Сравнение противопоточных и симметричных WENO-схем при моделировании базовых турбулентных течений методом крупных вихрей
- Авторы: Бахнэ С.1, Трошин А.И.1
-
Учреждения:
- ЦАГИ им. Н.Е. Жуковского
- Выпуск: Том 63, № 6 (2023)
- Страницы: 1024-1039
- Раздел: МАТЕМАТИЧЕСКАЯ ФИЗИКА
- URL: https://journals.rcsi.science/0044-4669/article/view/136163
- DOI: https://doi.org/10.31857/S0044466923060030
- EDN: https://elibrary.ru/UWNSLL
- ID: 136163
Цитировать
Полный текст
Аннотация
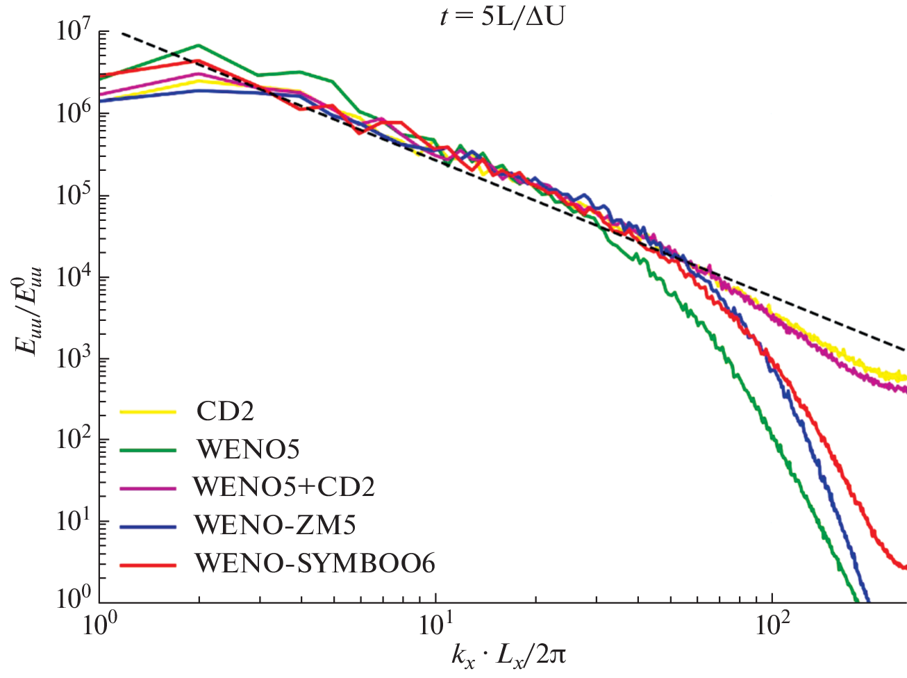
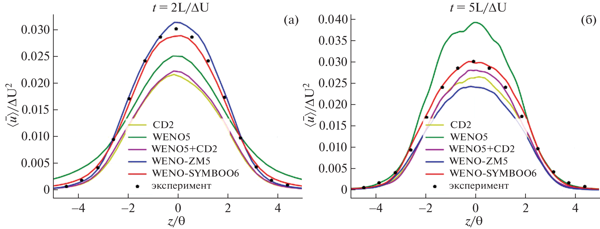
Работа посвящена изучению свойств современных схем семейства WENO с целью их дальнейшего применения в вихреразрешающих расчетах методом крупных вихрей (LES). Выбрана схема WENO-ZM5, которая относится к классу WENO-схем с модификацией индикаторов гладкости (“противопоточных”), и схема WENO-SYMBOO6, использующая симметричный шаблон (“симметричная WENO-схема”). Проведено сравнение схем на модельных одномерных задачах (уравнение переноса, Хопфа, Бюргерса) как с гладкими, так и с разрывными решениями. Представлены результаты LES-моделирования распада изотропной турбулентности. Решения, полученные по новым схемам, сопоставлены с решениями по центрально-разностной схеме, классической схеме WENO5 и гибридной схеме. На основе анализа энергетического спектра проведено сравнение уровня диссипативности схем. Аналогичное сравнение проведено в LES-расчете задачи о временно́м слое смешения, где в дополнение к энергетическому спектру рассмотрены профили средней скорости и напряжений Рейнольдса. Библ. 29. Фиг. 13. Табл. 2.
Ключевые слова
Об авторах
С. Бахнэ
ЦАГИ им. Н.Е. Жуковского
Email: bakhne@phystech.edu
Россия, 140180, Жуковский, ул. Жуковского, 1
А. И. Трошин
ЦАГИ им. Н.Е. Жуковского
Автор, ответственный за переписку.
Email: bakhne@phystech.edu
Россия, 140180, Жуковский, ул. Жуковского, 1
Список литературы
- Shu C.W., Osher S. Efficient implementation of essentially non-oscillatory shock capturing schemes // J. Comp. Physics. 1988. V. 77. № 2. P. 439–471.
- Shu C.W., Osher S. Efficient implementation of essentially non-oscillatory shock capturing schemes. II // J. Comp. Physics. 1989. V. 83. № 1. P. 32–78.
- Zhang R., Zhang M., Shu C.W. On the order of accuracy and numerical performance of two classes of finite volume WENO schemes // Comm. Comp. Physics. 2011. V. 9. № 3. P. 807–827.
- Guseva E.K., Garbaruk A.V., Strelets M.K. An automatic hybrid numerical scheme for global RANS-LES approaches // J. Physics: Conference Series. 2017. V. 929. № 1.
- Mullenix N.J., Gaitonde D.V. A bandwidth and order optimized weno interpolation scheme for compressible turbulent flows // AIAA paper 2011-366. 18 p.
- Martin M.P., Taylor E.M., Wu M., Weirs V.G. A bandwidth-optimized WENO scheme for the effective direct numerical simulation of compressible turbulence // J. Comp. Physics. 2006. V. 220. P. 270–289.
- Zhao S., Lardjane N., Fedioun I. Comparison of improved finite-difference weno schemes for the implicit large eddy simulation of turbulent non-reacting and reacting high-speed shear flows // Comp. Fluids. 2014. V. 95. P. 74–87.
- Borges R., Carmona M., Costa B., Don W.S. An improved weighted essentially non-oscillatory scheme for hyperbolic conservation laws // J. Comp. Physics. 2008. V. 227. P. 3191–3211.
- Li H., Luo Y., Zhang S. Assessment of upwind/symmetric WENO schemes for direct numerical simulation of screech tone in supersonic jet // J. Sci. Comput. 2021. V. 87. № 3.
- Fu L. Review of the high-order TENO schemes for compressible gas dynamics and turbulence // Arch. Comput. Methods Eng., 2023.
- Henrick A.K., Aslam T.D., Powers J.M. Mapped weighted essentially non-oscillatory schemes: achieving optimal order near critical points // J. Comp. Physics. 2005. V. 207. P. 542–567.
- Borges R., Carmona M., Costa B., Don W.S. An improved weighted essentially non-oscillatory scheme for hyperbolic conservation laws // J. Comp. Physics. 2008. V. 227. P. 3191–3211.
- Suresh A., Huynh H. Accurate monotonicity-preserving schemes with Runge–Kutta time stepping // J. Comp. Physics. 1997. V. 136. № 1. P. 83–99.
- Yamaleev N.K., Carpenter M.H. A systematic methodology for constructing high-order energy-stable weno schemes // J. Comp. Physics. 2009. V. 228. P. 4248–4272.
- Butcher J.C. Numerical methods for ordinary differential equations. 3rd ed. New York: John Wiley & Sons, 2016. 513 p.
- Михайлов С.В., Власенко В.В. Программа ZEUS для расчета нестационарных течений в рамках подходов RANS и LES // Материалы XX школы-семинара “Аэродинамика летательных аппаратов”. п. Володарского. 2009. С. 40–41.
- Босняков С.М. Концепция программного продукта EWT-ЦАГИ и основные этапы ее развития // Труды ЦАГИ. 2007. № 2671, С. 3–19.
- Gritskevich M.S., Garbaruk A.V., Schütze J., Menter F.R. Development of DDES and IDDES formulations for the k-ω shear stress transport model // Flow Turbulence Combust. 2012. V. 88. P. 431–449.
- Shur M.L., Spalart P.R., Strelets M.K., Travin A.K. An enhanced version of DES with rapid transition from RANS to LES in separated flows // Flow Turbulence Combust. 2015. V. 95. P. 709–737.
- Bakhne S., Sabelnikov V. A method for choosing the spatial and temporal approximations for the LES approach // Fluids 2022. V. 7. № 12.
- Chumakov S.G., Rutland C.J. Dynamic structure subgrid-scale models fo large eddy simulation // Int. J. Numer. Methods Fluids. 2005. V. 47. P. 911–923.
- Zhou Z., He G., Wang S., Jin G. Subgrid-scale model for large-eddy simulation of isotropic turbulent flows using an artificial neural network // Comp. Fluids. 2019. V. 195. 104319.
- Batchelor G.K. The theory of homogeneous turbulence. Cambridge University Press, 1953. 197 p.
- Shur M.L., Spalart P.R., Strelets M.K., Travin A.K. Synthetic turbulence generators for RANS-LES interfaces in zonal simulations of aerodynamic and aeroacoustic problems // Flow Turbulence Combust. 2014. V. 93. P. 63–92.
- Etkin B. Dynamics of atmospheric flight. New York: John Wiley & Sons, Inc., 1972.
- Sharan N., Matheou G., Dimotakis P.E. Turbulent shear-layer mixing: initial conditions, and direct-numerical and large-eddy simulations // J. Fluid Mech. 2019. V. 877. P. 35–81.
- Петров И.Б., Лобанов А.И. Лекции по вычислительной математике: Учебное пособие. М.: БИНОМ, 2006.
- Bell J.H., Mehta R.D. Development of a two-stream mixing layer from tripped and untripped boundary layers // AIAA J. 1990. V. 28. № 12. P. 2034–2042.
Дополнительные файлы
















