Assessment of Stress-Strain State of Pipelines Based on the Measurements of Magnetic Characteristics in Field Conditions
- Authors: Myznov K.E.1, Vasilenko O.N.1, Kostin V.N.1, Tronza V.S.2, Bondina A.N.2, Kukushkin S.S.2, Tryakina N.Y.2, Salomatin A.S.2
-
Affiliations:
- M.N. Mikheev Institute of Metal Physics of Ural Branch of Russian Academy of Sciences
- Gazprom Transgas Yekaterinburg LLC
- Issue: No 12 (2024)
- Pages: 69-80
- Section: Electromagnetic methods
- URL: https://journals.rcsi.science/0130-3082/article/view/273547
- DOI: https://doi.org/10.31857/S0130308224120068
- ID: 273547
Cite item
Abstract
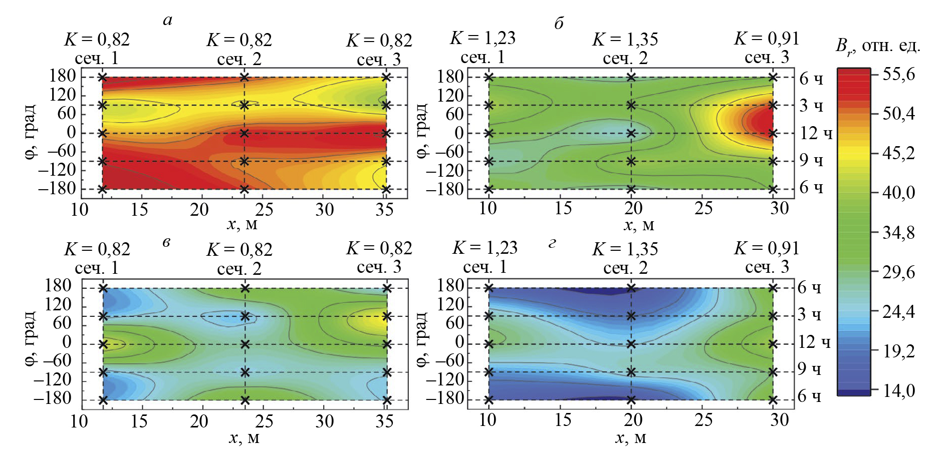
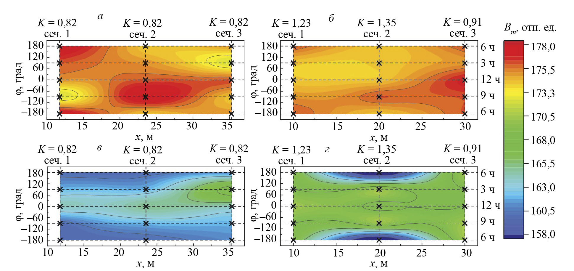
A series of measurements on two pipeline sections made of 17G1S (17Г1С) steel using two measuring devices: magnetic multitester MMT-3 and magnetic analyser of structure KRM-C-K2M (КРМ-Ц-К2М) has been carried out. Maps of coercive force, residual magnetic induction and maximum magnetic induction on the pipes were obtained. The coefficient of loading for different cross-sections of the pipeline was calculated. Dependence of magnetic characteristics averaged over the cross-section on the coefficient of loading is plotted. It is revealed that the most dangerous for destruction cross-sections, in which the coefficient of loading exceeded the critical value of 1,2, correspond to the reduced values of coercive force and residual magnetic induction, obtained in the direction of measurement along the pipeline axis. It is shown that measurement along the axis at the top of the pipeline shows a similar relationship as for the cross-sectional averaged values, which means that in pipeline aerial crossings, measurement only at the top of the pipeline may be sufficient.
Full Text
About the authors
K. E. Myznov
M.N. Mikheev Institute of Metal Physics of Ural Branch of Russian Academy of Sciences
Author for correspondence.
Email: myznov@imp.uran.ru
Russian Federation, Yekaterinburg
O. N. Vasilenko
M.N. Mikheev Institute of Metal Physics of Ural Branch of Russian Academy of Sciences
Email: vasilenko@imp.uran.ru
Russian Federation, Yekaterinburg
V. N. Kostin
M.N. Mikheev Institute of Metal Physics of Ural Branch of Russian Academy of Sciences
Email: kostin@imp.uran.ru
Russian Federation, Yekaterinburg
V. S. Tronza
Gazprom Transgas Yekaterinburg LLC
Email: myznov@imp.uran.ru
Russian Federation, Yekaterinburg
A. N. Bondina
Gazprom Transgas Yekaterinburg LLC
Email: myznov@imp.uran.ru
Russian Federation, Yekaterinburg
S. S. Kukushkin
Gazprom Transgas Yekaterinburg LLC
Email: myznov@imp.uran.ru
Russian Federation, Yekaterinburg
N. Yu. Tryakina
Gazprom Transgas Yekaterinburg LLC
Email: myznov@imp.uran.ru
Russian Federation, Yekaterinburg
A. S. Salomatin
Gazprom Transgas Yekaterinburg LLC
Email: myznov@imp.uran.ru
Russian Federation, Yekaterinburg
References
- Ignatik A.A. A computational and experimental assessment of the pipeline stress state under bending load and internal pressure // Oil and Gas Studies. 2021. No. 2. P. 114—126.
- Ignatik A.A. Stress-strain state characteristics of pipeline wall under the internal pressure, bending, and torsion // Gas Industry Journal. 2020. No. 4. P. 102—107.
- Recommendations on assessment of strength and stability of operated gas mains and pipelines of compressor stations / Effective as of 24 November 2006. Moscow: Gazprom VNIIGAZ, 2007. 42 p.
- SNiP (Building Codes and Regulations) 2.05.06-85. Trunk pipelines, Moscow: FGUP TSPP, 2005, 60 p.
- SP (Set of Rules) 36.13330.2012. Trunk pipelines, Moscow: Gosstroy, 2013. 93 p.
- Zakharov V.A., Ul'yanov A.I., Gorkunov E.S. Coercive force of ferromagnetic steels under the biaxial symmetrical tension of a material // Russian Journal of Nondestructive Testing. 2011. V. 47. No. 6. P. 359—368.
- Bezlyud'ko G.Y., Sirona V.E., Solomakha R.N., Savluk S.V., Siviruk V.L. Coercimetry for stress-stain and fatigue state monitoring of blast furnace shell // NDT World. 2021. V. 24. No. 3. P. 32—35.
- Bezlyud'ko G.Y., Muzhitskii V.F., Remezov V.B. Series of portable structuroscope-instruments based on measuring the coercive force // Russian Journal of Nondestructive Testing. 2003. V. 39. No. 4. P. 43—51.
- IEC 60404-4 Magnetic materials — Part 4: Methods of measurement of d.c. magnetic properties of magnetically soft materials.
- Gorkunov E.S., Mushnikov A.N. Magnetic methods of evaluating elastic stresses in ferromagnetic steels (review) // Testing. Diagnostics. 2020. V. 23. No. 12. P. 4—23.
- Aginei R.V., Teplinsky Yu.A., Kuzbozhev A.S., Bogdanov N.P. Application of magnetic method to assess the stress state of steel structures // Journal of Samara State Technical University. Ser. Physical and Mathematical Sciences. 2004. No. 27. P. 95—97.
- Andronov I.N., Aginei R.V., Leonov I.S. Analysis of the plane stress state of steel pipelines by the radar charts of the coercivity // Industrial Laboratory. Diagnostics of Materials. 2013. V. 79. No. 12. P. 50—52.
- Stashkov A.N., Schapova E.A., Nichipuruk A.P., Korolev A.V. Magnetic incremental permeability as indicator of compression stress in low-carbon steel // NDT & E International. 2021. V. 118. P. 102398.
- Schapova E.A., Stashkov A.N., Tsar'kova T.P., Sazhina E.Y., Kochnev A.V. The comparison of two data processing techniques of magnetic method for elastic compressive stress determination // AIP Conference Proceedings: The VI International Young Researchers Conference Physics, Technologies Innovation, Ekaterinburg, May 20–23, 2019 / Ural Federal University. V. 2174. Ekaterinburg: American Institute of Physics, 2019. P. 020167.
- Kostin V.N., Vasilenko O.N., Byzov A.V. DIUS-1.15M Mobile Hardware–Software Structuroscopy System // Russian Journal of Nondestructive Testing. 2018. V. 54. No. 9. P. 654—661.
- Kostin V.N., Smorodinskii Y.G. Multipurpose software-hardware systems for active electromagnetic testing as a trend // Russian Journal of Nondestructive Testing. 2017. V. 53. No. 7. P. 493—504.
- Kostin V.N., Vasilenko O.N., Mikhailov A.V., Lukinykh N.P., Ksenofontov D.G. On the advantages of local measurement of coercive force of ferromagnetic objects based on internal field // Russian Journal of Nondestructive Testing. 2020. V. 56. No. 7. P. 574—580.
- Nichipuruk A.P., Bida G.V., Shanaurin A.M., Stashkov A.N. Functional Possibilities of SM-401 Magnetic Structuroscope // Russian Journal of Nondestructive Testing. 2003. V. 39. No. 1. P. 1—9.
- Kostin V.N., Tsar'kova T.P., Loskutov V.E., Kostin K.V., Nichipuruk A.P., Lopatin V.V. Irreversible changes in the magnetization as indicators of stressed-strained state of ferromagnetic objects // Russian Journal of Nondestructive Testing. 2009. V. 45. No. 11. P. 786—796.
- GOST (State Standard) 19281—2014 Rolled steel of increased strength. General technical conditions.
- Gorkunov E.S., Zakharov V.A. Coercimeters with magnetic attachments (review) // Russian Journal of Nondestructive Testing. 1995. V. 31. No. 8. P. 625.
- GOST (State Standard) R 57512—2017 Main pipeline transportation of oil and petroleum products. Terms and definitions.
Supplementary files

















