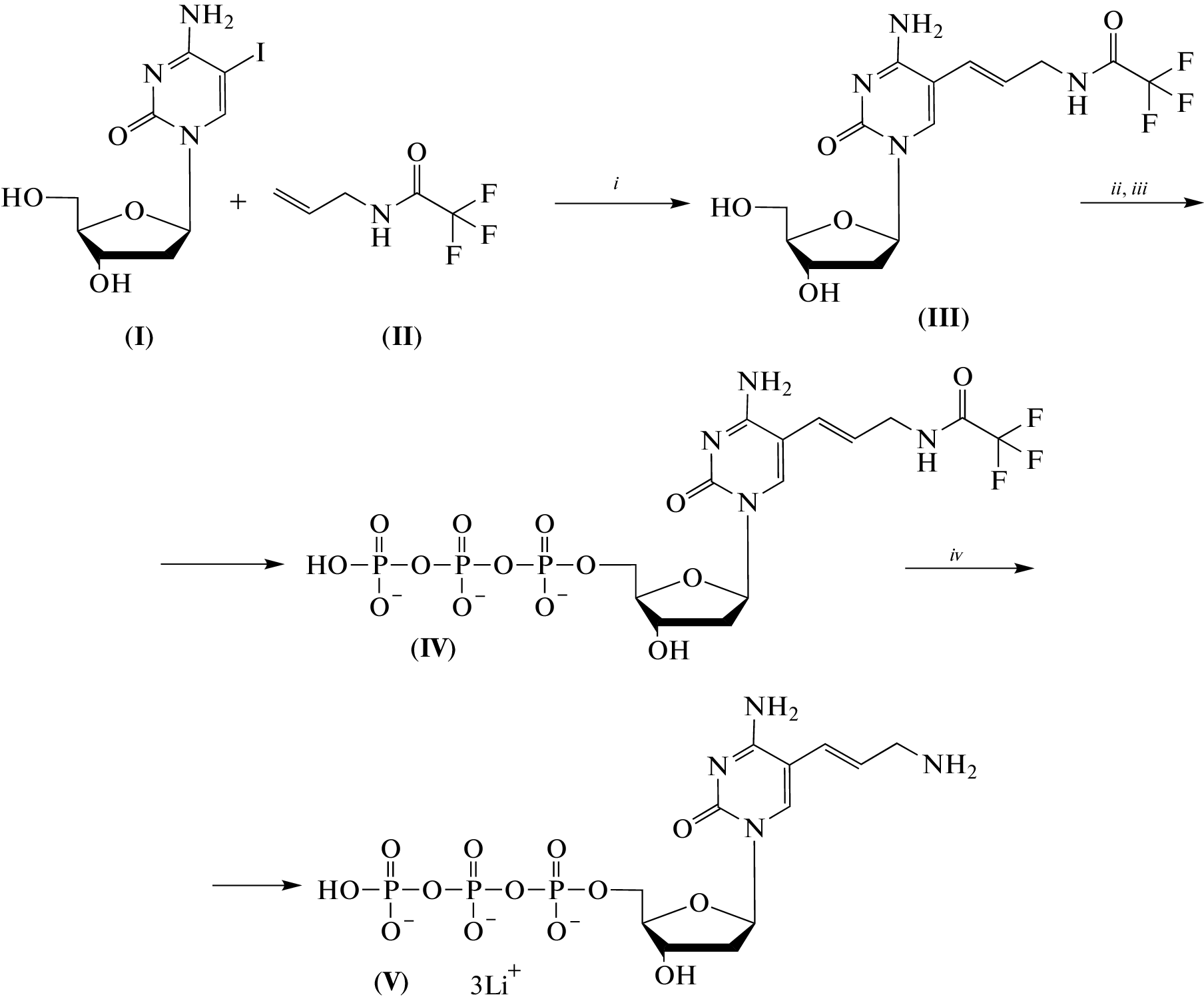
The synthesis of fluorescently labeled nucleotides containing a zwitterionic indodicarbocyanine dye attached via a trans-alkene spacer at the C5 position of the pyrimidine base was carried out, and their substrate efficiency was tested under conditions of recombinase polymerase amplification (RPA). As a result of RPA, the formation of full-sized target products of the ebpS gene fragment of the causative agent of bacterial pneumonia (Staphylococcus aureus) and a high density of fluorescent label embedding occurred.
About the authors
V. E. Shershov
Engelhardt Institute of Molecular Biology, Russian Academy of Sciences
Email: shershov@list.ru
Russia, 119991, Moscow, ul. Vavilova 32
V. E. Kuznetsova
Engelhardt Institute of Molecular Biology, Russian Academy of Sciences
Email: shershov@list.ru
Russia, 119991, Moscow, ul. Vavilova 32
A. S. Zasedatelev
Engelhardt Institute of Molecular Biology, Russian Academy of Sciences
Email: shershov@list.ru
Russia, 119991, Moscow, ul. Vavilova 32
V. A. Vasiliskov
Engelhardt Institute of Molecular Biology, Russian Academy of Sciences
Email: shershov@list.ru
Russia, 119991, Moscow, ul. Vavilova 32
E. Yu. Shekalova
Engelhardt Institute of Molecular Biology, Russian Academy of Sciences
Email: shershov@list.ru
Russia, 119991, Moscow, ul. Vavilova 32
G. F. Shtylev
Engelhardt Institute of Molecular Biology, Russian Academy of Sciences
Email: shershov@list.ru
Russia, 119991, Moscow, ul. Vavilova 32
I. Yu. Shishkin
Engelhardt Institute of Molecular Biology, Russian Academy of Sciences
Email: shershov@list.ru
Russia, 119991, Moscow, ul. Vavilova 32
A. I. Levashova
Engelhardt Institute of Molecular Biology, Russian Academy of Sciences
Email: shershov@list.ru
Russia, 119991, Moscow, ul. Vavilova 32
S. A. Lapa
Engelhardt Institute of Molecular Biology, Russian Academy of Sciences
Email: shershov@list.ru
Russia, 119991, Moscow, ul. Vavilova 32
A. V. Chudinov
Engelhardt Institute of Molecular Biology, Russian Academy of Sciences
Email: shershov@list.ru
Russia, 119991, Moscow, ul. Vavilova 32
References
- Donatin E., Drancourt M. // Med. Mal. Infect. 2012. V. 42. P. 453–459. https://doi.org/10.1016/j.medmal.2012.07.017
- Erdmann V.A., Jurga S., Barciszewski J. // RNA DNA Diagnostics. 2015. P. 259–280. https://doi.org/10.1007/978-3-319-17305-4_13
- Huang H.-J., Campana R., Akinfenwa O., Curin M., Sarzsinszky E., Karsonova A., Riabova K., Karaulov A., Niespodziana K., Elisyutina O., Fedenko E., Litovkina A., Smolnikov E., Khaitov M., Vrtala S., Schlederer T., Valenta R. // Front. Immunol. V. 11. P. 594978. https://doi.org/10.3389/fimmu.2020.594978
- Erickson D., O’Dell D., Jiang L., Oncescu V., Gumus A., Lee S., Mancuso M., Mehta S. // Lab. Chip. 2014. V. 14. P. 3159–3164. https://doi.org/10.1039/C4LC00142G
- Temiz Y., Lovchik R.D., Kaigala G.V., Delamarche E. // Microelectronic Engineering. 2015. V. 132. P. 156–175. https://doi.org/10.1016/j.mee.2014.10.013
- Allert R.D., Bruckmaier F., Neuling N.R., Freire-Moschovitis F.A., Liu K.S., Schrepel C., Schätzle P., Knittel P., Hermans M., Bucher D.B. // Lab. Chip. 2022. V. 22. P. 4831–4840. https://doi.org/10.1039/D2LC00874B
- Zhao Y., Chen F., Li Q., Wang L., Fan C. // Chem. Rev. 2015. V. 115. P. 12491–12545. https://doi.org/10.1021/acs.chemrev.5b00428
- Oliveira B.B., Veigas B., Baptista P.V. // Front. Sens. 2021. V. 2. P. 752600. https://doi.org/10.3389/fsens.2021.752600
- Li J., Macdonald J. // Biosens. Bioelectron. 2015. V. 64. P. 196−211. https://doi.org/10.1016/j.bios.2014.08.069
- Deng H., Gao Z. // Anal. Chim. Acta. 2015. V. 853. P. 30−45. https://doi.org/10.1016/j.aca.2014.09.037
- Spitsyn M.A., Kuznetsova V.E., Shershov V.E., Emelyanova M.A., Guseinov T.O., Lapa S.A., Nasedkina T.V., Zasedatelev A.S., Chudinov A.V. // Dyes Pigments. 2017. V. 147. P. 199–210. https://doi.org/10.1016/j.dyepig.2017.07.052
- Tesler J.K., Cruickshank A.L., Morrison E., Netzel T.L. // J. Am. Chem. Soc. 1989. V. 111. P. 6966–6976. https://doi.org/10.1021/ja00200a011
- Gandhi V.V., Samuels D.C. // Nucleosides, Nucleotides Nucleic Acids. 2011. V. 30. P. 317–339. https://doi.org/10.1080/15257770.2011.586955
- Ikemoto T., Haze A., Hatano H., Kitamoto Y., Ishida M., Nara K. // Chem. Pharm. Bull. 1995. V. 43 P. 210–215. https://doi.org/10.1248/cpb.43.210
- Спицын М.А., Кузнецова В.Е., Шершов В.Е., Лапа С.А., Гусейнов Т.О., Заседателев А.С., Чудинов А.В. // Биоорг. химия. 2017. Т. 43. С. 444–448. [Spitsyn M.A., Kuznetsova V.E., Shershov V.E., Lapa S.A., Guseinov T.O., Zasedatelev A.S., Chudinov A.V. // Russ. J. Bioorg. Chem. 2017. V. 43. P. 471–475.] https://doi.org/10.1134/S1068162017040136
- Zasedateleva O.A., Vasiliskov V.A., Surzhikov S.A., Kuznetsova V.E., Shershov V.E., Guseinov T.O., Smirnov I.P., Yurasov R.A., Spitsyn M.A., Chudinov A.V. // Nucleic Acids Res. 2018. V. 46. P. e73. https://doi.org/10.1093/nar/gky247
- Reddington M.V., Cunninghan-Bryant D. // Tetrahedron Lett. 2011. V. 52. P. 181–183. https://doi.org/10.1016/j.tetlet.2010.10.137
Supplementary files





