The Influence of the Surface Density of Thermally Expanded Graphite Sheets on the Acoustic Wave Transmission
- Авторлар: Muravyeva O.V.1,2, Denisov L.A.1, Bogdan O.P.1, Blinova A.V.1
-
Мекемелер:
- Kalashnikov Izhevsk State Technical University
- Udmurt Federal Research Center of the Ural Branch of the Russian Academy of Sciences
- Шығарылым: № 12 (2024)
- Беттер: 44-58
- Бөлім: Acoustic methods
- URL: https://journals.rcsi.science/0130-3082/article/view/273544
- DOI: https://doi.org/10.31857/S0130308224120047
- ID: 273544
Дәйексөз келтіру
Аннотация
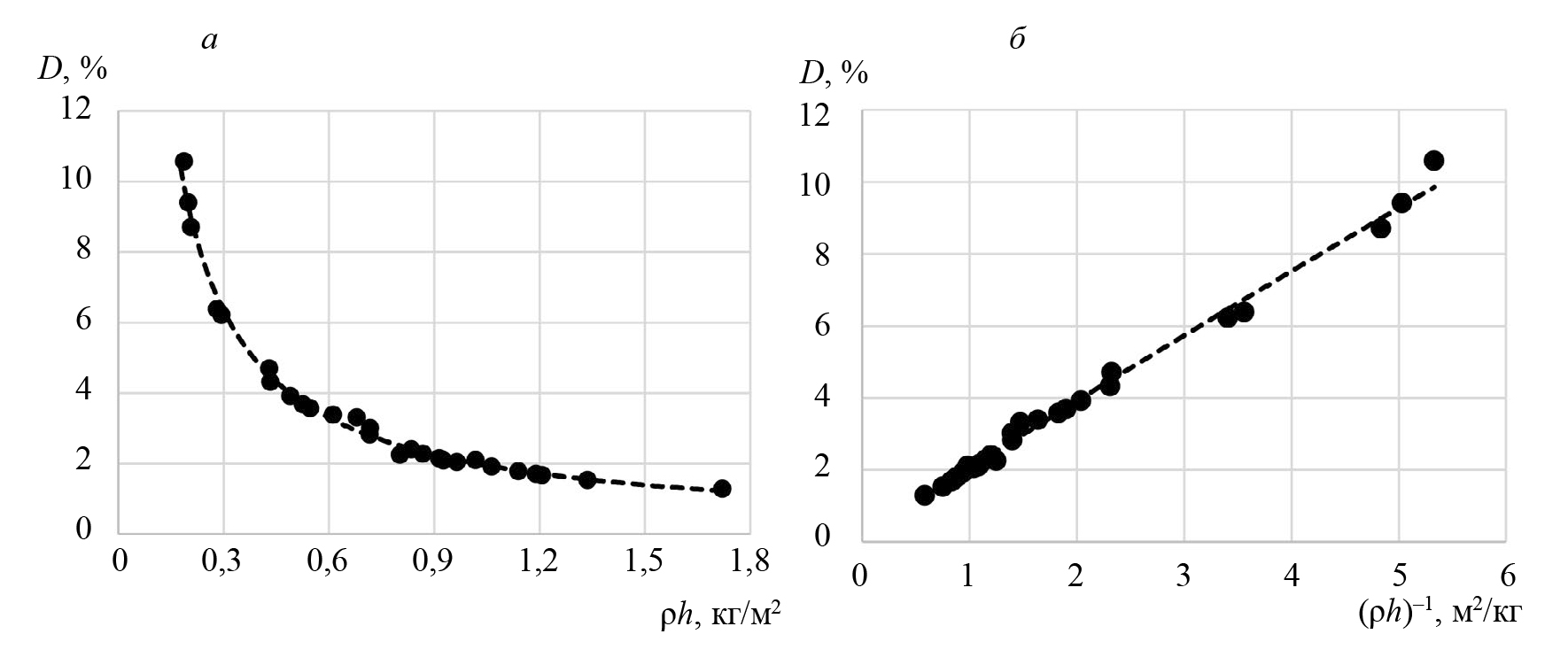
The paper presents the results of experimental and theoretical studies of the influence of the surface density of a thin porous sheet of thermally expanded graphite on the transmission coefficient of the acoustic wave. The possibility of using the theory of thin films to describe the processes of transmission of acoustic waves through porous sheet in the field of low frequencies and small thicknesses has been proven. The influence of the operating frequency on the sensitivity of the transmission coefficient to the surface density of the sheet was assessed.
Толық мәтін
Авторлар туралы
O. Muravyeva
Kalashnikov Izhevsk State Technical University; Udmurt Federal Research Center of the Ural Branch of the Russian Academy of Sciences
Хат алмасуға жауапты Автор.
Email: pmkk@istu.ru
Ресей, Izhevsk; Izhevsk
L. Denisov
Kalashnikov Izhevsk State Technical University
Email: pmkk@istu.ru
Ресей, Izhevsk
O. Bogdan
Kalashnikov Izhevsk State Technical University
Email: pmkk@istu.ru
Ресей, Izhevsk
A. Blinova
Kalashnikov Izhevsk State Technical University
Email: pmkk@istu.ru
Ресей, Izhevsk
Әдебиет тізімі
- Biot M.A. Acoustics, elasiticity, and thermodynamics of porous media: twenty-one papers. New York: Acoustical Society of America, 1992. 265 p.
- Gubaidullin A.A., Boldyreva O.Yu., Dudko D.N. Velocity and attenuation of linear waves in porous media saturated with gas and its hydrate // Journal of Applied Mechanics and Technical Physics. 2022. V. 63. No. 4 (374). P. 56—63. doi: 10.1134/s002189442204006x. EDN PQARJW.
- Yang Q., Malcolm A., Rusmanugroho H., Mao W. Analysis of radiation patterns for optimized full waveform inversion in fluid-saturated porous media // Geophysical Journal International. 2019. V. 216. № 3. P. 1919—1937. doi: 10.1093/gji/ggy525
- Sivanantham M., Thyla P., Loganathan P., Sathish S. Measuring Methods of Acoustic Properties and Influence of Physical Parameters on Natural Fibers: A Review // Journal of Natural Fibers. 2019. V. 17. № 12. P. 1—20. doi: 10.1080/15440478.2019.1598913
- Zhao H., Wang Y., Yu D., Yang H., Zhong J., Wu F., Wen J. A double porosity material for low frequency sound absorption // Composite Structures. 2020. V. 239. 111978 p. doi: 10.1016/j.compstruct.2020.111978
- Oh J.-H., Kim J.-S, Nguyen V.-H., Oh I.-K. Auxetic graphene oxide-porous foam for acoustic wave and shock energy dissipation // Composites Part B: Engineering. 2020. V. 186. 107817 p. doi: 10.1016/j.compositesb.2020.107817
- Gubaidullin D.A., Fedorov Y.V. Peculiarities of Acoustic Wave Reflection from a Boundary or Layer of a Two-Phase Medium // Acoustical Physics. 2018. V. 64. No. 2. P. 164—174. doi: 10.1134/S1063771018020057. EDN XXNDJB.
- Dmitriev V.L., Ponomareva E.A. Rasprostranenie akusticheskikh voln v sloistykh poristykh sredakh / Trudy Instituta mekhaniki UNTs RAN. Ufa: Gilem, 2007. P. 169—175.
- Jimenez N., Umnova O., Groby J.-P. Acoustic Waves in Periodic Structures, Metamaterials, and Porous Media: From Fundamentals to Industrial Applications. Topics in Applied Physics. Springer, 2021. 444 p.
- Bogdan O.P., Zlobin D.V., Murav’eva O.V., Molin S.M., Platunov A.V. Evaluation of nonuniformity of elastic properties of sheets made from closed-сell polyolefin foams by acoustic method // Devices and Methods of Measurements. 2021. Т. 12. № 1. С. 58—66. doi: 10.21122/2220-9506-2021-12-1-58-66. EDN AKZRSP.
- Bogdan O.P., Murav’eva O.V., Platunov A.V., Risev D.S. Investigation of the characteristics of sheets of polyurethane foam by acoustic methods // Vestnik IzhGTU imeni M.T. Kalashnikova. 2020. V. 23. No. 2. P. 61—68.
- Fedotovskii V.C. A Porous Medium As an Acoustic Metamaterial with Negative Inertial and Elastic Properties // Acoustical Physics. 2018. V. 64. No. 5. P. 548—554. doi: 10.1134/S1063771018050020. EDN WTURTZ.
- Horoshenkov K., Hurrell A., Groby J.-P. Erratum: A three-parameter analytical model for the acoustical properties of porous media // J. Acoust. Soc. Am. 2019. V. 145 (4). P. 2512—2517. doi: 10.1121/10.0000560
- Zhang W., Mehrabian A. Связь поромеханики и адсорбции в мультипористых твердых телах // Физ. мезомех. 2023. Т. 26. № 2. С. 43—56. doi: 10.55652/1683-805X_2023_26_2_43. EDN LYEEKU.
- Fomenko S.I., Dzhana R.B., Romashin A.K. Modelirovanie rasprostraneniya uprugikh voln v dvukhfaznoi poristo-uprugoi srede i opredelenie effektivnykh modulei s pomoshch’yu poverkhnostnykh voln / Matematicheskoe modelirovanie v estestvennykh naukakh. Materialy XXXI Vserossiiskoi shkoly-konferentsii. Perm’, 05–08 oktyabrya 2022. Perm’: Permskii natsional’nyi issledovatel’skii politekhnicheskii universitet, 2022. V. 1. P. 308—310. EDN LYMNAZ.
- Kidner M., Hansen C. A comparison and review of theories of the acoustics of porous materials // International Journal of Acoustics and Vibrations. 2008. V. 13. P. 1—27.
- Lenkov S.V. Acoustic surface waves in porous-elastic biphasic media // Chemical physics and mesoscopy. 2023. V. 25. No. 3. P. 375—384. doi: 10.15350/17270529.2023.3.33. EDN PBCENE.
- Il’yasov K.K., Kuznetsov S.V., Sekerzh-Zen’kovich S.Y., Kravtsov A.V. Features of acoustic waves in media with large porosity values in the framework of the Biot theory // Acoustical Physics. 2017. V. 63. No. 6. P. 711—715. doi: 10.1134/S1063771017060045. EDN XNNLKD
- Zhang L., Ba J., Carcione J.M. Wave propagation in infinitupleporosity media // J. Geophy Res: Solid Earth. 2021. V. 126. № 4. doi: 10.1029/2020JB021266
- Sitdikova L.F., Gimaltdinov I.K. The problem of the propagation of acoustic waves in a porous environment saturated with bubble liquid // Bulletin of the south ural state university. Series: mathematics. Mechanics. Physics. 2021. V. 13. No. 1. P. 59—66. doi: 10.14529/mmph210107. EDN QVHMWD.
- Li J.X., Rezaee R., Muller T.M. Wettability effect on wave propagation in saturated porous medium // J. Acoust. Soc. Am. 2020. V. 147. P. 911—920. doi: 10.1121/10.0000616
- Venegas R., Zielinski T. G., Nunez G., Becot F.-X. Acoustics of porous composites // Composites Part B Engineering. 2021. V. 220. 109006 p. doi: 10.1016/j.compositesb.2021.109006
- Tao L. Porosity reconstruction based on Biot elastic model of porous media by homotopy perturbation method // Chaos, Solitons & Fractals. 2022. V. 158. 112007 p. doi: 10.1016/j.chaos.2022.112007
- Goyal S., Bhagwan J., Tomar S.K. Elastic waves at the plane interface of swelling porous half-space and viscoelastic half-space with voids // Int. J. Mech. Sci. 2020. V. 188. 105942 p. doi: 10.1016/j.ijmecsci.2020.105942
- Gubaidullin A.A., Boldyreva O.Y., Dudko D.N. Interaction of acoustic waves with porous layer // Thermophysics and Aeromechanics. 2009. V. 16. No. 3. P. 429—443. doi: 10.1134/S0869864309030123. EDN MWUHRV.
- Golub M.V., Doroshenko O.V., Okoneshnikova E.A., Fomenko S.I. Modelirovanie rasprostraneniya uprugikh voln v sloistom periodicheskom kompozite s dvazhdy periodicheskim massivom interfeisnykh otsloenii proizvol’noi formy // Matematicheskoe modelirovanie v estestvennykh naukakh. 2022. V. 1. P. 71—74. EDN KYBHPB.
- Isaev O.Yu., Smirnov D.V., Lepikhin V.P., Belova M.Yu., Kolesova S.M. Technology and the hardware solution of a process of manufacture of thickening materials from thermal expanded graphite // Composite materials constructions. 2006. No. 4. P. 76—79. EDN JZGEQJ.
- Kotov S.A., Muzafarova S.-V.R., Livintsova M.G. Study of compaction processes of thermally expanded graphite powders during rolling // Blanking production in mechanical engineering. 2019. V. 17. No. 8. P. 366—370. EDN XHGSSI.
- Bogdan O.P., Murav′eva O.V., Blinova A.V., Zlobin D.V. Investigation of Density of Samples Made of Thermally Expanded Graphite by Acoustic Amplitude-Shadow Method // Russian Journal of Nondestructive Testing. 2023. V. 59. No. 8. P. 857—867. doi: 10.1134/s106183092370050x. EDN JYGZTH.
- Sekoyan S.S., Shlegel’ V.R., Batsanov S.S. Effect of the porosity and particle size of materials on sound-wave velocity // Journal of Applied Mechanics and Technical Physics. 2009. V. 50. No. 4. P. 646—650. doi: 10.1007/s10808-009-0086-y. EDN LLTOMR.
- Krautsou A., Shornikova O.N., Avdeev V.V. Using a Neural Network to Study the Effect of the Means of Synthesizing Exfoliated Graphite on Its Macropore Structure // Russian Journal of Physical Chemistry A. 2023. V. 97. No. 6. P. 1168—1173. doi: 10.1134/s0036024423060110. EDN VCTGRE.
- Brekhovskikh L.M. Volny v sloistykh sredakh. 2-e izd. dopolnennoe i pererabotannoe. M.: Nauka, 1973. P. 340.
- Bergman L. Ul’trazvuk i ego primenenie v nauke i tekhnike. Per. s nem. / Pod red. V. S. Grigor’eva i L. D. Rozenberga. Moskva: Izd-vo inostr. lit., 1956. P. 726.
- Kuznetsov S.V, Mondrus V.L. Love waves in stratified monoclinic media // Quarterly of Applied Mathematics. 2004. V. 62. No. 4. P. 749—766. doi: 10.1090/qam/2104272. EDN LIVDIN.
- Kuznetsov S.V. Guided waves in stratified media with equal acoustic impedances // Mechanics of Materials. 2022. V. 170. P. 104338. doi: 10.1016/j.mechmat.2022.104338. EDN MCHXLS.
Қосымша файлдар














