Application of CF and DMAS Technology to Improve the Quality of Reflector Images Reconstructed from Echoes Measured by an Antenna Array
- Authors: Bazulin E.G.1
-
Affiliations:
- ECHO+ Research and Production Center LLC
- Issue: No 12 (2024)
- Pages: 14-29
- Section: Acoustic methods
- URL: https://journals.rcsi.science/0130-3082/article/view/273541
- DOI: https://doi.org/10.31857/S0130308224120029
- ID: 273541
Cite item
Abstract
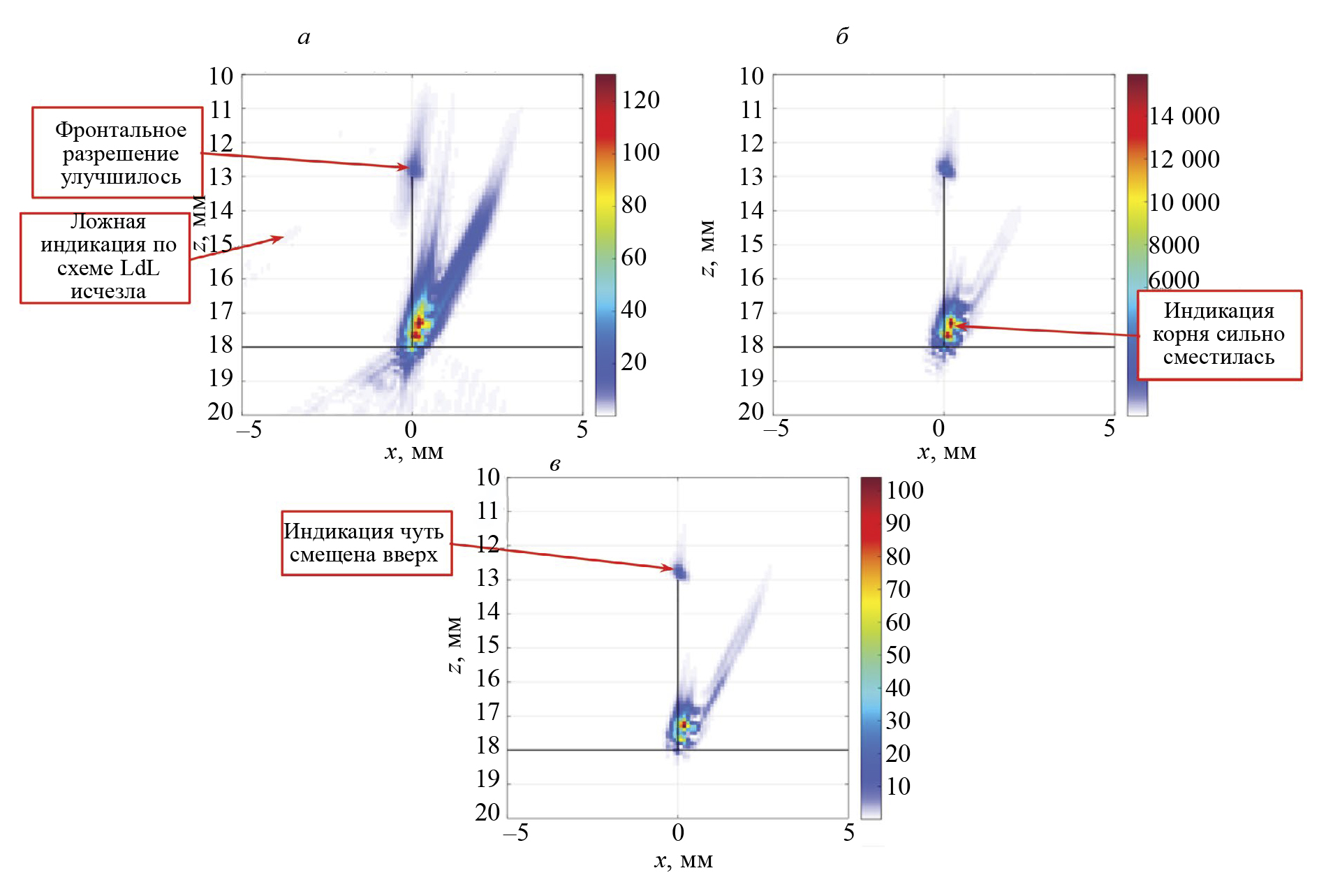
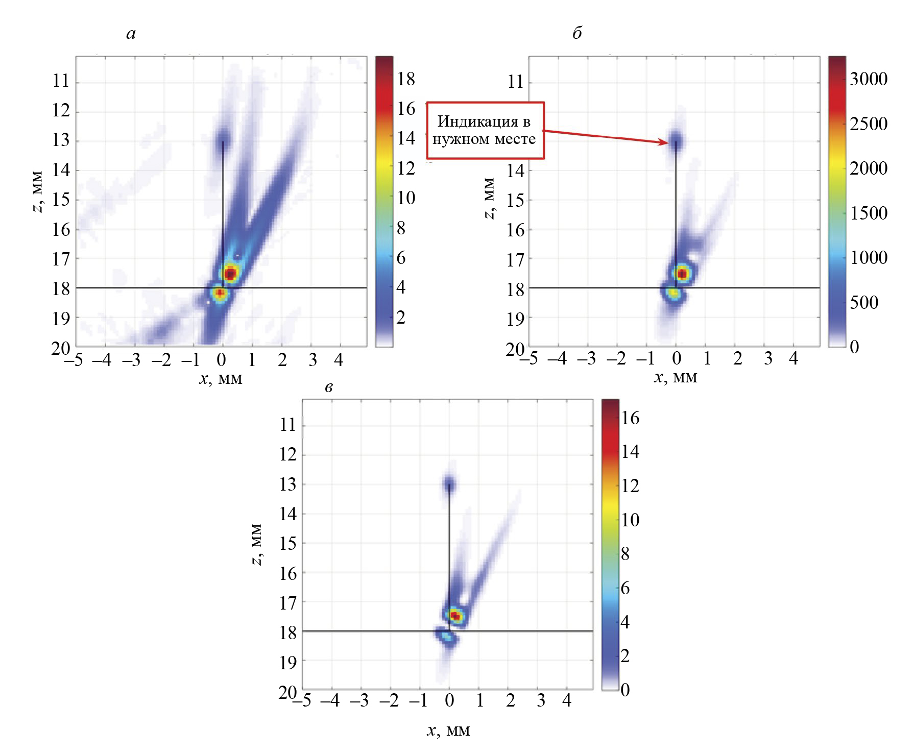
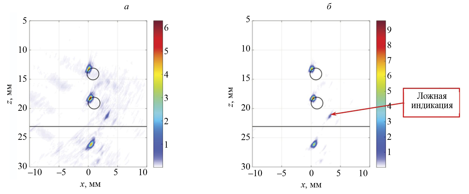
Reliability and sensitivity of ultrasonic control is determined by the noise level of the reflector image and its resolution. Application of CF- or DMAS-technology in various combinations is promising, as these technologies are simple enough, practically do not require additional computational resources, are applied to echo signals measured by conventional flaw detectors working with antenna arrays. In numerical and model experiments it is demonstrated that the application of these methods allows to increase the resolution of reflector images more than twice and to reduce the noise level by more than 20 dB. In the numerical experiment it is shown that phase distortions due to complex refractive and reflection coefficients lead to the fact that even with precisely known parameters of the experiment when working on a direct beam on a transverse wave the indication of the crack tip can shift from its true position by about a wavelength. For the solution of defectometry tasks this is a very large error. But, if phase correction is performed when reconstructing the reflector image, the crack tip indication coincides with its real position. CF- and DMAS-technologies have shown their workability also when working with noisy echoes.
Full Text
About the authors
E. G. Bazulin
ECHO+ Research and Production Center LLC
Author for correspondence.
Email: bazulin@echoplus.ru
Russian Federation, Moscow
References
- Danilov V.N., Voronkova L.D. Just about converters with phased arrays in ultrasonic control. Monograph. M. : Spectrum, 2019. 135 p. : ill. Bibliogr. at the end of the article. ISBN 978-5-4442-0144-2.
- Voronkov V.A., Voronkov I.V., Kozlov V.N., Samokrutov A.A., Shevaldykin V.G. On the applicability of antenna array technology in solving problems of ultrasonic control of hazardous production facilities // In the world of non-destructive testing. 2011. No. 1. P. 64—70.
- Bazulin E.G. Comparison of systems for ultrasonic non-destructive testing using antenna arrays or phased array antennas // Flaw detection. 2013. No. 7. P. 51—75.
- ISO 23865:2021. Non-destructive testing — Ultrasonic testing — General use of full matrix capture/total focusing technique (FMC/TFM) and related technologies. URL: https://www.iso.org/standard/78034.html (date of application: 07/28/2024).
- Kovalev A.V., Kozlov V.N., Samokrutov A.A., Shevaldykin V.G., Yakovlev N.N. Pulse echo method for concrete control. Interference and spatial selection // Flaw detection. 1990. No. 2. P. 29—41.
- Neronsky L.B., Mikhailov V.F., Bragin I.V. Microwave equipment for remote sensing of the Earth’s surface and atmosphere. Radars with synthesized antenna aperture / Textbook. Part 2. SPb.: SPbSUAP, 1999. 220 p.: ill.
- Holmes C., Drinkwater B.W., Wilcox P.D. Post-processing of the full matrix of ultrasonic transmit-receive array data for non-destructive evaluation // NDT&E International. 2005. V. 38. P. 701—711.
- Bazulin E.G. About terminology in the field of CFA/TFM application, taking into account the published ISO 23865:2021 and ISO 23864:2021 standards. URL: https://echoplus.ru/publication/prochee/o-terminologi-v-oblasti-primeneniya-tsfa-tfm-s-uchyetom-vyshedshikh-standartov-iso-23865-2021-i-is / (accessed 05.09.2024).
- Wells P.N.T. Ultrasonics in medicine and biology // Phys. Med.Biol. Jul. 1977. V. 22. No. 4. P. 629—669. doi: 10.1088/0031-9155/22/4/001
- Matrone G., Savoia A.S., Caliano G., Magenes G. The delay multiply and sum beamforming algorithm in ultrasound B-mode medical imaging // IEEE Trans. Med. Imag. Apr. 2015. V. 34. No. 4. P. 940—949. doi: 10.1109/TMI.2014.2371235
- Hollman K.W., Rigby K.W., O’Donnell M. Coherence factor of speckle from a multi-row probe // Proc. IEEE Ultrason. 440 Symp. 1999. P. 1257—1260. doi: 10.1109/ULTSYM.1999.849225
- Nilsen C.-I., Holm S. Wiener beamforming and the coherence factor in ultrasound imaging // IEEE Trans. Ultrason. Ferro-442 electr. Freq. Control. 2010. V. 57. No. 6. P. 1329—1346. doi: 10.1109/TUFFC.2010.1553
- Kang S., Lee J., Chang J.H. Effectiveness of synthetic aperture focusing and coherence factor weighting for intravascular ultrasound imaging // Ultrasonics. 2021. V. 113. P. 106364. doi: 10.1016/j.ultras.2021.106364
- Gauthier Baptiste, Painchaud Guillaume, Le Duff Alain, Belanger Pierre. Lightweight and Amplitude-Free Ultrasonic Imaging Using Single-Bit Digitization and Instantaneous Phase Coherence // IEEE Transactions on Ultrasonics, Ferroelectrics, and Frequency Control. 2022. P. 1—1. ISSN 1525-8955. doi: 10.1109/TUFFC.2022.3163621
- Bazulin E.G. Using the coherence coefficient to improve the image quality of reflectors during ultrasonic testing // Flaw detection. 2017. No. 6. P. 5—17.
- Camacho Jorge, Fritsch Carlos, Fernandez-Cruza Jorge, Parrilla Montserrat. Phase Coherence Imaging: Principles, applications and current developments // Proceedings of Meetings on Acoustics. September 2019. V. 38 (1). P. 055012. doi: 10.1121/2.0001201. URL: https://asa.scitation.org/doi/abs/10.1121/2.0001201 (accessed: 07/28/2024).
- Okumura S., Taki H., Sato T. Stabilization techniques for high resolution ultrasound imaging using beamspace Capon method / 2015 IEEE International Conference on Acoustics, Speech and Signal Processing (ICASSP). South Brisbane, QLD. 2015. P. 892—896.
- Bazulin E. The maximum entropy method in ultrasonic non-destructive testing – increasing the resolution, image noise reduction and echo acquisition rate // Entropy. 2018. V. 20 (8). P. 621. DOI: https://doi.org/10.3390/e20080621
- Guarneri G.A., Pipa D.R., Junior F.N., Ramos de Arruda L.V., Zibetti M.V.W. A Sparse Reconstruction Algorithm for Ultrasonic Images in Nondestructive Testing // Sensors. 2015. V. 15. P. 9324—9343. doi: 10.3390/s150409324
- Bazulin E.G., Sokolov D.A. Restoration of ultrasonic images of reflectors based on incomplete data by the recognition method with compression // Acoustic. Journal. 2019. No. 4. P. 520—532.
- Song H., Yang Y. Super-resolution visualization of subwavelength defects via deep learning-enhanced ultrasonic beamforming: A proof-of-principle study // NDT & E International. 2020. P. 102344. doi: 10.1016/j.ndteint.2020.102344
- Zhang F., Luo L., Li J., Peng J., Zhang Y., Gao X. Ultrasonic adaptive plane wave high-resolution imaging based on convolutional neural network // NDT & E International. June 2023. V. 138. P. 102891. doi: 10.1016/j.ndteint.2023.102891
- Ermolov I.N., Lange Yu.V. Ultrasonic control. In the book: Non-destructive testing. Guide. Under the general editorship of V. V. Klyuev. V. 3. M.: Mechanical engineering, 2004. 864 p.
- Hollman K.W., Rigby K.W., O’Donnell M. Coherence factor of speckle from a multi-row probe // IEEE Ultrasonics Symp Proc Int Symp. 1999. V. 2. P. 1257—1260.
- Camacho J., Parrilla M., Fritsch C. Phase coherent image // EEE transactions on ultrasonics, ferroelectrics, and frequency control. 2009. V. 56. No. 5. P. 958—974.
- Cruza J.F., Camacho J., Fritsch C. Plane-wave phase-coherence imaging for NDE // NDT & E International. 2017. V. 87. P. 31—37. doi: 10.1016/j.ndteint.2017.01.005 URL: https://sci-hub.ru/https://doi.org/10.1016/j.ndteint.2017.01.005 (date of application: 09/15/2024).
- https://sci-hub.ru/10.1109/TUFFC.2011.1901 (date of application: 09/15/2024).
- Ke Song, Duo Chen. Comparison of coherence factor and sign coherence factor applied to a nonlinear beamforme / Special Issue: A Special Selection on Recent Advances in Biomechanical Engineering — Part II. Guest Editors: Esteban Peña Pitarch and Eddie Y. K. Ng. doi: 10.1142/S0219519423401012. URL: https://worldscientific.com/doi/epdf/10.1142/S0219519423401012 (date addresses: 09/15/2024).
- Le Duff Alain, Painchaud-April Guillaume. Phase Coherence Imaging for Flaw Detection: URL: https://www.ndt.net/article/ndtnet/papers/Phase_Coherence_Imaging_for_Flaw_Detection.pdf (date of application: 09/15/2024).
- EXTENDE company: ofic. website URL: https://www.extende.com/ndt (date of reference: 05/11/2024).
- Bazulin E.G. Coherent reconstruction of defect images taking into account the effect of specular reflection of ultrasonic pulses from the boundaries of the control object // Flaw detection. 2010. No. 7 (46). P. 18—29.
- Bazulin E.G. Using the inverse C-SAFT method to equalize the spatial sensitivity of the image of reflectors // Flaw detection. 2015. No. 1. P. 58—71.
- Scientific and production center “ECHO+”. Оfic. website URL: https://echoplus.ru / (date of access: 09/11/2024).
Supplementary files












