Changes in the Basic Metabolic Rate of the Crew under conditions of Eight Months Isolation in a Hermetic Object with a Moderately Hypercapnic Artificial Gas Environment. Message 1
- Authors: Demin A.V.1, Zaripov R.N.1
-
Affiliations:
- Institute of Biomedical Problems of the RAS
- Issue: Vol 50, No 5 (2024)
- Pages: 54-64
- Section: Articles
- URL: https://journals.rcsi.science/0131-1646/article/view/270770
- DOI: https://doi.org/10.31857/S0131164624050067
- EDN: https://elibrary.ru/AOHJXW
- ID: 270770
Cite item
Full Text
Abstract
Within the framework of the SIRIUS international project, a study of the basic metabolism of a gender-mixed crew in a sealed object with a moderately high content of carbon dioxide in the artificial atmosphere was conducted. Using mathematical methods, we estimated the basic metabolic rate of a crew of 5 people (3 men and 2 women) at rest for 240 days of isolation when simulating a flight to the Moon in the “SIRIUS-21” experiment. The period of isolation lasted from 4.11.2021 to 3.07.2022. BMR studies were performed twice in the background (on –38–35, –6 days), 7 times during the isolation period (23–25, 50–52, 84–86, 110–112, 154–156, 181–183, 222–224 day) and twice during the aftereffect period (+1–2, +8–9 days). It was found that the basic metabolism in isolation decreased by an average of 6 kcal/kg of body weight per day compared with natural environmental conditions. The crew was isolated from the effects of seasonal lighting changes in a sealed facility, the Ground-Based Medical and Technical Facility (NEK) of the Scientific Research Center of the Russian Federation - Institute of Biomedical Problems of the Russian Academy of Sciences, which does not have portholes, and where artificial lighting was created without seasonal changes. Inside the NEK, the comfort temperature was constantly maintained at +21–23 degrees Celsius and an artificial gas environment was formed, in which the oxygen content was maintained at 21%, carbon dioxide no more than 0.35%. In conditions of isolation from the action of these geophysical environmental factors, seasonal fluctuations in basal metabolism with a wave span of an average of 4 kcal /kg of body weight per day were detected: in the spring calendar season, the level of basal metabolism increased relative to the winter season. Seasonal local maximums and minimums of the basic exchange level for 2 calendar seasons (winter 2021/2022 and in spring 2022) were determined for each of the volunteers. The results obtained in this work can be applied in the field of space physiology to clarify the calculated oxygen reserves and caloric content of the crew’s rations for a long-term space mission, as well as in the design and programming of life support systems and thermal management systems for inhabited hermetic objects.
Full Text
Известно, что минимальное количество энергии, необходимое для поддержания жизнедеятельности физиологических систем организма в состоянии полного покоя (основной обмен), составляет 50–70% общих энерготрат организма человека при малоподвижном образе жизни [1–4]. Кроме того, известно, что уровень основного обмена (ОО) организма человека является интегральным показателем интенсивности окислительных процессов в тканях и может изменяться при недостаточном или избыточном питании, длительном увеличении или снижении физических нагрузок, при воздействии на организм сезонных и климатических факторов [5–8]. Изменения уровня ОО могут быть также связаны с развитием различных заболеваний [9]. В клинической практике для оценки ОО широко используются уравнения на основе антропометрических данных, однако фактические энерготраты рекомендуется определять инструментальными методами, в том числе с помощью калориметрии [10–12]. Наиболее информативной характеристикой энергетического обмена является удельная скорость ОО (ккал/кг/час) [13].
Определение уровня ОО имеет важное прикладное значение: на основе измерений ОО методом непрямой калориметрии можно количественно оценить базовые индивидуальные потребности в энергии и кислороде, а также теплопродукцию экипажей космических летательных аппаратов (КЛА), в том числе при планировании длительных миссий за пределы орбиты Земли [14—20]. Так как экипаж является не только объектом обеспечения теплового режима КЛА, но и источником тепла, в модельных экспериментах важно оценить теплопродукцию экипажа за период, сопоставимый с продолжительностью длительной космической миссии. Результаты непрямой калориметрии у экипажа за длительный период можно использовать для идентификации математических моделей теплового режима экипажа при его взаимодействии со средой герметичного объекта при проектировании систем обеспечения теплового режима КЛА [21, 22]. Индивидуальные данные калориметрии можно также применить для оценки индивидуальной теплопродукции и потребности в кислороде при использовании изолирующих средств защиты [23].
При этом следует учесть, что увеличение продолжительности пребывания человека в условиях невесомости сопровождается усилением катаболических процессов и постепенным снижением скорости многих метаболических реакций, обеспечивающих образование энергии в организме, а также снижением теплопродукции на 10–15% [19, 24].
Известно, что у человека в естественных геофизических условиях происходят сезонные изменения ОО, которые заключаются в повышении уровня энерготрат весной и ранним летом и понижении их поздней осенью и зимой [5, 7]. Это связано не столько с температурным фактором, сколько с изменением двигательной активности и колебаниями гормональной деятельности организма в соответствии с биологическими ритмами [25, 26]. Ранее, в 520-суточном изоляционном эксперименте “Марс-520” Государственного научного центра РФ – Института медико-биологических проблем РАН (ГНЦ РФ – ИМБП РАН, г. Москва) с помощью стохастического моделирования вегетативного индекса Кердо (ВИК) нами были обнаружены индивидуальные сезонные ритмы вегетативной регуляции центральной гемодинамики, а также найдены корреляции (r > 0.92, p ≤ 0.05) между величиной ВИК и потреблением кислорода при дозированной физической работе возрастающей мощности [27]. В случае сохранения сезонных колебаний основного энергетического обмена в условиях длительной изоляции от действия геофизических факторов в герметичном объекте следует оценить количественно и учесть эти изменения при расчетах калорийности запасов продуктов питания и кислородсодержащих соединений, необходимых для экипажей, а также в целях оптимизации работы систем управления тепловым режимом КЛА при длительных космических миссиях [28].
В ранее проводившихся исследованиях энергетического обмена в ходе модельных и космических экспериментов были исследованы в основном моногендерные экипажи, сформированные из добровольцев-мужчин [29]. В настоящее время большинство космических полетов проходят с гендерно-смешанными экипажами.
В связи с этим представляется актуальной задача количественной оценки уровня основного обмена и его сезонных изменений у гендерно-смешанного экипажа в условиях длительной изоляции в модельном эксперименте.
Цель работы – поиск закономерностей в динамике основного обмена у гендерно-смешанного экипажа в условиях длительной изоляции в герметичном объекте с умеренно гиперкапнической газовой средой в эксперименте SIRIUS-21.
Задачи работы – оценить: 1) количественно ОО и потребление кислорода в покое у экипажа гермообъекта за 8 мес. изоляции; 2) влияние условий восьмимесячной изоляции в герметичном объекте на уровень основного обмена у экипажа; 3) сезонные изменения ОО у экипажа за 2 календарных сезона в условиях изоляции от действия сезонных геофизических факторов.
МЕТОДИКА
В эксперименте SIRIUS-21 принимали участие 5 добровольцев (3 мужчин и 2 женщины) в возрасте от 29 до 43 лет. Добровольцы были ознакомлены со всеми требованиями и условиями для корректного измерения ОО. Исследования основного обмена методом непрямой калориметрии с дилюционным куполом проводили с помощью метаболографа Quark CPET (CosMed, Италия) [30, 31]. Сразу после 8-часового сна и 12-часового голодания в течение 20 мин исследовали газообмен в состоянии релаксации у добровольцев в положении лежа на спине [32]. Основные регистрируемые показатели: скорость потребления кислорода (мл/мин) и выделение углекислого газа (мл/мин). Из показателей газообмена вычисляли суточные энерготраты, ОО в ккал/сут. Первые 5 мин регистрации газообмена из анализа данных исключали. Исследование ОО у каждого добровольца было выполнено: дважды – в фоне (на –38–35, –9–6 сут), 7 раз в течение изоляции со средним интервалом между сессиями 33 сут (23–25, 50–52, 84–86, 110–112, 154–156, 181–183, 222–224 сут) в ЭУ-250 Наземного экспериментального комплекса (НЭК) ГНЦ РФ – ИМБП РАН (г. Москва) с умеренно гиперкапнической газовой средой и дважды в период последействия (+1–2, +8—9). Период изоляции продолжался с 4.11.2021. по 3.07.2022. Содержание СО2 в атмосфере ЭУ-250 во время исследований ОО в изоляции составляло 0.02–0.2%, температура 21–23 °С. Во время фонового периода добровольцы ночевали и были исследованы в клиническом отделе ГНЦ РФ – ИМБП РАН (г. Москва), в период последействия – в разгерметизированном НЭК. В ходе изоляции исследования ОО проводили ответственные за методику члены экипажа под дистанционным наблюдением и контролем научных сотрудников (авторов настоящей статьи). Период изоляции включал в себя два полных календарных сезона: зимний 2021/2022 гг. и весенний 2022 г. Экипаж был изолирован от действия сезонных изменений освещения, так как в герметичном объекте отсутствуют иллюминаторы, внутри было создано искусственное освещение, продолжительность дневного и ночного периодов не имела сезонных изменений. Внутри замкнутого объема поддерживали температуру комфорта 21–23 °C и формировали искусственную газовую среду, в которой с помощью СЖО поддерживали содержание кислорода на уровне 21%, диоксида углерода не более 0.35%.
Расчеты фактических энерготрат выполняли по уравнению Вейра (1949). Удельные энерготраты (ккал/кг/сут) рассчитывали на 1 кг массы тела добровольцев, измеренной во время медицинского контроля в день измерений газообмена. При разведочном статистическом анализе полученных данных описательной статистики вычисляли доверительные интервалы средних арифметических энерготрат с заданной надежностью 0.95. Далее проводили аппроксимацию полученных данных полиномами 7-го порядка методом максимального правдоподобия Фишера на интервале всего эксперимента. Энерготраты на интервалах эксперимента вычисляли с помощью определенного интегрирования полученных аналитических выражений. Для вычислений и графических интерпретаций результатов измерений использовали программное обеспечение: Origin Pro 8 (OriginLab Corporation, США) и DeriveTM6 V6.10 (Texas Instrument, США) [33, 34].
РЕЗУЛЬТАТЫ ИССЛЕДОВАНИЯ И ИХ ОБСУЖДЕНИЕ
Установлено, что в ходе 240-суточной изоляции в гермообъекте с умеренно гиперкапнической искусственной газовой средой уровень ОО у всех членов экипажа оказался пониженным по сравнению с фоном в среднем на 6 ккал/кг/сут (табл. 1). Аппроксимацию результатов измерений ОО из табл. 1 для каждого добровольца выполняли с использованием полиномов 7-го порядка в виде:
Таблица 1. Описательная статистика результатов измерений ОО у добровольцев эксперимента SIRIUS-21
Сутки эксперимента | ОО, ккал/кг/сут | СКО, ккал/кг/сут | N, объем выборки | Нижняя граница доверительного интервала среднего арифметического (надежность 0.95) | Верхняя граница доверительного интервала среднего арифметического (надежность 0.95) |
K | |||||
-38 | 21.49 | 0.72 | 91 | 21.35 | 21.65 |
-8 | 20.67 | 1.17 | 91 | 20.44 | 20.93 |
26 | 21.10 | 2.61 | 92 | 20.57 | 21.64 |
53 | 18.16 | 1.08 | 93 | 17.91 | 18.36 |
87 | 17.96 | 0.93 | 94 | 17.40 | 17.78 |
110 | 18.16 | 1.09 | 93 | 17.93 | 18.38 |
154 | 18.25 | 0.94 | 92 | 18.04 | 18.43 |
181 | 18.02 | 0.95 | 91 | 17.83 | 18.23 |
222 | 17.22 | 1.17 | 93 | 16.99 | 17.47 |
242 (+2) | 24.03 | 1.37 | 79 | 23.68 | 24.30 |
248 (+8) | 21.80 | 1.10 | 67 | 21.50 | 22.04 |
I | |||||
-37 | 24.40 | 2.60 | 91 | 23.86 | 24.94 |
-7 | 24.81 | 1.52 | 91 | 24.49 | 25.12 |
25 | 22.48 | 1.51 | 97 | 22.18 | 22.79 |
52 | 20.78 | 2.10 | 92 | 20.35 | 21.22 |
86 | 19.87 | 2.21 | 92 | 19.49 | 20.33 |
111 | 25.10 | 2.88 | 91 | 24.50 | 25.70 |
155 | 22.35 | 2.33 | 91 | 21.87 | 22.84 |
182 | 20.37 | 1.17 | 91 | 20.13 | 20.61 |
223 | 23.69 | 1.27 | 91 | 23.43 | 23.96 |
241 (+1) | 28.01 | 2.08 | 79 | 27.54 | 28.48 |
249 (+9) | 26.14 | 2.09 | 67 | 25.63 | 26.65 |
B | |||||
-37 | 26.92 | 1.54 | 91 | 24.50 | 25.22 |
-7 | 24.86 | 1.72 | 91 | 22.10 | 22.75 |
25 | 22.43 | 1.60 | 96 | 22.44 | 22.82 |
52 | 22.63 | 0.91 | 92 | 19.33 | 19.81 |
86 | 19.57 | 1.14 | 91 | 24.97 | 25.40 |
111 | 25.18 | 1.03 | 91 | 22.13 | 22.78 |
155 | 22.46 | 1.58 | 92 | 22.02 | 22.54 |
182 | 22.28 | 1.29 | 93 | 22.00 | 22.51 |
223 | 22.26 | 1.23 | 92 | 27.64 | 28.43 |
242 (+2) | 28.03 | 1.75 | 79 | 25.17 | 25.76 |
249 (+9) | 25.47 | 1.14 | 61 | 24.50 | 25.22 |
L | |||||
-38 | 29.70 | 3.70 | 91 | 28.93 | 30.48 |
-9 | 27.90 | 3.29 | 91 | 27.21 | 28.58 |
24 | 21.47 | 1.59 | 98 | 21.15 | 21.78 |
51 | 20.38 | 2.38 | 91 | 19.88 | 20.87 |
85 | 21.63 | 1.44 | 91 | 21.33 | 21.93 |
110 | 23.14 | 0.90 | 91 | 22.95 | 23.32 |
154 | 23.33 | 1.18 | 92 | 23.08 | 23.57 |
183 | 24.80 | 1.48 | 91 | 24.49 | 25.11 |
222 | 22.73 | 3.28 | 96 | 22.06 | 23.39 |
241 (+1) | 27.79 | 2.71 | 79 | 27.18 | 28.40 |
248 (+8) | 27.08 | 1.30 | 61 | 26.75 | 27.41 |
M | |||||
-35 | 21.88 | 1.11 | 94 | 21.66 | 22.11 |
-9 | 26.77 | 3.17 | 99 | 26.14 | 27.40 |
24 | 19.47 | 1.70 | 100 | 19.13 | 19.81 |
51 | 18.38 | 1.64 | 96 | 18.04 | 18.71 |
85 | 22.28 | 2.19 | 94 | 21.83 | 22.73 |
112 | 22.30 | 3.20 | 102 | 21.67 | 22.92 |
156 | 22.52 | 1.29 | 96 | 22.26 | 22.78 |
183 | 23.14 | 2.65 | 94 | 22.60 | 23.69 |
224 | 21.89 | 3.69 | 94 | 21.13 | 22.65 |
241 (+2) | 31.80 | 2.49 | 82 | 31.25 | 32.34 |
250 (+9) | 27.32 | 1.66 | 64 | 26.90 | 27.73 |
Примечание: K, I, B, L, M – идентификаторы добровольцев. ОО – основной обмен, СКО – среднеквадратическое отклонение.
, (1)
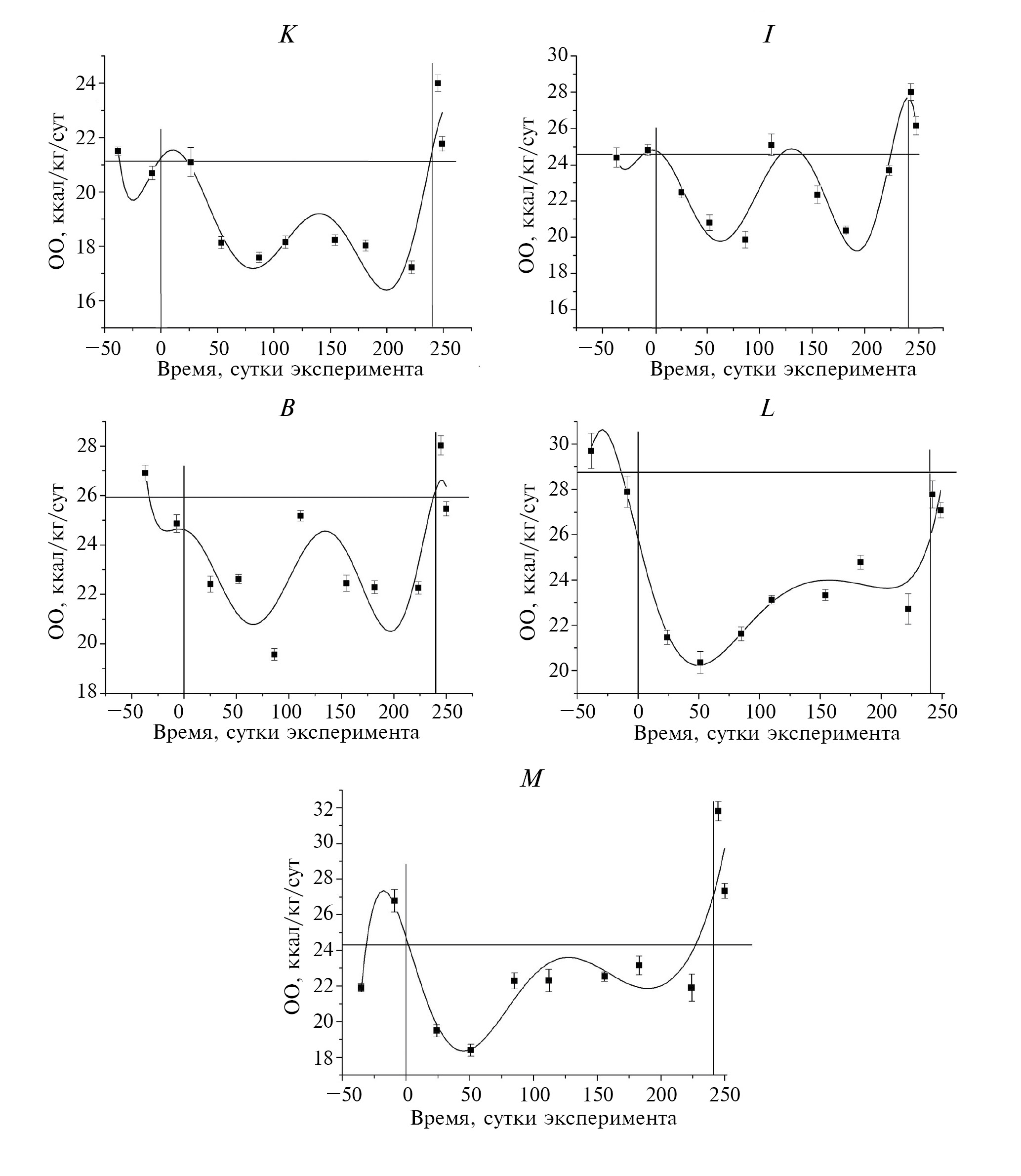
где y(t) – величина ОО (ккал/кг массы тела в сутки), в зависимости от времени t (сут). Методом наименьших квадратов находили численные значения индивидуальных коэффициентов: ai, bi, ci, fi, gi, hi, ji, zi. Графические интерпретации полученных аналитических выражений, аппроксимирующих индивидуальные средние арифметические значения результатов измерений ОО у добровольцев, представлены на рис. 1. Для оценки индивидуальных энерготрат на всем временнóм интервале изоляции (от 0 до 240 сут) вычисляли определенные интегралы по формуле:
. (2)
Рис. 1. Графические интерпретации динамики основного обмена (ОО) за 240 сут в нормальных условиях и в условиях изоляции у 5 добровольцев K, I, B, L, M. Кривые – графические интерпретации полиномов 7-го порядка, аппроксимирующих средние значения удельного ОО у добровольцев в фоне, изоляции и последействии. Горизонтальные линии – индивидуальные фоновые уровни ОО при нормальных условиях. Вертикальные линии обозначают начало (t1 = 0) и окончание (t2 = 240) периода изоляции. Черные квадраты – средние арифметические результатов измерений ОО за каждую сессию исследования, вертикальные отрезки у квадратов обозначают границы доверительных интервалов, с надежностью 0.95 накрывающих индивидуальные средние арифметические значения ОО
Результаты интегрирования энерготрат за 240 сут изоляции представлены в табл. 2. В целях сравнения с нормальными условиями на том же временнóм интервале вычисляли площади прямоугольных фигур, образованных осью абсцисс и горизонтальными прямыми на уровнях индивидуальных средних фоновых энерготрат.
Таблица 2. Изменения ОО у добровольцев SIRIUS-21 (ккал/кг за 240 сут)
Доброволец | ОО при НУ (фон) | ОО в УИ | Разность (Δ) ОО НУ vs УИ | Δ(%) |
К | 5063 | 4454 | ↓608 | ↓12% |
I | 5904 | 5360 | ↓544 | ↓9% |
B | 6214 | 5437 | ↓777 | ↓12% |
L | 6913 | 5493 | ↓1420 | ↓20% |
M | 5839 | 5261 | ↓578 | ↓10% |
В среднем | 5987 | 5201 | 785 | 13% |
Примечание: ОО – основной обмен, НУ – нормальные условия, УИ – условия изоляции.
При сравнении результатов интегрирования определили, что за весь период изоляции уровень ОО у добровольцев снизился в среднем на 785 ккал/кг массы тела, т. е. на 13% по сравнению с фоном (табл. 2).
Переходя к совокупным (валовым) оценкам для всего экипажа обнаружено, что в условиях изоляции ОО составил 1978 мкал за 240 сут, что в среднем на 439 мкал ниже по сравнению с нормальными условиями фона (табл. 3). Воспользовавшись калорическим эквивалентом 4.825 ккал на 1 литр потребленного O2, вычислили, что экипаж из 5 чел. потребил в покое за 240 сут изоляции 410 кЛ O2, что на 91 кЛ меньше по сравнению с нормальными условиями фона за такой же период. Снижение уровня ОО и потребления кислорода в условиях модельной изоляции в герметичном объекте известно из литературы и объясняется снижением общего уровня двигательной активности [17, 29]. Механизмы данного явления требуют дальнейшего изучения. Полученные нами данные развивают результаты работы [20].
Таблица 3. Валовый ОО у экипажа SIRIUS-21 (мкал/240 сут) в НУ и УИ
Доброволец | ОО при НУ | ОО в УИ | Разность (Δ) ОО НУ vs УИ | Δ(%) |
K | 502 | 420 | 82 | ↓16% |
I | 618 | 489 | 129 | ↓21% |
B | 416 | 362 | 55 | ↓13% |
L | 467 | 353 | 114 | ↓24% |
M | 414 | 354 | 60 | ↓10% |
Весь экипаж | 2417 | 1978 | 439 | ↓18 |
Примечание: обозначения см. табл. 2.
В целях удобства сравнения и поиска общих закономерностей поместили графические интерпретации индивидуальных полиномиальных моделей динамики ОО за весь период эксперимента на один рисунок (рис. 2). Очевидно, что у всех добровольцев в условиях изоляции – близкие по времени локальные минимумы и максимумы интенсивности ОО. Далее сопоставили время обнаруженных локальных максимумов энерготрат с календарным временем. Наблюдается общий рост уровней ОО на границе календарных сезонов и достижение локальных максимумов ОО в весенний календарный сезон у всех добровольцев.
Рис. 2. Кривые – графические интерпретации полиномов 7-го порядка, аппроксимирующих средние значения удельного основного обмена добровольцев K, I, B, L, M за весь период эксперимента SIRIUS-21. Вертикальные линии (t1 = 28, t2 = 116.5, t3 = 208 сут изоляции) обозначают начала и окончания календарных сезонов: зимы и весны 2022 г.
В результате интегрирования энерготрат покоя на интервалах двух календарных сезонов нами установлено, что у всех добровольцев в весенний календарный сезон уровень основного обмена оказался выше, чем в зимний календарный сезон, в среднем на 221 ккал/кг за 90 сут, или на 10%. Результаты интегрирования энерготрат представлены в табл. 4.
Таблица 4. Сезонные уровни удельного основного обмена (ОО) у добровольцев SIRIUS-21
Идентификатор добровольца | ОО ккал/кг за 90 сут (зима) | ОО ккал/кг за 90 сут (весна) | Разность (Δ) ОО весна vs зима | Δ(%) |
К | 1585 | 1659 | ↑73 | ↑4% |
I | 1850 | 2039 | ↑189 | ↑9% |
B | 1899 | 2092 | ↑193 | ↑9% |
L | 1853 | 2188 | ↑335 | ↑15% |
M | 1770 | 2087 | ↑316 | ↑15% |
В среднем | 1791 | 2013 | 221 | ↑10% |
Согласно примененной полиномиальной модели локальные минимумы основного обмена наблюдались в зимний календарный сезон в диапазоне 46–81 сут изоляции, а локальные максимумы основного обмена наблюдались в весенний календарный сезон в диапазоне 128–156 сут изоляции. Началу календарной весны (1 марта 2022 г.) соответствовали 117 сут изоляции. Таким образом, сезонный ритм ОО в условиях изоляции от геофизических факторов сохранился, по крайней мере, в течение 2 календарных сезонов у всех членов экипажа. Данный результат развивает и дополняет результаты, полученные в работе [35]. Исследования сезонных изменений ОО в связи с гормональной регуляцией энергетического обмена продолжаются авторами настоящей работы в ходе годовой изоляции 2023/2024 гг. у гендерно-смешанного экипажа из 6 чел. в эксперименте SIRIUS-23.
ЗАКЛЮЧЕНИЕ
Таким образом, в работе установлено обратимое снижение интенсивности ОО у гендерно-смешанного экипажа из 5 чел. в условиях длительной изоляции в гермообъекте с умеренно гиперкапнической искусственной газовой средой. При этом величина основного обмена у добровольцев в условиях изоляции снижалась на 6 ккал/кг/сут. Валовое снижение основного обмена у всего экипажа из 5 чел. по сравнению с фоном составило 439 мкал за 240 сут изоляции. Этому соответствовало валовое снижение потребления экипажем кислорода на 91 кЛ за 240 сут. Совокупная теплопродукция экипажа в покое оценена в 1978 мкал за 240 сут изоляции в гермообъекте. Этому соответствует совокупное потребление кислорода у всего экипажа из 5 чел. в покое 410 кЛ за 240 сут. В условиях изоляции от действия сезонных геофизических факторов внешней среды у всех добровольцев обнаружено увеличение уровня ОО в весенний календарный сезон по сравнению с зимним. Величина индивидуального прироста между зимним локальным минимумом ОО и весенним локальным максимумом ОО составила в среднем 4 ккал/кг/сут. Прирост уровня ОО у добровольцев весной составил в среднем 221 ккал/кг за 90 сут по сравнению с зимним календарным сезоном.
Финансирование работы. Работа выполнена в рамках научной темы РАН FMFR-2024-0038.
Соблюдение этических стандартов. Все исследования проводились в соответствии с принципами биомедицинской этики, изложенными в Хельсинкской декларации 1964 г. и последующих поправках к ней. Они также были одобрены комиссией по биомедицинской этике ГНЦ РФ – Институтом медико-биологических проблем РАН (Москва), протокол № 539 от 17.03.2020 г.
Каждый участник исследования дал добровольное письменное информированное согласие после получения разъяснений о потенциальных рисках и преимуществах, а также о характере предстоящего исследования.
Конфликт интересов. Авторы данной работы заявляют, что у них нет конфликта интересов.
Благодарности. Авторы выражают благодарность добровольцам экипажа SIRIUS-21 за ответственное выполнение методики эксперимента.
Вклад авторов в публикацию. Р.Н. Зарипов, А.В. Демин – планирование, организация и проведение эксперимента, физиологические измерения, редактирование статьи. А.В. Демин – анализ данных, написание статьи.
About the authors
A. V. Demin
Institute of Biomedical Problems of the RAS
Author for correspondence.
Email: a_demin2005@mail.ru
Russian Federation, Moscow
R. N. Zaripov
Institute of Biomedical Problems of the RAS
Email: a_demin2005@mail.ru
Russian Federation, Moscow
References
- McMurray U. Metabolism in humans / Fundamentals of the doctrine of the relationship of biochemistry with physiology and pathology. M.: Mir, 1980. 368 p.
- Ivanov K.P. [Fundamentals of body energy: Theoretical and practical aspects. V. 3. Modern problems, riddles and paradoxes of energy balance regulation]. St. Petersburg: Nauka, 2001. 278 p.
- Herman I. Physics of the human body. Dolgoprudny: Intellect, 2014. 992 p.
- Hall J.E Medical physiology according to Guyton and Hall. M.: Logosphera, 2018. 1328 p.
- Berkovich E.M. [Energy metabolism in norm and pathology]. M.: Meditsina, 1964. 334 p.
- Olnyanskaya R.P. [Essays on the regulation of metabolism]. L.: Nauka, 1964. 234 p.
- Slonim A.D. [Ecological physiology of animals]. M.: Vysshaya Shkola, 1971. 448 p.
- [Ecological physiology of animals. Part 2. Physiological systems in the process of adaptation and environmental factors. Manual of physiology]. Ed. Slonim A.D. L.: Nauka, 1981. 528 p.
- Chen K., Zhang Y., Zhou S. et al. The association between the basal metabolic rate and cardiovascular disease: A two-sample Mendelian randomization study // Eur. J. Clin Invest. 2024. V. 54. № 5. P. e14153.
- Blasco Redondo R. Resting energy expenditure; assessment methods and applications // Nutr. Hosp. 2015. V. 31. Suppl 3. P. 245.
- Pavlidou E., Papadopoulou S.K., Seroglou K., Giaginis C. Revised Harris-Benedict equation: New human resting metabolic rate equation // Metabolites. 2023. V. 13. № 2. P. 189.
- Heymsfield S.B., Smith B., Dahle J. et al. Resting energy expenditure: from cellular to whole-body level, a mechanistic historical perspective // Obesity (Silver Spring). 2021. V. 29. № 3. P. 500.
- [Monitoring of nutritional status using modern methods of nutrimetabolomics and optimization of diet therapy in internal pathology. (Methodological recommendations for doctors of the Ministry of Health of the Russian Federation).] M.: Etalon, 2006. 36 p.
- Ilyushin Yu.S., Olizarov V.V. [Systems for life support and rescue of aircraft crews]. M.: VVIA im. prof. N.E. Zhukovskogo, 1972. 492 p.
- Haskin V.V. [Energy of heat generation and adaptation to cold]. Novosibirsk: Nauka, 1975. 200 p.
- Malozemov V.V. [Thermal regime of spacecraft]. M.: Mashinostroenie, 1980. 232 p.
- Baranov V.M. [Human gas and energy exchange in space flight and model research]. M.: Nauka, 1993. 126 p.
- Glushko A.A. [Space ecology]. M.: Inzhenernaya Ekologiya, 2005. 624 p.
- Shibanov G.P. [Habitability of space and safety of human stay in it]. M.: Mashinostroenie, 2007. 544 p.
- Demin A.V., Ivanov A.I., Suvorov A.V. [Human heat production in different states] // Bulletin of Tver State University. Series: Biology and Ecology. 2013. V. 29. № 2. P. 99.
- Malozemov V.V., Rozhnov V.F., Pravetsky V.N. [Life support systems for aircraft crews]. M.: Mashinostroenie, 1986. 584 p.
- Glushko A.A. [Space life support systems (biophysical fundamentals of design and testing)]. M.: Mashinostroenie, 1986. 304 p.
- Gorodinsky S.M., Glushko A.A., Orekhov B.V. [Calorimetry in insulating means of human protection]. M.: Mashinostroenie, 1976. 208 p.
- Bioastronautics Data book / NASA. Washington, 1973. P. 847.
- Fujihira K., Takahashi M., Wang Ch., Hayashi N. Factors explaining seasonal variation in energy intake: a review // Front. Nutr. 2023. V. 10. P. 1192223.
- Golikov A.P., Golikov P.P. [Seasonal biorhythms in physiology and pathology]. M.: Meditsina, 1973. 167 p.
- Demin A.V. [Development of a method for indirect assessment of human oxygen consumption] // Bulletin of Tver State University. Series: Biology and Ecology. 2013. № 2. P. 90.
- Menshov A.I. [Space ergonomics]. L.: Nauka, 1971. 296 p.
- [A model experiment with long-term isolation: problems and achievements]. Ed. Baranov V.M. M.: Slovo, 2001. 590 p.
- McLean J.A., Tobin G. Animal and Human Calorimetry. Cambridge University Press, 2008. 356 p.
- Alcantara J.M.A., Galgani J.E., Jurado-Fasoli L. et al. Validity of four commercially available metabolic carts for assessing resting metabolic rate and respiratory exchange ratio in non-ventilated humans // Clin. Nutr. 2022. V. 41. № 3. P. 746.
- Fullmer S., Benson-Davies S., Earthman C.P. et al. Evidence analysis library review of best practices for performing indirect calorimetry in healthy and non-critically ill individuals // J. Acad. Nutr. Diet. 2015. V. 115. № 9. P. 1417.
- Dyakonov V.P. [Handbook of the system of symbolic mathematics DERIVE]. M.: SK Press, 1998. 255 p.
- Isakova O.P., Tarasevich Yu.Yu., Yuzyuk Yu.I. [Processing and visualization of physical experiment data using the Origin package]. M.: Librocom, 2009. 138 p.
- Demin A.V., Dyachenko A.I., Ivanov A.I. et al. Instrumental monitoring of the state of the human autonomic nervous system in the Mars-520 experiment // Biomed. Eng. 2013. № 2. P. 86.
Supplementary files




