Synthesis of Liposomes Conjugated with CpG Oligonucleotide and Loaded with a Set of T-Cell Epitopes of the SARS-CoV-2 Virus
- Authors: Tretiakova D.S.1, Azhikina T.L.1, Boldyrev I.A.1, Svirshchevskaya E.V.1, Vodovozova E.L.1
-
Affiliations:
- Shemyakin–Ovchinnikov Institute of Bioorganic Chemistry, Russian Academy of Sciences
- Issue: Vol 49, No 4 (2023)
- Pages: 434-440
- Section: ПИСЬМА РЕДАКТОРУ
- URL: https://journals.rcsi.science/0132-3423/article/view/139182
- DOI: https://doi.org/10.31857/S0132342323040437
- EDN: https://elibrary.ru/OEDGQI
- ID: 139182
Cite item
Full Text
Abstract
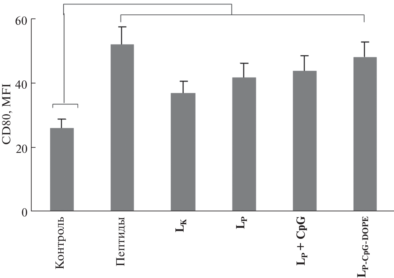
The synthesis of lipid conjugate of immunostimulatory oligodeoxyribonucleotide CpG-ODN (PD-CpG-DOPE) is described. Liposomes loaded with a composition of T-cell epitopes of the SARS-CoV-2 virus (7 peptides) and carrying PD-CpG-DOPE conjugate in the membrane, including lyophilized liposomes suitable for long-term storage, were prepared. In vitro experiments on mouse peritoneal exudate cells showed a tendency to increase the immunogenicity of liposomes with peptides when PD-CpG-DOPE conjugate was introduced into the lipid bilayer, compared with the addition of the (commercial) phosphorothioate derivative of CpG-ODN in solution.
About the authors
D. S. Tretiakova
Shemyakin–Ovchinnikov Institute of Bioorganic Chemistry, Russian Academy of Sciences
Email: elvod@lipids.ibch.ru
Russia, 117997, Moscow, ul. Miklukho-Maklaya 16/10
T. L. Azhikina
Shemyakin–Ovchinnikov Institute of Bioorganic Chemistry, Russian Academy of Sciences
Email: elvod@lipids.ibch.ru
Russia, 117997, Moscow, ul. Miklukho-Maklaya 16/10
I. A. Boldyrev
Shemyakin–Ovchinnikov Institute of Bioorganic Chemistry, Russian Academy of Sciences
Email: elvod@lipids.ibch.ru
Russia, 117997, Moscow, ul. Miklukho-Maklaya 16/10
E. V. Svirshchevskaya
Shemyakin–Ovchinnikov Institute of Bioorganic Chemistry, Russian Academy of Sciences
Email: elvod@lipids.ibch.ru
Russia, 117997, Moscow, ul. Miklukho-Maklaya 16/10
E. L. Vodovozova
Shemyakin–Ovchinnikov Institute of Bioorganic Chemistry, Russian Academy of Sciences
Author for correspondence.
Email: elvod@lipids.ibch.ru
Russia, 117997, Moscow, ul. Miklukho-Maklaya 16/10
References
- Apostolopoulos V., Bojarska J., Feehan J., Matsoukas J., Wolf W. // Front. Pharmacol. 2022. V. 13. P. 914467. https://doi.org/10.3389/fphar.2022.914467
- Di Natale C., La Manna S., De Benedictis I., Brandi P., Marasco D. // Front Pharmacol. 2020. V. 11. P. 578382. https://doi.org/10.3389/fphar.2020.578382
- Третьякова Д.С., Водовозова Е.Л. // Биол. мембраны. 2022. Т. 39. С. 85–106. [Tretiakova D.S., Vodovozova E.L. // Biochem. (Mosc.) Suppl. Ser. A Membr. Cell Biol. 2022. V. 16. P. 1–20.] https://doi.org/10.1134/s1990747822020076
- Nisini R., Poerio N., Mariotti S., De Santis F., Fraziano M. // Front. Immunol. 2018. V. 9. P. 155. https://doi.org/10.3389/fimmu.2018.00155
- Lee Y., Lee Y.S., Cho S.Y., Kwon H.J. // Adv. Protein Chem. Struct. Biol. 2015. V. 99. P. 75–97. https://doi.org/10.1016/bs.apcsb.2015.03.004
- Heuts J., Varypataki E.M., van der Maaden K., Romeijn S., Drijfhout J.W., van Scheltinga A.T., Ossendorp F., Jiskoot W. // Pharm. Res. 2018. V. 35. P. 207. https://doi.org/10.1007/s11095-018-2490-6
- Dhakal S., Cheng X., Salcido J., Renu S., Bondra K., Lakshmanappa Y.S., Misch C., Ghimire S., Feliciano-Ruiz N., Hogshead B., Krakowka S., Carson K., McDonough J., Lee C.W., Renukaradhya G.J. // Int. J. Nanomedicine. 2018. V. 13. P. 6699–6715. https://doi.org/10.2147/ijn.s178809
- Белявцев А.Н., Шастина Н.С., Куприянов В.В., Николаева Л.И., Мельникова М.В., Колесанова Е.Ф., Шимчишина М.Ю., Капустин И.В. // Биоорг. химия. 2022. Т. 48. С. 453–460. [Belyavtsev A.N., Shastina N.S., Kupriyanov V.V., Nikolaeva L.I., Melnikova M.V., Kolesanova E.F., Shimchishina M.Yu., Kapustin I.V. // Russ. J. Bioorg. Chem. 2022. V. 48. P. 621–627.] https://doi.org/10.1134/S1068162022030049
- Gayed P.M. // Yale J. Biol. Med. 2011. V. 84. P. 131–138.
- Hemmi H., Takeuchi O., Kawai T., Kaisho T., Sato S., Sanjo H., Matsumoto M., Hoshino K., Wagner H., Takeda K., Akira S. // Nature. 2000. V. 408. P. 740–745. https://doi.org/10.1038/35047123
- Hanagata N. // Int. J. Nanomedicine. 2012. V. 7. P. 2181–2195. https://doi.org/10.2147/ijn.s30197
- Nikoofal-Sahlabadi S., Riahi M.M., Sadri K., Badiee A., Nikpoor A.R., Jaafari M.R. // Eur. J. Pharm. Sci. 2018. V. 119. P. 159–170. https://doi.org/10.1016/j.ejps.2018.04.018
- Lahoud M.H., Ahmet F., Zhang J.G., Meuter S., Policheni A.N., Kitsoulis S., Lee C.N., O’Keeffe M., Sullivan L.C., Brooks A.G., Berry R., Rossjohn J., Mintern J.D., Vega-Ramos J., Villadangos J.A., Nicola N.A., Nussenzweig M.C., Stacey K.J., Shortman K., Heath W.R., Caminschi I. // Proc. Natl. Acad. Sci. USA. 2012. V. 109. P. 16270–16275. https://doi.org/10.1073/pnas.1208796109
- Ignacio B.J., Albin T.J., Esser-Kahn A.P., Verdoes M. // Bioconjug. Chem. 2018. V. 29. P. 587−603. https://doi.org/10.1021/acs.bioconjchem.7b00808
- Levenson E.A., Kiick K.L. // Acta Biomater. 2014. V. 10. P. 1134–1145. https://doi.org/10.1016/j.actbio.2013.11.022
- Clauson R.M., Berg B., Chertok B. // Bioconjug. Chem. 2019. V. 30. P. 561–567. https://doi.org/10.1021/acs.bioconjchem.9b00091
- Chatzikleanthous D., Schmidt S.T., Buffi G., Paciello I., Cunliffe R., Carboni F., Romano M.R., O’Hagan D.T., D’Oro U., Woods S., Roberts C.W., Perrie Y., Adamo R. // J. Control. Release. 2020. V. 323. P. 125–137. https://doi.org/10.1016/j.jconrel.2020.04.001
- Andrews C.D., Provoda C.J., Ott G., Lee K.D. // Bioconjug. Chem. 2011. V. 22. P. 1279–1286. https://doi.org/10.1021/bc100436y
- Lai C., Duan S., Ye F., Hou X., Li X., Zhao J., Yu X., Hu Z., Tang Z., Mo F., Yang X., Lu X. // Theranostics. 2018. V. 8. P. 1723–1739. https://doi.org/10.7150/thno.22056
- Третьякова Д.С., Алексеева А.С., Онищенко Н.Р., Болдырев И.А., Егорова Н.С., Васина Д.В., Гущин В.А., Чернов А.С., Телегин Г.Б., Казаков В.А., Плохих К.С., Коновалова М.В., Свирщевская Е.В., Водовозова Е.Л. // Биоорг. химия. 2023. Т. 49. С. 48–64. [Tretiakova D.S., Alekseeva A.S., Onishchenko N.R., Boldyrev I.A., Egorova N.S., Vasina D.V., Gushchin V.A., Chernov A.S., Telegin G.B., Kazakov V.A., Plokhikh K.S., Konovalova M.V., Svirshchevskaya E.V., Vodovozova E.L. // Russ. J. Bioorg. Chem. 2022. V. 48. Suppl. 1. P. S23–S37.] https://doi.org/10.1134/S1068162022060255
- Meng W., Yamazaki T., Nishida Y., Hanagata N. // BMC Biotechnol. 2011. V. 11. P. 88. https://doi.org/10.1186/1472-6750-11-88
- Mouritsen O.G., Jørgensen K. // Chem. Phys. Lipids. 1994. V. 73. P. 3–25. https://doi.org/10.1016/0009-3084(94)90171-6
- Mansourian M., Badiee A., Jalali S.A., Shariat S., Yazdani M., Amin M., Jaafari M.R. // Immunol. Lett. 2014. V. 162. P. 87–93. https://doi.org/10.1016/j.imlet.2014.07.008
- Schmidt S.T., Foged C., Korsholm K.S., Rades T., Christensen D. // Pharmaceutics. 2016. V. 8. P. 7. https://doi.org/10.3390/pharmaceutics8010007
- Engler O.B., Schwendener R.A., Dai W.J., Wolk B., Pichler W., Moradpour D., Brunner T., Cerny A. // Vaccine. 2004. V. 23. P. 58–68. https://doi.org/10.1016/j.vaccine.2004.05.009
- Kryukova E.V., Egorova N.S., Kudryavtsev D.S., Lebedev D.S., Spirova E.N., Zhmak M.N., Garifulina A.I., Kasheverov I.E., Utkin Y.N., Tsetlin V.I. // Front. Pharmacol. 2019. V. 10. P. 748. https://doi.org/10.3389/fphar.2019.00748
- Magano J., Conway B.G., Farrand D., Lovdahl M., Maloney M.T., Pozzo M.J., Teixeira J.J., Rizzo J., Tumelty D. // Synthesis. 2014. V. 46. P. 1399–1406. https://doi.org/10.1055/s-0033-1340980
- Germann M.W. // Nucleic Acids NMR Spectroscopy. Departments of Chemistry and Biology, Georgia State University, 2014. http://tesla.ccrc.uga.edu/courses/BioNMR2014/lectures/pdfs/NMR_14_mwgL1.pdf




