Mechanisms of adaptation of the hypothalamic-pituitary-adrenal axis in male mice under chronic social defeat stress
- Authors: Sapronova А.А.1, Ryabushkina Y.A.1, Kisaretovа P.E.1,2, Bondar N.P.1,2
-
Affiliations:
- Siberian Branch, Russian Academy of Sciences, Institute of Cytology and Genetics
- Novosibirsk State Research University
- Issue: Vol 74, No 2 (2024)
- Pages: 197-209
- Section: ФИЗИОЛОГИЧЕСКИЕ МЕХАНИЗМЫ ПОВЕДЕНИЯ ЖИВОТНЫХ: ВОСПРИЯТИЕ ВНЕШНИХ СТИМУЛОВ, ДВИГАТЕЛЬНАЯ АКТИВНОСТЬ, ОБУЧЕНИЕ И ПАМЯТЬ
- URL: https://journals.rcsi.science/0044-4677/article/view/262127
- DOI: https://doi.org/10.31857/S0044467724020058
- ID: 262127
Cite item
Full Text
Abstract
The hypothalamic-pituitary-adrenal axis (HPA) plays an important role in the mechanisms of adaptation to chronic stress. A model of chronic social defeat stress (CSDS), based on the experience of defeat in daily agonistic interactions, causes the development of a depressive-like state in mice, which is often accompanied by an increase in blood corticosterone levels. In this work, we assessed what changes occur in the central (hypothalamus) and peripheral (adrenal glands) parts of the HPA axis under the influence of chronic social stress, which can affect the regulation of corticosterone synthesis and its level in the blood. The experience of chronic social stress causes an increase in the relative weight of the adrenal glands, an increase in the expression level of Crh gene in the hypothalamus and the expression of the genes for the corticosterone synthesis enzymes Star, Cyp11a1, Cyp11b1 in the adrenal glands. At the same time, in the hypothalamus the expression of Fkbp5 and Nr3c1 decreases and the expression of Crhbp increases, and in the adrenal glands the expression of the Mc2r and Hsd11b1 genes decreases, which is ultimately aimed at reducing the amount of corticosterone secreted by the adrenal glands, and thus limiting the glucocorticoid response. Thus, chronic stress leads to an imbalance of the activating and stabilizing mechanisms of HPA axis regulation and a possible inadequate response to additional stress stimuli.
Full Text
ВВЕДЕНИЕ
Депрессия является серьезным бременем для общества и в настоящее время затрагивает около 350 млн человек во всем мире. За последние годы в развитых странах депрессивные расстройства становятся все большей финансовой нагрузкой на бюджет страны и основной причиной инвалидности (Greenberg et al., 2021).
Значительная часть депрессивных расстройств в первую очередь обусловлена и усугубляется социальным стрессом, а не физическими проблемами. При этом результаты исследований показывают, что адаптироваться к хроническому социальному стрессу гораздо сложнее, чем к физическому (Bartolomucci, 2007).
Стресс социального поражения является валидной моделью депрессии на мышах, несмотря на то, что интенсивность используемого стресса выше, чем у большинства людей. Однако люди гораздо больше подвержены депрессивным состояниям, чем животные, и даже гораздо менее сильные стрессоры приводят к более выраженным эффектам, поэтому подобрать полностью релевантную модель невозможно. Хронический стресс социальных поражений вызывает у мышей депрессивно-подобное состояние, подобное депрессивным состояниям у человека, со сходством симптомов, этиологии, чувствительности к препаратам, нейрохимических и гормональных изменений (Bartolomucci, Leopardi, 2009; Berton et al., 2006; N. Bondar et al., 2009; Han, Nestler, 2017, Kudryavtseva et al., 1991; Venzala et al., 2012).
Исследования с использованием модели стресса социальных поражений зачастую ограничиваются 10 днями стресса (Kamimura et al., 2021; Lu et al., 2021; Nakatake et al., 2020), однако малая длительность стресса дает возможность оценить только первые этапы перестройки гормональной регуляции и адаптации животных к стрессу, а методики эксперимента зачастую позволяют животным довольно легко физиологически адаптироваться к стрессирующим событиям. Кроме того, после непродолжительного стресса только часть животных демонстрирует признаки депрессивного состояния, а остальные проявляют резистентность к действию стресса (Berton et al., 2006; Dias et al., 2014; Krishnan et al., 2007; Murra et al., 2022; Warren et al., 2013).
Используемая в нашей работе модификация модели хронического социального стресса предполагает воздействие стрессирующих факторов в течение 36 дней, что приводит к формированию депрессивного состояния практически у всех животных. Ранее в наших работах было показано развитие поведенческого дефицита, значительное снижение коммуникативности у мышей, выраженное депрессивное поведение у мышей с опытом хронического социального стресса в течение 30 дней (Bondar et al., 2018; Avgustinovich et al., 2005; Августинович, Бондарь, 2021; Avgustinovich et al., 2022).
При хроническом стрессе и ряде связанных со стрессом психических расстройств происходит повышение уровня глюкокортикоидных гормонов в крови, при этом нарушается механизм отрицательной обратной связи, регулирующей активность ГГНС (Merkulov et al., 2017). Ранее мы показали (Bondar et al., 2018), что 36-дневный хронический социальный стресс приводит к стойкому повышению базального уровня кортикостерона и при этом нарушается чувствительность генов-мишеней глюкокортикоидов в отделах мозга. Механизмы, лежащие в основе таких нарушений, и вовлеченность разных звеньев ГГНС до конца не изучены и могут варьировать в зависимости от силы и продолжительности стресса.
В данной работе мы хотели оценить, какие изменения, которые могут влиять на регуляцию синтеза кортикостерона и его уровень в крови, происходят в центральном (гипоталамус) и периферическом (надпочечники) звеньях ГГНС под влиянием хронического социального стресса. Мы оценили влияние стресса на уровень экспрессии генов в двух структурах, при этом анализ экспрессии проводили через сутки после последнего стрессирующего воздействия, что должно отражать долговременные изменения в регуляции активности ГГНС.
В гипоталамусе мы исследовали экспрессию гена кортикотропин-рилизинг-гормона (КРГ) Сrh, являющегося центральным регулятором активности ГГНС, и экспрессию генов, продукты которых непосредственно с ним связаны, – Crhr1 (рецептор КРГ) и Crhbp (corticotropin-releasing factor-binding protein). Рецептор CRHR1 в гипоталамусе является частью петли обратной связи ГГНС (Jiang et al., 2019), а белок СRHBP связывает КРГ, уменьшая количество КРГ, поступающее в гипофиз для активации ГГНС (Ketchesin et al., 2017). Кроме того, мы оценили уровень экспрессии гена глюкокортикоидного рецептора (ГР) Nr3c1 и его ко-шаперона, Fkbp5. В гипоталамусе глюкокортикоидный рецептор, реагирующий на кортикостерон, необходим для окончания стрессовой реакции, а ко-шаперон FKBP51 снижает чувствительность ГР к стимуляции гормоном, увеличивая тем самым продолжительность стрессовой реакции (Häusl et al., 2021; Juszczak, Stankiewicz, 2018).
В надпочечниках мы исследовали гены участников синтеза кортикостерона: ген рецептора АКТГ Mc2r, гены ферментов, участвующие в синтезе кортикостерона на ключевых стадиях (Star, Cyp11a1, Cyp11b1, Hsd11b1), гены регуляции глюкокортикоидного ответа Fkbp5, Nr3c1. Рецептор АКТГ MC2R располагается на внешней мембране клеток надпочечников, и его активация запускает процесс синтеза кортикостерона. StaR — стероидогенный острый регуляторный белок, который опосредует транспорт холестерина от внешней митохондриальной мембраны к внутренней митохондриальной мембране. CYP11A1 — митохондриальный фермент, который катализирует превращение холестерина в прегненолон, что является первой стадией синтеза глюкокортикоидов. CYP11B1 – 11-бета-гидроксилаза, которая участвует в финальной стадии синтеза кортикостерона. HSD11B1 – 11-бета-гидроксистероиддегидрогеназа, которая участвует в превращении дегидрокортикостерона (метаболит кортикостерона) обратно в кортикостерон (Merk et al., 2023). Глюкокортикоидный рецептор и его ко-шаперон FKBP51 в надпочечниках также являются участниками петли обратной связи, и ее активация приводит к снижению синтеза кортикостерона (Mourtzi et al., 2021).
МЕТОДИКА
1. Животные
Эксперименты проводили на самцах мышей линии C57BL/6J в возрасте 2.5–3 мес. В качестве агрессоров использовались самцы мышей линии CD1. Мыши содержались в стандартных условиях вивария Института цитологии и генетики СО РАН (RFMEFI62119X0023) (12:12 ч света/темноты, рассвет в 19:00, вода и корм ad libitum). После отсаживания от матерей в возрасте 1 мес мышей содержали в группах по 8–10 особей в клетках 36 × 23 × 12 см до использования в эксперименте.
2. Формирование депрессивно-подобного состояния у самцов мышей
Для формирования депрессивно-подобного состояния у самцов мышей использовали модель хронического социального стресса (Kudryavtseva et al., 1991). Мышей линий C57BL/6J и CD1 попарно помещали в экспериментальные клетки, разделенные пополам прозрачной перегородкой с отверстиями, позволявшей мышам видеть, слышать, воспринимать запахи друг друга, но предотвращавшей физическое взаимодействие. Мыши линии CD1 крупнее мышей линии C57BL/6J и в эксперименте являлись доминантными самцами (агрессорами). В течение 36 дней ежедневно во второй половине дня (15.00–17.00 часов) убирали перегородку на 10 мин, что приводило к межсамцовым конфронтациям. Взаимодействие самцов прекращали, если интенсивные атаки со стороны нападающей особи во время агрессивных столкновений длились более 2 мин, вновь устанавливая между ними перегородку. После драки самца линии C57BL/6J, потерпевшего поражение, пересаживали к новому агрессору, с которым они сидели в течение суток до следующей драки, разделенные прозрачной перегородкой.
В качестве контроля использовали животных без опыта взаимодействий, рассаженных в индивидуальные клетки за 5 дней до эксперимента. Контрольные животные были разделены на 2 подгруппы: группа 1 – мыши были протестированы в тесте вынужденного плавания, группа 2 – мыши не подвергались поведенческому тестированию и использовались только для молекулярных исследований. Тест вынужденного плавания является сильным острым стрессором для контрольных животных и изменяет активность ГГНС, поэтому для оценки уровня экспрессии мы использовали интактных животных. Соответственно, в тесте вынужденного плавания в качестве контроля использовали группу 1, при оценке уровня экспрессии генов – группу 2. В группах контроля было по 11–12 животных, в группе стресса – 37 животных. Животных распределяли по группам случайным образом. Размер группы выбран стандартный для такого рода исследований (10–20 особей в каждой группе).
3. Анализ поведения
Для оценки изменений в поведении мышей после ХСС мы использовали тест вынужденного плавания (Castagné et al., 2009) с некоторыми модификациями. Мышей индивидуально помещали в плексигласовые цилиндры (высота 45 см, диаметр 10 см), содержащие воду (глубина 27 см, 24–25˚С). В течение 5 мин теста оценивали общее время активного плавания, время дрейфа (небольшие движения лапами для поддержания равновесия), общее время иммобильности (полное отсутствие движения мыши) и латентное время до первой иммобильности. Тест проводили за 2 дня до вывода животных из эксперимента. Поведение регистрировали с помощью программного обеспечения BORIS (Behavioral Observation Research Interactive Software (Friard, Gamba, 2016).
4. Сбор тканей
На следующий день после последней агонистической конфронтации (36-й день эксперимента) между 10 и 13 ч утра животные были выведены из эксперимента с помощью быстрой декапитации. Выделяли и взвешивали надпочечники, выделяли гипоталамус и замораживали при –70˚С.
5. Выделение РНК и ПЦР в реальном времени
Из замороженных образцов ткани в дальнейшем выделяли РНК с использованием ExtractRNA (ООО “Евроген”, Россия) согласно протоколу производителя. Образцы были обработаны ДНКазой DNase I (Thermo Fisher Scientific, США) и затем очищены с помощью парамагнитных частиц RNAClean XP beads (Beckman Coulter, США). Измерение качества и количества выделенной РНК проводили с использованием спектрофотометра NanoDrop 2000. Для синтеза комплементарной ДНК использовали набор RevertAid (Thermo Fisher Scientific, США), для ПЦР использовали наборы БиоМастер HS-qПЦР (ООО “Биолабмикс”, Россия). В реакцию брали 0.5 мкг РНК, все процедуры проводили согласно протоколам производителя.
Для оценки экспрессии генов использовали ПЦР с детекцией в режиме реального времени с использованием флуоресцентно-меченых зондов. Праймеры и зонды для каждого гена подбирали с использованием программы Primer-BLAST (NCBI). Праймеры были синтезированы в ООО “Биоссет” (Новосибирск, Россия), зонды в ООО “ДНК-Синтез” (Москва, Россия). Последовательности праймеров и зондов исследованных генов представлены в табл. 1. Результаты ПЦР нормализовали на референсные гены: Hk1 и Gpm6b для гипоталамуса и Hk1 и Pic3c3 для надпочечников и анализировали с использованием ΔΔCt-метода. Каждую реакцию проводили в двух повторах. Поскольку для референсных и таргетных генов использовали зонды с разными флюорофорами (Hk1 – Cy5, Gpm6b, Pic3c3 – HEX, таргетные гены – ROX), то измерение экспрессии генов проводили в одной лунке. Эффективность амплификации каждой пары праймеров составляла от 80 до 110%. Для постановки реакции использовали амплификатор Bio-Rad CFX96 (Bio-Rad, США). Стабильность референсных генов между и внутри групп проверяли с помощью программного обеспечения Bio-Rad CFX Manager (Bio-Rad, США): стабильность экспрессии (М) была менее 0.5 и коэффициент вариации (CV) был менее 0.25, что говорит о стабильности экспрессии генов между образцами.
Таблица 1. Последовательности праймеров и зондов, использованных в работе
Table 1. Sequences of primers and probes used in the work
Ген | Последовательность нуклеотидов | Последовательность 5’→3’ |
Crh | Прямая (праймер) | GGAGAAGAGAGCGCCCCTAA |
Обратная (праймер) | AAGAAATTCAAGGGCTGCGG | |
Зонд | ROX-ATGCTGCTGGTGGCTCTGTCGTCC-BHQ2 | |
Crhr1 | Прямая (праймер) | GGTCCTGCTGATCAACTTTA |
Обратная (праймер) | ACATGTAGGTGATGCCCA | |
Зонд | ROX-CTGGGGTGCCTTTCCC-BHQ2 | |
Crhbp | Прямая (праймер) | TCCATACCAGCACCAAAACTG |
Обратная (праймер) | CAGCTCCACAAAGTCACCAG | |
Зонд | ROX-ACTGAAGGCCATGCAAGTGTCCGA-BHQ2 | |
Fkbp5 | Прямая (праймер) | AGAATCAAACGGAAAGGCGAG |
Обратная (праймер) | CTCGGCAATCAAATGTCCTTC | |
Зонд | ROX-CCAAACGAAGGAGCAACGG-BHQ2 | |
Nr3с1 | Прямая (праймер) | ATGTATGACCAATGTAAACACA |
Обратная (праймер) | GCTCTTCAGACCTTCCTTAG | |
Зонд | ROX-TGCAGGTATCCTATGAAGAG-BHQ2 | |
Hsd11b1 | Прямая (праймер) | GCTGAAGCAGAGCAATGGCAG |
Обратная (праймер) | GTGATGGACACGTTGACCTTGG | |
Зонд | /56-ROXN/CCTTGGCTGGGAAAATGACCC/3BHQ_2/ | |
Cyp11а1 | Прямая (праймер) | GCTGAAGCAGAGCAATGGCAG |
Обратная (праймер) | GTGATGGACACGTTGACCTTGG | |
Зонд | ROX-CCTTGGCTGGGAAAATGACCC-BHQ2 | |
Cyp11b1 | Прямая (праймер) | GCAGAGGCAGAGATGATGC |
Обратная (праймер) | ACAGGCCTGAAAGTGAGGAG | |
Зонд | 56-ROXN/CACCATGTGCTGAAATCCTTCC/3BHQ_2/ | |
Mc2r | Прямая (праймер) | CTTGCCGAGAAAGATCCTAC |
Обратная (праймер) | GCCTTGGAAGCAGCAGAATC | |
Зонд | ROX-CTGAAGCCAGCAAGCCTGCC-BHQ2 | |
Star | Прямая (праймер) | AAACTCACTTGGCTGCTCAGTA |
Обратная (праймер) | TGCGATAGGACCTGGTTGAT | |
Зонд | ROX-TGAAGGGGTGGCTGCCGAAG-BHQ2 | |
Hk1 | Прямая (праймер) | ACATTGTCTCCTGCATCTCC |
Обратная (праймер) | GCTTTGAATCCCTTTGTCCAC | |
Зонд | Cy5-CCTTCTCGTTTCCCTGCAAG-BHQ2 | |
Gpm6b | Прямая (праймер) | CAAGTGCAGTGAAAGAGCTG |
Обратная (праймер) | TGTAGAACATAAACACTGGCAC | |
Зонд | HEX-ACCTATGTGCTGGGAGTGGCCT-BHQ2 | |
Pik3c3 | Прямая (праймер) | GGATTGGCTGGACAGATT |
Обратная (праймер) | CTCCTTGTCATCGCACTT | |
Зонд | HEX-ACTTGATGGTTGAGTTTCGCTGTGT-BHQ1 |
6. Статистическая обработка данных
Проверка распределения количественных данных на нормальность и гомогенность дисперсий проводили с помощью теста Шапиро–Уилка (Shapiro–Wilk test). Поскольку данные соответствовали нормальному распределению, статистическую обработку проводили, используя t-критерий Стьюдента. Различия между экспериментальными группами считали статистически значимыми при p < 0.05. Анализ данных производили с помощью пакета программ Statistica 8.0 (StatSoft, США).
РЕЗУЛЬТАТЫ ИССЛЕДОВАНИЙ
1. Относительная масса надпочечников
Массу надпочечников нормировали на массу тела животных. ХСС привел к повышению относительной массы надпочечников по сравнению с контролем [t (1,44) = –2.61, p = 0.012] (рис. 1 (а)).
Рис. 1. (а) – относительная масса надпочечников (масса органа в миллиграммах, деленная на массу тела в граммах). Данные представлены как среднее ± ошибка среднего. Статистический анализ с оценкой статистической значимости t-критерием Стьюдента, * – p < 0.05. К – контрольная группа, ХСС – мыши с хроническим стрессом социальных поражений. (б) – Параметры поведения в тесте вынужденного плавания. Данные представлены как среднее ± ошибка среднего. Статистический анализ с оценкой статистической значимости t-критерием Стьюдента, * – p < 0.05. К – контрольная группа, ХСС — мыши с хроническим стрессом социальных поражений.
Fig. 1. (a) – Relative mass of the adrenal glands (organ mass in milligrams divided by body mass in grams). Data are presented as mean ± error of mean. Statistical analysis with significance assessment by Student’s t-test, * – p < 0.05. K – control group, ХСС – mice with chronic social defeat stress. (б) – Behavioral parameters in the forced swimming test. Data are presented as mean ± error of mean. Statistical analysis with significance assessment by Student’s t-test, * – p < 0.05. K – control group, ХСС – mice with chronic social defeat stress.
2. Поведение мышей в тесте вынужденного плавания
В тесте вынужденного плавания (рис. 1 (б)) ХСС вызвал повышение времени иммобильности [t (1,47) = –2.91, p = 0.005] и снижение латентного времени до первого эпизода иммобильности [t (1,47) = 4.17, p < 0.001], что говорит о развитии депрессивного состояния у стрессированных животных.
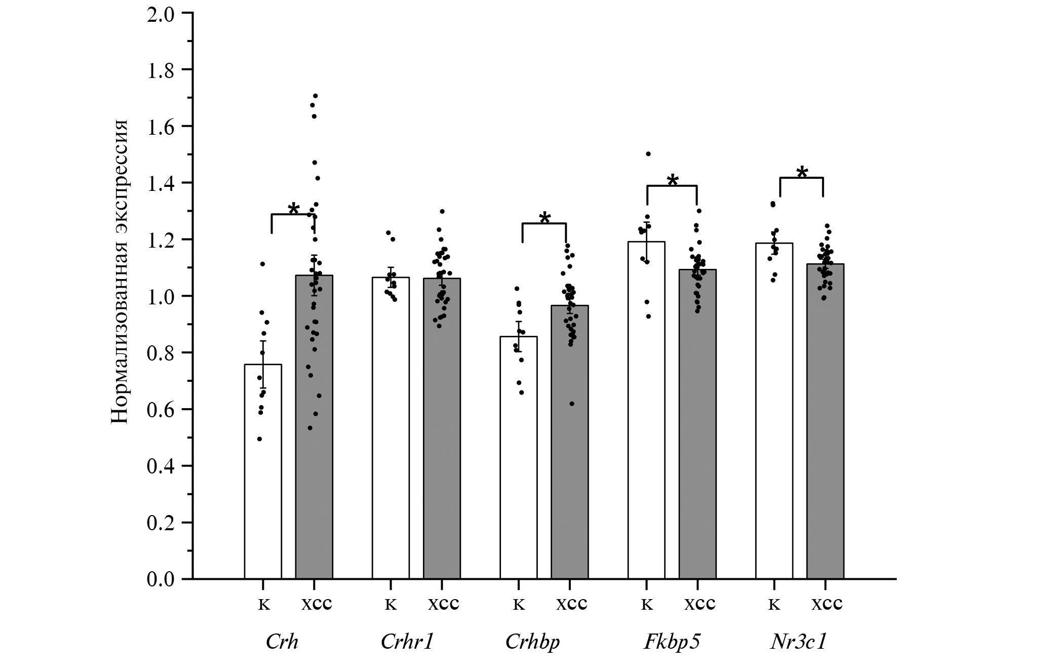
3. Уровень экспрессии генов в гипоталамусе
В данной работе мы оценили экспрессию пяти генов в гипоталамусе, которые отражают состояние глюкокортикоидной системы (рис. 2).
Рис. 2. Относительный уровень экспрессии генов в гипоталамусе. Уровень экспрессии каждого гена нормировали на уровень экспрессии референсных генов. Данные представлены как среднее ± ошибка среднего. Точки отражают значение для индивидуального животного. Статистический анализ с оценкой статистической значимости t-критерием Стьюдента, * – p < 0.05. К – контрольная группа, ХСС — мыши с хроническим стрессом социальных поражений.
Fig. 2. Relative gene expression levels in the hypothalamus. The expression level of each gene was normalized to the expression level of reference genes. Data are presented as mean ± error of mean. The points reflect the value for the individual animal. Data are presented as mean ± error of mean. Statistical analysis with significance assessment by Student’s t-test, * – p < 0.05. K – control group, ХСС – mice with chronic social defeat stress.
ХСС привел к повышению экспрессии гена кортикотропин-рилизинг-гормона Crh [t(1,45) = –3.28, р = 0.002] и его регулятора Crhbp [t(1,45) = –2.80, р = 0.007]. При этом экспрессия генов глюкокортикоидного рецептора Nr3c1 [t(1,45) = 2.84, р = 0.007] и его кофактора Fkbp5 [t(1,45) = 3.01, р = 0.004] была снижена у стрессированных животных по сравнению с контролем. Экспрессия только одного гена, Crhr1, кодирующего рецептор КРГ, не зависела от опыта стресса.
4. Уровень экспрессии генов в надпочечниках
ХСС также оказал значительное влияние на экспрессию генов в надпочечниках, мы обнаружили изменение уровня экспрессии в 5 из 7 исследованных генов (рис. 3).
Рис. 3. Относительный уровень экспрессии генов в надпочечниках. Уровень экспрессии каждого гена нормировали на уровень экспрессии референсных генов. Данные представлены как среднее ± ошибка среднего. Точки отражают значение для индивидуального животного. Статистический анализ с оценкой статистической значимости t-критерием Стьюдента, * – p < 0.05. К – контрольная группа, ХСС – мыши с хроническим стрессом социальных поражений.
Fig. 3. Relative gene expression levels in adrenal glands. The expression level of each gene was normalized to the expression level of reference genes. Data are presented as mean ± error of mean. The points reflect the value for the individual animal. Data are presented as mean ± error of mean. Statistical analysis with significance assessment by Student’s t-test, * – p < 0.05. K – control group, ХСС – mice with chronic social defeat stress.
Экспрессия генов, кодирующих ферменты синтеза кортикостерона, Cyp11a1 [t(1,46) = –5.49, p < 0.001] и Cyp11b1 [t(1,46) = –4.69, p < 0.001] у стрессированных животных повышена, и также повышена экспрессия гена Star [t(1,46) = –4.78, p < 0.001], кодирующего белок-переносчик холестерина внутрь митохондрий, где происходит синтез стероидных гормонов. При этом уровень экспрессии гена Hsd11b1, кодирующего фермент, отвечающий за превращение дегидрокортикостерона (метаболит кортикостерона) обратно в кортикостерон, у стрессированных животных снижен по сравнению с контролем [t(1,46) = 2.39, p = 0.02]. Также XCC привел к снижению уровня экспрессии гена меланокортинового рецептора Mc2r [t(1,46) = 5.59, p < 0.001], который передает сигнал от АКТГ клеткам надпочечников. Изменений в уровне экспрессии гена глюкокортикоидного рецептора Nr3c1 и его кофактора Fkbp5 выявлено не было, что, вероятно, говорит об отсутствии регуляции синтеза кортикостерона через данный тип рецептора.
ОБСУЖДЕНИЕ РЕЗУЛЬТАТОВ
Ранее неоднократно было показано, что хронический социальный стресс приводит к развитию депрессивно-подобного состояния у мышей (Kudryavtseva, 1991; Bondar et al., 2018; Avgustinovich et al., 2005; Августинович, Бондарь, 2021; Avgustinovich et al., 2022). В нашем эксперименте у стрессированных мышей время неподвижности в тесте вынужденного плавания значительно повышено, а латентное время до первого эпизода иммобильности снижено, что согласуется с другими работами с использованием данной модели стресса длительностью более 3 недель (Avgustinovich et al., 2022; Bondar et al., 2018; Carnevali et al., 2020). Широкое использование данной модели стресса и воспроизводимые результаты, получаемые разными группами исследователей, позволяют нам предположить, что у мышей развиваются и другие признаки депрессивного состояния: повышенная тревожность, ангедония, снижение социальных взаимодействий, которые мы не оценивали, но которые всегда выявляются в подобных работах (Guo et al., 2020; Kudryavtseva et al., 2017). Поэтому найденные нами изменения в работе ГГНС мы можем связывать именно с хроническим стрессом и развитием депрессивно-подобного состояния у мышей.
Мы показали, что на уровне центрального звена регуляции ГГНС, в гипоталамусе, хронический стресс приводит к увеличению уровня экспрессии гена кортикотропин-рилизинг-гормона Crh, продукт которого стимулирует выработку АКТГ гипофизом. Однако одновременно с этим при хроническом стрессе повышается и экспрессия гена Crhbp, продукт которого является частью обратной связи и деактивирует избыток КРГ. Кроме того, мы показали снижение экспрессии и других генов, участвующих в петле отрицательной обратной связи на уровне гипоталамуса, ‒ генов глюкокортикоидного рецептора (Nr3c1) и генa Fkbp5, продукт которого блокирует активность ГР.
Таким образом, можно предположить, что изменения экспрессии этих генов являются результатом адаптации организма к повышению активности ГГНС при хроническом стрессе: так как в данной модели сильные стрессоры возникают у мыши каждый день, уровень экспрессии Crh все время остается повышенным, но часть КРГ блокируется связывающим белком, а также происходит общее снижение активности петли обратной связи, которая в норме должна блокировать повышенную экспрессию КРГ при избытке кортикостерона.
Модель хронического социального стресса, используемая нами, предполагает ежедневные конфронтации с новым партнером и в новой клетке, что является сильным стрессором для мышей, благодаря чему эффекты стресса проявляются достаточно ярко. Существует более мягкая, но схожая модель стресса – chronic subordinate colony housing (CSC) (Füchsl et al., 2013). CSC – это модель стресса, в которой четырех самцов мышей помещают в колонию с доминантным самцом на 19 дней и раз в неделю пересаживают в новую колонию, с новым доминантным самцом. Эта модель достаточно хорошо имитирует естественные условия проживания мышей и их социальных конфликтов, однако в ней мыши проявляют только отдельные симптомы хронического стресса. Анализ исследований активности ГГНС на этих двух моделях помогает нам лучше понять эффекты хронического стресса социальных поражений разной интенсивности. В нашем эксперименте у мышей с опытом ХСС увеличивается относительная масса надпочечников. Ранее мы показали (Bondar et al., 2018), что это сопровождается и увеличением уровня базального кортикостерона, и такие данные часто получают в работах по исследованию сильного и продолжительного стресса (Krishnan et al., 2007; Vagnerová et al., 2023). При хроническом, но более мягком стрессе в модели CSC показано, что базальный уровень кортикостерона у стрессированных животных на 19-й день не отличается от контроля, однако при этом гипертрофия надпочечников возникает в первые же сутки и в дальнейшем сохраняется (Uschold-Schmidt et al., 2013). Стрессовая гипертрофия надпочечников осуществляется преимущественно за счет пучковой зоны, где синтезируются глюкокортикоиды. Гипертрофия обусловлена увеличением размера клеток, которое сопровождается гипертрофией ядер, увеличением числа и объема митохондрий, а также поверхности гладкого эндоплазматического ретикулума, т.е. структур, на которых локализованы ферменты биосинтеза стероидов.
В нашем эксперименте были исследованы гены, продукты которых отвечают за синтез кортикостерона в надпочечниках. Ген Cyp11a1 (фермент 20,22-десмолаза или P450scc), продукт которого катализирует гидроксилирование боковой цепи и расщепление холестерина до прегненолона, что является первой стадией в синтезе кортикостерона и других стероидных гормонов, и ген Cyp11b1 (11-beta-гидроксилаза), продукт которого является ферментом заключительной стадии синтеза кортикостерона, экспрессировались у стрессированных животных более интенсивно. Также был значительно повышен уровень экспрессии гена Star (стероидогенный острый регуляторный белок), продукт которого представляет собой транспортный белок, обеспечивающий доставку холестерина в митохондрии. Это хорошо согласуется как с повышенным уровнем кортикостерона у стрессированных животных, так и с гипертрофией надпочечников. Снижение уровня экспрессии гена Hsd11b1, кодирующего фермент, отвечающий за превращение неактивного 11β-дегидрокортикостерона обратно в кортикостерон, в нашем исследовании может свидетельствовать о способе снижения глюкокортикоидного ответа – более быстрой деактивации кортикостерона.
Исследования на более мягкой модели хронического стресса CSC, в которой не было найдено повышение базального уровня кортикостерона, не показали увеличения уровня экспрессии генов Star и Cyp11a1 и обнаружили лишь незначительное повышение уровня экспрессии Cyp11b1 (Uschold-Schmidt et al., 2012).
Ключевые ферменты синтеза кортикостерона (Star, Cyp11a1 и Cyp11b1) также увеличиваются и при других видах хронического стресса, например при длительном метаболическом стрессе (высокожировой диете) (Berger et al., 2019). В работе (Aguilera et al., 1996) при исследовании хронического стресса иммобильности в течение 2 недель также было показано увеличение уровня экспрессии гена Cyp11a1, но не Cyp11b1. С использованием single-cell-подхода (Lopez et al., 2021)было показано, что хронический социальный стресс в течение 21 дня приводит к повышению уровня кортикостерона, гипертрофии надпочечников и к повышению экспрессии Star и Cyp11b1 в пучковой зоне надпочечников, однако одновременно и к некоторому снижению уровня экспрессии Cyp11a1.
Стоит отметить, что при остром стрессе экспрессия генов, кодирующих ферменты синтеза стероидов, тоже увеличивается. Так, в нашей недавней работе (Ayriyants et al., 2023) у мышей после предъявления иммобилизационного стресса в течение 1 ч было показано увеличение экспрессии генов Star, Cyp11a1, Cyp11b1 в надпочечниках. В работе (Vagnerová et al., 2019) экспрессия Star и Cyp11a1 после острого иммобилизационного стресса была увеличена по сравнению с контролем. Таким образом, при острой реакции на стресс происходит повышение экспрессии этих генов для обеспечения повышенного синтеза кортикостерона, которая, однако, возвращается к норме после окончания воздействия. При хроническом стрессе, в зависимости от его длительности и ресурсов организма, экспрессия этих генов может оставаться повышенной в фазе адаптации к стрессу или даже снижаться ниже нормы в фазе истощения.
Самым примечательным является показанное нами значительное снижение экспрессии гена рецептора АКТГ Mc2r, активация которого запускает усиление синтеза и выброса в кровь кортикостерона. Аналогичное снижение уровня экспрессии гена Mc2r было показано и в более мягкой модели CSC, однако количество самого рецептора не менялось (Uschold-Schmidt et al., 2012). Было показано, что при длительном стрессе (на модели CSC) чувствительность надпочечников к АКТГ постепенно снижается. В первые двое суток после начала стресса эффект снижения глюкокортикоидного ответа на АКТГ еще отсутствует, к концу первой недели становится заметным, на вторую-третью неделю становится выраженным (Langgartner et al., 2020; Uschold-Schmidt et al., 2013), однако причины этой нечувствительности остаются неясными. На клетках надпочечников мышей с опытом 19 дней стресса в модели CSC было показано, что снижение чувствительности под влиянием стресса происходит при обработке как большими, так малыми дозами АКТГ (Reber et al., 2007). При использовании модели хронического вариабельного стресса также было показано (Algamal et al., 2021), что через 30 мин после введения АКТГ кортикостероновый ответ в группе стрессированных животных ниже, чем в группе контроля. Однако в данной работе показали увеличение числа рецепторов MC2 по сравнению с контролем.
Тем не менее существуют и противоположные данные. Так, после хронического стресса иммобильности изолированные клетки надпочечников показывали более высокий кортикостероновый ответ на АКТГ (Aguilera et al., 1996). На модели 14-дневного хронического вариабельного стресса был также показан повышенный кортикостероновый ответ на АКТГ, особенно выраженный при введении больших доз (Ulrich-Lai et al., 2006). Таким образом, вероятно, чувствительность надпочечников к АКТГ зависит от типа хронического стресса, и именно социальный стресс чаще всего приводит к сниженному кортикостероновому ответу надпочечников. Однако ни в одном из экспериментов не было показано снижение количества самих рецепторов МС2, даже при снижении экспрессии гена рецептора, и механизм снижения чувствительности остается неизвестным. Возможно, что при хроническом социальном стрессе количество этих рецепторов снижается медленно, и к 19-му дню стресса (как это было измерено в экспериментах с CSC) еще не происходит снижения количества рецепторов, а резистентность к АКТГ реализуется иными путями, например снижением эффективности связывания лиганда с рецептором.
Таким образом, в нашем эксперименте хронический стресс социальных поражений вызывает изменения как в центральном, так и в периферическом отделе ГГНС. Мы показали активацию глюкокортикоидной системы: увеличение относительной массы надпочечников, увеличение уровня экспрессии генов кортикотропин-рилизинг-гормона Crh в гипоталамусе и экспрессии генов ферментов синтеза кортикостерона Star, Cyp11a1 и Cyp11b1 в надпочечниках. Одновременно с этим в гипоталамусе снижается экспрессия генов, продукты которых участвуют в петле отрицательной обратной связи – Nr3c1 и Fkbp5, что говорит об ослаблении регуляции и компенсаторного потенциала системы. Снижение уровня экспрессии гена меланокортинового рецептора Mc2r в надпочечниках позволяет предположить снижение ответа ткани на АКТГ, что может быть компенсаторным механизмом, направленным на стабилизацию системы. К таким же компенсаторным механизмам можно отнести и снижение уровня экспрессии Hsd11b1, кодирующего фермент, отвечающий за превращение неактивного 11β-дегидрокортикостерона обратно в кортикостерон, что суммарно может приводить к уменьшению количества выделяемого надпочечниками кортикостерона и, таким образом, к ограничению глюкокортикоидного ответа. Конечно, наше исследование имеет ограничения в плане интерпретации, поскольку мы основываемся только на уровне экспрессии гена, но ничего не можем сказать об уровне белковых продуктов этих генов. Однако мы фиксируем не изменения, вызванные острым стрессом, а долговременные изменения в уровне экспрессии, поэтому повышение / снижение уровня мРНК генов должны коррелировать с потребностями клетки в конкретном белковом продукте.
ЗАКЛЮЧЕНИЕ
Мы показали, что при хроническом стрессе социальных поражений на протяжении 36 дней у мышей линии С57Bl/6J увеличивается масса надпочечников и увеличивается уровень экспрессии гена Crh в гипоталамусе и генов ферментов синтеза кортикостерона Star, Cyp11a1, Cyp11b1 в надпочечниках, что коррелирует с ранее показанным повышением уровня кортикостерона и активацией ГГНС при данном типе стресса. Одновременно с этим в гипоталамусе снижается экспрессия Fkbp5 и Nr3c1 и повышается экспрессия Crhbp, а в надпочечниках снижается экспрессия гена Mc2r и Hsd11b1, что направлено на уменьшение количества выделяемого надпочечниками кортикостерона. Таким образом, хронический стресс приводит к дисбалансу активирующих и стабилизирующих механизмов регуляции ГГНС.
ФИНАНСИРОВАНИЕ
Работа проведена при финансовой поддержке Российского научного фонда (проект № 21-15-00142).
СОБЛЮДЕНИЕ ЭТИЧЕСКИХ НОРМ
Все процедуры с использованием данной модели стресса одобрены этическим комитетом ИЦиГ СО РАН (протокол № 149 от 24.04.2023 г). Все применимые международные, национальные и/или институциональные принципы ухода и использования животных были соблюдены.
Все авторы подтверждают, что они знакомы с финальной версией рукописи и не имеют каких-либо конфликтов интересов.
About the authors
А. А. Sapronova
Siberian Branch, Russian Academy of Sciences, Institute of Cytology and Genetics
Author for correspondence.
Email: sapronovann@gmail.com
Russian Federation, Novosibirsk
Y. A. Ryabushkina
Siberian Branch, Russian Academy of Sciences, Institute of Cytology and Genetics
Email: sapronovann@gmail.com
Russian Federation, Novosibirsk
P. E. Kisaretovа
Siberian Branch, Russian Academy of Sciences, Institute of Cytology and Genetics; Novosibirsk State Research University
Email: sapronovann@gmail.com
Russian Federation, Novosibirsk; Novosibirsk
N. P. Bondar
Siberian Branch, Russian Academy of Sciences, Institute of Cytology and Genetics; Novosibirsk State Research University
Email: sapronovann@gmail.com
Russian Federation, Novosibirsk; Novosibirsk
References
- Августинович Д.Ф., Бондарь Н.П. Особенности социального поведения мышей после длительного действия психоэмоционального и инфекционного факторов. Рос. Физиол. Журн. 2021. 107 (1): 28–42 https://doi.org/10.31857/S0869813921010039
- Aguilera G., Kiss A., Lu A., Camacho C. Regulation of adrenal steroidogenesis during chronic stress. Endocr. Res. 1996. 22 (4): 433–443. Informa Healthcare. https://doi.org/10.1080/07435809609043729
- Algamal M., Pearson A.J., Hahn-Townsend C., Burca I., Mullan M., Crawford F., Ojo J.O. Repeated unpredictable stress and social isolation induce chronic HPA axis dysfunction and persistent abnormal fear memory. Prog. Neuro-Psychopharmacology Biol. Psychiatry 2021. 104 Elsevier Inc. https://doi.org/10.1016/j.pnpbp.2020.110035
- Avgustinovich D.F., Kovalenko I.L., Kudryavtseva N.N. A model of anxious depression: persistence of behavioral pathology. Neurosci. Behav. Physiol. 2005. 35 (9): 917– 924. https://doi.org/10.1007/S11055-005-0146-6
- Avgustinovich D.F., Tenditnik M.V., Bondar N.P., Marenina M.K., Zhanaeva S.Y., Lvova M.N. et al. Behavioral effects and inflammatory markers in the brain and periphery after repeated social defeat stress burdened by Opisthorchis felineus infection in mice. Physiol. Behav. 2022. 252. https://doi.org/10.1016/j.physbeh.2022.113846
- Ayriyants K.A., Ryabushkina Y.A., Sapronova A.A., Ivanchikhina A.V., Kolesnikova M.M., Bondar N.P., Reshetnikov V.V. A comparison of stress reactivity between BTBR and C57BL/6J mice: an impact of early-life stress. Exp. Brain Res. 2023. 241 (3): 687–698. https://doi.org/10.1007/S00221-022-06541-1
- Bartolomucci A. Social stress, immune functions and disease in rodents. Front. Neuroendocrinol. 2007. 28 (1): 28–49. https://doi.org/10.1016/j.yfrne.2007.02.001
- Bartolomucci A., Leopardi R. Stress and Depression: Preclinical Research and Clinical Implications. PLoS One 2009. 4 (1): e4265. https://doi.org/10.1371/JOURNAL.PONE.0004265
- Berger I., Werdermann M., Bornstein S. R., Steenblock C. The adrenal gland in stress – Adaptation on a cellular level. J. Steroid Biochem. Mol. Biol. 2019. 190: 198–206. https://doi.org/10.1016/j.jsbmb.2019.04.006
- Berton O., McClung C.A., DiLeone R.J., Krishnan V., Renthal W., Russo S.J. et al. Essential role of BDNF in the mesolimbic dopamine pathway in social defeat stress. Science. 2006. 311 (5762): 864–868. https://doi.org/10.1126/SCIENCE.1120972
- Bondar N., Bryzgalov L., Ershov N., Gusev F., Reshetnikov V., Avgustinovich D. et al. Molecular adaptations to social defeat stress and induced depression in mice. Mol. Neurobiol. 2018. 55 (4): 3394–3407. https://doi.org/10.1007/S12035-017-0586-3
- Bondar N.P., Kovalenko I.L., Avgustinovich D.F., Smagin D.A., Kudryavtseva N.N. Anhedonia in the shadow of chronic social defeat stress, or when the experimental context matters. Open Behav. Sci. J. 2009. 3 (1): 17–27. https://doi.org/10.2174/1874230000903010017
- Carnevali L., Montano N., Tobaldini E., Thayer J.F., Sgoifo A. The contagion of social defeat stress: Insights from rodent studies. Neurosci. Biobehav. Rev. 2020. 111: 12–18. https://doi.org/10.1016/j.neubiorev.2020.01.011
- Castagné V., Porsolt R.D., Moser P. Use of latency to immobility improves detection of antidepressant – like activity in the behavioral despair test in the mouse. Eur. J. Pharmacol. 2009. 616 (1–3): 128–133. https://doi.org/10.1016/j.ejphar.2009.06.018
- Dias C., Feng J., Sun H., Shao N.Y., Mazei-Robison M.S., Damez-Werno D. et al. β-catenin mediates stress resilience through Dicer1/microRNA regulation. Nat. 2014. 516 (7529): 51–55. Nature Publishing Group. https://doi.org/10.1038/nature13976
- Friard O., Gamba M. BORIS: a free, versatile open-source event-logging software for video/audio coding and live observations. Methods Ecol. Evol. 2016. 7 (11): 1325–1330. https://doi.org/10.1111/2041-210X.12584
- Füchsl A.M., Langgartner D., Reber S.O. Mechanisms underlying the increased plasma ACTH levels in chronic psychosocially stressed male mice. PLoS One 2013. 8 (12): e84161. https://doi.org/10.1371/JOUR NAL.PONE.0084161
- Greenberg P.E., Fournier A.A., Sisitsky T., Simes M., Berman R., Koenigsberg S.H., Kessler R.C. The economic burden of adults with major depressive disorder in the United States (2010 and 2018). Pharmacoeconomics 2021. 39 (6): 653–665. https://doi.org/10.1007/S40273-021-01019-4
- Guo Q., Wang L., Yuan W., Li L., Zhang J., Hou W. et al. Different effects of chronic social defeat on social behavior and the brain CRF system in adult male C57 mice with different susceptibilities. Behav. Brain Res. 2020. 384: 112553. https://doi.org/10.1016/J.BBR.2020.112553
- Han M.H., Nestler E.J. Neural substrates of depression and resilience. Neurotherapeutics 2017. 14 (3): 677–686. https://doi.org/10.1007/S13311-017-0527-X
- Häusl A.S., Brix L.M., Hartmann J., Pöhlmann M.L., Lopez J.P., Menegaz D. et al. The co-chaperone Fkbp5 shapes the acute stress response in the paraventricular nucleus of the hypothalamus of male mice. Mol. Psychiatry. 2021. 26 (7): 3060–3076. https://doi.org/10.1038/s41380-021-01044-x
- Jiang Z., Rajamanickam S., Justice N.J. CRF signaling between neurons in the paraventricular nucleus of the hypothalamus (PVN) coordinates stress responses. Neurobiol. Stress 2019. 11: 100192. Neurobiol Stress. https://doi.org/10.1016/J.YNSTR.2019.100192
- Juszczak G.R., Stankiewicz A.M. Glucocorticoids, genes and brain function. Prog. Neuropsychopharmacol. Biol. Psychiatry 2018. 82: 136–168. https://doi.org/10.1016/J.PNPBP.2017.11.020
- Kamimura Y., Kuwagaki E., Hamano S., Kobayashi M., Yamada Y., Takahata Y. et al. Reproducible induction of depressive-like behavior in C57BL/6J mice exposed to chronic social defeat stress with a modified sensory contact protocol. Life Sci. 2021. 282: 119821. https://doi.org/10.1016/j.lfs.2021.119821
- Ketchesin K.D., Stinnett G.S., Seasholtz A.F. Corticotropin-releasing hormone-binding protein and stress: from invertebrates to humans. Stress. 2017. 20 (5): 449–464. https://doi.org/10.1080/10253890.2017.1322575
- Krishnan V., Han M.H., Graham D.L., Berton O., Renthal W., Russo S.J. et al. Molecular adaptations underlying Susceptibility and resistance to social defeat in brain reward regions. Cell 2007. 131 (2): 391–404. https://doi.org/10.1016/j.cell.2007.09.018
- Kudryavtseva N.N., Bakshtanovskaya I.V., Koryakina L.A. Social model of depression in mice of C57BL/6J strain. Pharmacol. Biochem. Behav. 1991. 38 (2): 315–320. https://doi.org/10.1016/0091-3057(91)90284-9
- Kudryavtseva N.N., Kovalenko I.L., Smagin D A., Galyamina A.G., Babenko V.N. Abnormal social behaviors and dysfunction of autism-related genes associated with daily agonistic interactions in mice. bioRxiv. 2017. 125674. https://doi.org/10.1101/125674
- Langgartner D., Marks J., Nguyen T.C., Reber S.O. Changes in adrenal functioning induced by chronic psychosocial stress in male mice: A time course study. Psychoneuroendocrinology 2020. 122: 104880. https://doi.org/10.1016/j.psyneuen.2020.104880
- Lopez J.P., Brivio E., Santambrogio A., Donno C. De, Kos A., Peters M. et al. Single-cell molecular profiling of all three components of the HPA axis reveals adrenal ABCB1 as a regulator of stress adaptation. Sci. Adv. 2021. 7 (5): eabe4497. https://doi.org/10.1126/SCIADV.ABE4497
- Lu J., Gong X., Yao X., Guang Y., Yang H., Ji R. et al. Prolonged chronic social defeat stress promotes less resilience and higher uniformity in depression-like behaviors in adult male mice. Biochem. Biophys. Res. Commun. 2021. 553: 107–113. https://doi.org/10.1016/j.bbrc.2021.03.058
- Merk V.M., Renzulli P., Vrugt B., Fleischmann A., Brunner T. Glucocorticoids are differentially synthesized along the murine and human respiratory tree. Allergy Eur. J. Allergy Clin. Immunol. 2023. 78 (9): 2428–2440. https://doi.org/10.1111/ALL.15765
- Merkulov V.M., Merkulova T.I., Bondar N.P. Mechanisms of brain glucocorticoid resistance in stress-induced psychopathologies. Biochemistry. (Mosc). 2017. 82 (3): 351–365. https://doi.org/10.1134/S0006297917030142
- Mourtzi N., Sertedaki A., Charmandari E. Glucocorticoid signaling and epigenetic alterations in stress-related disorders. Int. J. Mol. Sci. 2021. 22 (11): 5964. https://doi.org/10.3390/IJMS22115964
- Murra D., Hilde K.L., Fitzpatrick A., Maras P.M., Watson S.J., Akil H. Characterizing the behavioral and neuroendocrine features of susceptibility and resilience to social stress. Neurobiol. Stress 2022. 17: 100437. https://doi.org/10.1016/J.YNSTR.2022.100437
- Nakatake Y., Furuie H., Yamada M., Kuniishi H., Ukezono M., Yoshizawa K., Yamada M. The effects of emotional stress are not identical to those of physical stress in mouse model of social defeat stress. Neurosci. Res. 2020. 158: 56–63. https://doi.org/10.1016/J.NEURES.2019.10.008
- Reber S.O., Birkeneder L., Veenema A.H., Obermeier F., Falk W., Straub R.H., Neumann I.D. Adrenal insufficiency and colonic inflammation after a novel chronic psycho-social stress paradigm in mice: implications and mechanisms. Endocrinology 2007. 148 (2): 670–682. https://doi.org/10.1210/EN.2006-0983
- Ulrich-Lai Y.M., Figueiredo H.F., Ostrander M.M., Choi D.C., Engeland W.C., Herman J.P. Chronic stress induces adrenal hyperplasia and hypertrophy in a subregion-specific manner. Am. J. Physiol. Endocrinol. Metab. 2006. 291 (5): E965-73. https://doi.org/10.1152/AJPENDO.00070.2006
- Uschold-Schmidt N., Nyuyki K.D., Füchsl A.M., Neumann I.D., Reber S.O. Chronic psychosocial stress results in sensitization of the HPA axis to acute heterotypic stressors despite a reduction of adrenal in vitro ACTH responsiveness. Psychoneuroendocrinology 2012. 37 (10): 1676– 1687. https://doi.org/10.1016/j.psyneuen.2012.02.015
- Uschold-Schmidt N., Peterlik D., Füchsl A.M., Reber S.O. HPA axis changes during the initial phase of psychosocial stressor exposure in male mice. J. Endocrinol. 2013. 218 (2): 193–203. https://doi.org/10.1530/JOE-13-0027
- Vagnerová K., Jágr M., Mekadim C., Ergang P., Sechovcová H., Vodička M. et al. Profiling of adrenal corticosteroids in blood and local tissues of mice during chronic stress. Sci. Rep. 2023. 13 (1): 7278. https://doi.org/10.1038/S41598-023-34395-2
- Vagnerová K., Vodička M., Hermanová P., Ergang P., Šrůtková D., Klusoňová P. et al. Interactions between gut microbiota and acute restraint stress in peripheral structures of the hypothalamic–pituitary–adrenal axis and the intestine of male mice. Front. Immunol. 2019. 10: 2655. https://doi.org/10.3389/FIMMU.2019.02655
- Venzala E., García-García A.L., Elizalde N., Delagrange P., Tordera R.M. Chronic social defeat stress model: behavioral features, antidepressant action, and interaction with biological risk factors. Psychopharmacology (Berl). 2012. 224 (2): 313–325. https://doi.org/10.1007/S00213-012-2754-5
- Warren B.L., Vialou V.F., Iñiguez S.D., Alcantara L.F., Wright K.N., Feng J. et al. Neurobiological sequelae of witnessing stressful events in adult mice. Biol. Psychiatry 2013. 73 (1): 7–14. Biol. Psychiatry. https://doi.org/10.1016/J.BIOPSYCH.2012.06.006
Supplementary files





