Induction of the Antioxidant Activity by Selenium Compounds in the Aspergillus niger Mycelium
- Authors: Poluboyarinov P.A.1, Kuznetsova A.V.1, Moiseeva I.Y.1, Mikulyak N.I.1, Kaplun A.P.2
-
Affiliations:
- Penza State University
- MIREA – Russian Technological University (Lomonosov Institute of Fine Chemical Technologies)
- Issue: Vol 49, No 5 (2023)
- Pages: 523-536
- Section: Articles
- URL: https://journals.rcsi.science/0132-3423/article/view/139256
- DOI: https://doi.org/10.31857/S0132342323040371
- EDN: https://elibrary.ru/ODQTVF
- ID: 139256
Cite item
Full Text
Abstract
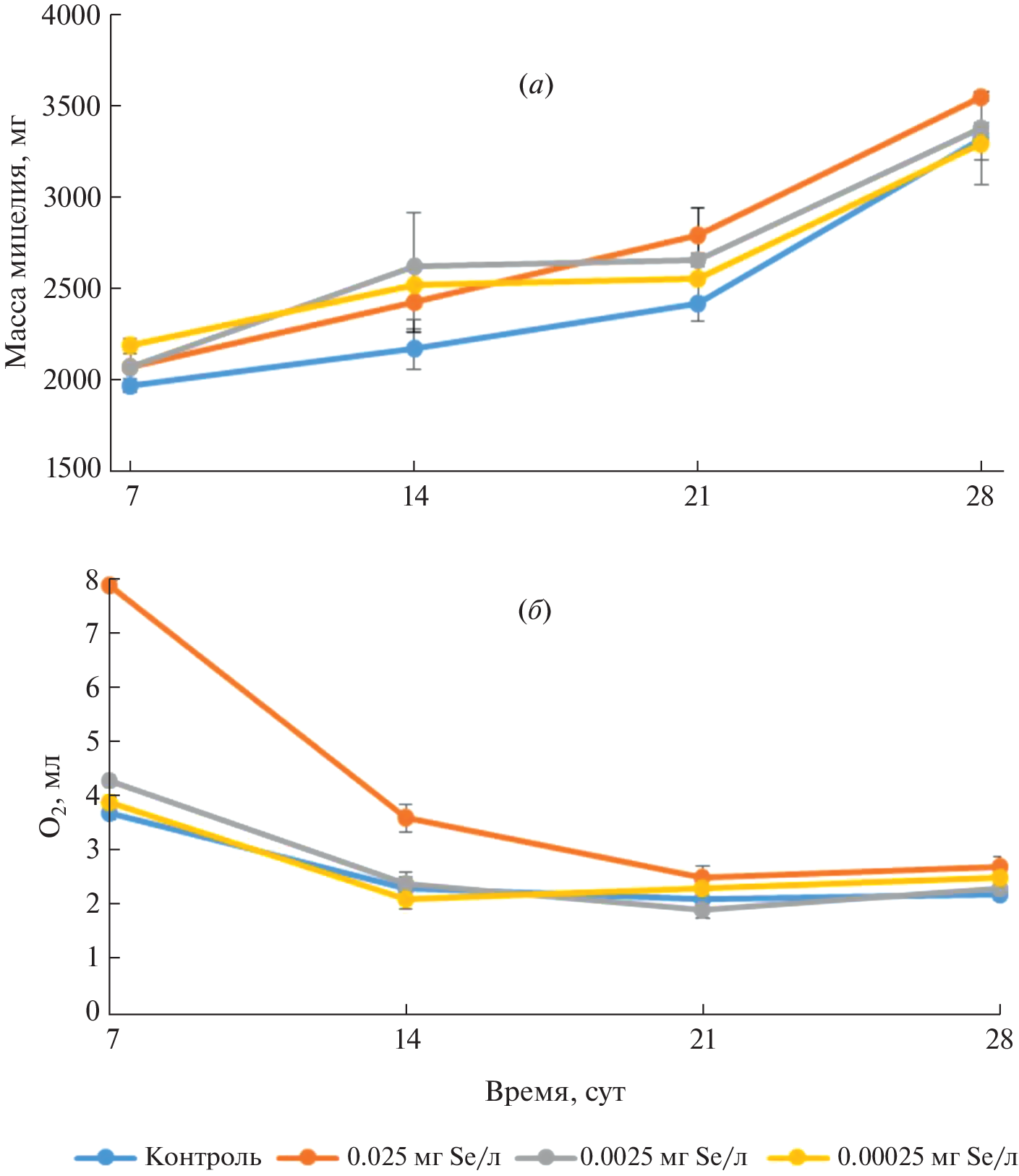
Investigation of the antioxidant activity (AOA) induction by selenium compounds (Na2SeO3, diacetophenonyl selenide (DAPS-25), L-selenocystine) in various organisms is interesting as a protection from stress induced cell membranes damages. A comparative analysis of the antioxidant activity of 23 amino acids was performed by coulometric titration with electrogenerated bromine and iodine. The activity decreases in the order: cystine > tryptophan > selenocystine > tyrosine > 3,3'-dimethyl-L-selenocystine > methionine. Only amino acids with sulfhydryl and selenol groups as more active reductants can interact with the electrogenerated iodine: cysteine > selenocysteine > threo-3-methyl-L-selenocysteine. Probably the correction of the antioxidant status at the amino acids level is based on the sulfhydryl and selenol groups in radicals. In case they are not enough, cystine, selenocystin, tryptophan, tyrosine, and methionine will act as scavenger-reductants. It was found that selenium compounds dose-dependently induce the total antioxidant activity of the A. niger mycelium and affect indicators of the antioxidant status (amino acid composition and catalase activity), which in turn stimulates the biomass accumulation. DAPS-25 and sodium selenite treatment at the high doses (0.025 mg Se/L) caused the greatest effect on the total AOA induction (3.4–5.5 times). Lower concentrations (0.0025–0.00025 mg Se/L) had a lesser effect (25.8–41.7%). Activity in samples with L-selenocystin increased by 1.6–43.3%. It is noted that the iodine antioxidant activity in the mycelium was generally lower than the bromine one.
Keywords
About the authors
P. A. Poluboyarinov
Penza State University
Author for correspondence.
Email: poluboyarinovpavel@yandex.ru
Russia, 440026, Penza, ul. Krasnaya 40
A. V. Kuznetsova
Penza State University
Email: poluboyarinovpavel@yandex.ru
Russia, 440026, Penza, ul. Krasnaya 40
I. Ya. Moiseeva
Penza State University
Email: poluboyarinovpavel@yandex.ru
Russia, 440026, Penza, ul. Krasnaya 40
N. I. Mikulyak
Penza State University
Email: poluboyarinovpavel@yandex.ru
Russia, 440026, Penza, ul. Krasnaya 40
A. P. Kaplun
MIREA – Russian Technological University (Lomonosov Institute of Fine Chemical Technologies)
Email: poluboyarinovpavel@yandex.ru
Russia, 125190, Moscow, Leningradskiy prosp. 80/5
References
- Jitca G., Osz B.E., Tero-Vescan A., Miklos A.P., Rusz C.M., Batrinu M.G., Vari C.E. // Antioxidants. 2022. V. 11. P. 1–30. https://doi.org/10.3390/antiox11030572
- Блинохватов А.Ф., Денисова Г.В., Ильин Д.Ю. // Селен в биосфере / Под ред. Блинохватова А.Ф. Пенза: Пензенская гос. с.-х. академия, 2001. 322 с.
- Santesmasses D., Mariotti M., Gladyshev V.N. // Antioxid. Redox Signal. 2020. V. 33. P. 525–536. https://doi.org/10.1089/ars.2020.8044
- Zhang Y., Roh Y.J., Han S.J., Park I., Lee H.M., Ok Y.S., Lee B.C., Lee S.R. // Antioxidants (Basel). 2020. V. 9. P. 1–17. https://doi.org/10.3390/antiox9050383
- Sies H. // Free Radic. Biol. Med. 1993. V. 14. P. 313–323. https://doi.org/10.1016/0891-5849(93)90028-s
- Блинохватов А.Ф. // 9-R-сим-нонагидро-10-окса(халькогена) антрацены и соли 9-R-сим-октагидро-10-оксониа (халькогенониа) антрацена: дисc. докт. хим. наук. Саратов, 1993. 378 с.
- Древко Б.И. // Патент RU 2051681 С1, 1996.
- Полубояринов П.А., Голубкина Н.А. // Физиология растений. 2015. Т. 62. С. 396–403. [Poluboyarinov P.A., Golubkina N.A. // Russ. J. Plant Physiol. 2015. V. 62. P. 367–374.] https://doi.org/10.1134/S1021443715030164
- Castillo-Godina R.G., Foroughbakhch-Pournavab R., Benavides-Mendoza A. // J. Agr. Sci. Tech. 2016. V. 18. P. 233–244.
- Bebien M., Lagniel G., Garin J., Touati D., Vermeglio A., Labarre J. // J. Bacteriol. 2002. V. 184. P. 1556–1564. https://doi.org/10.1128/jb.184.6.1556-1564.2002
- Строгов В.В., Родионова Т.Н. // Вестник ветеринарии. 2011. Т. 59. С. 150–152.
- Wang H.W., Cai D.B., Xiao G.H., Zhao C.L., Wang Z.H., Xu H.M., Guan Y.Q. // Israeli J. Aquacult.-Bamidgeh. 2009. V. 61. P. 322–332.
- Боряев Г.И., Гаврюшина И.В., Федоров Ю.Н. // С.-х. биол. 2010. Т. 45. С. 65–70.
- Dzobo K., Naik Y.S. // South African J. Sci. 2013. V. 109. P. 1–8. https://doi.org/10.1590/sajs.2013/965
- Golubkina N., Zamana S., Seredin T., Poluboyarinov P., Sokolov S., Baranova H., Krivenkov L., Pietrantonio L., Caruso G. // Plants (Basel). 2019. V. 8. P. 102. https://doi.org/10.3390/plants8040102
- Misra S., Kwong R.W.M., Niyogi S. // J. Exp. Biol. 2012. V. 215. P. 1491–1501. https://doi.org/10.1242/jeb.062307
- Полубояринов П.А., Елистратов Д.Г., Швец В.И. // Тонк. химич. технол. 2019. Т. 14. С. 5–24.
- Casalbore G., Mastragostino M., Valcher S. // J. Electroanal. Chem. 1978. V. 87. P. 411–418.
- Абуллин И.Ф., Будников Г.К. // Заводская лаб. 1998. Т. 64. С. 1–12.
- Ramussen. B., Sorensen A., Gotfredsen H., Pittelkow M. // Chem. Commun. 2014. V. 50. P. 3716–3718. https://doi.org/10.1039/C4CC00523F
- Sulfur in Organic and Inorganic Chemistry / Ed. Senning A. New York: Marcel Dekker, 1972.
- Pleasants J.C., Guo W., Rabenstein D.L. // J. Am. Chem. Soc. 1989. V. 111. P. 6553–6558.
- Hondal R.J., Ruggles E.L. // Amino Acids. 2011. V. 41. P. 73–89. https://doi.org/10.1007/s00726-010-0494-6
- Блинохватов А.Ф., Денисова Г.В., Иванов А.И., Ильин Д.Ю. // Микология и фитопатол. 2000. Т. 34. С. 42–45.
- Князева О.Е., Полубояринов П.А. // В сб. Современные проблемы теоретической и экспериментальной химии. Межвузовский сборник научных трудов XIV Всероссийской конференции молодых ученых с международным участием. Саратов, 2020. С. 64–67.
- Kieliszek M., Blazejak S., Bzducha-Wrobel A., Kot A.M. // Biol. Trace Elem. Res. 1989. V. 187. P. 316–327.
- Szabados L., Savoure A. // Trends Plant Sci. 2010. V. 15. P. 89–97.
- Yuan L., Zhang R., Ma X., Yang L., Zheng Q., Chen D., Li M., Fan T., Liu Y., Pan L., Yin X. // Nutrients. 2018. V. 10. P. 318. https://doi.org/10.3390/nu10030318
- Чикин Ю.А., Лихачев А.Н. // Микология и фитопатология. 1997. Т. 31. № 4. С. 54–61.
- Полубояринов П.А., Моисеева И.Я., Микуляк Н.И., Голубкина Н.А., Каплун А.П. // Изв. высших учебных заведений. Сер. Химия и химич. технол. 2022. Т. 65. С. 19–29. https://doi.org/10.6060/ivkkt.20226502.6466
- Полубояринов П.А., Голубкина Н.А., Аниськов А.А., Моисеева И.Я., Глебова Н.Н., Швец В.И. // Биоорг. химия. 2019. Т. 45. С. 365–373. [Poluboyarinov P.A., Golubkina N.A., Aniskov A.A., Moiseeva I.J., Glebova N.N., Shvets V.I. // Russ. J. Bioorg. Chem. 2019. V. 45. P. 241–247.] https://doi.org/10.1134/S1068162019040083
- Лапин А.А. // МВИ-001-44538054-07. Суммарная антиоксидантная активность. Методика выполнения измерений на кулонометрическом анализаторе. Жердевка: ООО Концерн “Отечественные инновационные технологии”, 2011. 35 с.
- Минеев В.Г., Сычев В.Г., Амельянчик O.A., Болышева Т.Н., Гомонова Н.Ф., Дурынина Е.П., Егоров B.C., Егорова Е.В., Едемская Н.Л., Карпова Е.А., Прижукова В.Г. // Практикум по агрохимии. Москва: изд-во МГУ, 2001. 689 с.
- М-04-38-2009. Методика определения протеиногенных аминокислот в кормах и сырье. ООО “Люмэкс-маркетинг”. СПб., 2014. 49 с.
- Панкратов А.Н., Цивилева О.М., Белобородая А.С., Цымбал О.А., Древко Я.Б. // Изв. Саратовского ун. Новая серия. Серия: Химия. Биология. Экология. 2017. Т. 17. № 3. С. 286–298.
Supplementary files
















